Testing the Validity of the Montgomery–Koyama–Smith Equation for Calculating the Total Petal Area per Flower Using Two Rosaceae Species
Abstract
1. Introduction
2. Materials and Methods
2.1. Species and Flower Collection Information
2.2. Scanning and Processing of Petal Images
2.3. Statistical Methods
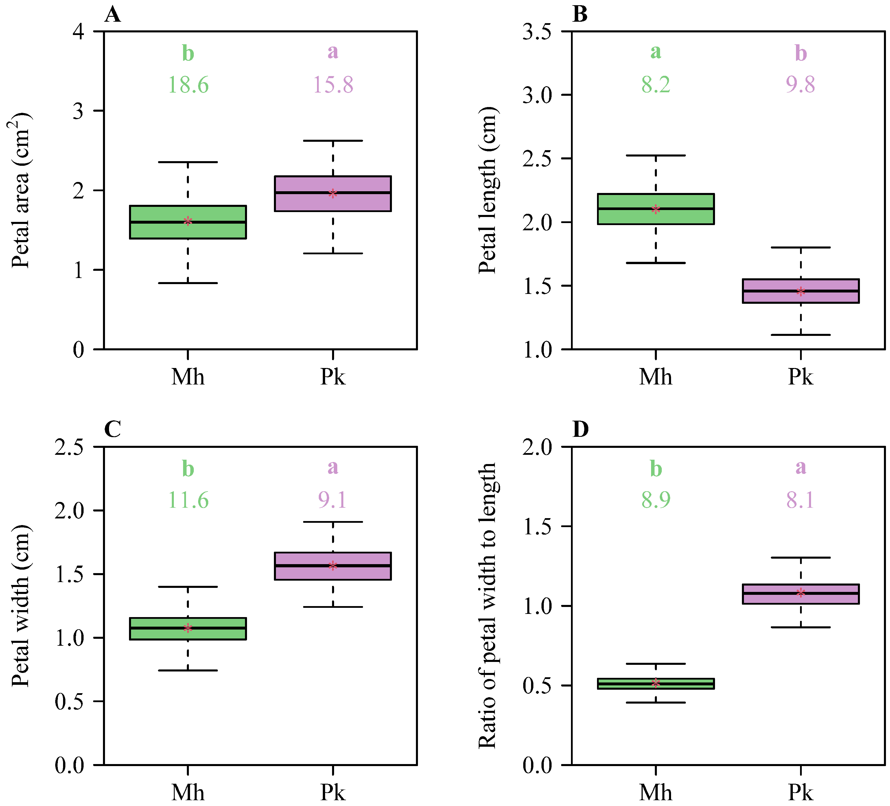
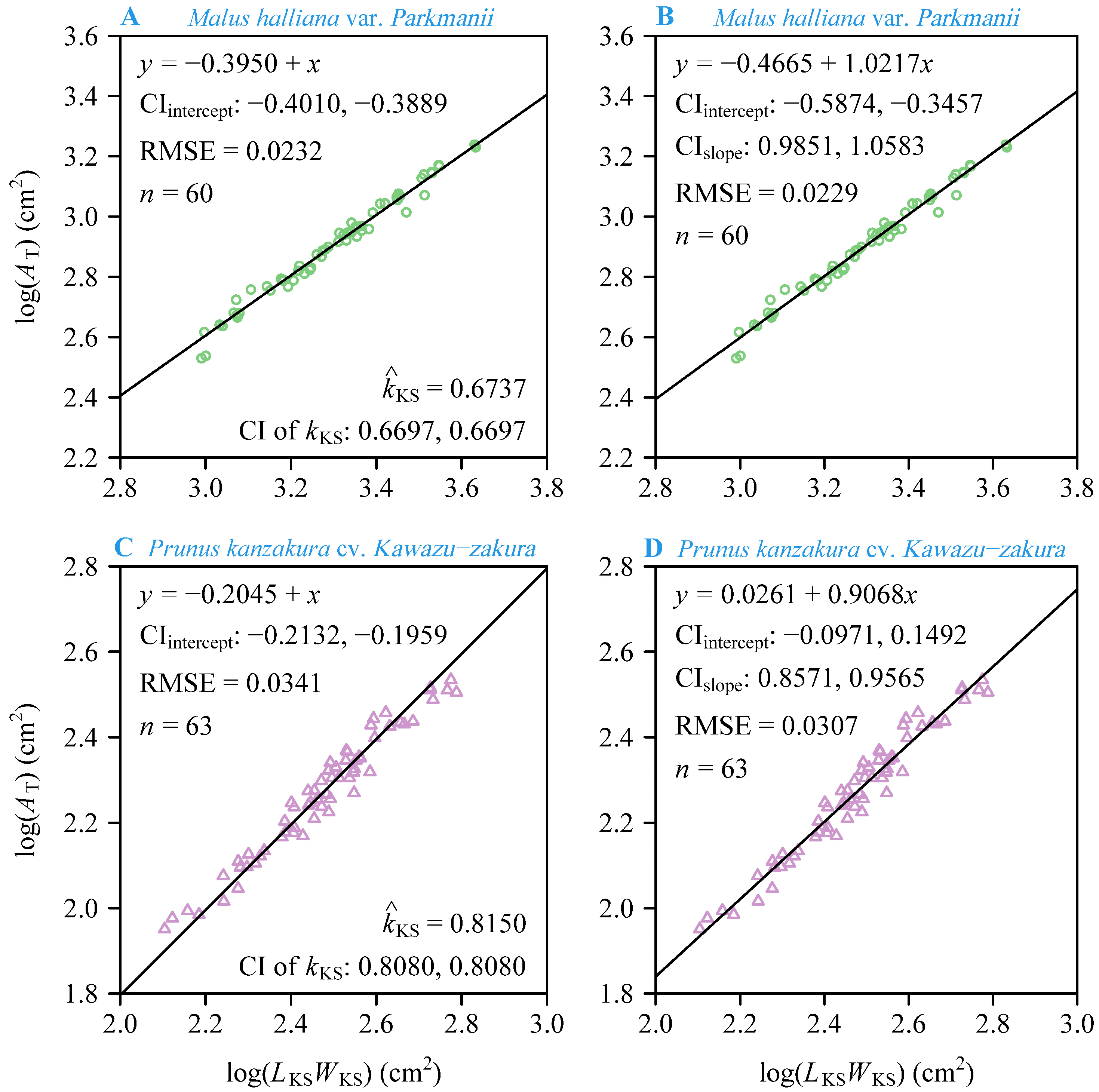
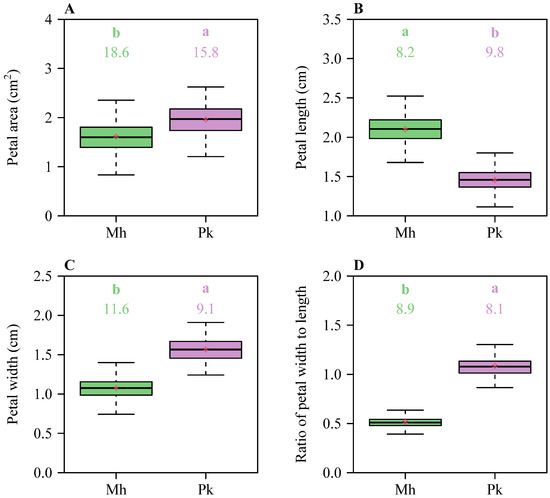
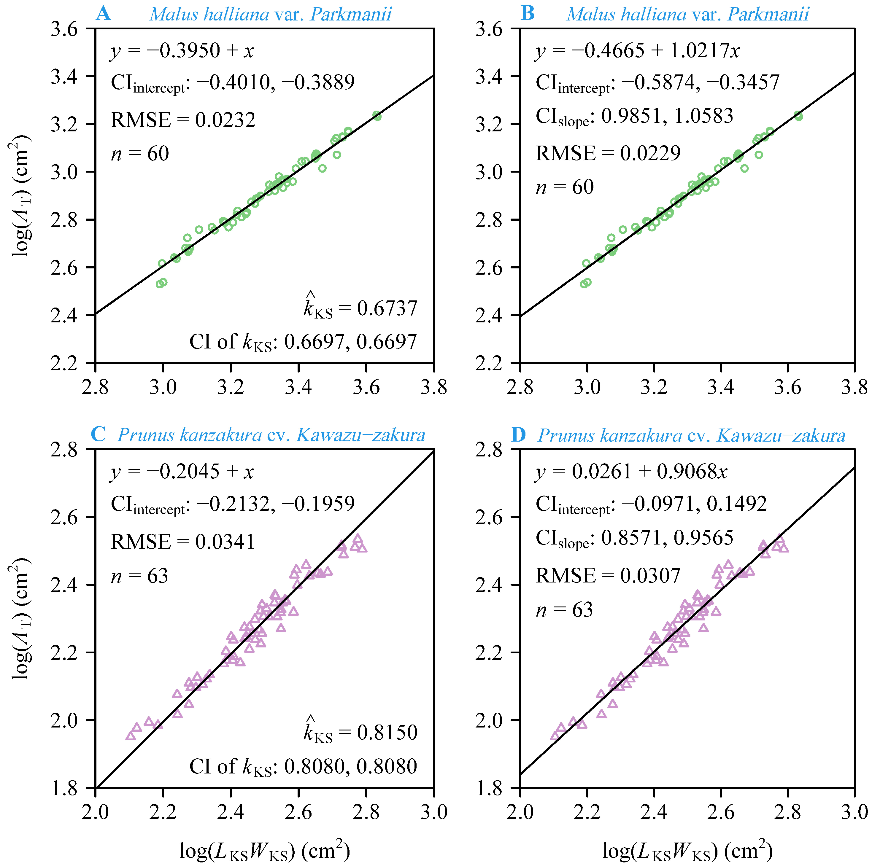
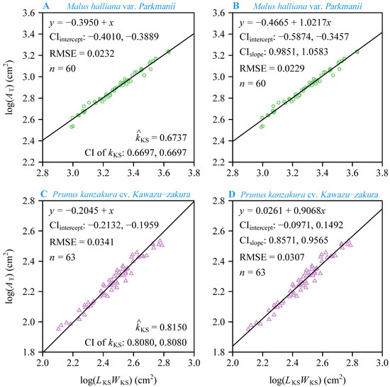
3. Results
4. Discussion
4.1. Comparison of Petal Area, Length, Width, and the Ratio of Petal Width to Length Between the Two Species
4.2. Calculating Petal Area Using the Montgomery Equation
4.3. Comparison of the Montgomery–Koyama–Smith Equation (MKSE) and the Power-Law Equation (PLE) for Estimating the Total Petal Area per Flower
5. Conclusions
Supplementary Materials
Author Contributions
Funding
Data Availability Statement
Acknowledgments
Conflicts of Interest
References
- Goethe, J.W. Versuch die Metamorphose der Pflanzen zu Erklären; Ettinger: Gotha, Germany, 1790. [Google Scholar]
- Smyth, D.R. Morphogenesis of flowers—Our evolving view. Plant Cell 2005, 17, 330–341. [Google Scholar] [CrossRef] [PubMed]
- Bowman, J.L.; Smyth, D.R.; Meyerowitz, E.M. Genetic interactions among floral homeotic genes of Arabidopsis. Development 1991, 112, 1–20. [Google Scholar] [CrossRef] [PubMed]
- Weigel, D.; Meyerowitz, E.M. The ABCs of floral homeotic genes. Cell 1994, 78, 203–209. [Google Scholar] [CrossRef] [PubMed]
