Purification Effect of Water Eutrophication Using the Mosaic System of Submerged–Emerged Plants and Growth Response
Abstract
1. Introduction
2. Results
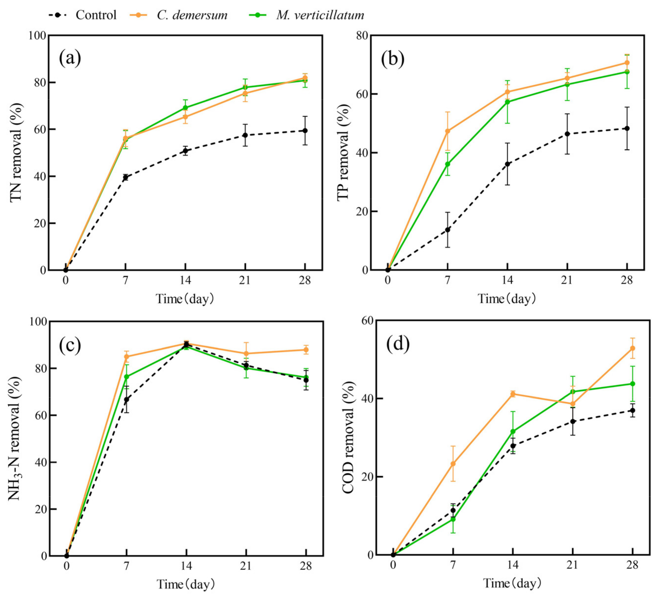
2.1. The Purification of Water Quality by Single Species of Plants
2.2. Growth Interaction and Purification Effect of Submerged Plant Combinations with Different Proportions
2.2.1. Relative Yield Totals (RYT)
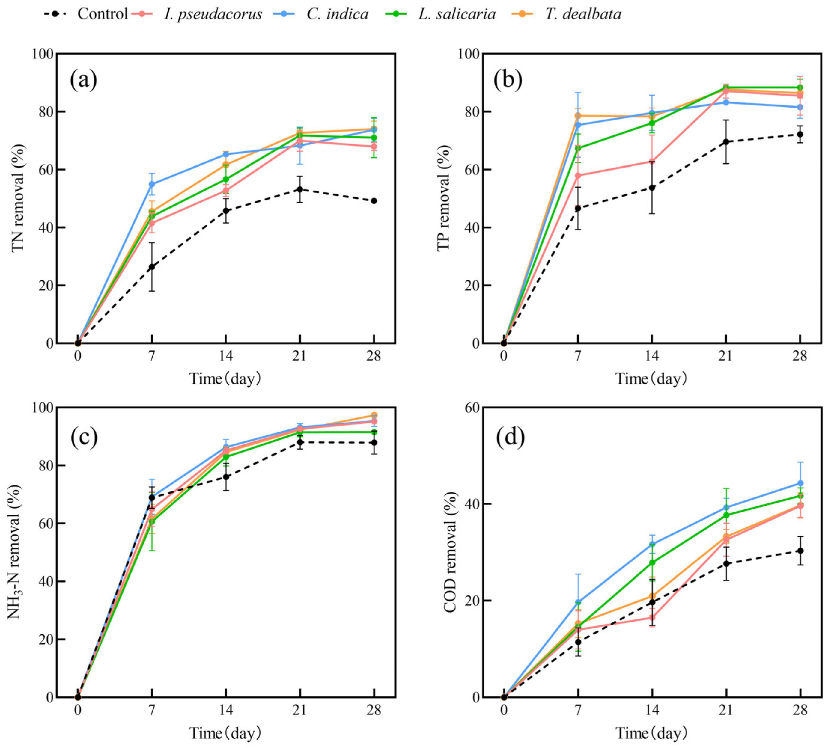
2.2.2. The Purification Effect of Different Plant Combinations
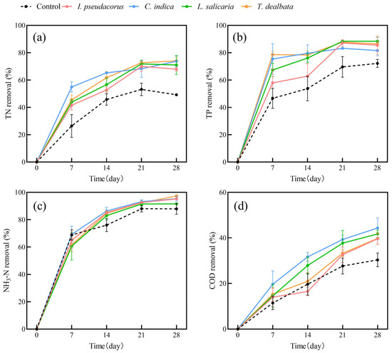
2.3. Growth Interaction and Purification Effect of Mosaic Systems
2.4. Comprehensive Evaluation of Purification Capacity
3. Discussion
3.1. Differences in Purification by Submerged Plants
3.2. Differences in Purification by Mosaic Systems
4. Materials and Methods
4.1. Materials
4.2. Methods
4.3. Sampling and Testing Methods
4.4. Statistic Analysis
5. Conclusions
Author Contributions
Funding
Data Availability Statement
Acknowledgments
Conflicts of Interest
References
- López-Pacheco, I.Y.; Silva-Núñez, A.; Salinas-Salazar, C.; Arévalo-Gallegos, A.; Lizarazo-Holguin, L.A.; Barceló, D.; Iqbal, H.M.N.; Parra-Saldívar, R. Anthropogenic contaminants of high concern: Existence in water resources and their adverse effects. Sci. Total Environ. 2019, 690, 1068–1088. [Google Scholar] [CrossRef]
- Hader, D.P.; Banaszak, A.T.; Villafañe, V.E.; Narvarte, M.A.; González, R.A.; Helbling, E.W. Anthropogenic pollution of aquatic ecosystems: Emerging problems with global implications. Sci. Total Environ. 2020, 713, 136586. [Google Scholar] [CrossRef]
- Ruan, S.; Hong, Y.; Zhuang, Y. Evolution and restoration of water quality in the process of urban development: A case study in urban lake, China. Environ. Monit. Assess. 2021, 193, 407. [Google Scholar] [CrossRef]
- Wang, X.; Wang, Y.; Yao, W.; Shangguan, L.; Zhang, X.; Jin, Q.; Cong, X.; Qian, P.; Xu, Y. Improving the efficacy of different life-form macrophytes in phytoremediation of artificial eutrophic water by combined planting. Environ. Sci. Pollut. Res. 2023, 30, 67621–67633. [Google Scholar] [CrossRef]
- Wang, X.; Jain, A.; Chen, B.; Wang, Y.; Jin, Q.; Yugandhar, P.; Xu, Y.; Sun, S.; Hu, F. Differential efficacy of water lily cultivars in phytoremediation of eutrophic water contaminated with phosphorus and nitrogen. Plant Physiol. Biochem. 2022, 171, 139–146. [Google Scholar] [CrossRef]
- Xu, J.; Liu, J.; Hu, J.; Hanxi, W.; Lianxi, S.; Xiaoliang, D.; Xiaodan, J. Nitrogen and phosphorus removal in simulated wastewater by two aquatic plants. Environ. Sci. Pollut. Res. Int. 2021, 28, 63237–63249. [Google Scholar] [CrossRef]
