Small Gap Dynamics in High Mountain Central European Spruce Forests—The Role of Standing Dead Trees in Gap Formation
Abstract
1. Introduction
- -
- To enhance the information about the proportion (share) of large SDTs on total amount of deadwood (coarse woody debris) in spruce mountain stands;
- -
- To provide a new piece of information about the mean residence time of canopy SDTs in the first decay class and their basic specific gravity compared with the specific gravity of living trees (LTs) growing at the same sites;
- -
- To explore the relationships and variability between the mean residence time, basic specific gravity, and the age–size-related characteristics of SDTs in given conditions;
- -
- To identify the wood anatomical changes of standing living and dead trees associated with the gap formation;
- -
- To explore possible differences in relations of basic specific gravity and age–size-related characteristics between groups of SDTs and LTs, to reveal the possible causes of SDT mortality and the initiation of the gap formation.
2. Results
2.1. Deadwood Structure and Dynamics
2.2. Living Trees (LTs) Chronologies
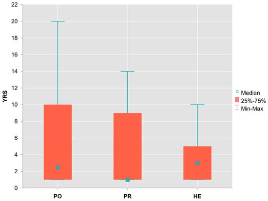
2.3. Gapmakers—Standing Dead Trees (SDTs)
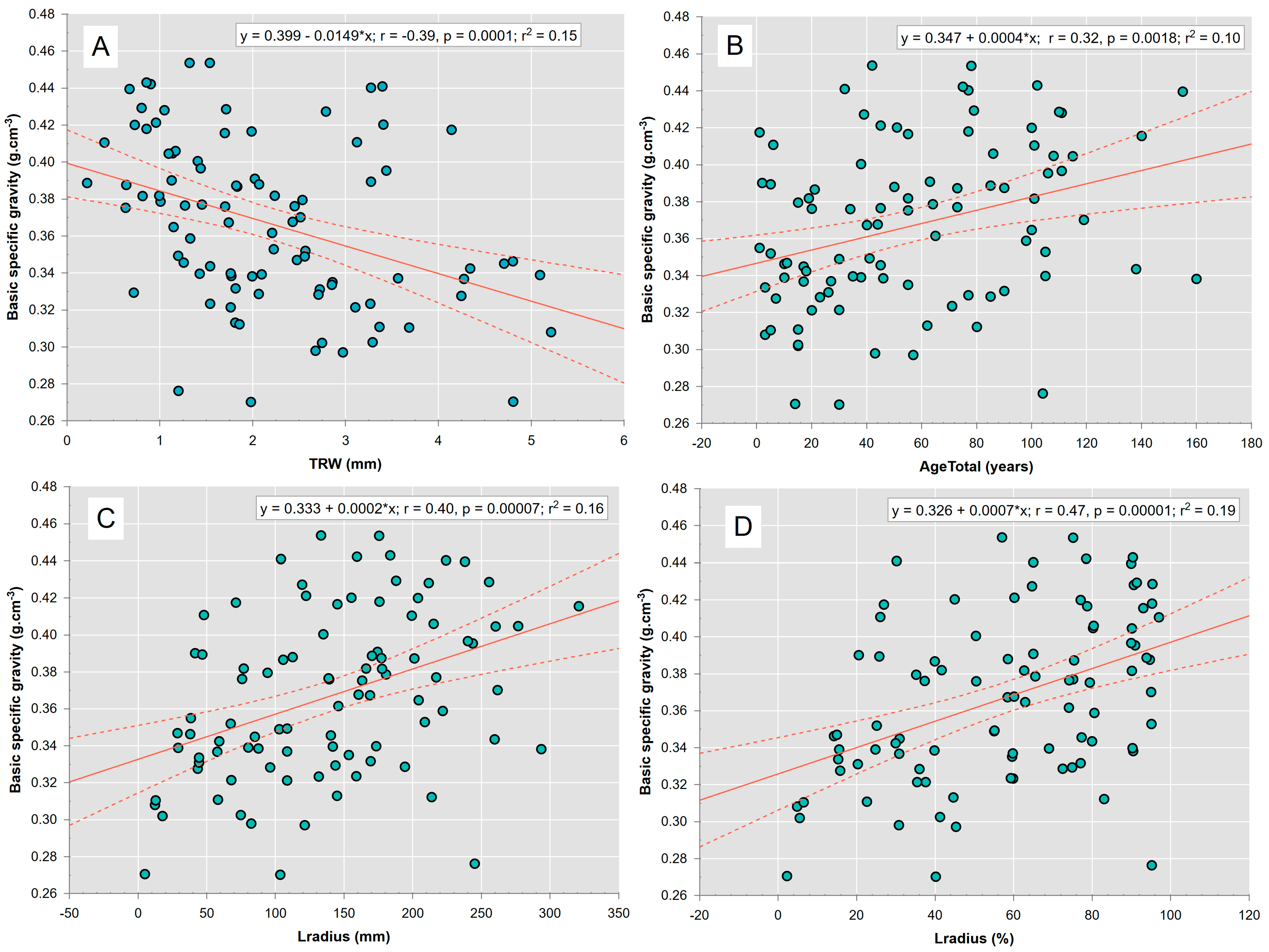
2.4. Basic Specific Gravity and Wood Anatomy of LTs and SDTs
3. Discussion
4. Materials and Methods
4.1. Study Area
4.2. Deadwood Analysis
4.3. Analysis of Standing Dead Trees
4.4. Dendrochronological Dating of LT and SDT Core Samples
4.5. Estimation of the Mean Time of Gap Creation (Formation)
4.6. Basic Specific Gravity
4.7. Wood Anatomy
4.8. Basic Specific Gravity and Radial Variation
5. Conclusions
Author Contributions
Funding
Data Availability Statement
Acknowledgments
Conflicts of Interest
Appendix A


References
- Whitmore, T.C. Canopy gaps and the two major groups of forest trees. Ecology 1989, 70, 536–538. [Google Scholar] [CrossRef]
- Runkle, J.R. Patterns of disturbance in some old-growth mesic forests of Eastern north America. Ecology 1982, 63, 1533–1546. [Google Scholar] [CrossRef]
- Parobeková, Z.; Pittner, J.; Kucbel, S.; Saniga, M.; Filípek, M.; Sedmáková, D.; Vencurik, J.; Jaloviar, P. Structural diversity in a mixed spruce-fir-beech old-growth forest remnant of the Western Carpathians. Forests 2018, 9, 379. [Google Scholar] [CrossRef]
- Mencuccini, M.; Oñate, M.; Peñuelas, J.; Rico, L.; Munné-Bosch, S. No signs of meristem senescence in old Scots pine. J. Ecol. 2014, 102, 555–565. [Google Scholar] [CrossRef]
- Piovesan, G.; Biondi, F. On tree longevity. New Phytol. 2021, 231, 1318–1337. [Google Scholar] [CrossRef] [PubMed]
- Larson, A.J.; Franklin, J.F. The tree mortality regime in temperate old-growth coniferous forests: The Role of Physical Damage. Can. J. For. Res. 2010, 40, 2091–2103. [Google Scholar] [CrossRef]
- Holzwarth, F.; Kahl, A.; Bauhus, J.; Wirth, C. Many ways to die partitioning tree mortality dynamics in a near-natural mixed deciduous forest. J. Ecol. 2013, 101, 220–230. [Google Scholar] [CrossRef]