- Goto, K.; Kyozuka, J.; Bowman, J.L. Turning floral organs into leaves, leaves into floral organs. Curr. Opin. Genet. Dev. 2001, 11, 449–456. [Google Scholar] [CrossRef]
- Takhtajan, A.L. Evolutionary Trends in Flowering Plants; Columbia University Press: New York, NY, USA, 1991. [Google Scholar]
- Yao, X.; Zhang, W.; Duan, X.; Yuan, Y.; Zhang, R.; Shan, H.; Kong, H. The making of elaborate petals in Nigella through developmental repatterning. N. Phytol. 2019, 223, 385–396. [Google Scholar] [CrossRef]
- Endress, P.K.; Matthews, M.L. Elaborate petals and staminodes in eudicots: Diversity, function, and evolution. Org. Divers. Evol. 2006, 6, 257–293. [Google Scholar] [CrossRef]
- Katsuhara, K.R.; Kitamura, S.; Ushimaru, A. Functional significance of petals as landing sites in fungus-gnat pollinated flowers of Mitella pauciflora (Saxifragaceae). Funct. Ecol. 2017, 31, 1193–1200. [Google Scholar] [CrossRef]
- De Kock, C.; Minnaar, C.; Lunau, K.; Wester, P.; Verhoeven, C.; Schulze, M.J. The functional role of the keel crest in Polygala myrtifolia (Polygalaceae) and its effects on pollinator visitation success. S. Afr. J. Bot. 2018, 118, 105–111. [Google Scholar] [CrossRef]
- Kaczorowski, R.L.; Seliger, A.R.; Gaskett, A.C.; Wigsten, S.K.; Raguso, R.A. Corolla shape vs. size in flower choice by a nocturnal hawkmoth pollinator. Funct. Ecol. 2012, 26, 577–587. [Google Scholar] [CrossRef]
- Radzali, M.H.; Kamal, N.A.M.; Diah, N.M. Measuring leaf area using Otsu segmentation method (LAMOS). Indian J. Sci. Technol. 2016, 9, 109307. [Google Scholar]
