Enhancing Phytoextraction Potential of Brassica napus for Contaminated Dredged Sediment Using Nitrogen Fertilizers and Organic Acids
Abstract
1. Introduction
2. Results and Discussion
2.1. Sediment Physical and Chemical Properties
2.2. Influence of Nitrogen Fertilizers and Organic Acids Application on Biomass Production
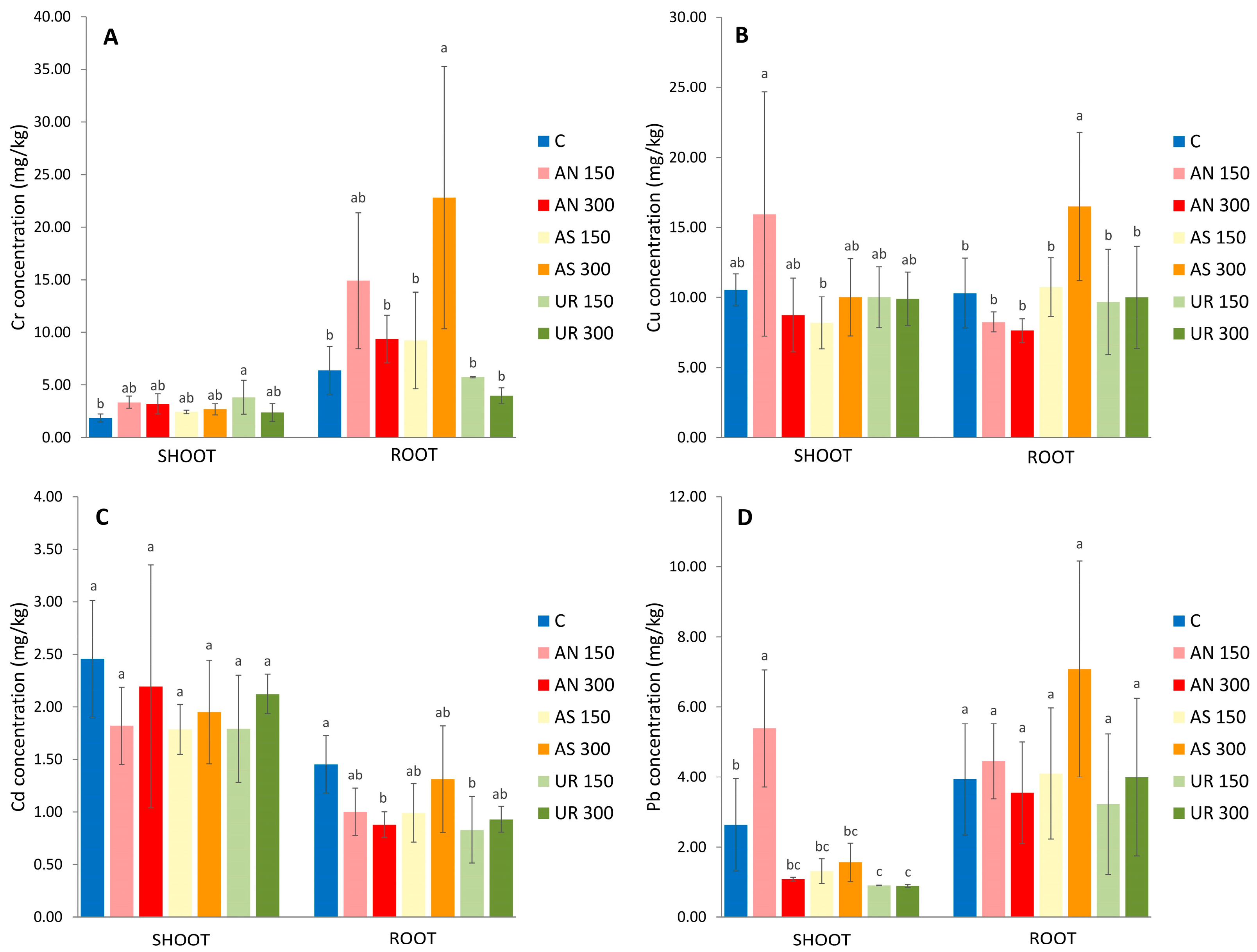
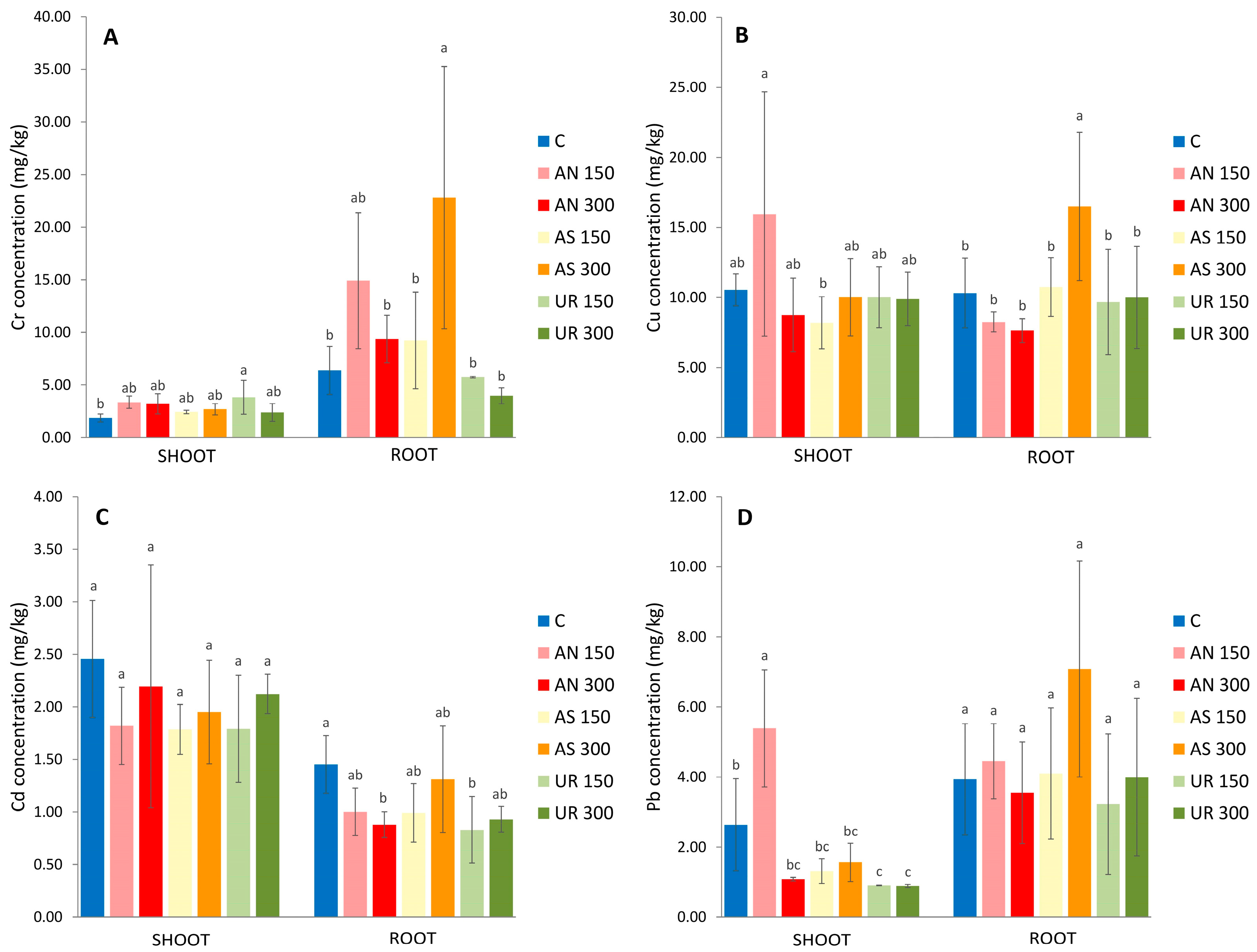
2.3. Influence of Nitrogen Fertilizer Application on Heavy Metal Uptake
2.4. Influence of Organic Acids and Combination of Organic Acids and Nitrogen Fertilizers on Heavy Metals Uptake by Brassica napus
2.5. Influence of Sediment Amendments on Oxidative Stress Parameters
2.6. Overall Efficiency of Nitrogen Fertilizers and Organic Acids in Enhancing Brassica napus Potential for Phytoextractions
3. Materials and Methods
3.1. Pot Experiment Setup
3.2. Methods of Sediment and Plant Analysis
3.3. Determination of Oxidative Stress Parameters
3.4. Data Analysis
4. Conclusions
Author Contributions
Funding
Data Availability Statement
Conflicts of Interest
References
- Bortoloti, G.A.; Baron, D. Phytoremediation of Toxic Heavy Metals by Brassica Plants: A Biochemical and Physiological Approach. Environ. Adv. 2022, 8, 100204. [Google Scholar] [CrossRef]
- Zeremski, T.; Ranđelović, D.; Jakovljević, K.; Jeromela, A.M.; Milić, S. Brassica Species in Phytoextractions: Real Potentials and Challenges. Plants 2021, 10, 2340. [Google Scholar] [CrossRef] [PubMed]
- Kasiuliene, A.; Paulauskas, V.; Kumpiene, J. Chelant-Assisted Accumulation of Cd, Cu, and Zn in Rapeseed (Brassica napus L.) Biomass as a Renewable Energy Feedstock. Pol. J. Environ. Stud. 2016, 25, 1985–1993. [Google Scholar] [CrossRef] [PubMed][Green Version]
- Liu, L.; Xu, X.; Hu, Y.; Liu, Z.; Qiao, Z. Efficiency Analysis of Bioenergy Potential on Winter Fallow Fields: A Case Study of Rape. Sci. Total Environ. 2018, 628–629, 103–109. [Google Scholar] [CrossRef] [PubMed]
- Deng, J.; Zhu, X.; Chen, P.; He, B.; Tang, S.W.; Zhao, W.; Li, X.; Zhang, R.; Lv, Z.; Kang, H.; et al. Mechanism of Lignocellulose Modification and Enzyme Disadsorption for Complete Biomass Saccharification to Maximize Bioethanol Yield in Rapeseed Stalks. Sustain. Energy Fuels 2020, 4, 607–618. [Google Scholar] [CrossRef]
- Rai, P.K.; Lee, S.S.; Zhang, M.; Tsang, Y.F.; Kim, K.H. Heavy Metals in Food Crops: Health Risks, Fate, Mechanisms, and Management. Environ. Int. 2019, 125, 365–385. [Google Scholar] [CrossRef] [PubMed]
- Dubovina, M.; Krčmar, D.; Grba, N.; Watson, M.A.; Rađenović, D.; Tomašević-Pilipović, D.; Dalmacija, B. Distribution and Ecological Risk Assessment of Organic and Inorganic Pollutants in the Sediments of the Transnational Begej Canal (Serbia-Romania). Environ. Pollut. 2018, 236, 773–784. [Google Scholar] [CrossRef]
- Sojka, M.; Jaskuła, J. Heavy Metals in River Sediments: Contamination, Toxicity, and Source Identification—A Case Study from Poland. Int. J. Environ. Res. Public Health 2022, 19, 10502. [Google Scholar] [CrossRef]
- Dendievel, A.M.; Mourier, B.; Dabrin, A.; Delile, H.; Coynel, A.; Gosset, A.; Liber, Y.; Berger, J.F.; Bedell, J.P. Metal Pollution Trajectories and Mixture Risk Assessed by Combining Dated Cores and Subsurface Sediments along a Major European River (Rhône River, France). Environ. Int. 2020, 144, 106032. [Google Scholar] [CrossRef]
- Xiao, H.; Shahab, A.; Xi, B.; Chang, Q.; You, S.; Li, J.; Sun, X.; Huang, H.; Li, X. Heavy Metal Pollution, Ecological Risk, Spatial Distribution, and Source Identification in Sediments of the Lijiang River, China. Environ. Pollut. 2021, 269, 116189. [Google Scholar] [CrossRef]
