Transcriptome Proffling, Physiological and Biochemical Analyses Reveal Comprehensive Insights into Cadmium Stress in Myricaria laxiflora
Abstract
1. Introduction
2. Result
2.1. Analysis of Heavy Metal Pollution Status in M. laxiflora Habitat Soil
2.2. Changes in Cd Content and Morphological Characteristics of M. laxiflora Seedlings Under Cd Stress
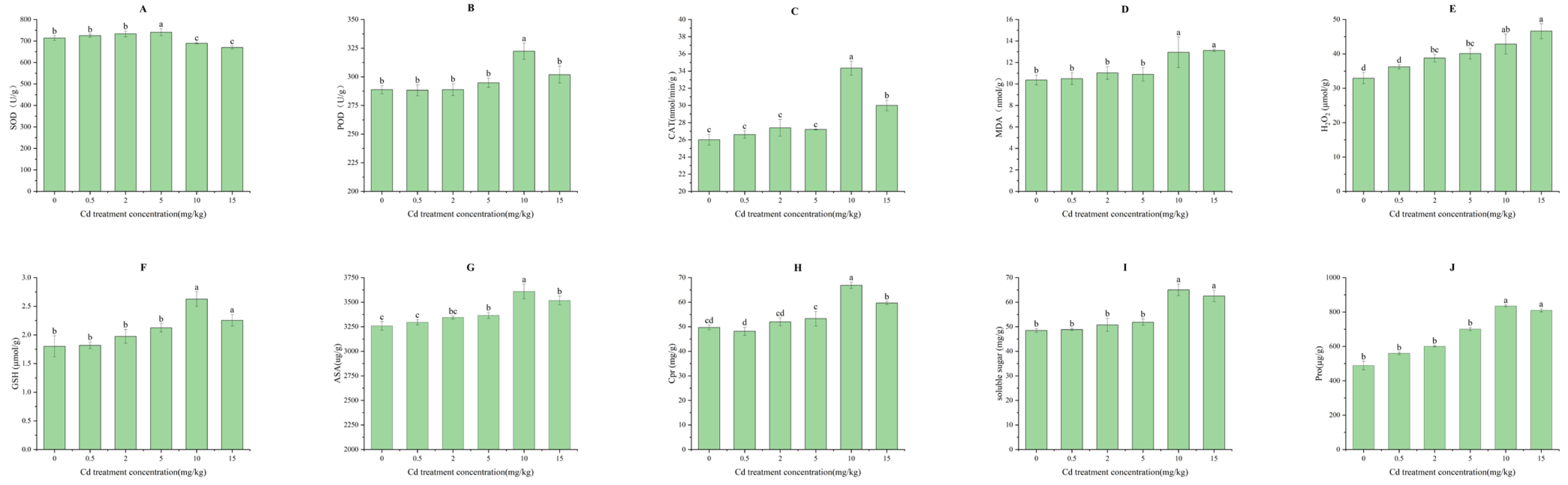
2.3. Characteristics of Physiological and Biochemical Changes in Seedlings of M. laxiflora Under Cd Stress
2.4. Characteristics of Biochemical Changes in Seedlings of M. laxiflora Under Cd Stress
2.5. Changes in Endogenous Hormones in M. laxiflora Seedlings
2.6. Analysis of Differentially Expressed Genes in Response to Cd Stress in M. laxiflora
3. Discussion
3.1. Cd Stress Affects the Growth and Development of M. laxiflora
3.2. Cd Stress Affects the Physiological Functions of M. laxiflora
3.3. Cd Stress on M. laxiflora Exhibits Genetic Differences
4. Materials and Methods
4.1. Community Surveys and Soil Sampling
4.2. Determination of Heavy Metal Content in Soil
4.3. Evaluation of Soil Heavy Metal Pollution
4.4. Seedling Preparation and Experimental Conditions
4.5. Determination of Heavy Metal Content in Plants
4.6. Measurement of Growth Indicators
4.7. Preparation of Leaf Paraffin Sections
4.8. Measurement of Photosynthetic Physiological Indicators
4.9. Measurement of Physiological and Biochemical Indicators
4.10. Transcriptome Sequencing and Analysis
4.11. Bioinformatics Analysis
4.12. Statistical Analysis
5. Conclusions
Supplementary Materials
Author Contributions
Funding
Data Availability Statement
Conflicts of Interest
References
- La, X.Q.; Zhang, Y.J.; Zeng, Y. Recent Advance on the Chemistry and Bioactivity of Genus Myricaria. Sch. Life Geogr. Sci. Qinghai Norm. Univ. 2010, 26, 52–56. [Google Scholar]
- Plekhanova, O.I.; Zolotareva, A.O.; Tarasenko, D.I.; Yakovlev, A.S. Assessment of Ecotoxicity of Soils Contaminated by Heavy Metals. Eurasian Soil Sci. 2019, 52, 1274–1288. [Google Scholar] [CrossRef]
- Kumar, K.; Shinde, A.; Aeron, V.; Verma, A.; Arif, N.S. Genetic engineering of plants for phytoremediation: Advances and challenges. J. Plant Biochem. Biotechnol. 2022, 32, 12–30. [Google Scholar] [CrossRef]
- Ondrasek, G.; Jelovica Badovinac, I.; Peter, R.; Petravić, M.; Macan, J.; Rengel, Z. Humates and Chlorides Synergistically Increase Cd Phytoaccumulation in Strawberry Fruits, Heightening Health Risk from Cd in Human Diet. Expo. Health 2022, 14, 393–410. [Google Scholar] [CrossRef]
- Huybrechts, M.; Cuypers, A.; Deckers, J.; Iven, V.; Vandionant, S.; Jozefczak, M.; Hendrix, S. Cadmium and Plant Development: An Agony from Seed to Seed. Int. J. Mol. Sci. 2019, 20, 3971. [Google Scholar] [CrossRef]