- Raj, R.; Walker, J.P.; Pingale, R.; Nandan, R.; Naik, B.; Jagarlapudi, A. Leaf area index estimation using top-of-canopy airborne RGB images. Int. J. Appl. Earth Obs. Geoinform. 2021, 96, 102282. [Google Scholar] [CrossRef]
- Liang, W.; Kirk, K.R.; Greene, J.K. Estimation of soybean leaf area, edge, and defoliation using color image analysis. Comput. Electron. Agric. 2018, 150, 41–51. [Google Scholar] [CrossRef]
- Zhang, W. Digital image processing method for estimating leaf length and width tested using kiwifruit leaves (Actinidia chinensis Planch). PLoS ONE 2020, 15, e0235499. [Google Scholar] [CrossRef] [PubMed]
- Mu, Y.; He, K.; Shi, P.; Wang, L.; Deng, L.; Shi, Z.; Liu, M.; Niklas, K.J. Comparison between computer recognition and manual measurement methods for the estimation of leaf area. Ann. Bot. 2024, 134, 501–510. [Google Scholar] [CrossRef]
- Yu, X.; Shi, P.; Schrader, J.; Niklas, K.J. Nondestructive estimation of leaf area for 15 species of vines with different leaf shapes. Am. J. Bot. 2020, 107, 1481–1490. [Google Scholar] [CrossRef]
- Montgomery, E.G. Correlation Studies in Corn, Annual Report No. 24; Nebraska Agricultural Experimental Station: Lincoln, NB, USA, 1911; pp. 108–159. [Google Scholar]
- Shi, P.; Liu, M.; Ratkowsky, D.A.; Gielis, J.; Su, J.; Yu, X.; Wang, P.; Zhang, L.; Lin, Z.; Schrader, J. Leaf area–length allometry and its implications in leaf shape evolution. Trees 2019, 33, 1073–1085. [Google Scholar] [CrossRef]
