Heat Treatment of Seeds to Control Invasive Common Ragweed (Ambrosia artemisiifolia), Narrow-Leaved Ragwort (Senecio inaequidens) and Giant Hogweed (Heracleum mantegazzianum)
Abstract
1. Introduction
2. Results
2.1. Heat Treatment
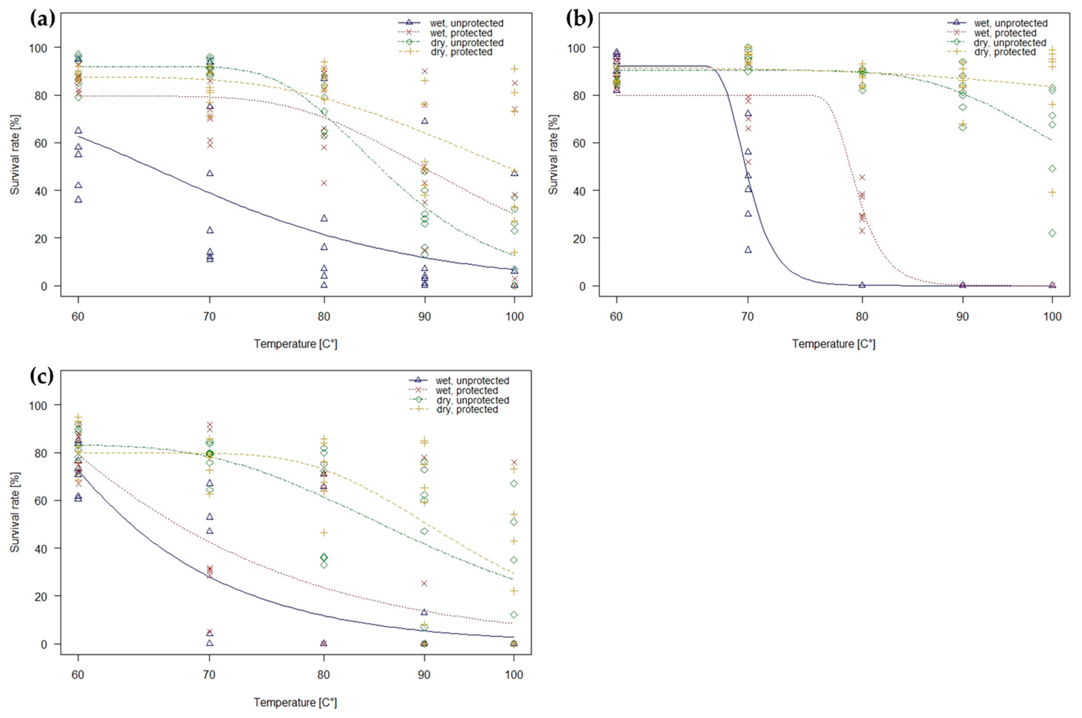
2.2. Dose–Response Curves
2.3. Hot Moisture Treatments
2.3.1. Hot Steam and Hot Water
2.3.2. Hot Foam
3. Discussion
4. Materials and Methods
4.1. Plant Material
4.2. Treatments
4.3. Hot Air Treatment
4.4. Hot Moisture Treatments
| Heat Treatment | |
|---|---|
| Treatment temperature: | 60/70/80/90/100 °C | 
| Treatment time: | 0.5/1/3/6/12/24/48 h | 
| Protection state: | unprotected (air heated) protected (incorporated in soil) | 
| Moisture state of seeds: | dry wet | 
| Hot water and Hot steam | |
| Treatment temperature: | 90 °C | 
| Treatment time: | 0.5/1/5/10/20/40 min | 
| Moisture state of seeds: | dry wet | 
| Hot foam | |
| Initial temperature: | 90.8 °C | 
| Protection state: | unprotected on soil surface protected in 1 cm soil depth protected—covered by surrounding vegetation | 
| Moisture state of seeds: | dry wet | 
4.5. Viability Testing
4.6. Data Analysis
5. Conclusions
Supplementary Materials
Author Contributions
Funding
Data Availability Statement
Acknowledgments
Conflicts of Interest
References
- Seebens, H.; Essl, F.; Dawson, W.; Fuentes, N.; Moser, D.; Pergl, J.; Pyšek, P.; van Kleunen, M.; Weber, E.; Winter, M.; et al. Global trade will accelerate plant invasions in emerging economies under climate change. Glob. Chang. Biol. 2015, 21, 4128–4140. [Google Scholar] [CrossRef] [PubMed]
- Eyster, H.N.; Wolkovich, E.M. Comparisons in the native and introduced ranges reveal little evidence of climatic adaptation in germination traits. Clim. Chang. Ecol. 2021, 2, 100023. [Google Scholar] [CrossRef]
- Richardson, D.M.; Pyšek, P.; Rejmánek, M.; Barbour, M.G.; Panetta, F.D.; West, C.J. Naturalization and invasion of alien plants: Concepts and definitions. Divers. Distrib. 2001, 6, 93–107. [Google Scholar] [CrossRef]
- Pyšek, P.; Manceur, A.M.; Alba, C.; McGregor, K.F.; Pergl, J.; Štajerová, K.; Chytrý, M.; Danihelka, J.; Kartesz, J.; Klimešová, J.; et al. Naturalization of central European plants in North America: Species traits, habitats, propagule pressure, residence time. Ecology 2015, 96, 762–774. [Google Scholar] [CrossRef] [PubMed]