- Wu, X.; Cobbina, S.J.; Mao, G.; Xu, H.; Zhang, Z.; Yang, L. A review of toxicity and mechanisms of individual and mixtures of heavy metals in the environment. Environ. Sci. Pollut. Res. Int. 2016, 23, 8244–8259. [Google Scholar] [CrossRef]
- Zhang, Z.Y.; Wan, C.Y.; Hu, H.Q.; Yang, Z.H.; Yuan, Y.J.; Zhu, J. Spatial Distribution and Risk Assessment of Heavy Metals in Surface Sediments from the Middle and Upper Reaches of the Yangtze River. Environ. Sci. 2023, 44, 770–780. [Google Scholar]
- Shi, Y.J.; Fang, L.W.; Fang, B.; Ye, P.P.; Fan, X.X.; Gao, K.P.; Chen, Z.; Xiao, R. Pollution Characteristics and Source Apportionment of Heavy Metals in Vegetable Field in the Three Gorges Reservoir Area (Chongqing Section). Environ. Sci. 2023, 44, 1611–1619. [Google Scholar]
- Ning, D.H.; Deng, H.P.; Li, W.Q.; Zuo, Y.W.; Zhang, J.H.; Zeng, Y.L.; Liang, S.B. Soil Heavy Metals Contamination in the Urban Hydro-Fluctuation-Belt of the Three Gorges Reservoir. Three Gorges Ecol. Environ. Monit. 2021, 6, 11–23. [Google Scholar]
- Peng, Y.J.; Wang, P.C.; Liu, Y.; Wang, Q.; Xiao, H.L. Distribution Characteristics and Assessment of Heavy Metals in Soils of the Fluctuating Zone of the Three Gorges Reservoir. Environ. Sci. Technol. 2020, 43, 181–186. [Google Scholar]
- Qiao, F.; Shi, Y.; Qin, Y.W.; Ma, Y.Q.; Liu, Z.C.; Yang, C.C. Spatial distribution and pollution assessment of heavy metals in Minjiang River mainstream. J. Environ. Eng. Technol. 2018, 8, 602–609. [Google Scholar]
- Goncharuk, E.A.; Zagoskina, N.V. Heavy Metals, Their Phytotoxicity, and the Role of Phenolic Antioxidants in Plant Stress Responses with Focus on Cadmium: Review. Molecules 2023, 28, 3921. [Google Scholar] [CrossRef]
- Qin, S.Y.; Xu, Y.F.; Liu, H.E.; Zhao, P. Foliar application of zinc promotes cadmium absorption by increasing expression of cadmium transporter genes and activities of antioxidative enzymes in winter wheat. Pedosphere 2023, 33, 612–621. [Google Scholar] [CrossRef]
- Ashraf, H.; Ghouri, F.; Ali, S.; Syed, A.H.B.; Fasih, U.H.; Zhong, M.H.; Xia, W.W.; Fu, X.L.; Muhammad, Q.S. The protective roles of Oryza glumaepatula and phytohormone in enhancing rice tolerance to cadmium stress by regulating gene expression, morphological, physiological, and antioxidant defense system. Environ. Pollut. 2024, 364, 125311. [Google Scholar] [CrossRef]
- Gan, C.; Liu, Z.; Pang, B.; Zuo, D.; Hou, Y.; Zhou, L.; Yu, J.; Chen, L.; Wang, H.; Gu, L.; et al. Integrative physiological and transcriptome analyses provide insights into the Cadmium (Cd) tolerance of a Cd accumulator: Erigeron canadensis. BMC Genom. 2022, 23, 778. [Google Scholar] [CrossRef]