- Schrader, J.; Shi, P.; Royer, D.L.; Peppe, D.J.; Gallagher, R.V.; Li, Y.; Wang, R.; Wright, I.J. Leaf size estimation based on leaf length, width and shape. Ann. Bot. 2021, 128, 395–406. [Google Scholar] [CrossRef]
- Shi, P.; Liu, M.; Yu, X.; Gielis, J.; Ratkowsky, D.A. Proportional relationship between leaf area and the product of leaf length and width of four types of special leaf shapes. Forests 2019, 10, 178. [Google Scholar] [CrossRef]
- Jani, T.C.; Misra, D.K. Leaf area estimation by linear measurements in Ricinus communis. Nature 1966, 212, 741–742. [Google Scholar] [CrossRef]
- Wang, J.; Shi, P.; Yao, W.; Wang, L.; Li, Q.; Tan, R. The scaling relationship between perianth fresh mass and area: Proof of concept using Magnolia × soulangeana Soul.-Bod. Trees 2024, 38, 241–249. [Google Scholar] [CrossRef]
- Gómez, J.M.; Abdelaziz, M.; Muñoz-Pajares, J.; Perfectti, F. Heritability and genetic correlation of corolla shape and size in Erysimum mediohispanicum. Evolution 2009, 63, 1820–1831. [Google Scholar] [CrossRef]
- Simpson, M.G. Plant Systematics; Academic Press: San Diego, CA, USA, 2010. [Google Scholar]
- Koyama, K.; Smith, D.D. Scaling the leaf length-times-width equation to predict total leaf area of shoots. Ann. Bot. 2022, 130, 215–230. [Google Scholar] [CrossRef] [PubMed]
- Wang, C.; Heng, Y.; Xu, Q.; Zhou, Y.; Sun, X.; Wang, Y.; Yao, W.; Lian, M.; Li, Q.; Zhang, L.; et al. Scaling relationships between the total number of leaves and the total leaf area per culm of two dwarf bamboo species. Ecol. Evol. 2024, 14, e70002. [Google Scholar] [CrossRef] [PubMed]