- Moravcová, L.; Pyšek, P.; Jarošík, V.; Havlíčková, V.; Zákravský, P. Reproductive characteristics of neophytes in the Czech Republic: Traits of invasive and noninvasive species. Preslia 2010, 82, 365–390. [Google Scholar]
- Stuessy, T.F. Plant Taxonomy. The Systematic Evaluation of Comparative Data, 2nd ed.; Columbia University Press: New York, NY, USA, 2009; Volume 26, 539p. [Google Scholar]
- Gioria, M.; Pyšek, P.; Moravcová, L. Soil seed banks in plant invasions: Promoting species invasiveness and long-term impact on plant community dynamics. Preslia 2012, 84, 327–350. [Google Scholar]
- Gioria, M.; Carta, A.; Baskin, C.C.; Dawson, W.; Essl, F.; Kreft, H.; Pergl, J.; van Kleunen, M.; Weigelt, P.; Winter, M.; et al. Persistent soil seed banks promote naturalization and invasiveness in flowering plants. Ecol. Lett. 2021, 24, 1655–1667. [Google Scholar] [CrossRef]
- Son, D.; Chu, Y.; Lee, H. Roads as Conduits for Alien Plant Dispersal: The Amplifying Role of Road Construction in Ambrosia trifida dispersal. Sci. Total Environ. 2023, 912, 169109. [Google Scholar] [CrossRef]
- Montagnani, C.; Gentili, R.; Brundu, G.; Caronni, S.; Citterio, S. Accidental Introduction and spread of top invasive alien plants in the European Union through human-mediated pathways: What should we expect? Agronomy 2022, 12, 423. [Google Scholar] [CrossRef]
- Vitalos, M.; Karrer, G. Dispersal of Ambrosia artemisiifolia seeds along roads: The contribution of traffic and mowing machines. Neobiota 2009, 8, 53–60. [Google Scholar]
- Karrer, G.; Milakovic, I.; Kropf, M.; Blöch, C.; Dlugosch, A.; Leitsch-Vitalos, M.; Hackl, G.; Follak, S.; Fertsak, S.; Schwab, M. Ausbreitungsbiologie und Management einer extrem Allergenen, Eingeschleppten Pflanze—Wege und Ursachen der Ausbreitung von Ragweed (Ambrosia artemisiifolia) sowie Möglichkeiten seiner Bekämpfung; Endbericht; BMLFUW: Wien, Austria, 2011.
- Bullock, J.; Chapman, D.; Schaffer, S.; Roy, D.; Girardello, M.; Haynes, T.; Beal, S.; Wheeler, B.; Dickie, I.; Phang, Z.; et al. Assessing and Controlling the Spread and the Effects of Common Ragweed in Europe (ENV.B2/ETU/2010/0037). European Commission, Final Report 2012. Available online: http://ec.europa.eu/environment/nature/invasivealien/docs/Final_Final_Report.pdf (accessed on 11 November 2023).