- Tang, L.; Mao, B.; Li, Y.; Lv, Q.; Zhang, L.; Chen, C.; He, H.; Wang, W.; Zeng, X.; Shao, Y.; et al. Knockout of OsNramp5 using the CRISPR/Cas9 system produces low Cd-accumulating indica rice without compromising yield. Sci. Rep. 2017, 7, 14438. [Google Scholar] [CrossRef]
- Wu, D.; Yamaji, N.; Yamane, M.; Kashino-Fujii, M.; Sato, K.; Ma, J.F. The HvNramp5 Transporter Mediates Uptake of Cadmium and Manganese, But Not Iron. Plant Physiol. 2016, 172, 1899–1910. [Google Scholar] [CrossRef]
- Li, G.-Z.; Zheng, Y.-X.; Liu, H.-T.; Liu, J.; Kang, G.-Z. WRKY74 regulates cadmium tolerance through glutathione-dependent pathway in wheat. Environ. Sci. Pollut. Res. Int. 2022, 29, 68191–68201. [Google Scholar] [CrossRef]
- Sheng, Y.B.; Yan, X.X.; Huang, Y.; Han, Y.Y.; Zhang, C.; Ren, Y.B.; Fan, T.T.; Xiao, F.M.; Liu, Y.S.; Cao, S.Q. The WRKY transcription factor, WRKY13, activates PDR8 expression to positively regulate cadmium tolerance in Arabidopsis. Plant Cell Environ. 2019, 42, 891–903. [Google Scholar] [CrossRef]
- Jia, Z.; Li, M.; Wang, H.; Zhu, B.; Gu, L.; Du, X.; Ren, M. TaWRKY70 positively regulates TaCAT5 enhanced Cd tolerance in transgenic Arabidopsis. Environ. Exp. Bot. 2021, 190, 104591. [Google Scholar] [CrossRef]
- Wang, P.L.; Lei, X.J.; Wang, Y.Y.; Liu, B.C.; Wang, D.N.; Liu, Z.Y.; Gao, C.Q. Transcriptomic analysis of cadmium stressed Tamarix hispida revealed novel transcripts and the importance of ABA network. Front. Plant Sci. 2021, 13, 843725. [Google Scholar]
- Chang, X.; Li, J.; Wei, S.N.; Ying, J.N.; Paul, N.; Qi, Z.C.; Lu, Q.X.; Yu, Z.Y. Integrated comparative transcriptome and weighted gene co-expression network analysis provide valuable insights into the response mechanisms of Alisma orientale to cadmium stress. Sci. Total Environ. 2024, 957, 177401. [Google Scholar] [CrossRef] [PubMed]
- Madhav, S.; Mishra, R.; Kumari, A.; Srivastav, A.L.; Ahamad, A.; Singh, P.; Ahmed, S.; Mishra, P.K.; Sillanpaa, M. A Review on Sources Identification of Heavy Metals in Soil and Remediation Measures by Phytoremediation-Induced Methods. Int. J. Environ. Sci. Technol. 2023, 21, 1099–1120. [Google Scholar] [CrossRef]
- Lu, H.; Li, W.C.; Tam, N.; Ye, Z.H. Effects of root morphology and anatomy on cadmium uptake and translocation in rice (Oryza sativa L.). J. Environ. Sci. 2018, 75, 296–306. [Google Scholar]
- Mahrouk, E.M.S.E.; Eldawansy, M.S.; Tarawy, E.M.A.; Hayam, M.A.E.; Eman, A.E.; Andrea, T.M.; Péter, H. Evaluation of the growth, enzymatic activity, electrolyte leakage, and phytoremediation efficiency of Conocarpus erectus under cadmium and lead stress. Front. Plant Sci. 2024, 15, 1466697. [Google Scholar]