- Liang, Q.; Jin, X.; Feng, J.; Wu, S.; Wu, J.; Liu, Y.; Xie, Z.; Li, Z.; Chen, C. Spatial and Temporal Characteristics of Phytoplankton Communities in Drinking Water Source Reservoirs in Shenzhen, China. Plants 2023, 12, 3933. [Google Scholar] [CrossRef]
- Zhang, Y.; Luo, P.; Zhao, S.; Shuxin, K.; Pengbo, W.; Meimei, Z.; Jiqiang, L. Control and remediation methods for eutrophic lakes in the past 30 years. Water Sci. Technol. A J. Int. Assoc. Water Pollut. Res. 2020, 81, 1099–1113. [Google Scholar] [CrossRef] [PubMed]
- Le, C.; Zha, Y.; Li, Y.; Sun, H.L.; Yin, B. Eutrophication of lake waters in China: Cost, causes, and control. Environ. Manag. 2010, 45, 662–668. [Google Scholar] [CrossRef] [PubMed]
- Apurva, K.; Sayed, S.E.; Huawen, H.; Yuanzhang, Z.; Saurabh, K.; Mohammed, J.; Harraz, H.A.; Alsareii, S.A.; Xiangkai, L. World eutrophic pollution of lake and river: Biotreatment potential and future perspectives. Environ. Technol. Innov. 2021, 23, 101604. [Google Scholar]
- Zhao, L.M.; Wan, H.T. Employing of Aquatic Plants for Urban Landscape Water Purification in Kaifeng. Appl. Mech. Mater. 2012, 1802, 367–370. [Google Scholar] [CrossRef]
- Giampaolo, Z.; Lucia, B.; Maurizio, B. Assessing Stormwater Nutrient and Heavy Metal Plant Uptake in an Experimental Bioretention Pond. Land 2018, 7, 150. [Google Scholar]
- Zhao, F.; Yang, W.; Zeng, Z.; Li, H.; Yang, X.; He, Z.; Gu, B.; Rafiq, M.T.; Peng, H. Nutrient removal efficiency and biomass production of different bioenergy plants in hypereutrophic water. Biomass Bioenergy 2012, 42, 212–218. [Google Scholar] [CrossRef]
- Zhang, Z.; Li, W.; Ashraf, M.A. Allelopathic Effects of Various Aquatic Plants in Eutrophic Water Areas. J. Coast. Res. 2018, 82, 137–142. [Google Scholar]
- Gao, Y.; Yin, C.; Zhao, Y.; Liu, Z.; Liu, P.; Zhen, W.; Hu, Y.; Yu, J.; Wang, Z.; Guan, B. Effects of Diversity, Coverage and Biomass of Submerged Macrophytes on Nutrient Concentrations, Water Clarity and Phytoplankton Biomass in Two Restored Shallow Lakes. Water 2020, 12, 1425. [Google Scholar] [CrossRef]
- Wang, H.; Wang, X.; Wang, S.; Ji, X. Purification Efficiency of Compound Aquatic Plants for the Eutrophic Water Body. Appl. Mech. Mater. 2014, 3547, 430–433. [Google Scholar] [CrossRef]
- Zheng, Z.; Zhang, W.; Luo, X.; Wang, S.; Yang, X.; He, J.; Nie, E. Design and Application of Plant Ecological Space Technology in Water Eutrophication Control. J. Environ. Eng. 2019, 145, 04018142. [Google Scholar] [CrossRef]
- Li, J.; Zheng, B.; Chen, X.; Li, Z.; Xia, Q.; Wang, H.; Yang, Y.; Zhou, Y.; Hong, Y. The Use of Constructed Wetland for Mitigating Nitrogen and Phosphorus from Agricultural Runoff: A Review. Water 2021, 13, 476. [Google Scholar] [CrossRef]