- Smith, M.; Cecchi, L.; Skjøth, C.A.; Karrer, G.; Šikoparija, B. Common ragweed: A threat to environmental health in Europe. Environ. Int. 2013, 61, 115–126. [Google Scholar] [CrossRef] [PubMed]
- Essl, F.; Biró, K.; Brandes, D.; Broennimann, O.; Bullock, J.M.; Chapman, D.S.; Chauvel, B.; Dullinger, S.; Fumanal, B.; Guisan, A.; et al. Biological Flora of the British Isles: Ambrosia artemisiifolia. J. Ecol. 2015, 103, 1069–1098. [Google Scholar] [CrossRef]
- Pyšek, P.; Pergl, J.; Essl, F.; Lenzner, B.; Dawson, W.; Kreft, H.; Weigelt, P.; Winter, M.; Kartesz, J.; Nishino, M.; et al. Naturalized alien flora of the world: Species diversity, taxonomic and phylogenetic patterns, geographic distribution and global hotspots of plant invasion. Preslia 2017, 89, 203–274. [Google Scholar] [CrossRef]
- Nawrath, S.; Alberternst, B. Vorkommen von Ambrosia artemisiifolia an bayerischen Straßen. Hoppea 2010, 71, 249–261. [Google Scholar]
- Werner, D.J.; Rockenbach, T.; Hölscher, M.L. Herkunft, Ausbreitung, Vergesellschaftung und Ökologie von Senecio inaequidens DC. unter besonderer Berücksichtigung des Köln-Aachener Raumes. Tuexenia 1991, 11, 73–107. [Google Scholar]
- Ernst, W.H.O. Invasion, dispersal and ecology of the South African neophyte Senecio inaequidens in the Netherlands: From wool alien to railway and road alien. Acta Bot. Neerl. 1998, 47, 131–151. [Google Scholar]
- Heger, T.; Boehmer, H.J. The invasion of Central Europe by Senecio inaequidens DC.—A complex biogeographical problem. Erdkunde 2005, 59, 34–49. [Google Scholar]
- Van Kleunen, M.; Xu, X.; Yang, Q.; Maurel, N.; Zhang, Z.; Dawson, W.; Essl, F.; Kreft, H.; Pergl, J.; Pyšek, P.; et al. Economic use of plants is key to their naturalization success. Nat. Commun. 2020, 11, 3201. [Google Scholar] [CrossRef]
- Ochsmann, J. Heracleum mantegazzianum (Sommer & Levier, Apiaceae) in Deutschland—Untersuchungen zur Biologie, Verbreitung, Morphologie und Taxonomie. Feddes Rep. 1996, 107, 557–595. [Google Scholar]
- Pyšek, P.; Jarosík, V.; Müllerová, J.; Pergl, J.; Wild, J. Comparing the rate of invasion by Heracleum mantegazzianum at continental, regional, and local scales. Divers. Distrib. 2008, 14, 355–363. [Google Scholar] [CrossRef]
- Müller-Schärer, H.; Sun, Y.; Chauvel, B.; Karrer, G.; Kazinczi, G.; Kudsk, A.G.J.; Oude, M.L.; Schaffner, U.; Skjoth, C.A.; Smith, M.; et al. Cross-fertilizing weed science and plant invasion science to improve efficient management: A European challenge. Basic Appl. Ecol. 2018, 33, 1–13. [Google Scholar] [CrossRef]
- Hall, R.M.; Urban, B.; Durec, N.; Zant, L.; Aliabadi, M.; Karrer, G. Regional adjustment of management options of common ragweed (Ambrosia artemisiifolia) along roadside verges in Bavaria (2018–2022). Jul.-Kühn-Arch. 2020, 464, 295–300. [Google Scholar] [CrossRef]
- Hama, J.R.; Strobel, B.W. Occurrence of pyrrolizidine alkaloids in ragwort plants, soils and surface water at the field scale in grassland. Sci. Total Environ. 2021, 755 Pt 1, 142822. [Google Scholar] [CrossRef] [PubMed]
- Ascard, J. Effects of flame weeding on weed species at different developmental stages. Weed Res. 1995, 35, 397–411. [Google Scholar] [CrossRef]