- Swapan, K.R.; Seong, W.C.; Soo, J.K.; Kamal, A.H.M.; Kim, S.W.; Oh, M.W.; Lee, M.S.; Chung, K.Y.; Xin, Z.G.; Woo, S.H. Morpho-Physiological and Proteome Level Responses to Cadmium Stress in Sorghum. PLoS ONE 2016, 11, e0150431. [Google Scholar]
- Wei, F.; Chen, H.; Wei, G.; Tang, D.F.; Chang, Q.Q.; Xu, M.H.; Li, L.X.; Qin, S.S.; Liang, Y. Physiological and metabolic responses of Sophora tonkinensis to cadmium stress. Physiol. Mol. Biol. Plants 2024. [Google Scholar] [CrossRef]
- Zhang, W.; Zhao, Y.; Xu, Z.; Huang, H.M.; Zhou, J.K.; Yang, G.Y. Morphological and Physiological Changes of Broussonetia papyrifera Seedlings in Cadmium Contaminated Soil. Plants 2020, 9, 1698. [Google Scholar] [CrossRef]
- Zhou, J.; Jiang, Z.; Ma, J.; Yang, L.F.; Wei, Y. The effects of lead stress on photosynthetic function and chloroplast ultrastructure of Robinia pseudoacacia seedlings. Environ. Sci. Pollut. Res. 2017, 24, 10718–10726. [Google Scholar] [CrossRef]
- Liao, Y.; Huang, S.; Hareem, M.; Muhammad, B.H.; Abdullah, A.; Suleiman, A.A.; Saleh, A. Addressing cadmium stress in rice with potassium-enriched biochar and Bacillus altitudinis rhizobacteria. BMC Plant Biol. 2024, 24, 1084. [Google Scholar] [CrossRef]
- Zhao, H.Y.; Guan, Y.L.; Zhang, X.Y. Photosynthetic Characteristics of Sassafras tzumu under Cadmium Stress in Soil. Plant Res. 2021, 41, 506–513. [Google Scholar]
- Zhang, J.T.; Guan, Y.H.; Si, L.Q.; Peng, X.W.; Meng, B.N.; Zhou, J.X. Effects of Pb2+ and Cd2+ combined stress on photosynthesis of Morus alba. J. Beijing For. Univ. 2018, 40, 16–23. [Google Scholar]
- Bechaieb, R.; Akacha, B.A.; Gérard, H. Quantum chemistry insight into Mg-substitution in chlorophyll by toxic heavy metals: Cd, Hg and Pb. Chem. Phys. Lett. 2016, 66, 327–332. [Google Scholar] [CrossRef]
- Zhou, L.; Zhou, L.J.Y.; Wu, H.; Jing, T.T.; Li, T.H.; Li, J.S.; Kong, L.J.; Zhu, F.W. Application of Chlorophyll Fluorescence Analysis Technique in Studying the Response of Lettuce (Lactuca sativa L.) to Cadmium Stress. Sensors 2024, 24, 1501. [Google Scholar] [CrossRef] [PubMed]
- Salvatierra, G.C.; Flores, J.; Segura, D.O.; Loraine, M.P.; Cecilia, L.J.S. Seasonal chlorophyll fluorescence before and after rapid light curves in the endangered species Lophophora diffusa (Cactaceae) across two microenvironments. Flora 2024, 320, 152623. [Google Scholar] [CrossRef]
- Erika, A.; Joel, F.; Claudia, G.; Matías, P.M.L.; Jiménez, S.C. High tolerance to high-light conditions for the protected species Ariocarpus kotschoubeyanus (Cactaceae). Conserv. Physiol. 2017, 5, cox042. [Google Scholar]
- Zhou, J.H.; Cheng, K.; Song, L.P.; Li, W.; Jiang, H.; Huang, G.M. Exogenous indoleacetic acid induces cadmium accumulation and growth in Cinnamomum camphora. Sci. Hortic. 2024, 323, 1501. [Google Scholar] [CrossRef]
