The Growth and Ion Absorption of Sesbania (Sesbania cannabina) and Hairy Vetch (Vicia villosa) in Saline Soil Under Improvement Measures
Abstract
1. Introduction
2. Results
2.1. Growth Indexes of Sesbania and Hairy Vetch
2.1.1. Plant Height and Stem Diameter
2.1.2. Dry Matter Mass and Root–Shoot Ratio
2.1.3. Leaf Area
2.2. Root Growth of Sesbania and Hairy Vetch
2.2.1. Root Lengths
2.2.2. Root Diameter
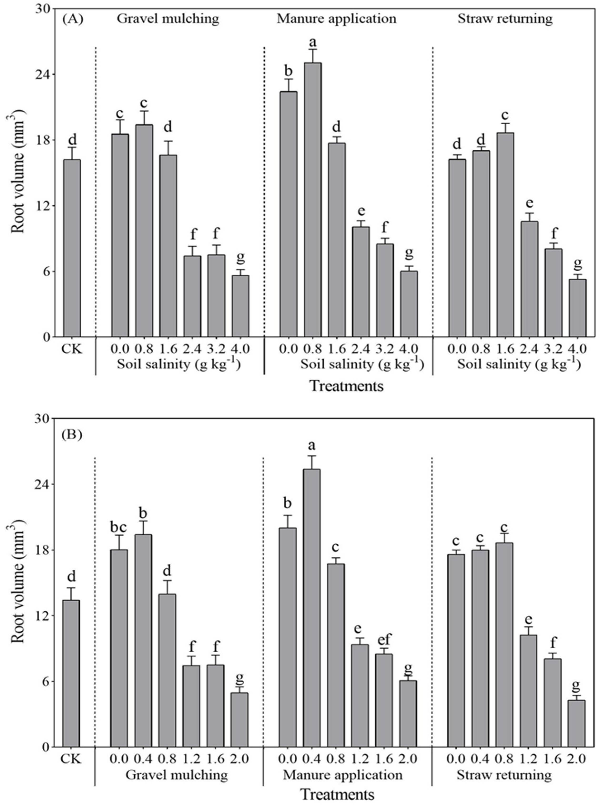
2.2.3. Root Volume
2.2.4. Root Surface Area
2.3. Ion Absorption of Sesbania and Hairy Vetch
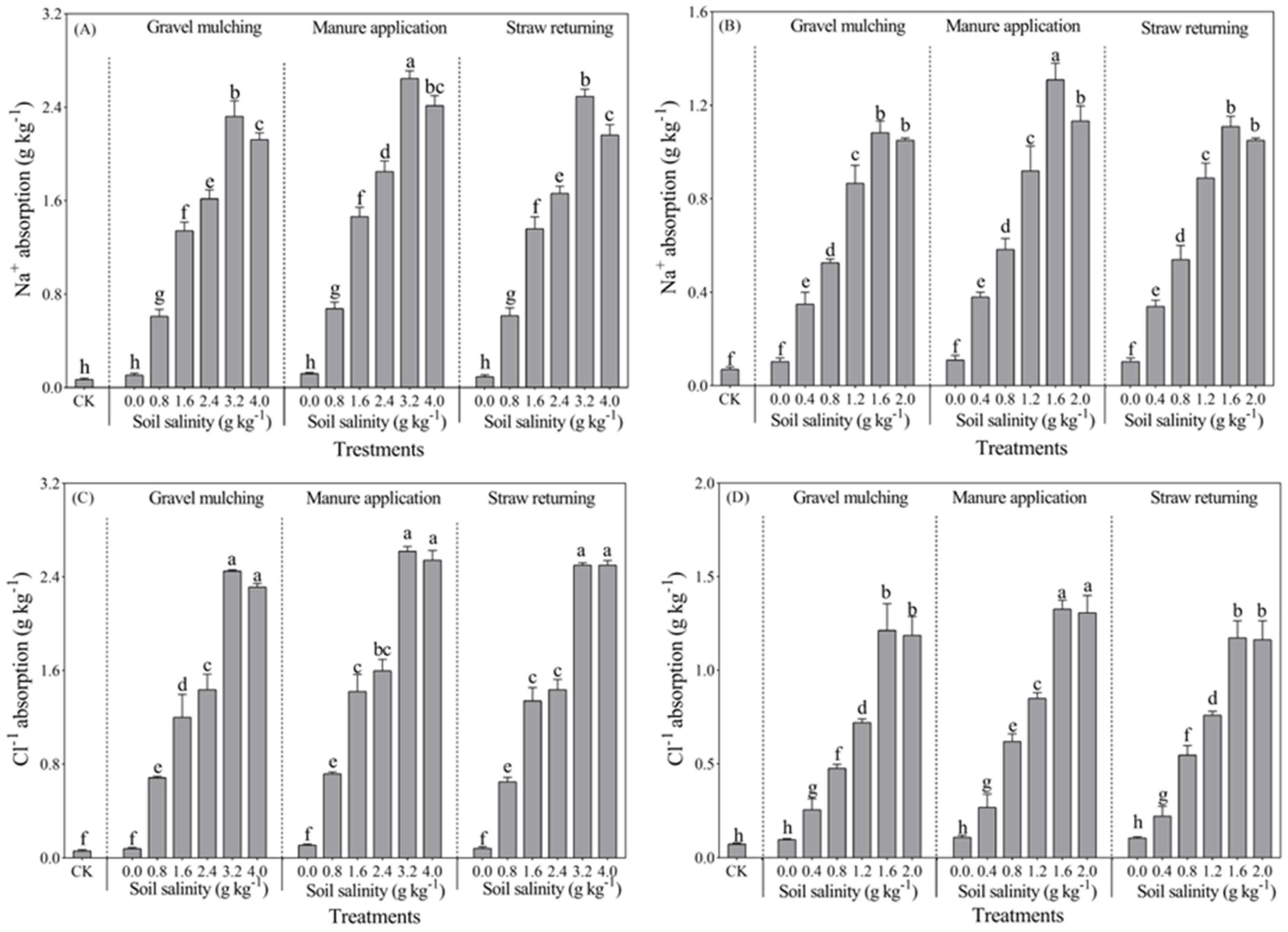
2.3.1. Na+ Absorption
2.3.2. Cl− Absorption
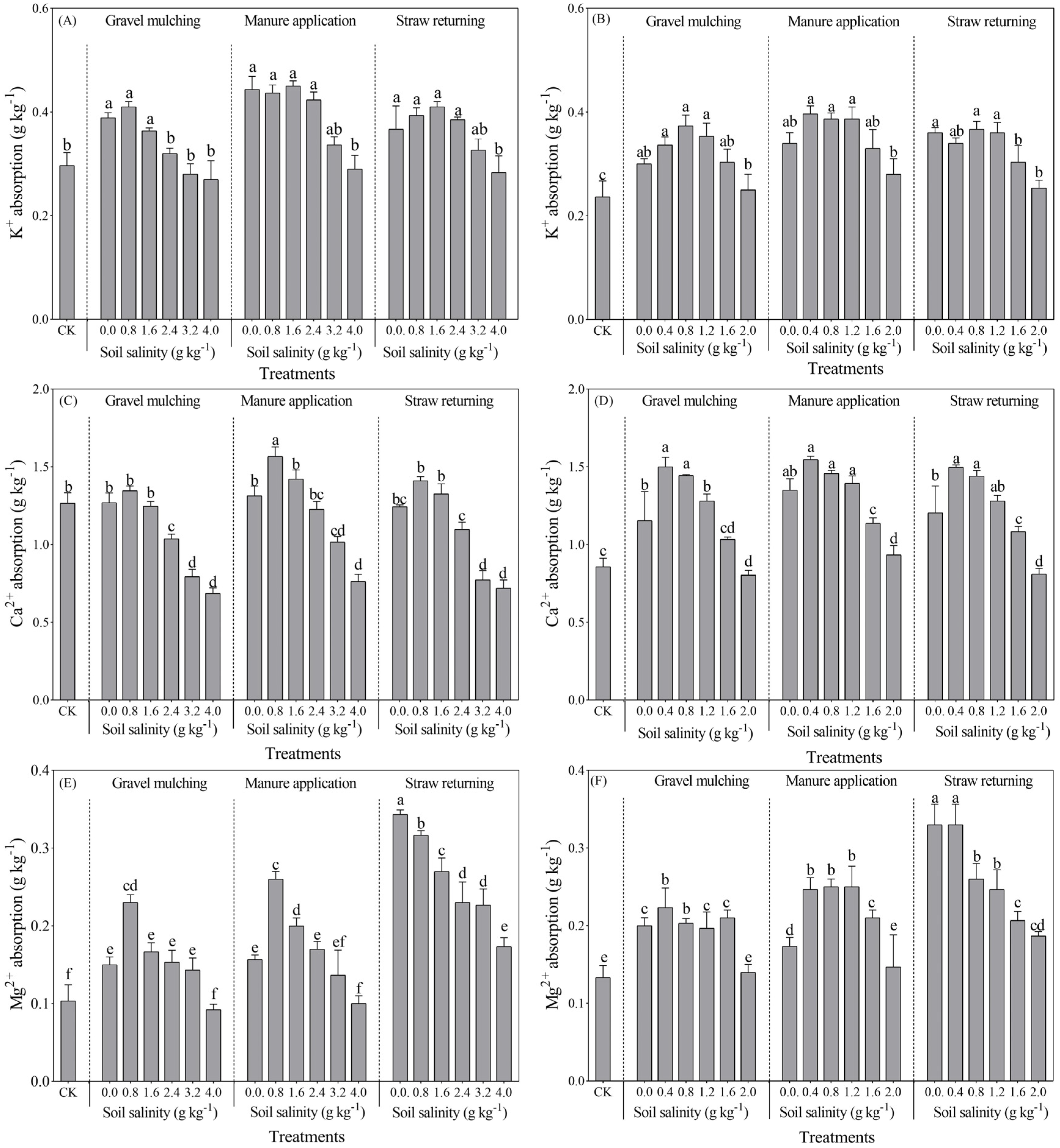
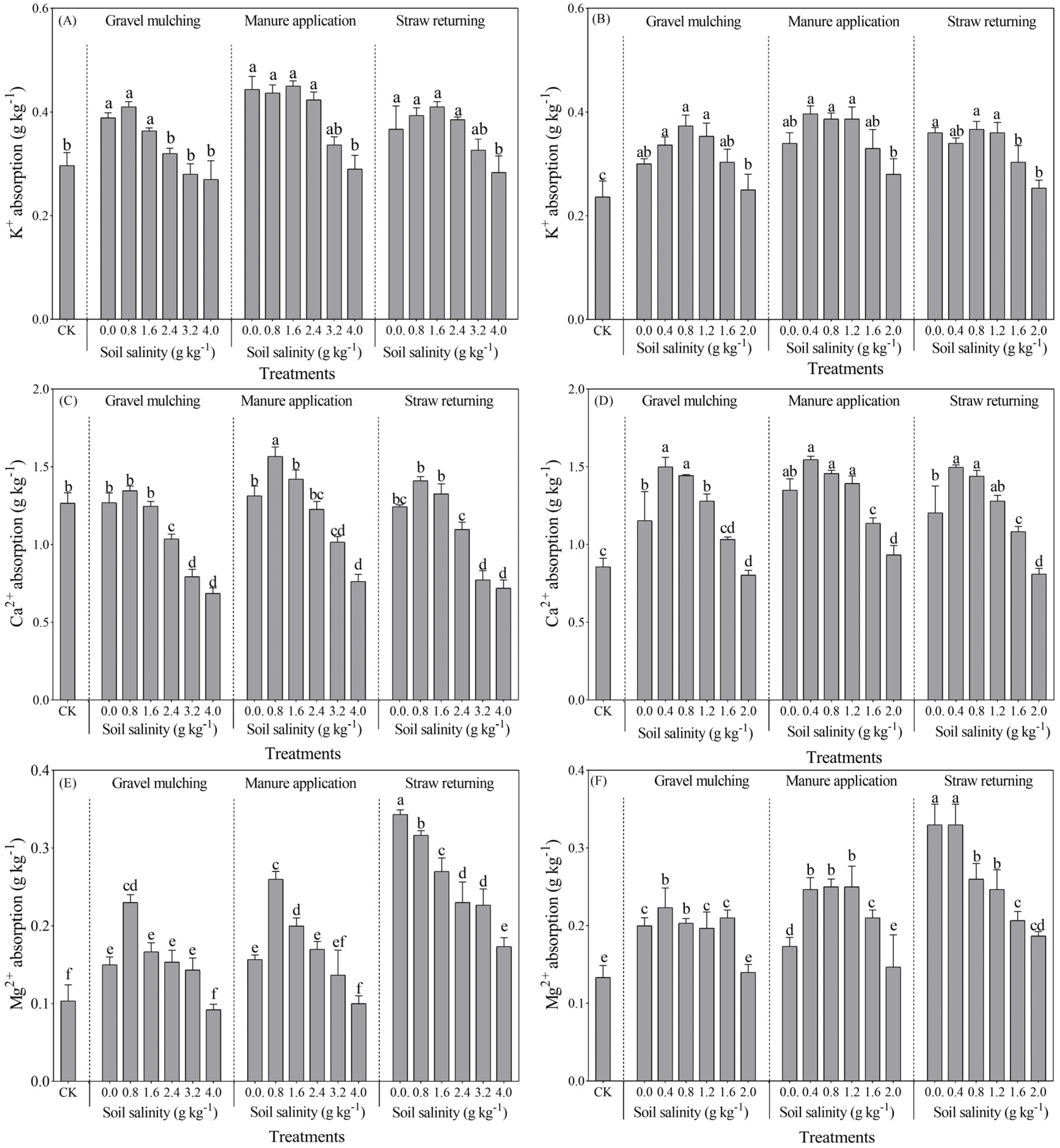
2.3.3. K+ Absorption
2.3.4. Ca2+ Absorption
2.3.5. Mg2+ Absorption
3. Discussion
4. Materials and Methods
4.1. Study Site
4.2. Experimental Design
4.3. Measurement Indicators
4.4. Statistical Analysis
5. Conclusions
Author Contributions
Funding
Data Availability Statement
Conflicts of Interest
References
- Tan, S.; Wang, Q.; Xu, D.; Zhang, J.; Shan, Y. Evaluating effects of four controlling methods in bare strips on soil temperature, water, and salt accumulation under film-mulched drip irrigation. Field Crop. Res. 2017, 214, 350–358. [Google Scholar] [CrossRef]
- Wang, L.L.; Wang, T.L.; Gao, B.; He, H.Z.; Ding, X.W.; Hou, B.D. Spatiotemporal dynamics of soil salinity and its determinants in Songnen Plain. Irrig. Drain. 2023, 42, 108. [Google Scholar] [CrossRef]
- Chen, S.M.; Jin, Z.; Zhang, J.; Zhu, G.C.; Sang, W.J.; Lin, H.S. The situation and impact factors of soil salinization in different dammed farmlands in the valley area of the Northern Shaanxi Province. Carpath. J. Earth Environ. 2019, 11, 81–89. [Google Scholar] [CrossRef]
- Dong, L.L.; Hua, Y.; Gao, Z.Q.; Wu, H.F.; Hou, Y.; Chu, Y.Y.; Zhao, J.W.; Cui, G.W. The Multiple Promoting Effects of Suaeda glauca Root Exudates on the Growth of Alfalfa under NaCl Stress. Plants 2024, 13, 752. [Google Scholar] [CrossRef] [PubMed]
- Yang, J.S.; Yao, R.J.; Wang, X.P.; Xie, W.P.; Zhang, X.; Zhu, W.; Zhang, L.; Sun, X.J. Research on salt-affected soils in China: History, status quo and prospect. Acta Pedol. Sin. 2022, 59, 10–27. [Google Scholar] [CrossRef]