- Leibundgut, H. Über Zweck Und Methodik Der Struktur-Und Zuwachsanalyse von Urwäldern (About the purpose and methodology of structural and growth analysis of primeval forests). Schweiz. Z. Für Forstwes. 1959, 110, 111–124. [Google Scholar]
- Korpeľ, Š. Die Urwälder Der Westkarpaten (The Primeval Forests of the Western Carphatians); Gustav Fischer Verlag: Stuttgart, Germany, 1995. [Google Scholar]
- Kucbel, S.; Jaloviar, P.; Saniga, M.; Vencurik, J.; Klimaš, V. Canopy gaps in an old-growth fir-beech forest remnant of Western Carpathians. Eur. J. For. Res. 2010, 129, 249–259. [Google Scholar] [CrossRef]
- Trotsiuk, V.; Svoboda, M.; Janda, P.; Mikolas, M.; Bace, R.; Rejzek, J.; Samonil, P.; Chaskovskyy, O.; Korol, M.; Myklush, S. A Mixed severity disturbance regime in the primary Picea abies (L.) Karst. forests of the Ukrainian Carpathians. For. Ecol. Manag. 2014, 334, 144–153. [Google Scholar] [CrossRef]
- Liu, Q.; Hytteborn, H. Gap structure, disturbance and regeneration in a primeval Picea abies Forest. J. Veg. Sci. 1991, 2, 391–402. [Google Scholar] [CrossRef]
- Canham, C.D. Different respones to gaps among shade-tollerant tree species. Ecology 1989, 70, 548–550. [Google Scholar] [CrossRef]
- Mccarthy, J.W.; Weetman, G. Age and size structure of gap-dynamic, old-growth boreal forest stands in Newfoundland. Silva Fenn. 2006, 40, 209–230. [Google Scholar] [CrossRef]
- Feldmann, E.; Drößler, L.; Hauck, M.; Kucbel, S.; Pichler, V.; Leuschner, C. Canopy Gap dynamics and tree understory release in a virgin beech forest, Slovakian Carpathians. For. Ecol. Manag. 2018, 415–416, 38–46. [Google Scholar] [CrossRef]
- Griffiths, P.; Kuemmerle, T.; Baumann, M.; Radeloff, V.C.; Abrudan, I.V.; Lieskovsky, J.; Munteanu, C.; Ostapowicz, K.; Hostert, P. Forest disturbances, forest recovery, and changes in forest types across the Carpathian ecoregion from 1985 to 2010 based on landsat image composites. Remote Sens. Env. 2014, 151, 72–88. [Google Scholar] [CrossRef]
- Lertzman, K.P.; Krebs, C.J. Gap-phase structure of a subalpine old-growth forest. Can. J. For. Res. 1991, 21, 1730–1741. [Google Scholar] [CrossRef]
- Bottero, A.; Garbarino, M.; Dukić, V.; Govedar, Z.; Lingua, E.; Nagel, T.A.; Motta, R. Gap-Phase Dynamics in the old-growth forest of Lom, Bosnia and Herzegovina. Silva Fenn. 2011, 45, 875–887. [Google Scholar] [CrossRef]
- Yan, Q.; Zhu, C.; Zhu, J.; Song, L.; Wang, G.G.; Lu, D. Estimating gap age using tree-ring width in combination with carbon isotope discrimination in a temperate forest, Northeast China. Ann. For. Sci. 2022, 79, 25. [Google Scholar] [CrossRef]
- Battles, J.J.; Fahey, T.J. Gap Dynamics Following forest decline: A case study of red spruce forests. Ecol. Appl. 2000, 10, 760–774. [Google Scholar] [CrossRef]
- Lertzman, K.P. Gap-Phase Community Dynamics in a Sub-Alpine Old Growth Forest. Ph.D. Thesis, University of British Columbia, Kelowna, BC, Canada, 1989. [Google Scholar]
- Parobeková, Z.; Sedmáková, D.; Kucbel, S.; Pittner, J.; Jaloviar, P.; Saniga, M.; Balanda, M.; Vencurik, J. Influence of disturbances and climate on high-mountain Norway spruce forests in the Low Tatra Mts., Slovakia. For. Ecol. Manag. 2016, 380, 128–138. [Google Scholar] [CrossRef]