- Harvard University Botany Libraries. Malus Halliana var. Parkmanii. Bulletin of Popular Information; Arnold Arboretum, Harvard University: Cambridge, MA, USA, 1925. [Google Scholar]
- Ogawa, T.; Kameyama, Y.; Kanazawa, Y.; Suzuki, K.; Somego, M. Origins of early-flowering cherry cultivars, Prunus × kanzakura cv. Atami-zakura and Prunus × kanzakura cv. Kawazu-zakura, revealed by experimental crosses and AFLP analysis. Sci. Hortic. 2012, 140, 140–148. [Google Scholar] [CrossRef]
- Shi, P.; Ratkowsky, D.A.; Li, Y.; Zhang, L.; Lin, S.; Gielis, J. A general leaf-area geometric formula exists for plants—Evidence from the simplified Gielis equation. Forests 2018, 9, 714. [Google Scholar] [CrossRef]
- Su, J.; Niklas, K.J.; Huang, W.; Yu, X.; Yang, Y.; Shi, P. Lamina shape does not correlate with lamina surface area: An analysis based on the simplified Gielis equation. Glob. Ecol. Conserv. 2019, 19, e00666. [Google Scholar] [CrossRef]
- Shi, P.; Gielis, J.; Quinn, B.K.; Niklas, K.J.; Ratkowsky, D.A.; Schrader, J.; Ruan, H.; Wang, L.; Niinemets, Ü. ‘biogeom’: An R package for simulating and fitting natural shapes. Ann. N. Y. Acad. Sci. 2022, 1516, 123–134. [Google Scholar] [CrossRef]
- R Core Team. R: A Language and Environment for Statistical Computing; R Foundation for Statistical Computing. Vienna: Austria, 2023; Available online: https://www.r-project.org/ (accessed on 1 June 2023).