- Wang, Y.L.; Wei, L.; Li, N.; Zhang, Q.; Chang, T.; Luo, C.L.; Zhao, N.; Xu, S.X. Comprehensive evaluation of salt tolerance of three forage seed varieties during germination. Pratacultural Sci. 2023, 40, 3104–3113. [Google Scholar] [CrossRef]
- Nan, J.; Wang, J.; Qin, A.; Liu, Z.; Ning, D.; Zhao, B. Study on utilization potential of agricultural soil and water resources’ in northwest arid area. Nat. Resour. Res. 2017, 32, 292–300. [Google Scholar] [CrossRef]
- Li, Y.; Tian, X.Y.; Wang, Z.L. Effects of substitution of partial chemical fertilizers with organic fertilizers on soil improvement and wheat yield in coastal saline and alkaline land. Soils 2019, 51, 1173–1182. [Google Scholar] [CrossRef]
- Liu, T.; Cao, Y.; Zhang, Y.T.; Wang, R.S.; Xiao, H.J.; Wang, B.T.; Si, L.Q. Soil environment and growth adaptation strategies of Amorpha fruticosa as affected by mulching in a moderately saline wasteland. Land Degrad. Dev. 2020, 31, 2672–2683. [Google Scholar] [CrossRef]
- Chen, X.; Opoku, K.Y.; Li, J.; Wu, J. Application of organic wastes to primary saline-alkali soil in Northeast China: Effects on soil available nutrients and salt ions. Commun. Soil Sci. Plan. 2020, 51, 1238–1252. [Google Scholar] [CrossRef]
- Talha, B.Y.M.; Farrakh, N.M.; Yasin, G.; Ahmad, I.; Gul, S.; Rehman, Z.; Qi, X.B.; Rahman, S.U. Effect of organic amendments in soil on physiological and biochemical attributes of Vachellia nilotica and Dalbergia sissoo under saline stress. Plants 2022, 11, 228. [Google Scholar] [CrossRef] [PubMed]
- Wang, X.; Yang, J.; Yao, R.; Xie, W.; Zhang, X. Manure plus plastic film mulch reduces soil salinity and improves Barley-Maize growth and yield in newly reclaimed coastal land, Eastern China. Water 2022, 14, 2944. [Google Scholar] [CrossRef]
- Liu, X.; Lu, X.; Zhao, W.; Yang, S.; Wang, J.; Xia, H.; Wei, X.; Zhang, J.; Chen, L.; Chen, Q. The rhizosphere effect of native legume Albizzia julibrissin on coastal saline soil nutrient availability, microbial modulation, and aggregate formation. Sci. Total Environ. 2022, 806, 150705. [Google Scholar] [CrossRef]
