Quantitative Trait Loci Mapping for Bacterial Wilt Resistance and Plant Height in Tomatoes
Abstract
1. Introduction
2. Materials and Methods
2.1. Population Development and Pedigree
2.2. Growing Conditions
2.3. Plant Height Evaluation
2.4. Bacterial Wilt Resistance Evaluation
2.5. DNA Extraction and Genotypic Analysis
2.6. Linkage Map Construction and QTL Mapping
3. Results
3.1. Phenotypic Evaluation for Bacterial Wilt Resistance
3.2. Phenotypic Evaluation for Plant Height
3.3. Correlation Analysis and PCA
3.4. Linkage Map Construction of the F2 Population
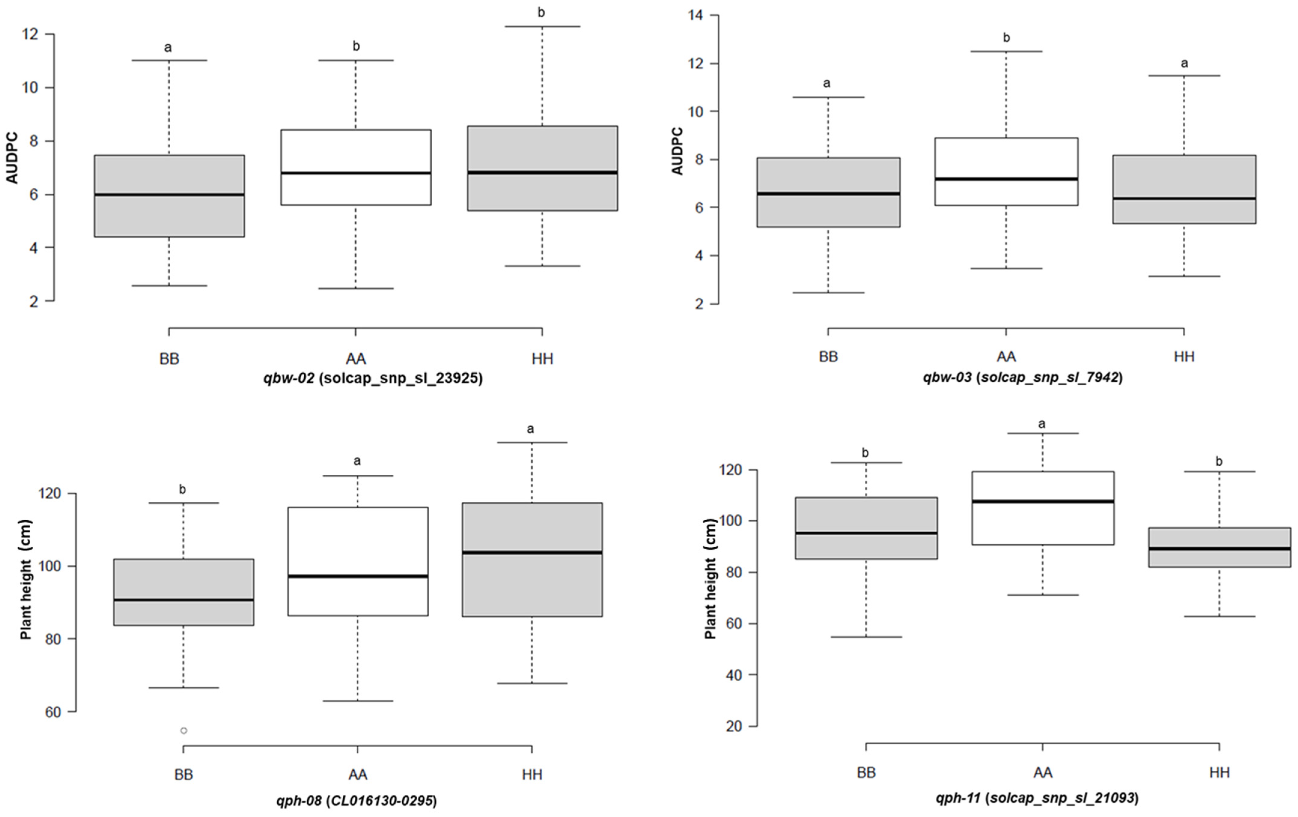
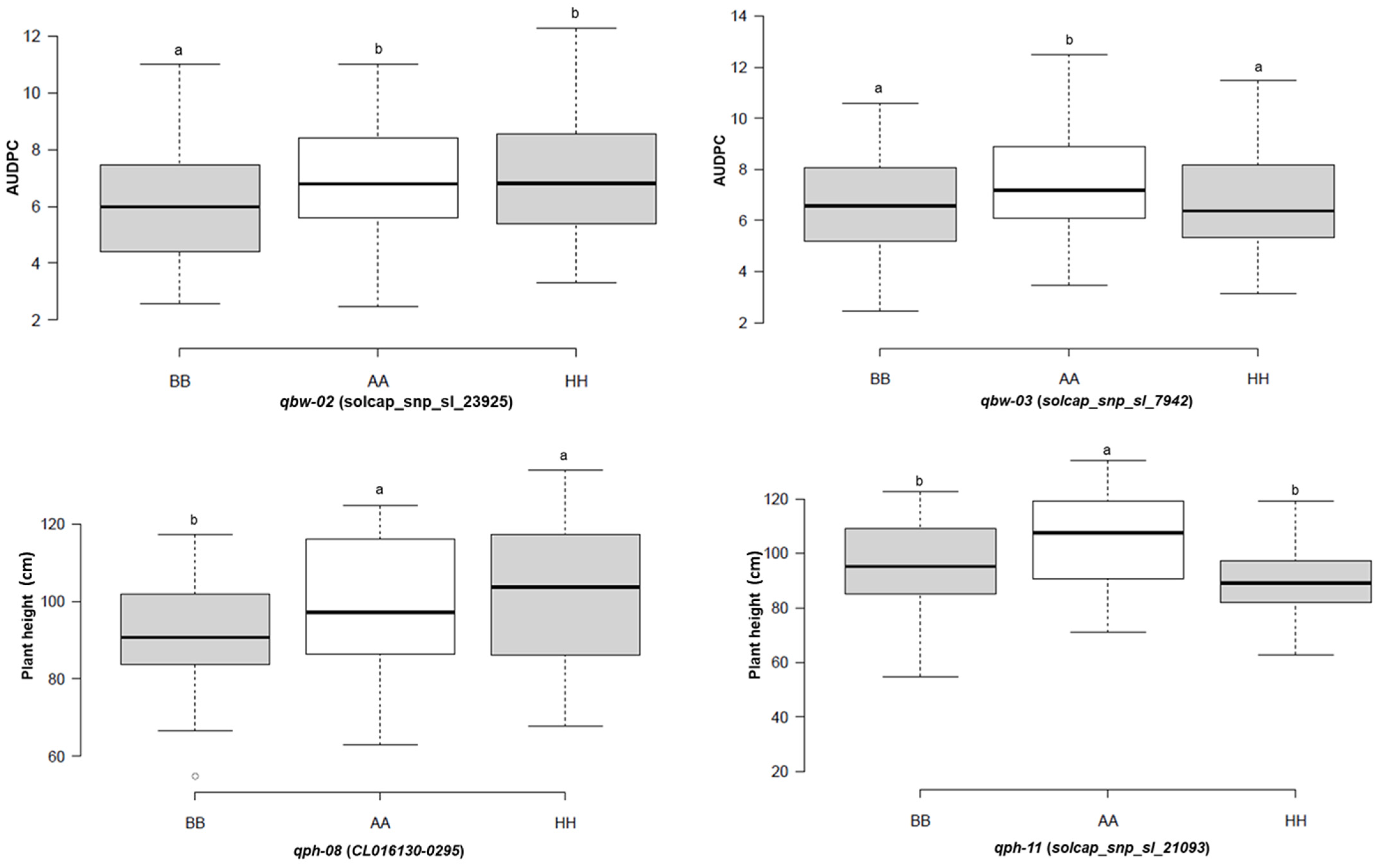
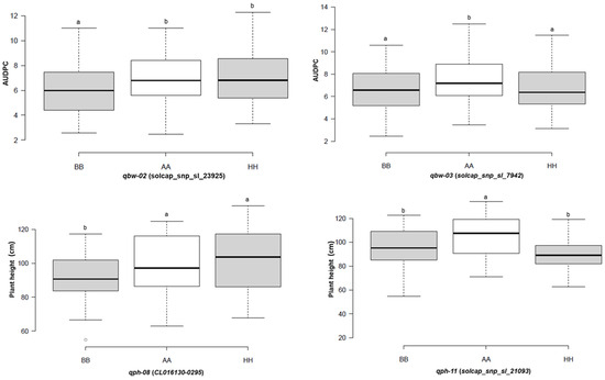
3.5. QTL Mapping for Bacterial Wilt Resistance and Plant Height
4. Discussion
5. Conclusions
Author Contributions
Funding
Data Availability Statement
Acknowledgments
Conflicts of Interest
References
- Lee, J.H.; Siddique, M.I.; Jang, S.; Kim, G.W.; Choi, G.J.; Kwon, J.K.; Kang, B.C. Identification of QTLs associated with resistance to bacterial wilt in pepper (Capsicum annuum L.) through bi-parental QTL mapping and genome-wide association analysis. Sci. Hortic. 2024, 329, 112987. [Google Scholar] [CrossRef]
- Hayward, A.C. Biology and epidemiology of bacterial wilt caused by Pseudomonas solanacearum. Annu. Rev. Phytopathol. 1991, 29, 87. [Google Scholar] [CrossRef]
- Kelman, A. One hundred and one years of research on bacterial wilt. In Bacterial Wilt Disease: Molecular and Ecological Aspects; Prior, P., Allen, C., Elphinstone, J., Eds.; Springer: Berlin, Germany, 1998. [Google Scholar]
- Labeau, A.; Gouy, M.; Daunay, M.C.; Wicker, E.; Chiroleu, F.; Prior, P.; Frary, A.; Dintinger, J. Genetic Mapping of a Single Dominate Resistance Gene to Ralstonia solanacearum in Eggplant. Theor. Appl. Genet. 2013, 126, 143–158. [Google Scholar] [CrossRef]
- Louws, F.J.; Rivard, C.L.; Kubota, C. Grafting fruiting vegetables to manage soilborne pathogens, foliar pathogens, arthropods and weeds. Sci. Hortic. 2010, 127, 127–146. [Google Scholar] [CrossRef]
- Meng, F. The virulence factors of the bacterial wilt pathogen Ralstonia solanacearum. J. Plant Pathol. Microb. 2013, 4, 3. [Google Scholar] [CrossRef]