- Seymour, R.S.; White, A.S.; DeMaynadier, P.G. Natural disturbance regimes in northeastern North America—Evaluating silvicultural systems using natural scales and frequencies. For. Ecol. Manag. 2002, 155, 357–367. [Google Scholar] [CrossRef]
- Kern, C.C.; Burton, J.I.; Raymond, P.; Amato, A.D. Challenges facing gap-based silviculture and possible solutions for mesic northern forests in North America. Forestry 2017, 90, 4–17. [Google Scholar] [CrossRef]
- Vanderwel, M.C.; Malcolm, J.R.; Smith, S.M. An integrated model for snag and downed woody debris decay class transitions. For. Ecol. Manag. 2006, 234, 48–59. [Google Scholar] [CrossRef]
- Aakala, T. Coarse woody debris in late-successional Picea abies forests in Northern Europe: Variability in quantities and models of decay class dynamics. For. Ecol. Manag. 2010, 260, 770–779. [Google Scholar] [CrossRef]
- Harmon, M.E.; Woodall, C.W.; Fasth, B.; Sexton, J.; Yatkov, M. Differences between Standing and Downed Dead Tree Wood Density Reduction Factors: A Comparison across Decay Classes and Tree Species; Res. Pap. NRS-15; US Department of Agriculture, Forest Service, Northern Research Station: Newtown Square, PA, USA, 2011; pp. 1–40. [Google Scholar]
- Cousins, S.J.M.; Battles, J.J.; Sanders, J.E.; York, R.A. Decay patterns and carbon density of standing dead trees in California mixed conifer forests. For. Ecol. Manag. 2015, 353, 136–147. [Google Scholar] [CrossRef]
- Russell, M.B.; Fraver, S.; Aakala, T.; Gove, J.H.; Woodall, C.W.; Amato, A.W.D.; Ducey, M.J. Quantifying Carbon stores and decomposition in dead wood: A review. For. Ecol. Manag. 2015, 350, 107–128. [Google Scholar] [CrossRef]
- Přívětivý, T.; Adam, D.; Vrška, T. Decay dynamics of Abies alba and Picea abies deadwood in relation to environmental conditions. For. Ecol. Manag. 2018, 427, 250–259. [Google Scholar] [CrossRef]
- Kruys, N.; Jonsson, B.G.; Stahl, G. A Stage-based matrix model for decay-class dynamics of woody debris. Ecol. Appl. 2002, 12, 773–781. [Google Scholar] [CrossRef]
- Zielonka, T. When does dead wood turn into a substrate for spruce replacement? J. Veg. Sci. 2006, 17, 739–746. [Google Scholar] [CrossRef]
- Mukhortova, L.V.; Krivobokov, L.V.; Schepaschenko, D.G.; Knorre, A.A.; Sobachkin, D.S. Stock of standing dead trees in boreal forests of Central Siberia. IOP Conf. Ser. Earth Environ. Sci. 2021, 875, 012059. [Google Scholar] [CrossRef]
- Mukhortova, L.V.; Kirdyanov, A.V.; Myglan, V.S.; Guggenberger, G. Wood transformation in dead-standing trees in the forest-tundra of Central Siberia. Biol. Bull. 2009, 36, 58–65. [Google Scholar] [CrossRef]
- Gärtner, A.; Jönsson, A.M.; Metcalfe, D.B.; Pugh, T.A.M.; Tagesson, T.; Ahlström, A. Temperature and tree size explain the mean time to fall of dead standing trees across large scales. Forests 2023, 14, 1017. [Google Scholar] [CrossRef]
- Fraver, S.; Milo, A.M.; Bradford, J.B.; D’Amato, A.W.; Kenefic, L.; Palik, B.J.; Woodall, C.W.; Brissette, J. Woody debris volume depletion through decay: Implications for biomass and carbon accounting. Ecosystems 2013, 16, 1262–1272. [Google Scholar] [CrossRef]