- Sarwar, A.G.; Tinne, F.J.; Islam, N.; Mozahidul, I.; Sabibul, H. Effects of Salt stress on growth and accumulation of Na+, K+ and Ca2+ ions in different accessions of sesbania. Bangl. J. Bot. 2022, 51, 157–167. [Google Scholar] [CrossRef]
- Zheng, Y.F.; Cao, X.W.; Zhou, Y.A.; Li, Z.; Zhao, D.L.; Li, Y.Q.; Xu, Z.C. Effect of planting salt-tolerant legumes on coastal saline soil nutrient availability and microbial communities. J. Environ. Manag. 2023, 345, 118574. [Google Scholar] [CrossRef]
- Qin, H.J.; Liang, J.; Li, F.; Zhou, Y. Ecological adaptation strategies of the clonal plant Phragmites australis at the Dunhuang Yangguan wetland in the arid zone of northwest China. Ecol. Indic. 2022, 141, 109109. [Google Scholar] [CrossRef]
- Mu, L.; Sun, K.Q.; Zhou, T.; Yang, H.M. Yield performance, land and water use, economic profit of irrigated spring wheat/alfalfa intercropping in the inland arid area of northwestern China. Field Crop. Res. 2023, 303, 109116. [Google Scholar] [CrossRef]
- Singh, A. Soil salinity: A global threat to sustainable development. Soil Use Manag. 2022, 38, 39–67. [Google Scholar] [CrossRef]
- Wang, L.Y.; Jiang, Y.S.; Cao, X.F.; Han, B.; Bu, D.P.; Deng, X.; Zhao, Q.H.; Yu, J.; You, C.Q.; Zhang, X.D.; et al. Study on nutritional value, molecular structure characteristics and in vitro Rumen degradation rates in different parts of sesban cannabina. CJAN 2024, 36, 3386–3400. [Google Scholar] [CrossRef]
- Feng, Y.Y.; Liu, J.J.; Hu, H.B.; Xu, X.P.; Chen, D.Y.; Wang, X. Agroforestry system construction in eastern coastal China: Insights from soil–plant interactions. Land Degrad. Dev. 2024, 35, 2530–2542. [Google Scholar] [CrossRef]
- Negawo, A.T.; Habib, O.A.; Meki, S.M.; Ermias, H.; Yilikal, A.; Alice, M.; Alieu, M.S.; Chris, S.J. Genetic diversity, population structure and subset development in a Sesbania sesban collection. Plants 2022, 12, 13. [Google Scholar] [CrossRef] [PubMed]
- Beyk-Khormizi, A.; Sarafraz-Ardakani, M.R.; Hosseini Sarghein, S.; Moshtaghioun, S.M.; Mousavi-Kouhi, S.M.; Taghavizadeh Yazdi, M.E. Effect of Organic Fertilizer on the Growth and Physiological Parameters of a Traditional Medicinal Plant under Salinity Stress Conditions. Sci. Hortic. 2023, 9, 701. [Google Scholar] [CrossRef]