- Nakaho, K.; Inoue, H.; Takayama, T.; Miyagawa, H. Distribution and multiplication of Ralstonia solanacearum in tomato plants with resistance derived from different origins. J. Gen. Plant Pathol. 2004, 70, 115–119. [Google Scholar] [CrossRef]
- Tans-Kersten, J.; Huang, H.; Allen, C. Ralstonia solanacearum needs motility for invasive virulence on tomato. J. Bacteriol. 2001, 183, 3597–3605. [Google Scholar] [CrossRef]
- Denny, T.P. Involvement of bacterial polysaccharides in plant pathogenesis. Annu. Rev. Phytopathol. 1995, 33, 173–197. [Google Scholar] [CrossRef] [PubMed]
- Saile, E.; McGarvey, J.A.; Schell, M.A.; Denny, T.P. Role of extracellular polysaccharide and endoglucanase in root invasion and colonization of tomato plants by Ralstonia solanacearum. J. Phytopath. 1997, 87, 1264–1271. [Google Scholar] [CrossRef] [PubMed]
- Planas-Marquès, M.; Kressin, J.P.; Kashyap, A.; Panthee, D.R.; Louws, F.J.; Coll, N.S. Four bottlenecks restrict colonization and invasion by the pathogen Ralstonia solanacearum in resistant tomato. J. Exp. Bot. 2020, 71, 2157–2171. [Google Scholar] [CrossRef]
- Kelman, A. The Bacterial Wilt Caused by Pseudomonas solanacearum: A Literature Review and Bibliography; North Carolina Agricultural Experiment Station: Raleigh, NC, USA, 1953. [Google Scholar]
- Adhikari, T.; Basnyat, R. Effect of crop rotation and cultivar resistance on bacterial wilt of tomato in Nepal. Can. J. Plant Pathol. 1998, 20, 283–287. [Google Scholar] [CrossRef]
- Wang, J.-F.; Lin, C.-H. Integrated Management of Tomato Bacterial Wilt; AVDRC, The World Vegetable Center: Taipei, Taiwan, 2005; pp. 5–615. [Google Scholar]
- Adebayo, O.S.; Fadamiro, H.Y.; Kintomo, A.A. Control of bacterial wilt disease of tomato through integrated crop management strategies. Int. J. Veg. Sci. 2009, 15, 96105. [Google Scholar] [CrossRef]
- Hartman, G.L.; Hong, W.F.; Hanudin, M.; Hayward, A.C. Potential of Biological and Chemical Control of Bacterial Wilt; Hartman, G.L., Hayward, A.C., Eds.; ACIAR Proceedings on Bacterial wilt No. 45; Australian Centre of International Agriculture Research: Canberra, Australia, 1993; pp. 322–326. [Google Scholar]