- Paul, V.; Sankar, M.S.; Vattikuti, S.; Dash, P.; Arslan, Z. Pollution Assessment and Land Use Land Cover Influence on Trace Metal Distribution in Sediments from Five Aquatic Systems in Southern USA. Chemosphere 2021, 263, 128243. [Google Scholar] [CrossRef]
- Perumal, K.; Antony, J.; Muthuramalingam, S. Heavy Metal Pollutants and Their Spatial Distribution in Surface Sediments from Thondi Coast, Palk Bay, South India. Environ. Sci. Eur. 2021, 33, 63. [Google Scholar] [CrossRef]
- Bian, X.; Zeng, L.; Deng, Y.; Li, X. The Role of Superabsorbent Polymer on Strength and Microstructure Development in Cemented Dredged Clay with Highwater Content. Polymers 2018, 10, 1069. [Google Scholar] [CrossRef]
- Amar, M.; Benzerzour, M.; Kleib, J.; Abriak, N.E. From Dredged Sediment to Supplementary Cementitious Material: Characterization, Treatment, and Reuse. Int. J. Sediment Res. 2021, 36, 92–109. [Google Scholar] [CrossRef]
- Suedel, B.C.; McQueen, A.D.; Wilkens, J.L.; Saltus, C.L.; Bourne, S.G.; Gailani, J.Z.; King, J.K.; Corbino, J.M. Beneficial Use of Dredged Sediment as a Sustainable Practice for Restoring Coastal Marsh Habitat. Integr. Environ. Assess. Manag. 2022, 18, 1162–1173. [Google Scholar] [CrossRef] [PubMed]
- Bortali, M.; Rabouli, M.; Yessari, M.; Hajjaji, A. Characterizing Harbor Dredged Sediment for Sustainable Reuse as Construction Material. Sustainability 2023, 15, 1834. [Google Scholar] [CrossRef]
- Ferrans, L.; Schmieder, F.; Mugwira, R.; Marques, M.; Hogland, W. Dredged Sediments as a Plant-Growing Substrate: Estimation of Health Risk Index. Sci. Total Environ. 2022, 846, 157463. [Google Scholar] [CrossRef] [PubMed]
- Zeremski-Škorić, T.M.; Sekulić, P.D.; Maksimović, I.V.; Šeremešić, S.I.; Ninkov, J.M.; Milić, S.B.; Vasin, J.R. Chelate-Assisted Phytoextraction: Effect of EDTA and EDDS on Copper Uptake by Brassica napus L. J. Serbian Chem. Soc. 2010, 75, 1279–1289. [Google Scholar] [CrossRef]
- Hasan, M.M.; Uddin, M.N.; Ara-Sharmeen, I.; Alharby, H.F.; Alzahrani, Y.; Hakeem, K.R.; Zhang, L. Assisting Phytoremediation of Heavy Metals Using Chemical Amendments. Plants 2019, 8, 295. [Google Scholar] [CrossRef] [PubMed]
- Diarra, I.; Kotra, K.K.; Prasad, S. Assessment of Biodegradable Chelating Agents in the Phytoextraction of Heavy Metals from Multi–Metal Contaminated Soil. Chemosphere 2021, 273, 128483. [Google Scholar] [CrossRef] [PubMed]
- Park, S.; Sung, K. Leaching Potential of Multi-Metal-Contaminated Soil in Chelate-Aided Remediation. Water. Air. Soil Pollut. 2020, 231, 40. [Google Scholar] [CrossRef]
- Kim, R.Y.; Yoon, J.K.; Kim, T.S.; Yang, J.E.; Owens, G.; Kim, K.R. Bioavailability of Heavy Metals in Soils: Definitions and Practical Implementation—A Critical Review. Environ. Geochem. Health 2015, 37, 1041–1061. [Google Scholar] [CrossRef]
- You, Y.; Dou, J.; Xue, Y.; Jin, N.; Yang, K. Chelating Agents in Assisting Phytoremediation of Uranium-Contaminated Soils: A Review. Sustainability 2022, 14, 6379. [Google Scholar] [CrossRef]
- Qiao, D.; Lu, H.; Zhang, X. Change in Phytoextraction of Cd by Rapeseed (Brassica napus L.) with Application Rate of Organic Acids and the Impact of Cd Migration from Bulk Soil to the Rhizosphere. Environ. Pollut. 2020, 267, 115452. [Google Scholar] [CrossRef] [PubMed]
- Adeleke, R.; Nwangburuka, C.; Oboirien, B. Origins, Roles and Fate of Organic Acids in Soils: A Review. S. Afr. J. Bot. 2017, 108, 393–406. [Google Scholar] [CrossRef]
- Mallhi, A.I.; Chatha, S.A.S.; Hussain, A.I.; Rizwan, M.; Bukhar, S.A.H.; Hussain, A.; Mallhi, Z.I.; Ali, S.; Hashem, A.; Abd_allah, E.F.; et al. Citric Acid Assisted Phytoremediation of Chromium through Sunflower Plants Irrigated with Tannery Wastewater. Plants 2020, 9, 380. [Google Scholar] [CrossRef]