- Wang, F.; Wang, Y.L.; Lv, H.Q.; Fan, Z.L.; Hu, F.L.; He, W.; Yin, W.; Cai, Z.; Cai, Q.; Yu, A.Z. No-tillage mulch with leguminous green manure retention reduces soil evaporation and increases yield and water productivity of maize. Agric. Water Manag. 2023, 290, 108573. [Google Scholar] [CrossRef]
- Zahra, M.; Marwa, S.; Muhammad, B.; Abdul, R.; Abdul, W.; Kadambot, H.; Muhammad, F. Regulation of photosynthesis under salt stress and associated tolerance mechanisms. Plant. Physiol. Bioch. 2022, 178, 55–69. [Google Scholar] [CrossRef] [PubMed]
- Zhang, M.X.; Bai, R.; Nan, M.; Ren, W.; Wang, C.M.; Zhang, J.L. Evaluation of salt tolerance of oat cultivars and the mechanism of adaptation to salinity. J. Plant Physiol. 2022, 273, 153708. [Google Scholar] [CrossRef]
- Desoky, E.M.; Saad, A.m.; Mohamed, T.; Merwad, A.M.; Mostafa, M. Plant growth-promoting rhizobacteria: Potential improvement in antioxidant defense system and suppression of oxidative stress for alleviating salinity stress in Triticum aestivum (L.) plants. Biocatal. Agric. Biotechnol. 2020, 30, 101878. [Google Scholar] [CrossRef]
- Tian, F.; Hoi, M.J.; Qiu, Y.; Zhang, T.; Yuan, Y.S. Salinity stress effects on transpiration and plant growth under different salinity soil levels based on thermal infrared remote (TIR) technique. Geoderma 2020, 357, 113961. [Google Scholar] [CrossRef]
- Liu, L.; Gai, Z.J.; Liu, T.H.; Li, S.X.; Ye, F.; Jian, S.L.; Shen, Y.H.; Li, X.N. Salt stress improves the low-temperature tolerance in sugar beet in which carbohydrate metabolism and signal transduction are involved. Environ. Exp. Bot. 2023, 208, 105239. [Google Scholar] [CrossRef]
- Bistgani, Z.E.; Masoud, H.; Michelle, D.; Lyle, C.; Filippo, M.; Mohammad, R.M. Effect of salinity stress on the physiological characteristics, phenolic compounds and antioxidant activity of Thymus vulgaris L. and Thymus daenensis Celak. Ind. Crops. Prod. 2019, 135, 311–320. [Google Scholar] [CrossRef]
- Ondrasek, G.; Santosha, R.; Kallakeri, K.M.; Gireesh, C. Salt stress in plants and mitigation approaches. Plants 2022, 11, 717. [Google Scholar] [CrossRef]