- Li, X.M.; Ghanizadeh, H.; Han, Z.Y.; Wang, Q.; Li, F.S.; Qiu, Y.W.; Zhang, Y.; Chen, X.L.; Liu, J.Y.; Wang, A.X. Metabolic profile and physiological mechanisms underlying the promoting effects of TiO2NPs on the photosynthesis and growth of tomato. Sci. Hortic. 2023, 322, 112394. [Google Scholar] [CrossRef]
- Yin, X.; Wang, H.; Wang, C.; Wang, S.; Ren, X.D.; Zong, Z.Y. Effect of Watering Gradient on Chlorophyll Fluorescence Parameters of Prunus domestica Trees. Agronomy 2024, 14, 2373. [Google Scholar] [CrossRef]
- Pshybytko, N.L. Non-Photochemical Quenching of Chlorophyll a Fluorescence as an Indicator of the State of a Plant Photosynthetic Apparatus Under Abiotic Stress. J. Appl. Spectrosc. 2023, 90, 60–65. [Google Scholar] [CrossRef]
- Parzhak, Z.; Reza, M.B.Z.; Saham, T.; Rahnama, A. Effect of exogenous melatonin on improvement of chlorophyll content and photochemical efficiency of PSII in mallow plants (Malva parviflora L.) treated with cadmium. Physiol. Mol. Biol. Plants Int. J. Funct. Plant Biol. 2023, 29, 145–157. [Google Scholar]
- Yu, J.J.; Zhang, G.L.; Li, Y.; Xiong, S.P.; Ma, X.M. Effects of Mercury on Photosynthesis and Chlorophyll Fluorescence Parameters of Flue-cured Tobacco. J. Agro-Environ. Sci. 2008, 27, 1963–1968. [Google Scholar]
- Liu, C.R.; Zhang, L.Q.; Yang, Y.; Huang, X.; Lai, Y.X.; Quan, Q.M.; Zhu, X.H. Effects of lead and cadmium on physiology and biochemical indexes of Davidia involucrata seedlings. Guihaia 2021, 41, 1401–1410. [Google Scholar]
- Luo, P.; Wu, J.; Li, T.T.; Shi, P.H.; Ma, Q.; Dong, W.D. An Overview of the Mechanisms through Which Plants Regulate ROS Homeostasis under Cadmium Stress. Antioxidants 2024, 13, 1174. [Google Scholar] [CrossRef]
- Wu, J.Y.; Mi, N. Effect of heavy metals on antioxidant enzymes in plants. J. Zhejiang Agric. Sci. 2022, 63, 1177–1181+1304. [Google Scholar]
- Li, Y.Y.; He, M.L.; Yao, Y.Y.; Huang, H.C.; Yan, J.H.; Zhang, H.Y. Physiological Response of Pogostemon cablin under Cadmium Stress. Sci. Technol. Eng. 2023, 23, 8996–9003. [Google Scholar]
- Liu, L.; Gui, H.; Zou, D.; Jiao, W.Y.; Wang, S.L.; Wan, X.Q. Long-term adaptation of water hyacinth to low cadmium involves antioxidant enzyme and metallothionein transcriptional regulation. Chemosphere 2024, 365, 143346. [Google Scholar] [CrossRef]
- Liu, B.Q.; An, C.C.; Jiao, S.Y.; Jia, F.Y.; Liu, R.L.; Wu, Q.C.; Dong, Z. Impacts of the Inoculation of Piriformospora indica on Photosynthesis, Osmoregulatory Substances, and Antioxidant Enzymes of Alfalfa Seedlings under Cadmium Stress. Agriculture 2022, 12, 1928. [Google Scholar] [CrossRef]