- Rask, A.M.; Kristoffersen, P. A review of non-chemical weed control on hard surfaces. Weed Res. 2007, 47, 370–380. [Google Scholar] [CrossRef]
- Dittrich, R.; Degenkolb, L.; Schuck, M.; Dittrich, O. Weeds on hard surfaces in Saxony and efficacy of thermic weed control. J. Cultiv. Plants 2012, 64, 196–204. [Google Scholar]
- Sölter, U.; Verschwele, A. Efficacy report and guidance on options for thermal control of Ambrosia artemisiifolia. Jul.-Kühn-Arch. 2016, 455, 85–87. [Google Scholar]
- Starfinger, U.; Sölter, U. Recommendations on safety of composting or use as biogas fuel of common ragweed seed contaminated material. Jul.-Kühn-Arch. 2016, 455, 50–57. [Google Scholar]
- Kamel, E.M. Effect of heating by microwave oven on weed seed germination in imported shipments. Egypt. J. Agron. 2021, 43, 215–225. [Google Scholar] [CrossRef]
- Mohler, C.L.; Teasdale, J.R.; DiTommaso, A. Manage Weeds on your farm: A guide to ecological strategies. SARE Handb. Ser. 2021, 16. Available online: https://www.sare.org/publications/manage-weeds-on-your-farm/common-ragweed/ (accessed on 17 November 2023).
- Milewksi, A.V.; Mills, A.J. Why was the Highveld treeless? Looking laterally to the Pampas for global edaphic principles beyond biogeographical accidents. S. Afr. J. Bot. 2015, 101, 98–106. [Google Scholar] [CrossRef]
- Paula, S.; Pausas, J.G. Burning seeds: Germinative response to heat treatment in relation to resprouting ability. J. Ecol. 2008, 96, 543–552. [Google Scholar] [CrossRef]
- Gardarin, A.; Dürr, C.; Mannino, M.R.; Busset, H.; Colbach, N. Seed mortality in the soils is related to seed coat thickness. Seed Sci. Res. 2010, 20, 243–256. [Google Scholar] [CrossRef]
- Westermann, P.R.; Hildebrandt, F.; Gerowitt, B. Weed seed survival following ensiling and mesophilic anaerobic digestion in batch reactors. Weed Res. 2012, 52, 286–295. [Google Scholar] [CrossRef]
- Moravcová, L.; Gudzinskas, Z.; Pyšek, P.; Pergl, J.; Perglová, I. Seed ecology of Heracleum mantegazzianum and Heracleum sosnowskyi, two invasive species with different distributions in Europe. In Ecology and Management of Giant Hogweed (Heracleum mantegazzianum); Pyšek, P., Cock, M.J.W., Nentwig, W., Ravn, H.P., Eds.; CABI: Wallingford, UK; Cambridge, MA, USA, 2007; pp. 157–169. [Google Scholar]
- Hahn, J.; Westermann, P.R.; Heiermann, M.; Gerowitt, B. Survival of seeds from wild-flowering mixtures in the mesophilic, anaerobic digestion of the biogas process. Asp. Appl. Biol. 2007, 131, 187–192. [Google Scholar]
- Van Meerbeek, K.; Appels, L.; Dewil, R.; Calmeyn, A.; Lemmens, P.; Muys, B.; Hermy, M. Biomass of invasive plant species as a potential feedstock for bioenergy production. Biofuels Bioprod. Bioref. 2015, 9, 273–282. [Google Scholar] [CrossRef]
- Janauer, G.; Anberger, C.; Amon, M.; Becker, B.; Breyer, G.; Essl, F.; Florineth, F.; Goldschmid, U.; Janisch, J.; Jindrich, O.; et al. Neophytenmanagement. Behandlung invasiver gebietsfremder Pflanzenarten. Öwav-Arbeitsbehelf 2016, 49, 1–28. [Google Scholar]
- Dahlquist, R.M.; Prather, T.S.; Staleton, J.J. Time and temperature requirements of weed seed thermal death. Weed Sci. 2007, 55, 619–625. [Google Scholar] [CrossRef]