- Rivard, C.L.; Louws, F.J. Grafting to manage soilborne diseases in heirloom tomato production. HortScience 2008, 43, 2104–2111. [Google Scholar] [CrossRef]
- Rivard, C.L.; O’Connell, S.; Peet, M.M.; Welker, R.M.; Louws, F.J. Grafting tomato to manage bacterial wilt (caused by Ralstonia solanacearum) in the southeastern United States. Plant Dis. 2011, 96, 973–977. [Google Scholar] [CrossRef] [PubMed]
- Scott, J.W.; Wang, J.F.; Hanson, P. Breeding tomatoes for resistance to bacterial wilt, a global view. Acta Hort. 2005, 695, 161–168. [Google Scholar] [CrossRef]
- Silverman, E.J. Inoculation Methods and Screening of Selected Tomato Accessions for Bacterial wilt Incidence and Managing Bacterial wilt by Grafting with Disease Resistant Rootstocks in On-farm Trials in North Carolina. Master’s Thesis, North Carolina State University, Raleigh, NC, USA, 2015. [Google Scholar]
- Chellemi, D.O.; Hodge, N.C.; Scott, J.W.; Dankers, H.A.; Olson, S.M. Evaluating bacterial wilt-resistant tomato genotypes using a regional approach. J. Am. Soc. Hort. Sci. 1994, 119, 325–329. [Google Scholar] [CrossRef]
- Denoyes, B.; Cecilie, V.; Anais, G. Varietal resistance of tomato to bacterial wilt (Pseudomonas solanacearum) in Martinique (French West Indies). Tomato Genetic Coop. Report. 1989, 39, 11–12. [Google Scholar]
- Opena, R.T.; Hartman, G.L.; Chen, J.T.; Yang, C.H. Breeding for bacterial wilt resistance in tropical tomato. In Proceedings of the 3rd International Conference for Plant Protection in the Tropics, Genting Highlands, Malaysia, 18 March 1980. [Google Scholar]
- Hanson, P.; Wang, J.F. Variable reaction of tomato lines to bacterial wilt evaluated at several locations in Southeast Asia. HortScience 1996, 31, 143–146. [Google Scholar] [CrossRef]
- Meng, F. Ralstonia solanacearum species complex and bacterial wilt disease. J. Bacterio. Parasitol. 2013, 4, 2. [Google Scholar] [CrossRef]
- Wang, J.-F.; Olivier, J.; Thoquet, P.; Mangin, B.; Sauviac, L.; Grimsley, N.H. Resistance of tomato line Hawaii 7996 to Ralstonia solanacearum Pss4 in Taiwan is controlled mainly by a major strain-specific locus. Mol. Plant Microbe Interact. 2000, 13, 6–13. [Google Scholar] [CrossRef]