- Liu, J.L.; Liu, J.K.; Anderson, J.T.; Zhang, R.; Zhang, Z.M. Potential of aquatic macrophytes and artificial floating island for removing contaminants. Plant Biosyst. Int. J. Deal. All Asp. Plant Biol. 2016, 150, 702–709. [Google Scholar] [CrossRef]
- Riis, T.; Olesen, A.; Jensen, S.M.; Alnoee, A.; Baattrup-Pedersen, T.L.; Lauridsen, S.B.K. Submerged freshwater plant communities do not show species complementarity effect in wetland mesocosms. Biol. Lett. 2018, 14, 20180635. [Google Scholar] [CrossRef]
- Liu, Z.; Zhang, M.; Li, X.; Lu, L.; Xu, J. Nitrogen and phosphorus removal of eutrophic water by the mosaic system of submerged-emerged plants. Resour Environ. Yangtze Basin 2015, 24, 171–181. [Google Scholar]
- Han, P.; Vijayaraghavan, K.; Reuben, S.; Estrada, E.S.; Joshi, U.M. Reduction of nutrient contaminants into shallow eutrophic waters through vegetated treatment beds. Water Sci. Technol. 2013, 68, 1280–1287. [Google Scholar] [CrossRef]
- Li, L.; Yang, Y.; Tam, N.F.Y.; Yang, L.; Mei, X.-Q.; Yang, F.-J. Growth characteristics of six wetland plants and their influences on domestic wastewater treatment efficiency. Ecol. Eng. 2013, 60, 382–392. [Google Scholar] [CrossRef]
- Xing, W.; Wu, H.; Hao, B.; Liu, G. Stoichiometric characteristics and responses of submerged macrophytes to eutrophication in lakes along the middle and lower reaches of the Yangtze River. Ecol. Eng. 2013, 54, 16–21. [Google Scholar] [CrossRef]
- Ji, G.; Xu, Z.; Wang, L. Effects of floating-leaved macrophytes on water quality and phytoplankton: An in situ experiment in a Chinese shallow lake. Desalination Water Treat. 2016, 57, 27519–27530. [Google Scholar]
- Rezania, S.; Kamyab, H.; Rupani, P.F.; Junboum, P.; Nicole, N.; Ewa, W.; Kumar, Y.K.; Majid, L.G.; Akbar, M.A.; Thirugnana, T.S.; et al. Recent advances on the removal of phosphorus in aquatic plant-based systems. Environ. Technol. Innov. 2021, 24, 101933. [Google Scholar] [CrossRef]
- Yu, S.; Miao, C.; Song, H.; Yanqing, H.; Wei, C.; Xingyuan, H. Efficiency of nitrogen and phosphorus removal by six macrophytes from eutrophic water. Int. J. Phytoremediat. 2019, 21, 643–651. [Google Scholar] [CrossRef]
- Rao, Q.; Su, H.; Deng, X.; Wulai, X.; Lantian, W.; Wenjian, C.; Linwei, R.; Jun, C.; Ping, X. Carbon, Nitrogen, and Phosphorus Allocation Strategy Among Organs in Submerged Macrophytes Is Altered by Eutrophication. Front. Plant Sci. 2020, 11, 524450. [Google Scholar] [CrossRef] [PubMed]
- Xu, X.; Zhou, Y.; Han, R.; Song, K.; Zhou, X.; Wang, G.; Wang, Q. Eutrophication triggers the shift of nutrient absorption pathway of submerged macrophytes: Implications for the phytoremediation of eutrophic waters. J. Environ. Manag. 2019, 239, 376–384. [Google Scholar] [CrossRef] [PubMed]