- Tanke, A.; Müller, J.; de Mol, F. Seed viability of Heracleum mantegazzianum (Apiaceae) is quickly reduced at temperatures prevailing in biogas plants. Agronomy 2019, 9, 332. [Google Scholar] [CrossRef]
- Baskin, J.M.; Baskin, C.C. Ecophysiology of secondary dormancy in seeds of Ambrosia artemisiifolia. Ecology 1980, 61, 475–480. [Google Scholar] [CrossRef]
- Leiblein-Wild, M.C.; Kaviani, R.; Tackenberg, O. Germination and seedling frost tolerance differ between the native and invasive range in common ragweed. Oecologia 2014, 174, 739–750. [Google Scholar] [CrossRef] [PubMed]
- Onen, H.; Akyol, N.; Farooq, S.; Ozaslan, C. Seed dormancy differences among common ragweed (Ambrosia artemisiifolia L.) populations distributed in different climatic regions of Turkey. Agric. For. 2020, 66, 169–182. [Google Scholar] [CrossRef]
- Hall, R.M.; Urban, B.; Skálová, H.; Moravcová, L.; Sölter, U.; Starfinger, U.; Kazinczi, G.; van Valkenburg, J.; Fenesi, A.; Konstantinovic, B.; et al. Seed viability of common ragweed (Ambrosia artemisiifolia L.) is affected by seed origin and age, but also by testing method and laboratory. Neobiota 2021, 70, 193–221. [Google Scholar] [CrossRef]
- Nielsen, C.; Ravn, H.P.; Nentwig, W.; Wade, M. Praxisleitfaden Riesenbärenklau—Richtlinien für das Management und die Kontrolle einer invasiven Pflanzenart in Europa; Forest & Landscape: Dänemark, Hoersholm, 2005; 44p. [Google Scholar]
- Moravcoá, L.; Pyšek, P.; Krinke, L.; Pergl, J.; Perglová, I.; Thompson, K. Seed germination, dispersal and seed bank in Heracleum mantegazzianum. In Ecology and Management of Giant Hogweed (Heracleum mantegazzianum); Pyšek, P., Cock, M.J.W., Nentwig, W., Ravn, H.P., Eds.; CABI: Wallingford, UK; Cambridge, MA, USA, 2007; pp. 157–169. [Google Scholar]
- Ren, Z.; Abbot, R.J. Seed dormancy in mediterranean Senecio vulgaris L. New Phytol. 1991, 117, 673–678. [Google Scholar] [CrossRef]
- Martelloni, L.; Frasconi, C.; Sportelli, M.; Fontanelli, M.; Raffaelli, M.; Peruzzi, A. The Use of Different Hot Foam Doses for Weed Control. Agronomy 2019, 9, 490. [Google Scholar] [CrossRef]
- Antonopoulos, N.; Kanatas, P.; Gazoulis, I.; Tataridas, A.; Ntovakos, D.; Ntaoulis, V.N. Hot foam: Evaluation of a new, non-chemical weed control option in perennial crops. Smart Agric. Technol. 2023, 3, 100063. [Google Scholar] [CrossRef]
- Starfinger, U.; Karrer, G. A standard protocol for testing viability with the Triphenyl Tetrazolium Chloride (TTC) Test. Jul.-Kuehn-Arch. 2016, 255, 65–66. [Google Scholar]
- Farooq, S.; Onen, H.; Ozaslan, C.; Baskin, C.C.; Gunal, H. Seed germination niche for common ragweed (Ambrosia artemisiifolia L.) populations naturalized in Turkey. S. Afr. J. Bot. 2019, 123, 361–371. [Google Scholar] [CrossRef]
- Moravcová, L.; Carta, A.; Pyšek, P.; Skálová, H.; Gioria, M. Long-term seed burial reveals differences in the seed-banking strategies of naturalized and invasive alien herbs. Sci. Rep. 2022, 12, 8859. [Google Scholar] [CrossRef]
- R Core Team. 2023. Available online: http://www.R-project.org/ (accessed on 13 February 2023).