- Liu, Y.S.; Tao, Y.; Yang, X.Z.; Liu, Y.N.; Shen, R.F.; Zhu, X.F. Gibberellic acid alleviates cadmium toxicity in rice by regulating NO accumulation and cell wall fixation capacity of cadmium. J. Hazard. Mater. 2022, 439, 129597. [Google Scholar] [CrossRef]
- Xue, J.; Wang, Y.; Yang, Z.; Huang, Z.H.; Yi, Y.; Liu, L.L.; Zeng, C.Z.; Liu, Z.X.; Yan, M.L. Exogenous cysteine alleviates cadmium stress better than sulfate by enhancing nonenzymatic antioxidant system in Brassica juncea. Sci. Hortic. 2024, 328, 112943. [Google Scholar] [CrossRef]
- Zhang, J.; Liang, X.N.; Xie, S.; Liang, Y.P.; Liang, S.; Zhou, J.H.; Huang, Y.J. Effects of hydrogen sulfide on the growth and physiological characteristics of Miscanthus sacchariflorus seedlings under cadmium stress. Ecotoxicol. Environ. Saf. 2023, 263, 115281. [Google Scholar] [CrossRef] [PubMed]
- Wu, X.; Yan, J.; Qin, M.; Li, R.Z.; Tao, J.; Liu, Z.G.; Parviz, A.; Mohammad, A.S.; Krishna, K.Y.; Joan, M.R.D.; et al. Comprehensive transcriptome, physiological and biochemical analyses reveal that key role of transcription factor WRKY and plant hormone in responding cadmium stress. J. Environ. Manag. 2024, 367, 121979. [Google Scholar] [CrossRef] [PubMed]
- Liao, Y.Q.; Tang, Y.; Wang, S.W.; Su, H.L.; Chen, J.; Zhang, D.W.; Wu, J.F.; Zhou, D.G.; Yan, M.L.; Liu, L.L. Abscisic acid modulates differential physiological and biochemical responses to cadmium stress in Brassica napus. Environ. Pollut. Bioavailab. 2023, 35, 2168216. [Google Scholar] [CrossRef]
- Dawuda, M.M.; Liao, W.; Hu, L.; Yu, J.H.; Xie, J.M.; Calderon, U.A.; Wu, Y.; Tang, Z.Q. Foliar application of abscisic acid mitigates cadmium stress and increases food safety of cadmium-sensitive lettuce (Lactuca sativa L.) genotype. PeerJ 2020, 8, e9270. [Google Scholar] [CrossRef]
- Li, S.W.; Leng, Y.; Feng, L.; Zeng, X.Y. Involvement of abscisic acid in regulating antioxidative defense systems and iaa-oxidase activity and improving adventitious rooting in mung bean [Vigna radiata (L.) Wilczek] seedlings under cadmium stress. Environ. Sci. Pollut. Res. Int. 2014, 21, 523–537. [Google Scholar] [CrossRef]
- Di, W.D.; Li, T.T.; Yu, L.Z.; Cheng, J.; Wang, M.; Liu, C.F.; Wang, Y.n; Herbert, J.K.; Min, Y.; Shi, W.M. Ammonium mitigates cadmium toxicity by activating the bZIP20-APX2/CATA transcriptional module in rice seedlings in an ABA-dependent manner. J. Hazard. Mater. 2024, 480, 135874. [Google Scholar] [CrossRef]
- Zhang, X.M.; Wu, G.Q.; Wei, M. The role of MAPK in plant response to abiotic stress. J. Grass Ind. 2024, 33, 182–197. [Google Scholar]
- Guo, Z.H.; Zeng, P.; Xiao, X.Y.; Peng, C. Physiological, anatomical, and transcriptional responses of mulberry (Morus alba L.) to Cd stress in contaminated soil. Environ. Pollut. 2021, 284, 117387. [Google Scholar] [CrossRef]