- Al Mahmud, J.; Hasanuzzaman, M.; Nahar, K.; Bhuyan, M.H.M.B.; Fujita, M. Insights into Citric Acid-Induced Cadmium Tolerance and Phytoremediation in Brassica juncea L.: Coordinated Functions of Metal Chelation, Antioxidant Defense and Glyoxalase Systems. Ecotoxicol. Environ. Saf. 2018, 147, 990–1001. [Google Scholar] [CrossRef] [PubMed]
- Li, S.; Le, S.; Wang, X.; Bai, J.; Wang, R.; Zhao, Y. Functional Analysis of Organic Acids on Different Oilseed Rape Species in Phytoremediation of Cadmium Pollution. Plants 2020, 9, 884. [Google Scholar] [CrossRef] [PubMed]
- Yakub Ali, S.; Paul, M.; Bhattacharyya, D.; Sinha, D.; Chaudhury, S. Evaluation of Multiple Applications of EDTA and LMWOAs on Phytotoxicity and Phytoextraction of Zn, Cd, Pb and Cu in Soil with Tagetes Sp. Indian J. Soil Conserv. 2019, 47, 45–54. [Google Scholar]
- Zakari, S.; Jiang, X.; Zhu, X.; Liu, W.; Allakonon, M.G.B.; Singh, A.K.; Chen, C.; Zou, X.; Akponikpè, P.B.I.; Dossa, G.G.O.; et al. Influence of Sulfur Amendments on Heavy Metals Phytoextraction from Agricultural Contaminated Soils: A Meta-Analysis. Environ. Pollut. 2021, 288, 117820. [Google Scholar] [CrossRef]
- Cárdenas-Aguiar, E.; Suárez, G.; Paz-Ferreiro, J.; Askeland, M.P.J.; Méndez, A.; Gascó, G. Remediation of Mining Soils by Combining Brassica napus Growth and Amendment with Chars from Manure Waste. Chemosphere 2020, 261, 127798. [Google Scholar] [CrossRef]
- Konkolewska, A.; Piechalak, A.; Ciszewska, L.; Antos-Krzemińska, N.; Skrzypczak, T.; Hanć, A.; Sitko, K.; Małkowski, E.; Barałkiewicz, D.; Małecka, A. Combined Use of Companion Planting and PGPR for the Assisted Phytoextraction of Trace Metals (Zn, Pb, Cd). Environ. Sci. Pollut. Res. 2020, 27, 13809–13825. [Google Scholar] [CrossRef]
- Mendoza-Hernández, J.C.; Vázquez-Delgado, O.R.; Castillo-Morales, M.; Varela-Caselis, J.L.; Santamaría-Juárez, J.D.; Olivares-Xometl, O.; Arriola Morales, J.; Pérez-Osorio, G. Phytoremediation of Mine Tailings by Brassica Juncea Inoculated with Plant Growth-Promoting Bacteria. Microbiol. Res. 2019, 228, 126308. [Google Scholar] [CrossRef]
- Placek, A.; Grobelak, A.; Kacprzak, M. Improving the Phytoremediation of Heavy Metals Contaminated Soil by Use of Sewage Sludge. Int. J. Phytoremediation 2016, 18, 605–618. [Google Scholar] [CrossRef] [PubMed]
- Kapila, S.S.R.; Anchal, S.; Kandpal, D.B.K. Phytoremediation Mechanism in Indian Mustard (Brassica juncea) and Its Enhancement Through Agronomic Interventions. Proc. Natl. Acad. Sci. India Sect. B Biol. Sci. 2017, 89, 419–427. [Google Scholar] [CrossRef]
- Samsuri, A.W.; Tariq, F.S.; Karam, D.S.; Aris, A.Z.; Jamilu, G. Applied Geochemistry The Effects of Rice Husk Ashes and Inorganic Fertilizers Application Rates on the Phytoremediation of Gold Mine Tailings by Vetiver Grass. Appl. Geochem. 2019, 108, 104366. [Google Scholar] [CrossRef]
- Zeng, X.; Zou, D.; Wang, A.; Zhou, Y.; Liu, Y.; Li, Z.; Liu, F.; Wang, H.; Zeng, Q.; Xiao, Z. Remediation of Cadmium-Contaminated Soils Using Brassica Napus: Effect of Nitrogen Fertilizers. J. Environ. Manag. 2020, 255, 109885. [Google Scholar] [CrossRef] [PubMed]
- Maqbool, A.; Ali, S.; Rizwan, M.; Arif, M.S.; Yasmeen, T.; Riaz, M.; Hussain, A.; Noreen, S.; Abdel-Daim, M.M.; Alkahtani, S. N-Fertilizer (Urea) Enhances the Phytoextraction of Cadmium through Solanum nigrum L. Int. J. Environ. Res. Public Health 2020, 17, 3850. [Google Scholar] [CrossRef]
- Crommentujin, T.; Polder, M.D.; van den Plassche, E.J. Maximum Permissible Concentrations and Negligible Concentrations for Metals, Taking Background Concentrations into Account; RIVM Report No. 601501001; National Institute of Publick Health and the Environment: Bilthove, The Netherlands, 1997.