- Goggans, J.F. The interplay of environment and heredity as factors controlling wood properties in conifers with special emphasis on their effects on specific gravity. Tech. Report. Sch. For. N.C. St. Coll. 1961. No. 11. [Google Scholar]
- Goggans, J.F. The correlation, variation, and inheritance of wood properties in Loblolly pine (Pinus taeda L.). Tech. Report. Sch. For. N.C. St. Coll. 1962. No. 14. [Google Scholar]
- Bradford, M.A.; Warren, R.J.; Baldrian, P.; Crowther, T.W.; Maynard, D.S.; Oldfield, E.E.; Wieder, W.R.; Wood, S.A.; King, J.R. Climate fails to predict wood decomposition at regional scales. Nat. Clim. Chang. 2014, 4, 625–630. [Google Scholar] [CrossRef]
- Pamerleau-Couture, É.; Rossi, S.; Pothier, D.; Krause, C. Wood properties of black spruce (Picea mariana (Mill.) BSP) in relation to ring width and tree height in even- and uneven-aged boreal stands. Ann. For. Sci. 2019, 76, 43. [Google Scholar] [CrossRef]
- Piispanen, R.; Heinonen, J.; Valkonen, S.; Mäkinen, H.; Lundqvist, S. Wood density of Norway spruce in uneven-aged stands. Can. J. For. Res. 2014, 144, 136–144. [Google Scholar] [CrossRef]
- Wang, L.; Payette, S.; Bégin, Y. Relationships between anatomical and densitometric characteristics of black spruce and summer temperature at tree line in northern Quebec. Can. J. For. Res. 2002, 32, 477–486. [Google Scholar] [CrossRef]
- Jyske, T.; Mäkinen, H.; Saranpaa, P. Wood density within Norway spruce stems. Silva Fenn. 2008, 42, 439–455. [Google Scholar] [CrossRef]
- Angers, V.A.; Drapeau, P.; Bergeron, Y. Mineralization rates and factors influencing snag decay in four North American boreal tree species. Can. J. For. Res. 2012, 42, 157–166. [Google Scholar] [CrossRef]
- Harmon, M.E.; Sexton, J. Guidelines for Measurements of Woody Detritus in Forest Ecosystems; Publication No. 20; LTER Network Office, University of Washington: Seattle, WA, USA, 1996; Volume 20, 73p. [Google Scholar]
- Millennium Ecosystem Assessment. Ecosystems and Human Well-Being: Our Human Planet-Summary for Decision-Makers; University of Chicago Press: Chicago, IL, USA, 2005. [Google Scholar]
- IPCC 2007 Intergovernmental Panel on Climate Change. Climate Change 2007: Impacts, Adaptation, and Vulnerability; Contribution of Working Group II to the Fourth Assessment Report of the Intergovernmental Panel on Climate Change, Parry, M.L., Canziani, O.F., Palutikof, J.P., van der Linden, P.J.H.C., Eds.; Cambridge University Press: Cambridge, UK, 2007; pp. 1–976. ISBN 9780080449104. [Google Scholar]
- Čermák, P.; Rybníček, M.; Žid, T.; Andreassen, K. Impact of climate change on growth dynamics. Silva Fenn. 2017, 51, 1781. [Google Scholar] [CrossRef]
- Larsen, J.B. Ecological stability of forests and sustainable silviculture. For. Ecol. Manag. 1995, 73, 85–96. [Google Scholar] [CrossRef]
- Krejza, J.; Cienciala, E.; Světlík, J.; Bellan, M.; Noyer, E.; Horáček, P.; Štěpánek, P.; Marek, M.V. Evidence of climate-induced stress of Norway spruce along elevation gradient preceding the current dieback in Central Europe. Trees 2021, 35, 103–119. [Google Scholar] [CrossRef]