- Lin, C.H.; Hsu, S.T.; Tzeng, K.C.; Wang, J.F. Application of a preliminary screen to select locally adapted resistant rootstocks and soil amendment for integrated management of tomato bacterial wilt in Taiwan. Plant Dis. 2008, 92, 909–916. [Google Scholar] [CrossRef]
- Winstead, N.N.; Kelman, A. Inoculation techniques for evaluating resistance to Pseudomonas solanacearum. Phytopathology 1952, 42, 628–634. [Google Scholar]
- Wang, J.F.; Hanson, P.M.; Barnes, J.A. Worldwide evaluation of an international set of resistance sources to bacterial wilt in tomato. In Bacterial Wilt Disease: Molecular and Ecological Aspects; Prior, P., Allen, C., Elphinstone, J., Eds.; Springer: Berlin, Germany, 1998; pp. 269–275. [Google Scholar]
- Zehr, E.I. Strains of Pseudomonas solanacearum in the Philippines as determined by cross-inoculation of hosts at different temperatures. Philipp. Phytopathol. 1970, 6, 44–54. [Google Scholar]
- Adhikari, T.B. Identification of biovars and races of Pseudomonas solanacearum and sources of resistance in tomato in Nepal. Plant Dis. 1993, 77, 905–907. [Google Scholar] [CrossRef]
- Jaunet, T.X.; Wang, J.F. Variation in genotype and aggressiveness diversity of Ralstonia solanacearum race 1 isolated from tomato in Taiwan. Phytopathology 1999, 89, 320–327. [Google Scholar] [CrossRef] [PubMed]
- Kelman, A. The Pathogenicity of Pseudomonas solanacearum as Influenced by Culture Method, Inoculation Technique, and Nitrogen Nutrient of Host Plants. Master’s Thesis, North Carolina State University, Raleigh, NC, USA, 1949. [Google Scholar]
- Thoquet, P.; Olivier, J.; Sperisen, C.; Rogowsky, P.; Laterrot, H.; Grimsley, N. Quantitative trait loci determining resistance to bacterial wilt in tomato cultivar Hawaii7996. Mol. Plant-Microbe Interact. 1996, 9, 826–836. [Google Scholar] [CrossRef]
- Wicker, E.; Grassart, L.; Coranson-Beaudu, R.; Mian, D.; Guilbaud, C.; Fegan, M.; Prior, P. Ralstonia solanacearum strains from Martinique (French West Indies) exhibiting a new pathogenicity potential. Appl. Environ. Microbiol. 2007, 73, 6790–6801. [Google Scholar] [CrossRef] [PubMed]
- Ashrafi, H.; Kinkade, M.; Foolad, M.R. A new genetic linkage map of tomato based on a Solanum lycopersicum x S. pimpinellifolium RIL population displaying locations of candidate pathogen response genes. Genome 2009, 52, 935–956. [Google Scholar] [CrossRef] [PubMed]