- Zuur, A.F.; Ieno, E.N.; Elphick, C.S. A protocol for data exploration to avoid common statistical problem. Methods Ecol. Evol. 2010, 1, 3–14. [Google Scholar] [CrossRef]
- Bates, D.; Maechler, M.; Bolker, B.; Walker, S.; Christensen, R.H.B.; Singmann, H.; Dai, B.; Scheipl, F.; Grothendieck, G.; Green, P. lme4—Linear Mixed-Effects Models Using ‘Eigen’ and S4. R Package Version 1.1.-17. 2022. Available online: http://lme4.rforge.r-project.org/ (accessed on 18 November 2023).
- Bartoǹ, K. MuMIn—Multi-Model Inference. R Package Version 1.42.1. 2022. Available online: https://cran.r-project.org/web/packages/MuMIn/MuMIn.pdf (accessed on 18 November 2023).
- Mazerolle, M.J. AICcmodavg: Model Selection and Multimodel Inference Based on (Q)AIC(c). R Package Version 2.1-1. 2021. Available online: https://cran.r-project.org/package=AICcmodavg (accessed on 18 November 2023).
- Wei, T.; Simko, V.; Levy, M.; Xie, Y.; Jin, Y.; Zemla, J. Corrplot—Visualization of a Correlation Matrix. R Package Version 0.84. 2020. Available online: https://cran.r-project.org/web/packages/corrplot/index.html (accessed on 18 November 2023).
- Burnham, K.P.; Anderson, D.R. Model Selection and Inference: A Practical Information-Theoretic Approach, 1st ed.; Springer: New York, NY, USA, 2002. [Google Scholar]
- Ritz, C.; Baty, F.; Steibig, J.; Gerhard, D. Dose-response analysis using R. PLoS ONE 2015, 10, e0146021. [Google Scholar] [CrossRef] [PubMed]






| Species | Common Ragweed | Narrow-Leaved Ragwort | Giant Hogweed | 
|---|---|---|---|
| Factors | |||
| Treatment temperature | p < 0.001 *** | p < 0.001 *** | p < 0.001 *** | 
| Treatment time | p < 0.001 *** | p = 0.126 n.s. | p < 0.001 *** | 
| Moisture state | p < 0.001 *** | p < 0.001 *** | p < 0.001 *** | 
| Protection state | p < 0.001 *** | p = 0.120 n.s. | p = 0.381 n.s. | 
| correlation coefficient © | 0.83 | 0.86 | 0.84 | 
| regression coefficient (R2) | 0.68 | 0.74 | 0.71 | 
| Explanatory Model | AICc | ΔAICc | R2 | |
|---|---|---|---|---|
| Survival Rate | ||||
| Common ragweed | Temperature (60, 70, 80, 90, 100 °C) | 1297.2 | 0.53 | |
| Treatment time (0.5, 1, 3, 6, 12, 24, 48 h) | 1361.0 | 0.27 | ||
| Moisture state (wet vs. dry) | 1348.9 | 0.29 | ||
| Protection state (unprotected vs. protected) | 1369.6 | 0.19 | ||
| Model selection | Temperature + Moisture State + Treatment time | 1238.4 | 0.0 | 0.70 | 
| Temperature × Moisture State + Treatment time | 1241.1 | 2.7 | 0.68 | |
| Narrow-leaved ragwort | Temperature (60, 70, 80, 90, 100 °C) | 1382.3 | 0.28 | |
| Treatment time (0.5, 1, 3, 6, 12, 24, 48 h) | 1424.7 | 0.02 | ||
| Moisture state (wet vs. dry) | 1332.2 | 0.47 | ||
| Protection state (unprotected vs. protected) | 1421.9 | 0.01 | ||
| Model selection | Temperature × Moisture state | 1151.9 | 0.0 | 0.86 | 
| Temperature × Moisture State + Treatment time | 1152.8 | 0.9 | 0.87 | |
| Temperature + Moisture State | 1240.9 | 88.1 | 0.74 | |
| Giant hogweed | Temperature (60, 70, 80, 90, 100 °C) | 1340.4 | 0.38 | |
| Treatment time (0.5, 1, 3, 6, 12, 24, 48 h) | 1386.5 | 0.14 | ||
| Moisture state (wet vs. dry) | 1368.7 | 0.20 | ||