- Bosela, M.; Tumajer, J.; Cienciala, E.; Dobor, L.; Kulla, L.; Mar, P.; Popa, I.; Sedmák, R.; Sedmáková, D.; Sitko, R.; et al. Climate warming induced synchronous growth decline in Norway spruce populations across biogeographical gradients since 2000. Sci. Total Environ. 2021, 752, 141794. [Google Scholar] [CrossRef]
- Obladen, N.; Dechering, P.; Skiadaresis, G.; Tegel, W.; Ke, J.; Hirsch, M.; Seim, A. Tree mortality of European beech and Norway spruce induced by 2018-2019 hot droughts in central Germany. Agric. Meteorol. 2021, 307, 108482. [Google Scholar] [CrossRef]
- Mueller-Dombois, D. A Natural dieback theory, cohort senescence as an alternative to the decline disease theory. In Forest Decline Concepts; Manion, P., Lachance, D., Eds.; The American Phytopathological Society: St. Paul, MN, USA, 1992; pp. 26–37. ISBN 0-89054-143-4. [Google Scholar]
- McDowell, N.G.; Sapes, G.; Pivovaroff, A.; Adams, H.D.; Allen, C.D.; Anderegg, W.R.L.; Arend, M.; Breshears, D.D.; Brodribb, T.; Choat, B. Mechanisms of woody-plant mortality under rising drought, CO2 and vapour pressure deficit. Nat. Rev. Earth Environ. 2022, 3, 294–308. [Google Scholar] [CrossRef]
- Wang, W.; English, N.B.; Grossiord, C.; Gessler, A.; Das, A.J.; Stephenson, N.L.; Baisan, C.H.; Allen, C.D.; Mcdowell, N.G. Mortality predispositions of conifers across western USA. New Phytol. 2021, 229, 831–844. [Google Scholar] [CrossRef] [PubMed]
- Krokene, P. Conifer defense and resistance to bark beetles. In Bark Beetles; Elsevier: Amsterdam, The Netherlands, 2015; pp. 177–207. [Google Scholar]
- Sedmáková, D.; Sedmák, R.; Bosela, M.; Ježík, M.; Blaženec, M.; Hlásny, T.; Marušák, R. Growth-climate responses indicate shifts in the competitive ability of European beech and Norway spruce under recent climate warming in East-Central Europe. Dendrochronologia 2019, 54, 37–48. [Google Scholar] [CrossRef]
- Schurman, J.S.; Babst, F.; Björklund, J.; Rydval, M.; Bače, R.; Čada, V.; Janda, P.; Mikolas, M.; Saulnier, M.; Trotsiuk, V.; et al. The climatic drivers of primary Picea forest growth along the Carpathian arc are changing under rising temperatures. Glob. Chang. Biol. 2019, 25, 3136–3150. [Google Scholar] [CrossRef]
- Buentgen, U.; Greuter, L.; Bollmann, K.; Jenny, H.; Liebhold, A.; Galván, J.D.; Stenseth, N.C.; Andrew, C.; Mysterud, A. Elevational range shifts in four mountain ungulate species from the Swiss Alps. Ecosphere 2017, 8, e01761. [Google Scholar] [CrossRef]
- Mezei, P.; Grodzki, W.; Blaženec, M.; Jakuš, R. Factors influencing the wind-bark beetles’ disturbance system in the course of an Ips typographus outbreak in the Tatra mountains. For. Ecol. Manag. 2014, 312, 67–77. [Google Scholar] [CrossRef]
- Mölter, T.; Schindler, D.; Albrecht, A.T.; Kohnle, U. Review on the projections of future storminess over the North Atlantic European region. Atmosphere 2016, 7, 60. [Google Scholar] [CrossRef]
- Albrich, K.; Seidl, R.; Rammer, W.; Thom, D. From sink to source: Changing climate and disturbance regimes could tip the 21st century carbon balance of an unmanaged mountain forest landscape. Forestry 2023, 96, 399–409. [Google Scholar] [CrossRef]