- Carmeille, A.; Caranta, C.; Dintinger, J. Identification of QTLs for Ralstonia solanacearum race phylotype II resistance in tomato. Theor. Appl. Genet. 2006, 113, 110–121. [Google Scholar] [CrossRef]
- Danesh, D.; Aarons, S.; McGill, G.E.; Young, N.D. Genetic dissection of oligogenic resistance to bacterial wilt in tomato. Mol. Plant Microbe Interact. 1994, 7, 464–471. [Google Scholar] [CrossRef]
- Mangin, B.; Thoquet, P.; Olivier, J.; Grimsley, N.H. Temporal and multiple quantitative trait loci analyses of resistance to bacterial wilt in tomato permit the resolution of linked loci. Genetics 1999, 151, 1165–1172. [Google Scholar] [CrossRef]
- Miao, L.; Shou, S.; Cai, J.; Jiang, F.; Zhu, Z.; Li, H. Identification of two AFLP markers linked to bacterial wilt resistance in tomato and conversion to SCAR markers. Mol. Biol. Rep. 2009, 36, 479–486. [Google Scholar] [CrossRef]
- Truong, H.T.H.; Kim, S.Y.; Tran, H.N.; Nguyen, T.T.T.; Nguyen, L.T.; Hoang, T.K. Development of a SCAR marker linked to bacterial wilt (Ralstonia solanacearum) resistance in tomato line Hawaii 7996 using bulked-segregant analysis. Hortic. Environ. Biotechnol. 2015, 56, 506–515. [Google Scholar] [CrossRef]
- Wang, J.-F.; Ho, F.-I.; Truong, H.T.H.; Huang, S.-M.; Balatero, C.H.; Dittapongpitch, V.; Hidayati, N. Identification of major QTLs associated with stable resistance of tomato cultivar ‘Hawaii 7996′ to Ralstonia solanacearum. Euphytica 2013, 190, 241–252. [Google Scholar] [CrossRef]
- Abebe, A.M.; Choi, J.; Kim, Y.; Oh, C.S.; Yeam, I.; Nou, I.S. Development of diagnostic molecular markers for marker-assisted breeding against bacterial wilt in tomato. Breed. Sci. 2020, 70, 462–473. [Google Scholar] [CrossRef] [PubMed]
- Méline, V.; Caldwell, D.L.; Kim, B.; Khangura, R.S.; Baireddy, S.; Yang, C.; Sparks, E.E.; Dilkes, B.; Delp, E.J.; Iyer-Pascuzzi, A.S. Image-based assessment of plant disease progression identifies new genetic loci for resistance to ralstonia solanacearum in tomato. Plant J. 2023, 113, 887–903. [Google Scholar] [CrossRef]