- Li, J.; Lu, Y.; Shim, H.; Deng, X.; Lian, J.; Jia, Z.; Li, J. Use of the BCR Sequential Extraction Procedure for the Study of Metal Availability to Plants. J. Environ. Monit. 2010, 12, 466–471. [Google Scholar] [CrossRef]
- Sungur, A.; Soylak, M.; Ozcan, H. Investigation of Heavy Metal Mobility and Availability by the BCR Sequential Extraction Procedure: Relationship between Soil Properties and Heavy Metals Availability. Chem. Speciat. Bioavailab. 2014, 26, 219–230. [Google Scholar] [CrossRef]
- Nemati, K.; Bakar, N.K.A.; Abas, M.R.; Sobhanzadeh, E. Speciation of Heavy Metals by Modified BCR Sequential Extraction Procedure in Different Depths of Sediments from Sungai Buloh, Selangor, Malaysia. J. Hazard. Mater. 2011, 192, 402–410. [Google Scholar] [CrossRef] [PubMed]
- Kashem, M.A.; Singh, B.R.; Kondo, T.; Imamul Huq, S.M.; Kawai, S. Comparison of Extractability of Cd, Cu, Pb and Zn with Sequential Extraction in Contaminated and Non-Contaminated Soils. Int. J. Environ. Sci. Technol. 2007, 4, 169–176. [Google Scholar] [CrossRef]
- Asmoay, A.S.A.; Salman, S.A.; El-Gohary, A.M.; Sabet, H.S. Evaluation of Heavy Metal Mobility in Contaminated Soils between Abu Qurqas and Dyer Mawas Area, El Minya Governorate, Upper Egypt. Bull. Natl. Res. Cent. 2019, 43, 88. [Google Scholar] [CrossRef]
- Vinokurov, E.G.; Bondar’, V.V. Prediction of Stability Constants for Cr(III) and Cr(II) Complexes. Russ. J. Coord. Chem. Khimiya 2003, 29, 66–72. [Google Scholar] [CrossRef]
- Mo, A.G.; Wang, Y.P.; Liu, Y.K.; Zhou, W.F.; Zhou, Q.; Yasin, A.; Yang, H.Y. Enhanced Viscosity of Poly(Acrylamide) Solution in the Presence of Chromium Citrate Triggered by Release of CO2. Chin. J. Chem. Phys. 2018, 31, 117–122. [Google Scholar] [CrossRef]
- Chen, H.; Dou, J.; Xu, H. The Effect of Low-Molecular-Weight Organic-Acids (LMWOAs) on Treatment of Chromium-Contaminated Soils by Compost-Phytoremediation: Kinetics of the Chromium Release and Fractionation. J. Environ. Sci. 2018, 70, 45–53. [Google Scholar] [CrossRef]
- Büker, L.; Dickbreder, R.; Böttcher, R.; Sadowski, S.; Bund, A. Investigation of The Reaction Kinetics of Chromium(III) Ions with Carboxylic Acids In Aqueous Solutions and The Associated Effects on Chromium Deposition. J. Electrochem. Soc. 2020, 167, 162509. [Google Scholar] [CrossRef]
- Kim, J.O.; Lee, Y.W.; Chung, J. The Role of Organic Acids in the Mobilization of Heavy Metals from Soil. KSCE J. Civ. Eng. 2013, 17, 1596–1602. [Google Scholar] [CrossRef]
- Martell, A.E.; Smith, R.M. Critical Stability Constants Volume 5; Springer: New York, NY, USA, 1983; Volume 11, ISBN 9781461567660. [Google Scholar]
- Albornoz, F. Crop Responses to Nitrogen Overfertilization: A Review. Sci. Hortic. 2016, 205, 79–83. [Google Scholar] [CrossRef]
- Li, S.X.; Wang, Z.H.; Stewart, B.A. Responses of Crop Plants to Ammonium and Nitrate N; Elsevier: Amsterdam, The Netherlands, 2013; Volume 118, ISBN 9780124059429. [Google Scholar]
- Dal Molin, S.J.; Ernani, P.R.; Gerber, J.M. Soil Acidification and Nitrogen Release Following Application of Nitrogen Fertilizers. Commun. Soil Sci. Plant Anal. 2020, 51, 2551–2558. [Google Scholar] [CrossRef]
- Wang, X.X.; Liu, S.; Zhang, S.; Li, H.; Maimaitiaili, B.; Feng, G.; Rengel, Z. Localized Ammonium and Phosphorus Fertilization Can Improve Cotton Lint Yield by Decreasing Rhizosphere Soil PH and Salinity. F. Crop. Res. 2018, 217, 75–81. [Google Scholar] [CrossRef]
- Kasiuliene, A.; Paulauskas, V.; Kumpiene, J. Influence of Nitrogen Fertilizer on Cd and Zn Accumulation in Rapeseed (Brassica napus L.) Biomass. Agron. Res. 2016, 14, 418–427. [Google Scholar]
- Yang, W.; Dai, H.; Dou, X.; Zhang, Q.; Wei, S. Effect and Mechanism of Commonly Used Four Nitrogen Fertilizers and Three Organic Fertilizers on Solanum nigrum L. Hyperaccumulating Cd. Environ. Sci. Pollut. Res. 2019, 26, 12940–12947. [Google Scholar] [CrossRef] [PubMed]
- Yoshii, Y.; von Rein, I.; Munthali, K.; Mwansa, M.; Nakata, H.; Nakayama, S.; Ishizuka, M.; Uchida, Y. Evaluation of Phytoremediation Effects of Chicken Manure, Urea and Lemongrass on Remediating a Lead Contaminated Soil in Kabwe, Zambia. S. Afr. J. Plant Soil 2020, 37, 351–360. [Google Scholar] [CrossRef]
- Gul, I.; Manzoor, M.; Hashmi, I.; Bhatti, M.F.; Kallerhoff, J.; Arshad, M. Plant Uptake and Leaching Potential upon Application of Amendments in Soils Spiked with Heavy Metals (Cd and Pb). J. Environ. Manag. 2019, 249, 109408. [Google Scholar] [CrossRef] [PubMed]