- Vencurik, J.; Kucbel, S.; Saniga, M.; Jaloviar, P.; Sedmáková, D.; Pittner, J.; Parobeková, Z.; Bosela, M. Growth dynamics of the Norway spruce and silver fir understory in continuous cover forestry. Iforest-Biogeosci. For. 2020, 13, 56. [Google Scholar] [CrossRef]
- Jaloviar, P.; Ďurica, P.; Vencurik, J.; Kucbel, S.; Pittner, J.Á.N.; Sedmáková, D. Štruktúra a krátkodobá vývojová dynamika smrekového pralesa v NPR Zadná Poľana (Structure and short-term development dynamics of spruce old-growth forest in the National Nature Reserve Zadná Poľana). Rep. For. Res./Zprávy Lesn. Výzkumu 2020, 65, 258–264. [Google Scholar]
- Gustafsson, L.; Hannerz, M.; Koivula, M.; Shorohova, E.; Vanha-majamaa, I.; Weslien, J. Research on retention forestry in northern Europe. Ecol. Process. 2020, 9, 3. [Google Scholar] [CrossRef]
- Zhu, J.; Song, L. A Review of ecological mechanisms for management practices of protective forests. J. Res. 2021, 32, 435–448. [Google Scholar] [CrossRef]
- Saniga, M.; Balanda, M.; Pittner, J.; Kucbel, S.; Jaloviar, P. Structural diversity and regeneration patterns of the Norway spruce (Picea abies (L.) Karst.) dominated virgin forest in NNR Zadná Poľana. Beskydy 2013, 6, 127–134. [Google Scholar] [CrossRef][Green Version]
- Vencurik, J.; Kucbel, S.; Saniga, M.; Jaloviar, P.; Parobeková, Z.; Sedmáková, D.; Pittner, J. Stand structure, light microclimate and distribution of lower layer individuals in selection forests in two localities of Slovakia. Zpravy Lesn. Vyzk. 2016, 61, 230–237. [Google Scholar]
- Zhu, Y.; Getzin, S.; Wiegand, T.; Ren, H.; Ma, K. The relative importance of Janzen-Connell effects in influencing the spatial patterns at the Gutianshan subtropical forest. PLoS ONE 2013, 8, e74560. [Google Scholar] [CrossRef] [PubMed]
- Motta, R.; Haudemand, J.C. Protective forests and silvicultural stability. An example of planning in the Aosta valley. Mt. Res. Dev. 2000, 20, 180–187. [Google Scholar] [CrossRef]
- Schütz, J.P.; Saniga, M.; Diaci, J.; Vrška, T. Comparing close-to-nature silviculture with processes in pristine forests: Lessons from Central Europe. Ann. For. Sci. 2016, 73, 911–921. [Google Scholar] [CrossRef]
- Krankina, O.N.; Harmon, M.E. Dynamics of the dead wood carbon pool in northwestern Russian boreal forests. Water Air Soil. Pollut. 1995, 82, 227–238. [Google Scholar] [CrossRef]
- Schütz, J. Opportunities and strategies of transforming regular forests to irregular forests. For. Ecol. Manag. 2001, 151, 87–94. [Google Scholar] [CrossRef]
- Petráš, R.; Mecko, J.; Krupová, D.; Slamka, M.; Pažitný, A. Aboveground biomass basic density of softwoods tree species. Wood Res. 2019, 64, 205–212. [Google Scholar]
- Horáček, P.; Fajstavr, M.; Stojanović, M. The variability of wood density and compression strength of Norway spruce (Picea abies/L./Karst.) within the stem. Beskydy 2017, 10, 17–26. [Google Scholar] [CrossRef]
- Pokorný, R.; Rajsnerová, P.; Kubásek, J.; Marková, I.; Tomášková, I. Effect of early to late wood proportion on Norway spruce biomass. Acta Univ. Agric. Silvic. Mendel. Brun. 2012, 60, 287–292. [Google Scholar] [CrossRef]
- Přívětivý, T.; Šamonil, P. Variation in downed deadwood density, biomass, and moisture during decomposition in a natural temperate forest. Forests 2021, 12, 1352. [Google Scholar] [CrossRef]