- Zhang, S.; Liu, F.; Xiao, R.; He, Y.; Wu, J. Nitrogen removal in Myriophyllum aquaticum wetland microcosms for swine wastewater treatment: 15 N-labelled nitrogen mass balance analysis. J. Sci. Food Agric. 2017, 97, 505–511. [Google Scholar] [CrossRef]
- Cui, J.; Wang, W.; Li, J.; Du, J.; Chang, Y.; Liu, X.; Hu, C.; Cui, J.; Chong, L.; Dongrui, Y. Removal effects of Myriophyllum aquaticum on combined pollutants of nutrients and heavy metals in simulated swine wastewater in summer. Ecotoxicol. Environ. Saf. 2021, 213, 112032. [Google Scholar] [CrossRef]
- Karri, R.R.; Sahu, J.N.; Chimmiri, V. Critical review of abatement of ammonia from wastewater. J. Mol. Liq. 2018, 261, 21–31. [Google Scholar] [CrossRef]
- Li, J.; Yang, X.; Wang, Z.; Shan, Y.; Zheng, Z. Comparison of four aquatic plant treatment systems for nutrient removal from eutrophied water. Bioresour. Technol. 2015, 179, 1–7. [Google Scholar] [CrossRef] [PubMed]
- Dai, J.; He, S.; Zhou, W.; Huang, J.; Chen, S.; Zeng, X. Integrated ecological floating bed treating wastewater treatment plant effluents: Effects of influent nitrogen forms and sediments. Environ. Sci. Pollut. Res. Int. 2018, 25, 18793–18801. [Google Scholar] [CrossRef] [PubMed]
- Liu, X.; Xie, J.Z.; Ning, G.H. Effects of curly-leaf pondweed (Potamogeton crispus L.) biomass on eutrophication in Baiyangdian Lake. Appl. Ecol. Environ. Res. 2016, 14, 577–587. [Google Scholar] [CrossRef]
- Liao, M.; Yu, G.; Guo, Y. Eutrophication in Poyang Lake (Eastern China) over the Last 300 Years in Response to Changes in Climate and Lake Biomass. PLoS ONE 2017, 12, e0169319. [Google Scholar] [CrossRef] [PubMed]
- Hu, W.; Wei, W.; Ye, C.; Li, C.; Zheng, Y.; Shi, X.; Chang, M.; Hongsen, C. Determining the Optimal Biomass of Macrophytes during the Ecological Restoration Process of Eutrophic Shallow Lakes. Water 2021, 13, 3142. [Google Scholar] [CrossRef]
- Sudiarto, S.I.A.; Renggaman, A.; Choi, H.L. Floating aquatic plants for total nitrogen and phosphorus removal from treated swine wastewater and their biomass characteristics. J. Environ. Manag. 2019, 231, 763–769. [Google Scholar] [CrossRef] [PubMed]
- Li, S.; Tao, S.; Yang, W.; Yan, S.; Cui, B. Interspecific relationships between submerged and emergent aquatic plants along a nitrogen gradient in a mesocosm experiment. Ecol. Indic. 2021, 133, 108360. [Google Scholar] [CrossRef]
- Spangler, J.T.; Sample, D.J.; Fox, L.J.; Owen, J.S.; White, S.A. Floating treatment wetland aided nutrient removal from agricultural runoff using two wetland species. Ecol. Eng. 2019, 127, 468–479. [Google Scholar] [CrossRef]
- Thongtha, S.; Teamkao, P.; Boonapatcharoen, N.; Tripetchkul, S.; Techkarnjararuk, S.; Thiravetyan, P. Phosphorus removal from domestic wastewater by Nelumbo nucifera Gaertn. and Cyperus alternifolius L. J. Environ. Manag. 2014, 137, 54–60. [Google Scholar] [CrossRef] [PubMed]