- Cheng, Y.; Luo, M.; Zhang, T.G.; Yan, S.H.; Wang, C.; Deng, Q.G.; Zhang, T.B. Organic substitution improves soil structure and water and nitrogen status to promote sunflower (Helianthus annuus L.) growth in an arid saline area. Agric. Water Manag. 2023, 283, 108320. [Google Scholar] [CrossRef]
- Shi, X.P.; Song, X.; Yang, J.J.; Yuan, Z.Q.; Zhao, G.N.; Zhang, F.; Li, F.M. Yield benefits from joint application of manure and inorganic fertilizer in a long-term field pea, wheat and potato crop rotation. Field Crop. Res. 2023, 294, 108873. [Google Scholar] [CrossRef]
- Chen, M.M.; Zhang, S.R.; Liu, L.; Wu, L.P.; Ding, X.D. Combined organic amendments and mineral fertilizer application increase rice yield by improving soil structure, P availability and root growth in saline-alkaline soil. Soil Tillage Res. 2021, 212, 105060. [Google Scholar] [CrossRef]
- Silva, B.R.S.; Batista, B.L.; Lobato, A.S. Anatomical changes in stem and root of soybean plants submitted to salt stress. J. Plant Biol. 2021, 23, 57–65. [Google Scholar] [CrossRef]
- Zou, Y.T.; Zhang, Y.X.; Christa, T. Root dynamic growth strategies in response to salinity. Plant Cell Environ. 2022, 45, 695–704. [Google Scholar] [CrossRef] [PubMed]
- Alkharabsheh, H.M.; Seleiman, M.F.; Hewedy, O.A. Field crop responses and management strategies to mitigate soil salinity in modern agriculture: A review. Agronomy 2021, 11, 2299. [Google Scholar] [CrossRef]
- Ren, B.; Li, X.; Dong, S.; Liu, P.; Zhao, B.; Zhang, J. Soil physical properties and maize root growth under different tillage systems in the North China Plain. Crop. J. 2018, 6, 669–676. [Google Scholar] [CrossRef]
- Kumar, S.; Li, G.J.; Yang, J.J.; Huang, X.F.; Ji, Q.; Liu, Z.F.; Ke, W.D.; Hou, H.W. Effect of salt stress on growth, physiological parameters, and ionic concentration of water dropwort (Oenanthe javanica) cultivars. Front. Plant Sci. 2021, 12, 660409. [Google Scholar] [CrossRef]
- Zhang, G.L.; Bai, J.H.; Tebbe, C.C.; Zhao, Q.Q.; Jia, J.; Wang, W.; Wang, X.; Yu, L. Salinity controls soil microbial community structure and function in coastal estuarine wetlands. Environ. Microbiol. 2021, 23, 1020–1037. [Google Scholar] [CrossRef]