- Mäkinen, H.; Saranpää, P.; Linder, S. Wood-density variation of Norway spruce in relation to nutrient optimization and fibre dimensions. Can. J. For. Res. 2002, 32, 185–194. [Google Scholar] [CrossRef]
- Zlatník, A. Lesnícka Fytocenológia (Forestry Phytocenology); SZN: Praha, Czech Republic, 1976. [Google Scholar]
- Petráš, R.; Pajtík, J. Sústava česko-slovenských objemových tabuliek drevín (System of czech-slovak volumetric tables of tree species). Lesn. Cas.—For. J. 1991, 8, 55. [Google Scholar]
- Albrecht, L. Grundlagen, Ziele und Methodik der Waldökologischen Forschung in Naturwaldreservaten; Naturwaldreservate in Bayern: München, Germany, 1990; Volume 1. [Google Scholar]
- Maxwell, R.S.; Larsson, L. Measuring tree-ring widths using the CooRecorder software application. Dendrochronologia 2021, 67, 125841. [Google Scholar] [CrossRef]
- Rinn, F. TSAP-Win time series analysis and presentation for dendrochronology and related applications: User Reference. RINNTECH: Heidelberg, Germany, 2003; pp. 1–91. [Google Scholar]
- Holmes, R.L. Computer-assisted quality control in tree-ring dating and measurement. Tree-Ring Bull. 1983, 43, 69–78. [Google Scholar]
- R Core Team. R: A Language and Environment for Statistical Computing; R Foundation for Statistical Computing: Vienna, Austria, 2012. [Google Scholar]
- Bunn, A.G. Statistical and visual crossdating in R using the DplR library. Dendrochronologia 2010, 28, 251–258. [Google Scholar] [CrossRef]
- Norton, D.A.; Palmer, J.G.; Ogden, J. Dendroecological studies in New Zealand 1. An evaluation of tree age estimates based on increment cores. N. Z. J. Bot. 2011, 25, 37–41. [Google Scholar] [CrossRef]
- Wiemann, M.C.; Williamson, G.B. Density and Specific Gravity Metrics in Biomass Research; General Technical Report FPL-GTR-208; USDA: Madison, WI, USA, 2012.
- Cown, D. Wood quality in standing timber—Evolution of assessment methods in plantations. In Wood Structure and Properties’ 06; Arbora Publishers: Zvolen, Slovakia, 2006. [Google Scholar]
- Gao, S.; Wang, X.; Wiemann, M.C.; Brashaw, B.K.; Ross, R.J.; Wang, L. A critical analysis of methods for rapid and nondestructive determination of wood density in standing trees. Ann. For. Sci. 2017, 74, 27. [Google Scholar] [CrossRef]
- De Baerdemaeker, N.J.F.; Hias, N.; Van den Bulcke, J.; Keulemans, W.; Steppe, K. The effect of polyploidization on tree hydraulic functioning. Am. J. Bot. 2018, 105, 161–171. [Google Scholar] [CrossRef] [PubMed]
- Srebotnik, E.; Messner, K. A simple method that uses differential staining and light microscopy to assess the selectivity of wood delignification by white rot fungi. Appl. Environ. Microbiol. 1994, 60, 1383–1386. [Google Scholar] [CrossRef] [PubMed]
- Schwarze, F.W.M.R.; Engels, J. Cavity formation and the exposure of peculiar structures in the secondary wall (S2) of tracheids and fibres by wood degrading basidiomycetes. Holzforschung 1998, 52, 117–123. [Google Scholar] [CrossRef]









| Site | Year | Living Trees | Deadwood | ||||
|---|---|---|---|---|---|---|---|