- Ferreyroa, G.V.; Gelma, J.; Sosa, M.D.; Orellana Benitez, M.A.; Tudino, M.B.; Lavado, R.S.; Molina, F.V. Brassica Napus Growth in Lead-Polluted Soil: Bioaccumulation in Plant Organs at Different Ontogenetic Stages and Lead Fractionation in Soil. Water. Air. Soil Pollut. 2018, 229, 213. [Google Scholar] [CrossRef]
- Shi, Y.; Xie, H.; Cao, L.; Zhang, R.; Xu, Z.; Wang, Z.; Deng, Z. Effects of Cd- and Pb-Resistant Endophytic Fungi on Growth and Phytoextraction of Brassica Napus in Metal-Contaminated Soils. Environ. Sci. Pollut. Res. 2017, 24, 417–426. [Google Scholar] [CrossRef]
- Cao, X.; Wang, X.; Tong, W.; Gurajala, H.K.; Lu, M.; Hamid, Y.; Feng, Y.; He, Z.; Yang, X. Distribution, Availability and Translocation of Heavy Metals in Soil-Oilseed Rape (Brassica napus L.) System Related to Soil Properties. Environ. Pollut. 2019, 252, 733–741. [Google Scholar] [CrossRef]
- Cao, X.; Wang, X.; Tong, W.; Gurajala, H.K.; He, Z.; Yang, X. Accumulation and Distribution of Cadmium and Lead in 28 Oilseed Rape Cultivars Grown in a Contaminated Field. Environ. Sci. Pollut. Res. 2020, 27, 2400–2411. [Google Scholar] [CrossRef]
- Fujii, K.; Morioka, K.; Hangs, R.; Funakawa, S.; Kosaki, T.; Anderson, D.W. Rapid Turnover of Organic Acids in a Dystric Brunisol under a Spruce-Lichen Forest in Northern Saskatchewan, Canada. Can. J. Soil Sci. 2013, 93, 295–304. [Google Scholar] [CrossRef]
- Ehsan, S.; Ali, S.; Noureen, S.; Mahmood, K.; Farid, M.; Ishaque, W.; Shakoor, M.B.; Rizwan, M. Citric Acid Assisted Phytoremediation of Cadmium by Brassica napus L. Ecotoxicol. Environ. Saf. 2014, 106, 164–172. [Google Scholar] [CrossRef] [PubMed]
- Nawaz, H.; Ali, A.; Saleem, M.H.; Ameer, A.; Hafeez, A.; Alharbi, K.; Ezzat, A.; Khan, A.; Jamil, M.; Farid, G. Comparative Effectiveness of EDTA and Citric Acid Assisted Phytoremediation of Ni Contaminated Soil by Using Canola (Brassica napus). Braz. J. Biol. 2022, 82, 261785. [Google Scholar] [CrossRef] [PubMed]
- Zaheer, I.E.; Ali, S.; Rizwan, M.; Farid, M.; Shakoor, M.B.; Gill, R.A.; Najeeb, U.; Iqbal, N.; Ahmad, R. Citric Acid Assisted Phytoremediation of Copper by Brassica napus L. Ecotoxicol. Environ. Saf. 2015, 120, 310–317. [Google Scholar] [CrossRef]
- Zhang, X.; Kang, J.; Pang, H.; Niu, L.; Lv, J. Sulfur Mediated Improved Thiol Metabolism, Antioxidant Enzymes System and Reduced Chromium Accumulation in Oilseed Rape (Brassica napus L.) Shoots. Environ. Sci. Pollut. Res. 2018, 25, 35492–35500. [Google Scholar] [CrossRef] [PubMed]
- Adiloglu, S.; Süme, M.T.S.A. Chrome (Cr) Pollution in Agricultural Areas Improvement by Phytoremediation Method with Canola (Brassica napus L.) Plant Growing. J. Essent. Oil-Bearing Plants 2015, 18, 1180–1186. [Google Scholar] [CrossRef]
- Singh, A.; Prasad, S.M.; Singh, R.P. Plant Responses to Xenobiotics; Springer: New York, NY, USA, 2016; ISBN 9789811028601. [Google Scholar]
- Filipović, L.; Romić, M.; Romić, D.; Filipović, V.; Ondrašek, G. Organic Matter and Salinity Modify Cadmium Soil (Phyto)Availability. Ecotoxicol. Environ. Saf. 2018, 147, 824–831. [Google Scholar] [CrossRef] [PubMed]
- Sytar, O.; Ghosh, S.; Malinska, H.; Zivcak, M.; Brestic, M. Physiological and Molecular Mechanisms of Metal Accumulation in Hyperaccumulator Plants. Physiol. Plant. 2021, 173, 148–166. [Google Scholar] [CrossRef]
- Mwamba, T.M.; Islam, F.; Ali, B.; Lwalaba, J.L.W.; Gill, R.A.; Zhang, F.; Farooq, M.A.; Ali, S.; Ulhassan, Z.; Huang, Q.; et al. Comparative Metabolomic Responses of Low- and High-Cadmium Accumulating Genotypes Reveal the Cadmium Adaptive Mechanism in Brassica Napus. Chemosphere 2020, 250, 126308. [Google Scholar] [CrossRef]
- Raza, A. Eco-Physiological and Biochemical Responses of Rapeseed (Brassica napus L.) to Abiotic Stresses: Consequences and Mitigation Strategies. J. Plant Growth Regul. 2021, 40, 1368–1388. [Google Scholar] [CrossRef]
- Chen, X.; Lin, J.; Shao, X.; Ou, X.; Wang, Z.; Lu, G. The Physiological and Molecular Responses of Arabidopsis Thaliana to the Stress of Oxalic Acid. Agric. Sci. China 2009, 8, 828–834. [Google Scholar] [CrossRef]