- Jin, C.W.; Mao, Q.Q.; Luo, B.F.; Lin, X.Y.; Du, S.T. Mutation of mpk6 enhances cadmium tolerance in Arabidopsis plants by alleviating oxidative stress. Plant Soil 2013, 371, 387–396. [Google Scholar] [CrossRef]
- Gospel, L.; Sarjubala, A.D.; Thanhmingliana; Hriatsaka, V.; Singh, A.P.; Lalhriatpuia, C. Assessment of the Heavy Metal Contaminations of Roadside Soil in Aizawl, Mizoram (India): An In-Depth Analysis Utilising Advanced Scientific Methodologies. Asian J. Water Environ. Pollut. 2024, 21, 37–47. [Google Scholar]
- Dadhich, A.; Sharma, M.M. Cadmium and lead-induced Bacoside-A production, genetic responses, biomass enhancement, and antioxidant defense in Bacopa monnieri (L.) Wettst.: A comparative analysis. Ind. Crops Prod. 2024, 222, 119893. [Google Scholar] [CrossRef]
- Qin, H.W.; Liu, Z.X.; Zhong, Y.; Liu, R.H.; Zhang, L.D.; Xiang, L.X.; Liu, R. Study on Seed Germination Power Loss and Storage Conditions of Endangered Plant M. laxiflora. Henan Agric. Sci. 2013, 42, 116–119+131. [Google Scholar]
- Guan, S.P.; Chen, F.Q.; Lv, K.; Zhou, J.M.; Xia, P.J. Responses of biomass and components of Myricaria laxiflora seedlings to simulated soil water level changes. J. Plant Sci. 2019, 37, 485–494. [Google Scholar]
- Chen, F.Q.; Xie, Z.Q. Physiological and biochemical characteristics of Myricaria laxiflora, an endangered species in the Three Gorges Reservoir Area. Guangxi Plant 2008, 3, 367–372. [Google Scholar]
- Li, Y.; Yang, H.; Li, J.; Chen, M. The physiological basis of more salt tolerant for Tamarix gansuensis than Tamarix chinensis. J. Shandong Norm. Univ. (Nat. Sci. Ed.) 2023, 38, 346–354. [Google Scholar]
- Liu, P.; Li, M.J. Experiments in Plant Physiology, 2nd ed.; Science Press: Beijing, China, 2016. [Google Scholar]
- Hacer, D.; Ebru, C.; Fikret, K. Determination of Glutathione, Selenium, and Malondialdehyde in Different Edible Mushroom Species. Biol. Trace Elem. Res. 2016, 174, 459–463. [Google Scholar]






| Population | Cu mg/kg | Zn mg/kg | Cd mg/kg | Pd mg/kg | 
|---|---|---|---|---|
| Sishui village | 23.19 | 129.34 | 0.65 | 54.84 | 
| Mabianba | 21.03 | 118.18 | 0.67 | 47.55 | 
| Yinjiawan | 12.88 | 53.48 | 0.20 | 15.16 | 
| Neizhongba | 45.22 | 105.87 | 0.28 | 57.21 | 
| Chenghuadao | 26.97 | 119.30 | 0.33 | 35.87 | 
| Laowuji | 32.49 | 127.47 | 0.39 | 36.69 | 
| Goupayan | 40.53 | 135.79 | 0.62 | 48.73 | 
| Mean | 28.90 ± 11.32 | 112.78 ± 27.85 | 0.45 ± 0.19 | 42.29 ± 14.48 | 
| Soil Background of China | 22.6 | 74.2 | 0.09 | 26 | 
| Soil Background | 28.05 | 78.16 | 0.11 | 27.39 | 