- Liu, X.; Yang, W.; Wang, J.; Yang, M.; Wei, K.; Liu, X.; Qiu, Z.; Giang, T.; Wang, X.; Guo, Y.; et al. SlGID1a Is a putative candidate gene for qtph1.1, a major-effect quantitative trait locus controlling tomato plant height. Front. Genet. 2020, 11, 881. [Google Scholar] [CrossRef] [PubMed]
- Frasca, A.C.; Ozores-Hampton, M.; Scott, J.; McAvoy, E. Effect of plant population and breeding lines on fresh-market, compact growth habit tomatoes growth, flowering pattern, yield, and postharvest quality. HortScience 2014, 49, 1529–1536. [Google Scholar] [CrossRef]
- Lee, T.G.; Hutton, S.F.; Shekasteband, R. Fine mapping of the brachytic locus on the tomato genome. J. Am. Soc. Hort. Sci. 2018, 143, 239–247. [Google Scholar] [CrossRef]
- deVicente, M.C.; Tanksley, S.D. QTL analysis of transgressive segregation in an interspecific tomato cross. Genetics 1993, 134, 585–596. [Google Scholar] [CrossRef]
- Grandillo, S.; Tanksley, S.D. QTL analysis of horticultural traits differentiating the cultivated tomato from the closely related species Lycopersicon pimpinellifolium. Theor. Appl. Genet. 1996, 92, 935–951. [Google Scholar] [CrossRef]
- Paran, I.; Goldman, I.; Zamir, D. QTL analysis of morphological traits in a tomato recombinant inbred line population. Genome 1997, 40, 242–248. [Google Scholar] [CrossRef]
- Prudent, M.; Causse, M.; Genard, M.; Tripodi, P.; Grandillo, S.; Bertin, N. Genetic and physiological analysis of tomato fruit weight and composition: Influence of carbon availability on QTL detection. J. Exp. Bot. 2009, 60, 923–937. [Google Scholar] [CrossRef]
- Zhou, H.; Wang, X.; Huang, Z.; Gao, J.; Guo, Y.; Du, Y.; Hu, H. Identification of quantitative trait loci for fruit weight, soluble solids content, and plant morphology using an introgression line population of Solanum pennellii in a fresh market tomato inbred line. Hortic. Plant J. 2016, 2, 26–34. [Google Scholar] [CrossRef][Green Version]
- Saravitz, C.H.; Chiera, J. NCSU Phytotron Procedural Manual. For Controlled-Environment Research at the Southeastern Plant Environmental Laboratory. Tech. Bull. 2019, 244, 12. [Google Scholar]
- R Core Team. R: A Language and Environment for Statistical Computing; PBC: Boston, MA, USA, 2021; Available online: http://www.rstudio.com/ (accessed on 12 March 2024).