- Hassan, A.; Syeda, F.A.; Muhammad, H.S.; Humaira, Y.; Muhammad, I.; Muhammad, R.; Qurban, A. Foliar application of ascorbic acid enhances salinity stress tolerance in barley (Hordeum vulgare L.) through modulation of morpho-physio-biochemical attributes, ions uptake, osmo-protectants and stress response genes expression. Saudi J. Biol. Sci. 2021, 28, 4276–4290. [Google Scholar] [CrossRef]
- Song, J.; Zhang, H.; Chang, F.; Yu, R.; Zhang, X.; Wang, X.; Liu, J.; Zhou, J.; Li, Y. Humic acid plus manure increases the soil carbon pool by inhibiting salinity and alleviating the microbial resource limitation in saline soils. CATENA 2023, 233, 107527. [Google Scholar] [CrossRef]
- Liu, M.L.; Wang, C.; Liu, X.L.; Lu, Y.C.; Wang, Y.F. Saline-alkali soil applied with vermicompost and humic acid fertilizer improved macroaggregate microstructure to enhance salt leaching and inhibit nitrogen losses. Appl Soil Ecol. 2020, 156, 103705. [Google Scholar] [CrossRef]
- Mao, X.X.; Yang, Y.; Guan, P.B.; Geng, L.P.; Ma, L.; Di, H.J.; Liu, W.J.; Li, B.W. Remediation of organic amendments on soil salinization: Focusing on the relationship between soil salts and microbial communities. Ecotoxicol. Environ. Safe 2022, 239, 113616. [Google Scholar] [CrossRef] [PubMed]
- Jaiswal, S.K.; Felix, D.D. Seed-Coat Pigmentation Plays a Crucial Role in Partner Selection and N2 Fixation in Legume-Root–Microbe Associations in African Soils. Plants 2024, 13, 1464. [Google Scholar] [CrossRef]
- Tabassum, H.; Asrar, H.; Zhang, W.S.; Liu, X.J. The combination of salt and drought benefits selective ion absorption and nutrient use efficiency of halophyte Panicum antidotale. Front. Plant. Sci. 2023, 14, 1091292. [Google Scholar] [CrossRef]
- Sutie, X.; Silveira, M.L.; Ngatia, L.W.; Normand, A.E.; Sollenberger, L.E.; Reddy, K.R. Carbon and nitrogen pools in aggregate size fractions as affected by sieving method and land use intensification. Geoderma 2017, 305, 70–79. [Google Scholar] [CrossRef]