- Zaheer, I.E.; Ali, S.; Saleem, M.H.; Ashraf, M.A.; Ali, Q.; Abbas, Z.; Rizwan, M.; El-Sheikh, M.A.; Alyemeni, M.N.; Wijaya, L. Zinc-Lysine Supplementation Mitigates Oxidative Stress in Rapeseed (Brassica napus L.) by Preventing Phytotoxicity of Chromium, When Irrigated with Tannery Wastewater. Plants 2020, 9, 1145. [Google Scholar] [CrossRef]
- Leitão, I.; Sales, J.; Martins, L.L.; Mourato, M.P. Response to Stress Induced by Different Potentially Toxic Elements (As, Cd, Cu and Na) in Rapeseed Leaves. Plant Physiol. Rep. 2021, 26, 478–490. [Google Scholar] [CrossRef]
- Jahan, A.; Iqbal, M.; Shafiq, F.; Malik, A. Root-Zone Addition of Glutathione and Putrescine Synergistically Regulate GSH–NO Metabolism to Alleviate Cr (VI) Toxicity in Rapeseed Seedlings. Environ. Technol. Innov. 2021, 22, 101469. [Google Scholar] [CrossRef]
- Bouquet, D.; Braud, A.; Lebeau, T. Brassica Juncea Tested on Urban Soils Moderately Contaminated by Lead: Origin of Contamination and Effect of Chelates. Int. J. Phytoremed. 2017, 19, 425–430. [Google Scholar] [CrossRef]
- Brunetti, G.; Farrag, K.; Soler-Rovira, P.; Nigro, F.; Senesi, N. Greenhouse and Field Studies on Cr, Cu, Pb and Zn Phytoextraction by Brassica Napus from Contaminated Soils in the Apulia Region, Southern Italy. Geoderma 2011, 160, 517–523. [Google Scholar] [CrossRef]
- Zhong, X.; Chen, Z.; Li, Y.; Ding, K.; Liu, W.; Liu, Y.; Yuan, Y.; Zhang, M.; Baker, A.J.M.; Yang, W.; et al. Factors Influencing Heavy Metal Availability and Risk Assessment of Soils at Typical Metal Mines in Eastern China. J. Hazard. Mater. 2020, 400, 123289. [Google Scholar] [CrossRef] [PubMed]
- Zhang, R.R.; Liu, Y.; Xue, W.L.; Chen, R.X.; Du, S.T.; Jin, C.W. Slow-Release Nitrogen Fertilizers Can Improve Yield and Reduce Cd Concentration in Pakchoi (Brassica chinensis L.) Grown in Cd-Contaminated Soil. Environ. Sci. Pollut. Res. 2016, 23, 25074–25083. [Google Scholar] [CrossRef]
- Dąbrowska, G.; Hrynkiewicz, K.; Trejgell, A.; Baum, C. The Effect of Plant Growth-Promoting Rhizobacteria on the Phytoextraction of Cd and Zn by Brassica napus L. Int. J. Phytoremed. 2017, 19, 597–604. [Google Scholar] [CrossRef]
- Arain, M.B.; Kazi, T.G.; Jamali, M.K.; Jalbani, N.; Afridi, H.I.; Baig, J.A. Speciation of Heavy Metals in Sediment by Conventional, Ultrasound and Microwave Assisted Single Extraction Methods: A Comparison with Modified Sequential Extraction Procedure. J. Hazard. Mater. 2008, 154, 998–1006. [Google Scholar] [CrossRef]
- U.S. EPA. Method 3051A (SW-846): Microwave Assisted Acid Digestion of Sediments, Sludges and Oils; Revision 1; U.S. EPA: Washington, DC, USA, 2007.
- U.S. EPA. Method 6020B (SW-846): Inductively Coupled Plasma-Mass Spectrometry; Revision 2; U.S. EPA: Washington, DC, USA, 2014.
- ISO 10390:2005; Soil Quality—Determination of pH. ISO (International Organization for Standardization): Geneva, Switzerland, 2005.
- Egner, H.; Riehm, H. Untersuchangen uber die shemishe Bodenanalyse als Grundlage fur die Beurteilung des Nahrstoffzustandes der Boden. II. Shemishe Extraktionsmethoden zur Phosphor und Kaliumbestimmung. Kungl. Lantbrukshogskojans Ann. 1960, 26, 199–215. [Google Scholar]
- ISO 11277:2009; Determination of Particle Size Distribution in Mineral Soil Material. Method by Sieving and Sedimentation. ISO (International Organization for Standardization): Geneva, Switzerland, 2009.
- ISO 11261:1995; Determination of Total Nitrogen. Modified Kjeldahl Method. ISO (International Organization for Standardization): Geneva, Switzerland, 1995.
- Jambunathan, N. Plant Stress Tolerance. NIH Public Access 2010, 639, 401. [Google Scholar] [CrossRef]
- Chen, T.; Zhang, B. Measurements of Proline and Malondialdehyde Content and Antioxidant Enzyme Activities in Leaves of Drought Stressed Cotton. Bio-Protocol 2016, 6, e1913. [Google Scholar] [CrossRef]
- Sedlak, J.; Lindsay, R.H. Estimation of Total, Protein-Bound, and Nonprotein Sulfhydryl Groups in Tissue with Ellman’s Reagent. Anal. Biochem. 1968, 25, 192–205. [Google Scholar] [CrossRef] [PubMed]
- Makkar, H.P.S. Treatment of Plant Material, Extraction of Tannins, and an Overview of Tannin Assays Presented; Springer: Dordrecht, The Netherlands, 2003; pp. 43–48. ISBN 9789401702737. [Google Scholar]






| Parameter | Value |
|---|---|
| pH | 7.19 ± 0.03 |
| Conductivity (µS/cm) | 940.6 ± 126.9 |
| CEC (meg/100 g sample) | 1.19 ± 0.1 |
| Organic matter (%) | 9.20 ± 0.47 |
| Total N (%) | 0.25 ± 0.02 |
| Total S (%) | 0.16 ± 0.02 |
| Total P (g/kg) | 1470.95 ± 116.81 |