- Su, F.; Li, Z.; Li, Y.; Xu, L.; Li, Y.; Li, S.; Chen, H.; Zhuang, P.; Wang, F. Removal of Total Nitrogen and Phosphorus Using Single or Combinations of Aquatic Plants. Int. J. Environ. Res. Public Health 2019, 16, 4663. [Google Scholar] [CrossRef] [PubMed]
- Liu, F.; Zhang, S.; Wang, Y.; Li, Y.; Xiao, R.; Li, H.; He, Y.; Zhang, M.; Wang, D.; Li, X.; et al. Nitrogen removal and mass balance in newly-formed Myriophyllum aquaticum mesocosm during a single 28-day incubation with swine wastewater treatment. J. Environ. Manag. 2016, 166, 596–604. [Google Scholar] [CrossRef]
- Zhang, S.; Xiao, R.; Liu, F.; Zhou, J.; Li, H.; Wu, J. Effect of vegetation on nitrogen removal and ammonia volatilization from wetland microcosms. Ecol. Eng. 2016, 97, 363–369. [Google Scholar] [CrossRef]
- Lu, B.; Xu, Z.; Li, J.; Chai, X. Removal of water nutrients by different aquatic plant species: An alternative way to remediate polluted rural rivers. Ecol. Eng. 2018, 110, 18–26. [Google Scholar] [CrossRef]
- Hu, M.; Li, L.; Liu, W. Treatment Technology of Microbial Landscape Aquatic Plants for Water Pollution. Adv. Mater. Sci. Eng. 2021, 2021, 4409913. [Google Scholar] [CrossRef]
- Vymazal, J. Removal of nutrients in constructed wetlands for wastewater treatment through plant harvesting—Biomass and load matter the most. Ecol. Eng. 2020, 155, 105962. [Google Scholar] [CrossRef]
- Wu, S.; He, S.; Huang, J.; Gu, J.; Zhou, W.; Gao, L. Decomposition of Emergent Aquatic Plant (Cattail) Litter Under Different Conditions and the Influence on Water Quality. Water Air Soil Pollut. 2017, 228, 70. [Google Scholar] [CrossRef]
- Gu, S.; Du, F. Research on the Purification Effect of Aquatic Plants Based on Grey Clustering Method. IOP Conf. Ser. Mater. Sci. Eng. 2018, 301, 012118. [Google Scholar] [CrossRef]
- Theeta, S.; Weeradej, M.; John, P.; Puntaree, T.; Patompong, S. Synergistic phytoremediation of wastewater by two aquatic plants (Typha angustifolia and Eichhornia crassipes) and potential as biomass fuel. Environ. Sci. Pollut. Res. Int. 2018, 25, 5344–5358. [Google Scholar]
- Zhang, H.; Zhao, Y.; Yin, H.; Wang, Y.; Li, H.; Wang, Z.; Geng, Y.; Liang, W.; Hongjie, W. Effect of aquatic macrophyte growth on landscape water quality improvement. Environ. Sci. Pollut. Res. Int. 2019, 26, 33791–33803. [Google Scholar] [CrossRef] [PubMed]
- Hao, B.; Wu, H.; Shi, Q.; Liu, G.; Xing, W. Facilitation and competition among foundation species of submerged macrophytes threatened by severe eutrophication and implications for restoration. Ecol. Eng. 2013, 60, 76–80. [Google Scholar] [CrossRef]