- Song, K.L.; Zhou, C.H.; Li, H.P.; Zhou, Z.C.; Ni, G.R.; Yin, X. Effects of rumen microorganisms on straw returning to soil at different depths. Eur. J. Soil Biol. 2023, 114, 103454. [Google Scholar] [CrossRef]
- Bisergaeva, R.A.; Sirieva, Y.N. Determination of calcium and magnesium by atomic absorption spectroscopy and flame photometry. J. Phys. Conf. Ser. 2020, 1691, 012055. [Google Scholar] [CrossRef]
- Ullah, R.; Abbas, Z.; Bilal, M.; Habib, F.; Iqbal, J.; Bashir, F.; Noor, S.; Qazi, A.M.; Baig, K.S.; Niaz, A.; et al. Method development and validation for the determination of potassium (K2O) in fertilizer samples by flame photometry technique. J. King Saud Univ.-Sci. 2022, 34, 102070. [Google Scholar] [CrossRef]











| Particle Size (mm) | <2.00 | <1.00 | <0.05 | <0.01 | <0.001 |
|---|---|---|---|---|---|
| Soil (%) | 100 | 98.37 | 82.41 | 21.33 | 9.06 |
| Soil Depth (cm) | Organic Matter (g kg−1) | Na+ (g kg−1) | K+ (g kg−1) | Ca2+ (g kg−1) | Mg2+ (g kg−1) | Cl−1 (g kg−1) | pH | EC (mS cm−1) |
|---|---|---|---|---|---|---|---|---|
| 0–20 | 9.40 | 0.13 | 0.27 | 0.38 | 0.13 | 0.11 | 7.79 | 0.66 |
| Crop | Salt Addition (g kg−1) | Improvement Measures | Treatments | Crop | Salt Addition (g kg−1) | Improvement Measures | Treatments |
|---|---|---|---|---|---|---|---|
| Hairy vetch (V) | 0 | None | CK | Sesbania (S) | 0 | None | CK |
| Gravel mulching (C) | VC0 | Gravel mulching (C) | SC0 | ||||
| Manure application (M) | VM0 | Manure application (M) | SM0 | ||||
| Straw returning (R) | VR0 | Straw returning (R) | SR0 | ||||
| 0.4 | Gravel mulching (C) | VC0.4 | 0.8 | Gravel mulching (C) | SC0.8 | ||
| Manure application (M) | VM0.4 | Manure application (M) | SM0.8 | ||||
| Straw returning (R) | VR0.4 | Straw returning (R) | SR0.8 | ||||
| 0.8 | Gravel mulching (C) | VC0.8 | 1.6 | Gravel mulching (C) | SC1.6 | ||
| Manure application (M) | VM0.8 | Manure application (M) | SM1.6 | ||||
| Straw returning (R) | VR0.8 | Straw returning (R) | SR1.6 | ||||
| 1.2 | Gravel mulching (C) | VC1.2 | 2.4 | Gravel mulching (C) | SC2.4 | ||
| Manure application (M) | VM1.2 | Manure application (M) | SM2.4 | ||||
| Straw returning (R) | VR1.2 | Straw returning (R) | SR2.4 | ||||
| 1.6 | Gravel mulching (C) | VC1.6 | 3.2 | Gravel mulching (C) | SC3.2 | ||