| Concentration of Cd (mg/kg) | Plant Height (cm) | Root Length (cm) | Fresh Weight (g) | 
|---|---|---|---|
| 0 mg/kg | 17.13 ± 0.81 a | 17.23 ± 0.64 a | 6.36 ± 0.69 ab | 
| 0.5 mg/kg | 17.35 ± 0.17 a | 17.10 ± 0.64 a | 6.57 ± 0.41 a | 
| 2 mg/kg | 17.88 ± 0.57 a | 17.05 ± 0.27 a | 5.49 ± 0.40 abc | 
| 5 mg/kg | 14.25 ± 0.38 b | 15.30 ± 0.42 a | 5.13 ± 0.40 abc | 
| 10 mg/kg | 10.83 ± 0.40 c | 11.15 ± 0.50 b | 4.48 ± 0.53 bc | 
| 15 mg/kg | 11.78 ± 0.38 c | 11.03 ± 0.42 b | 4.01 ± 0.32 c | 
| Branches | 0 mg/kg | 0.5 mg/kg | 2 mg/kg | 5 mg/kg | 10 mg/kg | 15 mg/kg | 
|---|---|---|---|---|---|---|
| Primary branch | 9 ± 0.65 a | 8 ± 0.20 a | 9 ± 0.37 a | 8 ± 0.4 a | 8 ± 0.33 a | 7 ± 1.20 a | 
| Secondary branches | 39 ± 0.75 a | 33 ± 1.23 b | 27 ± 1.12 c | 19 ± 1.06 d | 10 ± 1.03 e | 12 ± 0.96 e | 
| Disclaimer/Publisher’s Note: The statements, opinions and data contained in all publications are solely those of the individual author(s) and contributor(s) and not of MDPI and/or the editor(s). MDPI and/or the editor(s) disclaim responsibility for any injury to people or property resulting from any ideas, methods, instructions or products referred to in the content. | 
© 2024 by the authors. Licensee MDPI, Basel, Switzerland. This article is an open access article distributed under the terms and conditions of the Creative Commons Attribution (CC BY) license (https://creativecommons.org/licenses/by/4.0/).
Share and Cite
Peng, Y.; Yang, Y.-B.; Wang, J.-C.; Tian, M.-Y.; Yuan, X.-H.; Yang, Z.-J.; Zuo, Y.-W.; Deng, H.-P. Transcriptome Proffling, Physiological and Biochemical Analyses Reveal Comprehensive Insights into Cadmium Stress in Myricaria laxiflora. Plants 2024, 13, 3433. https://doi.org/10.3390/plants13233433
Peng Y, Yang Y-B, Wang J-C, Tian M-Y, Yuan X-H, Yang Z-J, Zuo Y-W, Deng H-P. Transcriptome Proffling, Physiological and Biochemical Analyses Reveal Comprehensive Insights into Cadmium Stress in Myricaria laxiflora. Plants. 2024; 13(23):3433. https://doi.org/10.3390/plants13233433
Chicago/Turabian StylePeng, Yang, Yu-Bing Yang, Jing-Cheng Wang, Mao-Yuan Tian, Xing-Hai Yuan, Zhi-Jiang Yang, You-Wei Zuo, and Hong-Ping Deng. 2024. "Transcriptome Proffling, Physiological and Biochemical Analyses Reveal Comprehensive Insights into Cadmium Stress in Myricaria laxiflora" Plants 13, no. 23: 3433. https://doi.org/10.3390/plants13233433
APA StylePeng, Y., Yang, Y.-B., Wang, J.-C., Tian, M.-Y., Yuan, X.-H., Yang, Z.-J., Zuo, Y.-W., & Deng, H.-P. (2024). Transcriptome Proffling, Physiological and Biochemical Analyses Reveal Comprehensive Insights into Cadmium Stress in Myricaria laxiflora. Plants, 13(23), 3433. https://doi.org/10.3390/plants13233433
 
        


 
       