| Protection state (unprotected vs. protected) | 1401.9 | 0.01 | ||
| Model selection | Temperature + Moisture State + Treatment time | 1241.9 | 0.0 | 0.71 | 
| Temperature × Moisture State + Treatment time | 1244.1 | 2.2 | 0.70 | 
| Species | Origin | Coordinates (N/E) | Habitat Tye | Harvest Date | 
|---|---|---|---|---|
| Common ragweed | Augsburg | 48°22′32.0/10°50′19.3 | Arable field | 14 October | 
| Mühldorf am Inn | 48°16′11.1/23°32′57.6 | Federal road verge | 13 October | |
| Bernau am Chiemsee | 47°49′02.8/12°22′17.7 | Highway verge | 15 October | |
| Narrow-leaved ragwort | Munich | 48°16′34.5/11°38′31.0 | Highway parking | 8 September | 
| Meitingen | 48°32′30.0/10°50′31.4 | Federal road verge | 2 September | |
| Vienna | 48°10′54.9/16°22′54.8 | Railway station | 5 October | |
| Giant hogweed | Emersacker | 48°29′37.2/10°39′43.2 | Logging road | 13 September | 
| Köfering | 49°23′55.2/11°50′33.6 | Highway embankment | 20 September | |
| Viereth-Trunstadt | 49°55′59.0/10°46′55.6 | Commuter parking lot | 7 September | 
| Disclaimer/Publisher’s Note: The statements, opinions and data contained in all publications are solely those of the individual author(s) and contributor(s) and not of MDPI and/or the editor(s). MDPI and/or the editor(s) disclaim responsibility for any injury to people or property resulting from any ideas, methods, instructions or products referred to in the content. | 
© 2024 by the authors. Licensee MDPI, Basel, Switzerland. This article is an open access article distributed under the terms and conditions of the Creative Commons Attribution (CC BY) license (https://creativecommons.org/licenses/by/4.0/).
Share and Cite
Hall, R.M.; Urban, B.; Durec, N.; Renner-Martin, K.; Kaul, H.-P.; Wagentristl, H.; Karrer, G. Heat Treatment of Seeds to Control Invasive Common Ragweed (Ambrosia artemisiifolia), Narrow-Leaved Ragwort (Senecio inaequidens) and Giant Hogweed (Heracleum mantegazzianum). Plants 2024, 13, 341. https://doi.org/10.3390/plants13030341
Hall RM, Urban B, Durec N, Renner-Martin K, Kaul H-P, Wagentristl H, Karrer G. Heat Treatment of Seeds to Control Invasive Common Ragweed (Ambrosia artemisiifolia), Narrow-Leaved Ragwort (Senecio inaequidens) and Giant Hogweed (Heracleum mantegazzianum). Plants. 2024; 13(3):341. https://doi.org/10.3390/plants13030341
Chicago/Turabian StyleHall, Rea Maria, Bernhard Urban, Nora Durec, Katharina Renner-Martin, Hans-Peter Kaul, Helmut Wagentristl, and Gerhard Karrer. 2024. "Heat Treatment of Seeds to Control Invasive Common Ragweed (Ambrosia artemisiifolia), Narrow-Leaved Ragwort (Senecio inaequidens) and Giant Hogweed (Heracleum mantegazzianum)" Plants 13, no. 3: 341. https://doi.org/10.3390/plants13030341
APA StyleHall, R. M., Urban, B., Durec, N., Renner-Martin, K., Kaul, H.-P., Wagentristl, H., & Karrer, G. (2024). Heat Treatment of Seeds to Control Invasive Common Ragweed (Ambrosia artemisiifolia), Narrow-Leaved Ragwort (Senecio inaequidens) and Giant Hogweed (Heracleum mantegazzianum). Plants, 13(3), 341. https://doi.org/10.3390/plants13030341
 
        
 
                                                


 
       