| Manure application (M) | VM1.6 | Manure application (M) | SM3.2 | ||||
| Straw returning (R) | VR1.6 | Straw returning (R) | SR3.2 | ||||
| 2 | Gravel mulching (C) | VC2.0 | 4 | Gravel mulching (C) | SC4.0 | ||
| Manure application (M) | VM2.0 | Manure application (M) | SM4.0 | ||||
| Straw returning (R) | VR2.0 | Straw returning (R) | SR4.0 |
Disclaimer/Publisher’s Note: The statements, opinions and data contained in all publications are solely those of the individual author(s) and contributor(s) and not of MDPI and/or the editor(s). MDPI and/or the editor(s) disclaim responsibility for any injury to people or property resulting from any ideas, methods, instructions or products referred to in the content. |
© 2024 by the authors. Licensee MDPI, Basel, Switzerland. This article is an open access article distributed under the terms and conditions of the Creative Commons Attribution (CC BY) license (https://creativecommons.org/licenses/by/4.0/).
Share and Cite
Wu, Y.; Liu, R.; Si, W.; Zhang, J.; Yang, J.; Qiu, Z.; Luo, R.; Wang, Y. The Growth and Ion Absorption of Sesbania (Sesbania cannabina) and Hairy Vetch (Vicia villosa) in Saline Soil Under Improvement Measures. Plants 2024, 13, 3413. https://doi.org/10.3390/plants13233413
Wu Y, Liu R, Si W, Zhang J, Yang J, Qiu Z, Luo R, Wang Y. The Growth and Ion Absorption of Sesbania (Sesbania cannabina) and Hairy Vetch (Vicia villosa) in Saline Soil Under Improvement Measures. Plants. 2024; 13(23):3413. https://doi.org/10.3390/plants13233413
Chicago/Turabian StyleWu, You, Rui Liu, Wei Si, Jiale Zhang, Jianhua Yang, Zhenxin Qiu, Renlei Luo, and Yu Wang. 2024. "The Growth and Ion Absorption of Sesbania (Sesbania cannabina) and Hairy Vetch (Vicia villosa) in Saline Soil Under Improvement Measures" Plants 13, no. 23: 3413. https://doi.org/10.3390/plants13233413
APA StyleWu, Y., Liu, R., Si, W., Zhang, J., Yang, J., Qiu, Z., Luo, R., & Wang, Y. (2024). The Growth and Ion Absorption of Sesbania (Sesbania cannabina) and Hairy Vetch (Vicia villosa) in Saline Soil Under Improvement Measures. Plants, 13(23), 3413. https://doi.org/10.3390/plants13233413