| Available P (mg/kg) | 808.98 ± 284.63 |
| Total K (mg/kg) | 5517.1 ± 1148.1 |
| Available K (mg/kg) | 221.86 ± 22.59 |
| Total Na (mg/kg) | 523.7 ± 96.4 |
| Total Mg (mg/kg) | 8367.2 ± 1124.7 |
| Total Ca (mg/kg) | 528.5 ± 250.5 |
| Total Cr (mg/kg) | 191.97 ± 2.32 |
| Total Ni (mg/kg) | 39.56 ± 3.80 |
| Total Cu (mg/kg) | 131.98 ± 1.27 |
| Total Zn (mg/kg) | 515.83 ± 13.50 |
| Total As (mg/kg) | 0.89 ± 0.10 |
| Total Cd (mg/kg) | 4.42 ± 0.11 |
| Total Pb (mg/kg) | 162.09 ± 2.77 |
| Sand % (50 µm–2000 µm) | 38.7 ± 7.2 |
| Silt % (2 µm–50 µm) | 30.6 ± 10.9 |
| Clay % (<2 µm) | 30.6 ± 4.1 |
| Water and Acid Soluble Fration F1 (mg/kg) | Reducible Fraction F2 (mg/kg) | Oxidizable Fraction F3 (mg/kg) | Residual Fraction F4 (mg/kg) | |
|---|---|---|---|---|
| Cr | 0.21 ± 0.00 | 0.33 ± 0.06 | 149.65 ± 4.53 | 41.77 ± 2.60 |
| Cu | 2.07 ± 0.10 | 3.66 ± 0.52 | 103.54 ± 3.87 | 22.71 ± 2.44 |
| Cd | 0.71 ± 0.05 | 2.25 ± 0.09 | 1.31 ± 0.13 | 0.16 ± 0.03 |
| Pb | 0.21 ± 0.02 | 9.10 ± 1.74 | 86.28 ± 16.61 | 66.49 ± 17.80 |
| Treatment | Shoot Biomass (g) | Root Biomass (g) |
|---|---|---|
| C | 3.33 ± 0.80 abcd | 0.54 ± 0.02 abcd |
| AN150 | 5.40 ± 2.18 a | 0.79 ± 0.08 a |
| AN300 | 4.39 ± 0.69 abc | 0.53 ± 0.18 abcd |
| AS150 | 4.60 ± 1.65 abc | 0.70 ± 0.32 ab |
| AS300 | 4.02 ± 0.85 abcd | 0.59 ± 0.13 abc |
| UR150 | 4.82 ± 2.14 ab | 0.61 ± 0.18 abc |
| UR300 | 3.26 ± 1.62 abcd | 0.46 ± 0.17 bcdefg |
| OA | 2.26 ± 1.39 cd | 0.23 ± 0.10 fg |
| MA | 1.67 ± 0.60 d | 0.20 ± 0.12 g |
| OA+AN | 1.86 ± 1.11 d | 0.28 ± 0.12 dfg |
| OA+AS | 2.75 ± 0.47 bcd | 0.36 ± 0.09 cdefg |
| OA+UR | 2.48 ± 0.73 bcd | 0.40 ± 0.03 cdefg |
| MA+AN | 3.23 ± 0.86 abcd | 0.48 ± 0.12 bcdef |
| MA+AS | 2.81 ± 1.01 bcd | 0.38 ± 0.12 cdefg |
| MA+UR | 3.07 ± 0.61 abcd | 0.45 ± 0.10 bcdefg |
| Treatment | BCF | TF | Accumulated Mass in Shoot (µg) | |||||||||
|---|---|---|---|---|---|---|---|---|---|---|---|---|
| Cr | Cu | Cd | Pb | Cr | Cu | Cd | Pb | Cr | Cu | Cd | Pb | |
| C | 0.011 ± 0.003 d | 0.078 ± 0.010 d | 0.445 ± 0.117 a | 0.020 ± 0.006 b | 0.319 ± 0.116 c | 1.049 ± 0.176 bcd | 1.683 ± 0.094 bc | 0.915 ± 0.911 ab | 6.23 ± 1.26 c | 35.13 ± 3.78 d | 8.19 ± 1.85 ab | 8.78 ± 4.38 b |
| AN150 | 0.022 ± 0.002 cd | 0.111 ± 0.057 cd | 0.329 ± 0.075 a | 0.037 ± 0.008 a | 0.265 ± 0.147 c | 2.007 ± 1.285 a | 1.876 ± 0.525 bc | 1.192 ± 0.536 a | 18.17 ± 3.17 bc | 86.21 ± 47.08 ab | 9.83 ± 1.99 a | 80.31 ± 34.37 a |
| AN300 | 0.018 ± 0.004 d | 0.064 ± 0.018 d | 0.394 ± 0.236 a | 0.010 ± 0.005 b | 0.359 ± 0.133 c | 1.130 ± 0.206 bcd | 2.421 ± 0.998 ab | 0.324 ± 0.125 bc | 14.09 ± 4.20 c | 38.37 ± 11.52 d | 9.62 ± 5.07 a | 14.78 ± 5.14 b |
| AS150 | 0.015 ± 0.006 cd | 0.063 ± 0.010 d | 0.322 ± 0.039 a | 0.012 ± 0.002 b | 0.413 ± 0.078 c | 0.802 ± 0.296 cd | 1.923 ± 0.659 bc | 0.379 ± 0.195 bc | 18.57 ± 12.80 bc | 37.76 ± 8.52 d | 8.21 ± 1.09 ab | 6.03 ± 1.60 b |
| AS300 | 0.024 ± 0.011 bcd | 0.080 ± 0.022 d | 0.359 ± 0.112 a | 0.016 ± 0.005 b | 0.134 ± 0.042 c | 0.636 ± 0.184 cd | 1.536 ± 0.182 bc | 0.230 ± 0.036 c | 10.83 ± 2.15 c | 40.27 ± 11.10 cd | 7.84 ± 1.98 abc | 6.28 ± 2.19 b |
| UR150 | 0.018 ± 0.007 d | 0.074 ± 0.018 d | 0.323 ± 0.110 a | 0.008 ± 0.004 b | 0.508 ± 0.378 c | 1.085 ± 0.188 bcd | 2.211 ± 0.264 ab | 0.679 ± 0.617 abc | 18.45 ± 7.72 bc | 48.26 ± 10.54 bcd | 8.62 ± 2.45 ab | 8.12 ± 6.57 b |
| UR300 | 0.012 ± 0.004 d | 0.073 ± 0.011 d | 0.379 ± 0.039 a | 0.009 ± 0.004 b | 0.392 ± 0.226 c | 1.146 ± 0.693 bcd | 2.305 ± 0.278 ab | 0.417 ± 0.223 bc | 7.82 ± 2.76 c | 32.28 ± 6.24 d | 6.93 ± 0.61 abcd | 4.61 ± 3.00 b |
| OA | 0.048 ± 0.024 ab | 0.180 ± 0.085 abc | 0.402 ± 0.124 a | 0.021 ± 0.011 b | 0.647 ± 0.195 c | 0.904 ± 0.133 bcd | 1.175 ± 0.261 c | 0.487 ± 0.067 bc | 22.35 ± 8.89 abc | 54.17 ± 24.53 bcd | 4.76 ± 1.18 bcde | 6.00 ± 3.65 b |
| MA | 0.048 ± 0.032 b | 0.186 ± 0.077 abc | 0.380 ± 0.179 a | 0.022 ± 0.008 b | 0.305 ± 0.183 c | 0.359 ± 0.093 d | 1.023 ± 0.829 c | 0.283 ± 0.265 bc | 18.35 ± 12.76 bc | 42.85 ± 20.29 cd | 3.40 ± 1.45 de | 4.35 ± 2.56 b |
| OA+AN | 0.032 ± 0.017 abcd | 0.110 ± 0.049 cd | 0.271 ± 0.136 a | 0.010 ± 0.002 b | 0.525 ± 0.187 c | 0.630 ± 0.305 cd | 1.024 ± 0.129 c | 0.319 ± 0.157 bc | 11.82 ± 5.82 c | 25.75 ± 13.42 d | 2.62 ± 1.14 e | 1.87 ± 0.47 b |