- Amanullah, S.; Osae, B.A.; Yang, T.; Abbas, F.; Liu, S.; Liu, H.; Wang, X.; Gao, P.; Luan, F. Mapping of genetic loci controlling fruit linked morphological traits of melon using developed CAPS markers. Mol. Biol. Rep. 2022, 49, 5459–5472. [Google Scholar] [CrossRef] [PubMed]
- McAvoy, T.; Freeman, J.H.; Rideout, S.L. Evaluation of grafting using hybrid rootstocks for management of bacterial wilt in field tomato production. Hort. Sci. 2012, 47, 621–625. [Google Scholar] [CrossRef]
- Sikirou, R.; Dossoumou, M.E.; Honfoga, J.; Afari-Sefa, V.; Srinivasan, R.; Paret, M.; Bihon, W. Screening of Amaranthus sp. Varieties for Resistance to Bacterial Wilt Caused by Ralstonia solanacearum. Horticulturae 2021, 7, 465. [Google Scholar] [CrossRef]
- Van Ooijen, J.W. Joinmap 4.0, Software for the Calculation of Genetic Linkage Maps in Experimental Populations; Plant Research International: Wageningen, The Netherlands, 2006. [Google Scholar]
- Asekova, S.; Oh, E.; Kulkarni, K.P.; Siddique, M.I.; Lee, M.H.; Kim, J.I.; Lee, J.D.; Kim, M.; Oh, K.W.; Ha, T.J.; et al. An integrated approach of QTL mapping and genome-wide association analysis identifies candidate genes for Phytophthora blight resistance in sesame (Sesamum indicum L.). Front. Plant Sci. 2021, 12, 604709. [Google Scholar] [CrossRef]
- Wang, S.; Basten, C.J.; Zeng, Z.B. Windows QTL Cartographer 2.5; Department of Statistics, North CarolinaState University: Raleigh, NC, USA, 2007. [Google Scholar]
- Siddique, M.I.; Lee, J.H.; Ahn, J.H.; Kusumawardhani, M.K.; Safitri, R.; Harpenas, A.; Kwon, J.K.; Kang, B.C. Genotyping-by-sequencing-based QTL mapping reveals novel loci for Pepper yellow leaf curl virus (PepYLCV) resistance in Capsicum annuum. PLoS ONE 2022, 7, e0264026. [Google Scholar] [CrossRef]
- Jo, J.; Kim, G.W.; Back, S.; Jang, S.; Kim, Y.; Han, K.; Choi, H.; Lee, S.; Kwon, J.K.; Lee, Y.J.; et al. Exploring horticultural traits and disease resistance in Capsicum baccatum through segmental introgression lines. Theor. Appl. Genet. 2023, 136, 233. [Google Scholar] [CrossRef]
- Lopes, C.A.; Quezado-Soares, A.M.; DeMelo, P.E. Differential resistance of tomato cultigens to biovars I and III of Pseudomonas solanacearum. Plant Dis. 1994, 78, 1091–1094. [Google Scholar] [CrossRef]
- Prior, P.; Steva, H.; Cadet, P. Aggressiveness of strains of Pseudomonas solanacearum from the French West Indies (Martinique and Guadeloupe) on tomato. Plant Dis. 1990, 74, 962–965. [Google Scholar] [CrossRef]
- Yeon, J.; Le, N.T.; Sim, S.C. Assessment of temperature-tndependent resistance against bacterial wilt using major QTL in cultivated tomato (Solanum lycopersicum L.). Plants 2022, 27, 2223. [Google Scholar] [CrossRef]
- Ibrahim, M.; El-Mansy, A. Screening of Tomato Genotypes under High Temperature in North Sinai. J. Plant Prod. 2021, 12, 161–169. [Google Scholar] [CrossRef]
- Shin, I.S.; Hsu, J.C.; Huang, S.M.; Chen, J.R.; Wang, J.F.; Hanson, P.; Schafleitner, R. Construction of a single nucleotide polymorphism marker based QTL map and validation of resistance loci to bacterial wilt caused by Ralstonia solanacearum species complex in tomato. Euphytica 2020, 216, 54. [Google Scholar] [CrossRef]
- Siddique, M.I.; Lee, H.Y.; Ro, N.Y.; Han, K.; Venkatesh, J.; Solomon, A.M.; Patil, A.S.; Changkwian, A.; Kwon, J.K.; Kang, B.C. Identifying candidate genes for Phytophthora capsici resistance in pepper (Capsicum annuum) via genotyping-by-sequencing-based QTL mapping and genome-wide association study. Sci. Rep. 2019, 9, 9962. [Google Scholar] [CrossRef]