- Liu, Z.; Zhu, H.; Cui, X.; Wang, W.; Luan, X.; Chen, L.; Cui, Z.; Zhang, L. Groundwater Quality Evaluation of the Dawu Water Source Area Based on Water Quality Index (WQI): Comparison between Delphi Method and Multivariate Statistical Analysis Method. Water 2021, 13, 1127. [Google Scholar] [CrossRef]







| Treatments | A Score of Each Indicator | Total Score | Rank | |||
|---|---|---|---|---|---|---|
| TN | TP | NH3-N | COD | |||
| A2B1 | 20.58 | 27.50 | 4.11 | 23.19 | 75.38 | 1 |
| A1B3 | 18.07 | 24.84 | 3.66 | 23.41 | 69.98 | 2 |
| A1B1 | 19.20 | 24.09 | 4.08 | 22.11 | 69.48 | 3 |
| A3B1 | 19.26 | 26.97 | 4.12 | 18.64 | 68.99 | 4 |
| A1B2 | 17.05 | 23.88 | 4.10 | 21.46 | 66.49 | 5 |
| Control | 13.59 | 16.52 | 3.58 | 14.10 | 47.80 | 6 |
| Treatments | A Score of Each Indicator | Total Score | Rank | |||
|---|---|---|---|---|---|---|
| TN | TP | NH3-N | COD | |||
| C + S | 36.94 | 9.75 | 2.97 | 22.17 | 71.84 | 1 |
| T + S | 35.51 | 10.43 | 2.96 | 20.37 | 69.27 | 2 |
| I + S | 32.72 | 9.26 | 2.95 | 21.79 | 66.72 | 3 |
| L + S | 34.12 | 8.47 | 2.96 | 17.54 | 63.09 | 4 |
| S | 29.80 | 9.11 | 2.83 | 17.57 | 59.31 | 5 |
| Control | 21.15 | 7.94 | 2.64 | 13.05 | 44.79 | 6 |
Disclaimer/Publisher’s Note: The statements, opinions and data contained in all publications are solely those of the individual author(s) and contributor(s) and not of MDPI and/or the editor(s). MDPI and/or the editor(s) disclaim responsibility for any injury to people or property resulting from any ideas, methods, instructions or products referred to in the content. |
© 2024 by the authors. Licensee MDPI, Basel, Switzerland. This article is an open access article distributed under the terms and conditions of the Creative Commons Attribution (CC BY) license (https://creativecommons.org/licenses/by/4.0/).
Share and Cite
Chang, B.; Xu, Y.; Zhang, Z.; Wang, X.; Jin, Q.; Wang, Y. Purification Effect of Water Eutrophication Using the Mosaic System of Submerged–Emerged Plants and Growth Response. Plants 2024, 13, 560. https://doi.org/10.3390/plants13040560
Chang B, Xu Y, Zhang Z, Wang X, Jin Q, Wang Y. Purification Effect of Water Eutrophication Using the Mosaic System of Submerged–Emerged Plants and Growth Response. Plants. 2024; 13(4):560. https://doi.org/10.3390/plants13040560
Chicago/Turabian StyleChang, Baoliang, Yingchun Xu, Ze Zhang, Xiaowen Wang, Qijiang Jin, and Yanjie Wang. 2024. "Purification Effect of Water Eutrophication Using the Mosaic System of Submerged–Emerged Plants and Growth Response" Plants 13, no. 4: 560. https://doi.org/10.3390/plants13040560
APA StyleChang, B., Xu, Y., Zhang, Z., Wang, X., Jin, Q., & Wang, Y. (2024). Purification Effect of Water Eutrophication Using the Mosaic System of Submerged–Emerged Plants and Growth Response. Plants, 13(4), 560. https://doi.org/10.3390/plants13040560