- Hsu, P. Multiple Comparisons: Theory and Methods; Chapman and Hall/CRC: New York, NY, USA, 1996. [Google Scholar]
- Niklas, K.J. Plant Allometry: The Scaling of Form and Process; The University of Chicago Press: Chicago, IL, USA, 1994. [Google Scholar]
- Akaike, H. Information theory and an extension of the maximum likelihood principle. In Selected Papers of Hirotugu Akaike; Parzen, E., Tanabe, K., Kitagawa, G., Eds.; Springer: New York, NY, USA, 1998; pp. 199–213. [Google Scholar]
- Spiess, A.N.; Neumeyer, N. An evaluation of R2 as an inadequate measure for nonlinear models in pharmacological and biochemical research: A Monte Carlo approach. BMC Pharmacol. 2010, 10, 6. [Google Scholar] [CrossRef]
- Yan, C.; Shi, P.; Yu, K.; Guo, X.; Lian, M.; Miao, Q.; Wang, L.; Yao, W.; Zheng, Y.; Zhu, F.; et al. Using the Montgomery-Koyama-Smith equation to calculate the stomatal area per unit lamina area for 12 Magnoliaceae species. Ann. Bot. 2024, 16, mcae165. [Google Scholar] [CrossRef]
- Mitchell, R.J.; Shaw, R.G. Heritability of floral traits for the perennial wild flower Penstemon centranthifolius (Scrophulariaceae): Clones and crosses. Heredity 1993, 71, 185–192. [Google Scholar] [CrossRef]
- Delph, L.F. Flower size dimorphism in plants with unisexual flowers. In Floral Biology; Lloyd, D.G., Barrett, S.C.H., Eds.; Springer: Boston, MA, USA, 1996; pp. 217–237. [Google Scholar]
- Hermann, K.; Kuhlemeier, C. The genetic architecture of natural variation in flower morphology. Curr. Opin. Plant Biol. 2011, 14, 60–65. [Google Scholar] [CrossRef] [PubMed]
- Andersson, S. Does inbreeding promote evolutionary reduction of flower size? Experimental evidence from Crepis tectorum (Asteraceae). Am. J. Bot. 2012, 99, 1388–1398. [Google Scholar] [CrossRef] [PubMed]
- Armbruster, W.S. Evolution of floral form: Electrostatic forces, pollination, and adaptive compromise. N. Phytol. 2001, 152, 181–183. [Google Scholar] [CrossRef]
- Fenster, C.B.; Armbruster, W.S.; Wilson, P.; Dudash, M.R.; Thomson, J.D. Pollination syndromes and floral specialization. Annu. Rev. Ecol. Evol. Syst. 2004, 35, 375–403. [Google Scholar] [CrossRef]
- Johnson, K.; Lenhard, M. Genetic control of plant organ growth. N. Phytol. 2011, 191, 319–333. [Google Scholar] [CrossRef]
- Bawa, K.S.; Beach, J.H. Evolution of sexual systems in flowering plants. Ann. Mo. Bot. Gard. 1981, 68, 254–274. [Google Scholar] [CrossRef]
- Venail, J.; Dell’Olivo, A.; Kuhlemeier, C. Speciation genes in the genus Petunia. Philos. Trans. R. Soc. B 2010, 365, 461–468. [Google Scholar] [CrossRef]
- Dudash, M.R.; Hassler, C.; Stevens, P.M.; Fenster, C.B. Experimental floral and inflorescence trait manipulations affect pollinator preference and function in a hummingbird-pollinated plant. Am. J. Bot. 2011, 98, 275–282. [Google Scholar] [CrossRef]
- Mojica, J.P.; Kelly, J.K. Viability selection prior to trait expression is an essential component of natural selection. Proc. Royal. Soc. B 2010, 277, 2945–2950. [Google Scholar] [CrossRef]
- Conner, J.K.; Rush, S. Effects of flower size and number on pollinator visitation to wild radish, Raphanus raphanistrum. Oecologia 1996, 105, 509–516. [Google Scholar] [CrossRef]