- Adhikari, P.; Siddique, M.I.; Louws, F.J.; Panthee, D.R. Identification of quantitative trait loci associated with bacterial spot race T4 resistance in intra-specific populations of tomato (Solanum lycopersicum L.). PLoS ONE 2023, 18, e0295551. [Google Scholar] [CrossRef] [PubMed]
- Adhikari, T.B.; Siddique, M.I.; Louws, F.J.; Sim, S.-C.; Panthee, D.R. Molecular Mapping of Quantitative Trait Loci for Resistance to Early Blight in Tomatoes. Front. Plant Sci. 2023, 14, 1684. [Google Scholar] [CrossRef] [PubMed]
- Geethanjali, S.; Chen, K.Y.; Pastrana, D.V.; Wang, J.F. Development and characterization of tomato SSR markers from genomic sequences of anchored BAC clones on chromosome 6. Euphytica 2010, 173, 85–97. [Google Scholar] [CrossRef]
- Lavale, S.A.; Debnath, P.; Mathew, D.; Abdelmotelb, K.F. Two decades of omics in bacterial wilt resistance in Solanaceae, what we learned? Plant Stress 2022, 5, 100099. [Google Scholar] [CrossRef]
- Barchenger, D.W.; Hsu, Y.; Ou, J.; Lin, Y.P.; Lin, Y.C.; Balendres, M.A.O.; Hus, Y.C.; Schafleitner, R.; Hanson, P. Whole genome resequencing and complementation tests reveal candidate loci contributing to bacterial wilt (Ralstonia sp.) resistance in tomato. Sci. Rep. 2022, 12, 8374. [Google Scholar] [CrossRef] [PubMed]





| Chromosomes | Markers | Genetic Distance (cM) | Average Marker Interval (cM) | Physical Distance (Mb) |
|---|---|---|---|---|
| Chr1 | 25 | 128.1 | 5.3 | 107.2 |
| Chr2 | 35 | 72.6 | 2.1 | 84.8 |
| Chr3 | 16 | 79.9 | 5.3 | 83.6 |
| Chr4 | 18 | 48.6 | 2.8 | 77.4 |
| Chr5 | 30 | 70.7 | 2.4 | 72.4 |
| Chr6 | 24 | 78.2 | 3.4 | 56.1 |
| Chr7 | 16 | 94.7 | 6.3 | 74.8 |
| Chr8 | 27 | 92.9 | 3.5 | 62.5 |
| Chr9 | 40 | 87.4 | 2.2 | 75.4 |
| Chr10 | 28 | 88.3 | 3.2 | 77.6 |
| Chr11 | 77 | 88.6 | 1.1 | 60.2 |
| Chr12 | 42 | 71.3 | 1.7 | 68 |
| 378 | 1001.3 | 3.275 | 900 |
| Trait | QTLs | Chromosomes | Position (cM) | LOD | R2 | Additive |
|---|---|---|---|---|---|---|
| BW | qbw-01 | 1 | 2.2 | 2.7 | 8.8 | 0.70 |
| BW | qbw-02 | 2 | 42.9 | 2.5 | 3.6 | −0.38 |
| BW | qbw-03 | 3 | 54.2 | 3.1 | 14.9 | 0.09 |
| PH | qph-01 | 1 | 4.1 | 3.2 | 7.1 | −0.20 |
| PH | qph-08 | 8 | 90.7 | 4.5 | 11.0 | 0.27 |
| PH | qph-11 | 11 | 32.8 | 4.8 | 10.4 | −0.20 |
Disclaimer/Publisher’s Note: The statements, opinions and data contained in all publications are solely those of the individual author(s) and contributor(s) and not of MDPI and/or the editor(s). MDPI and/or the editor(s) disclaim responsibility for any injury to people or property resulting from any ideas, methods, instructions or products referred to in the content. |
© 2024 by the authors. Licensee MDPI, Basel, Switzerland. This article is an open access article distributed under the terms and conditions of the Creative Commons Attribution (CC BY) license (https://creativecommons.org/licenses/by/4.0/).
Share and Cite
Siddique, M.I.; Silverman, E.; Louws, F.; Panthee, D.R. Quantitative Trait Loci Mapping for Bacterial Wilt Resistance and Plant Height in Tomatoes. Plants 2024, 13, 876. https://doi.org/10.3390/plants13060876
Siddique MI, Silverman E, Louws F, Panthee DR. Quantitative Trait Loci Mapping for Bacterial Wilt Resistance and Plant Height in Tomatoes. Plants. 2024; 13(6):876. https://doi.org/10.3390/plants13060876
Chicago/Turabian StyleSiddique, Muhammad Irfan, Emily Silverman, Frank Louws, and Dilip R. Panthee. 2024. "Quantitative Trait Loci Mapping for Bacterial Wilt Resistance and Plant Height in Tomatoes" Plants 13, no. 6: 876. https://doi.org/10.3390/plants13060876
APA StyleSiddique, M. I., Silverman, E., Louws, F., & Panthee, D. R. (2024). Quantitative Trait Loci Mapping for Bacterial Wilt Resistance and Plant Height in Tomatoes. Plants, 13(6), 876. https://doi.org/10.3390/plants13060876