| N | BA | V | Vl | Vs | Vd | ||
| Stems·ha−1 | m2·ha−1 | m3·ha−1 | m3·ha−1 | m3·ha−1 | m3·ha−1 | ||
| PO | 2018 | 254 ± 21 | 39.1 ± 2.5 | 375 ± 27 | 143 ± 17 | 22 ± 6 | 165 ± 20 |
| PR | 2022 | 464 ± 41 | 35.0 ± 2.5 | 315 ± 29 | 56 ± 9 | 57 ± 11 | 113 ± 16 |
| Variable | LT | SDT | t | p |
|---|---|---|---|---|
| Mean ± SD | Mean ± SD | |||
| LRadius (mm) | 251.25 ± 53.21 | 235.54 ± 42.36 | –0.820 | 0.421 |
| Mean basic specific gravity ρB (g.cm−3) | 0.369 ± 0.041 | 0.380 ± 0.061 | 0.413 | 0.685 |
| Site | Variable | LT | SDT | t | p |
|---|---|---|---|---|---|
| Mean ± SD | Mean ± SD | ||||
| PO | AgeTotal (years) | 127 ± 18 | 124 ± 20 | –0.328 | 0.746 |
| DBH (cm) | 50.3 ± 10.6 | 47.1 ± 8.5 | –0.820 | 0.421 | |
| MAI (cm) | 0.395 ± 0.056 | 0.382 ± 0.064 | –0.542 | 0.593 | |
| nT/C | 12/24 | 14/28 | |||
| PR | AgeTotal (years) | 145 ± 36 | 175 ± 62 | –1.659 | 0.108 |
| DBH (cm) | 57.4 ± 13.2 | 48.6 ± 14.8 | 1.641 | 0.112 | |
| MAI (cm) | 0.408 ± 0.107 | 0.313 ± 0.192 | 1.395 | 0.174 | |
| nT | 18 | 12 | |||
| HE | AgeTotal (years) | 97 ± 31 | 123 ± 23 | –1.602 | 0.127 |
| DBH (cm) | 45.2 ± 6.8 | 41.7 ± 16.2 | 0.634 | 0.534 | |
| MAI (cm) | 0.516 ± 0.186 | 0.328 ± 0.067 | 2.099 | 0.050 | |
| nT | 15 | 9 |
Disclaimer/Publisher’s Note: The statements, opinions and data contained in all publications are solely those of the individual author(s) and contributor(s) and not of MDPI and/or the editor(s). MDPI and/or the editor(s) disclaim responsibility for any injury to people or property resulting from any ideas, methods, instructions or products referred to in the content. |
© 2024 by the authors. Licensee MDPI, Basel, Switzerland. This article is an open access article distributed under the terms and conditions of the Creative Commons Attribution (CC BY) license (https://creativecommons.org/licenses/by/4.0/).
Share and Cite
Sedmáková, D.; Jaloviar, P.; Mišíková, O.; Šumichrast, L.; Slováčková, B.; Kucbel, S.; Vencurik, J.; Bosela, M.; Sedmák, R. Small Gap Dynamics in High Mountain Central European Spruce Forests—The Role of Standing Dead Trees in Gap Formation. Plants 2024, 13, 3502. https://doi.org/10.3390/plants13243502
Sedmáková D, Jaloviar P, Mišíková O, Šumichrast L, Slováčková B, Kucbel S, Vencurik J, Bosela M, Sedmák R. Small Gap Dynamics in High Mountain Central European Spruce Forests—The Role of Standing Dead Trees in Gap Formation. Plants. 2024; 13(24):3502. https://doi.org/10.3390/plants13243502
Chicago/Turabian StyleSedmáková, Denisa, Peter Jaloviar, Oľga Mišíková, Ladislav Šumichrast, Barbora Slováčková, Stanislav Kucbel, Jaroslav Vencurik, Michal Bosela, and Róbert Sedmák. 2024. "Small Gap Dynamics in High Mountain Central European Spruce Forests—The Role of Standing Dead Trees in Gap Formation" Plants 13, no. 24: 3502. https://doi.org/10.3390/plants13243502
APA StyleSedmáková, D., Jaloviar, P., Mišíková, O., Šumichrast, L., Slováčková, B., Kucbel, S., Vencurik, J., Bosela, M., & Sedmák, R. (2024). Small Gap Dynamics in High Mountain Central European Spruce Forests—The Role of Standing Dead Trees in Gap Formation. Plants, 13(24), 3502. https://doi.org/10.3390/plants13243502