- Citerne, H.L.; Jabbour, F.; Nadot, S.; Damerval, C. The evolution of floral symmetry. Adv. Bot. Res. 2010, 54, 85–137. [Google Scholar]
- Yu, Q.; Ge, L.; Ahmad, S.; Luo, D.; Li, X. A perspective on the molecular mechanism in the control of organ internal (IN) asymmetry during petal development. Hortic. Res. 2022, 9, uhac202. [Google Scholar] [CrossRef] [PubMed]
- Endress, P.K. The immense diversity of floral monosymmetry and asymmetry across angiosperms. Bot. Rev. 2012, 78, 345–397. [Google Scholar] [CrossRef]
- Wang, Y.; Luo, A.; Lyu, T.; Dimitrov, D.; Liu, Y.; Li, Y.; Xu, X.; Freckleton, R.P.; Hao, Z.; Wang, Z. Global distribution and evolutionary transitions of floral symmetry in angiosperms. Sci. Adv. 2023, 9, eadg2555. [Google Scholar] [CrossRef]
- Soza, V.L.; Kriebel, R.; Ramage, E.; Hall, B.D.; Twyford, A.D. The symmetry spectrum in a hybridising, tropical group of rhododendrons. N. Phytol. 2022, 234, 1491–1506. [Google Scholar] [CrossRef]
- Zhang, L.; Niklas, K.J.; Niinemets, Ü.; Li, Q.; Yu, K.; Li, J.; Chen, L.; Shi, P. Stomatal area estimation based on stomatal length and width of four Magnoliaceae species: Even “kidney”-shaped stomata are not elliptical. Trees 2023, 37, 1333–1342. [Google Scholar] [CrossRef]







| Model | Model Expression | Log Transformation of Model |
|---|---|---|
| MKSE | ||
| PLE |
| Model | Malus halliana var. Parkmanii | Prunus kanzakura cv. Kawazu-zakura | ||
|---|---|---|---|---|
| RMSE | AIC | RMSE | AIC | |
| MKSE | 0.0232 | −277.5971 | 0.0341 | −242.9052 |
| PLE | 0.0229 | −277.0368 | 0.0307 | −253.9949 |
Disclaimer/Publisher’s Note: The statements, opinions and data contained in all publications are solely those of the individual author(s) and contributor(s) and not of MDPI and/or the editor(s). MDPI and/or the editor(s) disclaim responsibility for any injury to people or property resulting from any ideas, methods, instructions or products referred to in the content. |
© 2024 by the authors. Licensee MDPI, Basel, Switzerland. This article is an open access article distributed under the terms and conditions of the Creative Commons Attribution (CC BY) license (https://creativecommons.org/licenses/by/4.0/).
Share and Cite
Zhao, C.; Wang, J.; Mu, Y.; Yao, W.; Wang, H.; Shi, P. Testing the Validity of the Montgomery–Koyama–Smith Equation for Calculating the Total Petal Area per Flower Using Two Rosaceae Species. Plants 2024, 13, 3499. https://doi.org/10.3390/plants13243499
Zhao C, Wang J, Mu Y, Yao W, Wang H, Shi P. Testing the Validity of the Montgomery–Koyama–Smith Equation for Calculating the Total Petal Area per Flower Using Two Rosaceae Species. Plants. 2024; 13(24):3499. https://doi.org/10.3390/plants13243499
Chicago/Turabian StyleZhao, Chuanlong, Jinfeng Wang, Youying Mu, Weihao Yao, Hui Wang, and Peijian Shi. 2024. "Testing the Validity of the Montgomery–Koyama–Smith Equation for Calculating the Total Petal Area per Flower Using Two Rosaceae Species" Plants 13, no. 24: 3499. https://doi.org/10.3390/plants13243499
APA StyleZhao, C., Wang, J., Mu, Y., Yao, W., Wang, H., & Shi, P. (2024). Testing the Validity of the Montgomery–Koyama–Smith Equation for Calculating the Total Petal Area per Flower Using Two Rosaceae Species. Plants, 13(24), 3499. https://doi.org/10.3390/plants13243499