| OA+AS | 0.033 ± 0.009 abcd | 0.115 ± 0.012 bcd | 0.406 ± 0.085 a | 0.013 ± 0.001 b | 0.438 ± 0.191 c | 0.738 ± 0.238 cd | 1.221 ± 0.317 c | 0.315 ± 0.153 bc | 17.00 ± 4.10 bc | 40.83 ± 5.55 cd | 5.93 ± 1.05 abcde | 3.97 ± 0.82 b |
| OA+UR | 0.033 ± 0.006 abcd | 0.146 ± 0.024 abcd | 0.315 ± 0.095 a | 0.015 ± 0.001 b | 0.398 ± 0.185 c | 0.946 ± 0.453 bcd | 1.142 ± 0.422 c | 0.275 ± 0.152 bc | 14.75 ± 4.75 bc | 48.19 ± 11.18 bcd | 4.12 ± 1.17 cde | 3.53 ± 1.03 b |
| MA+AN | 0.045 ± 0.008 abc | 0.172 ± 0.013 abc | 0.334 ± 0.063 a | 0.019 ± 0.002 b | 1.484 ± 1.012 a | 1.699 ± 0.429 ab | 1.625 ± 0.065 bc | 0.273 ± 0.051 bc | 31.40 ± 5.44 ab | 79.23 ± 7.64 abc | 5.92 ± 0.93 abcde | 6.26 ± 1.23 b |
| MA+AS | 0.051 ± 0.005 a | 0.202 ± 0.012 ab | 0.391 ± 0.055 a | 0.020 ± 0.001 b | 0.773 ± 0.267 bc | 1.262 ± 0.170 abc | 1.533 ± 0.303 bc | 0.254 ± 0.042 bc | 30.71 ± 3.99 ab | 79.46 ± 5.20 abc | 5.96 ± 0.81 abcde | 5.97 ± 0.00 b |
| MA+UR | 0.054 ± 0.030 a | 0.212 ± 0.117 a | 0.460 ± 0.227 a | 0.019 ± 0.005 b | 1.395 ± 0.748 ab | 1.760 ± 0.324 ab | 2.916 ± 0.873 a | 0.357 ± 0.037 bc | 37.42 ± 19.82 a | 93.44 ± 51.30 a | 8.05 ± 3.45 abc | 6.56 ± 1.79 b |
| Abbreviation | Treatment | Time of Application (Days after Sowing) |
|---|---|---|
| C | no treatment | - |
| AN150 | 2.14 g ammonium nitrate per pot (150 mg N/kg) | 8 days |
| AN300 | 4.28 g ammonium nitrate per pot (300 mg N/kg) | 8 days |
| AS150 | 3.54 g ammonium sulfate per pot (150 mg N/kg) | 8 days |
| AS300 | 7.08 g ammonium sulfate per pot (300 mg N/kg) | 8 days |
| UR150 | 1.61 g urea per pot (150 mg N/kg) | 8 days |
| UR300 | 3.22 g urea per pot (300 mg N/kg) | 8 days |
| OA | 12.60 g oxalic acid dihydrate per pot (20 mmol/kg of oxalic acid) | 35 days |
| MA | 13.40 g malic acid per pot (20 mmol/kg of malic acid) | 35 days |
| OA+AN | 2.14 g ammonium nitrate per pot (150 mg N/kg) | 8 days |
| 12.60 g oxalic acid dihydrate per pot (20 mmol/kg of oxalic acid) | 35 days | |
| OA+AS | 3.54 g ammonium sulfate per pot (150 mg N/kg) | 8 days |
| 12.60 g oxalic acid dihydrate per pot (20 mmol/kg of oxalic acid) | 35 days | |
| OA+UR | 1.61 g urea per pot (150 mg N/kg) | 8 days |
| 12.60 g oxalic acid dihydrate per pot (20 mmol/kg of oxalic acid) | 35 days | |
| MA+AN | 2.14 g ammonium nitrate per pot (150 mg N/kg) | 8 days |
| 13.40 g malic acid per pot (20 mmol/kg of malic acid) | 35 days | |
| MA+AS | 3.54 g ammonium sulfate per pot (150 mg N/kg) | 8 days |
| 13.40 g malic acid per pot (20 mmol/kg of malic acid) | 35 days | |
| MA+UR | 1.61 g urea per pot (150 mg N/kg) | 8 days |
| 13.40 g malic acid per pot (20 mmol/kg of malic acid) | 35 days |
Disclaimer/Publisher’s Note: The statements, opinions and data contained in all publications are solely those of the individual author(s) and contributor(s) and not of MDPI and/or the editor(s). MDPI and/or the editor(s) disclaim responsibility for any injury to people or property resulting from any ideas, methods, instructions or products referred to in the content. |
© 2024 by the authors. Licensee MDPI, Basel, Switzerland. This article is an open access article distributed under the terms and conditions of the Creative Commons Attribution (CC BY) license (https://creativecommons.org/licenses/by/4.0/).
Share and Cite
Stojanov, N.; Maletić, S.; Beljin, J.; Đukanović, N.; Kiprovski, B.; Zeremski, T. Enhancing Phytoextraction Potential of Brassica napus for Contaminated Dredged Sediment Using Nitrogen Fertilizers and Organic Acids. Plants 2024, 13, 818. https://doi.org/10.3390/plants13060818
Stojanov N, Maletić S, Beljin J, Đukanović N, Kiprovski B, Zeremski T. Enhancing Phytoextraction Potential of Brassica napus for Contaminated Dredged Sediment Using Nitrogen Fertilizers and Organic Acids. Plants. 2024; 13(6):818. https://doi.org/10.3390/plants13060818
Chicago/Turabian StyleStojanov, Nadežda, Snežana Maletić, Jelena Beljin, Nina Đukanović, Biljana Kiprovski, and Tijana Zeremski. 2024. "Enhancing Phytoextraction Potential of Brassica napus for Contaminated Dredged Sediment Using Nitrogen Fertilizers and Organic Acids" Plants 13, no. 6: 818. https://doi.org/10.3390/plants13060818
APA StyleStojanov, N., Maletić, S., Beljin, J., Đukanović, N., Kiprovski, B., & Zeremski, T. (2024). Enhancing Phytoextraction Potential of Brassica napus for Contaminated Dredged Sediment Using Nitrogen Fertilizers and Organic Acids. Plants, 13(6), 818. https://doi.org/10.3390/plants13060818

