Straw Returning Methods Affects Macro-Aggregate Content and Organic Matter Content in Black Soils: Meta-Analysis and Comprehensive Validation
Abstract
1. Introduction
2. Results and Analyses
2.1. The Impact of Straw Incorporation on Water-Stable Aggregates and Soil Organic Matter Content
2.2. The Influence of Return Method and Return Age on Water-Stable Agglomerate Content
2.3. The Impact of Return Method and the Age of Return on the Organic Matter Content of Water-Stable Aggregates
2.4. The Impact of Additional Influencing Variables on Water-Stable Aggregates and Organic Matter Following Straw Incorporation into Agricultural Fields
2.5. The Correlation Between Water-Stable Agglomerate Response Ratios and Their Respective Organic Matter Response Ratios
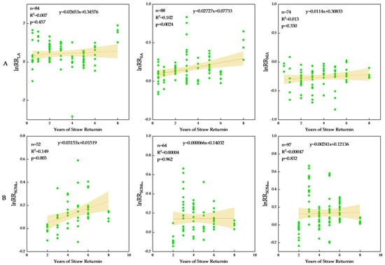
2.6. Effects of Various Years and Return Methods on Soil Water-Stable Aggregates Content in Field Experiments
3. Discussion
3.1. The Impact of Straw Return Years on the Water-Stable Aggregate Content and Aggregate Organic Matter Composition
3.2. The Impact of Straw Return Methods on the Water-Stable Aggregate Content and Aggregate Organic Matter Composition
3.3. Impact of Climatic Factors on Water-Stable Agglomerates and Organic Matter, and Their Interrelated Response Relationship
4. Materials and Methods
4.1. Data Compilation
4.2. Data Grouping
4.3. Statistical Analysis
4.4. General Situation of the Experimental Field
4.5. Data Processing
5. Conclusions
Supplementary Materials
Author Contributions
Funding
Data Availability Statement
Acknowledgments
Conflicts of Interest
References
- Zhai, G.; Han, M.; Li, Y.; Wang, E. Organic carbon change and carbon sequestration potential of sloping farmland in the black soil area. Acta Ecol. Sin. 2020, 40, 5751–5760. [Google Scholar]
- Notice of the Ministry of Agriculture and Rural Affairs and the Ministry of Finance on Issuing the Action Plan for Protective Cultivation of Black Soil in Northeast China (2020–2025). Gaz. Minist. Agric. Rural. Aff. People’s Repub. China 2020, 4, 9–11.
- Ministry of Agriculture and Rural Affairs of the People’s Republic of China. National Black Soil Protection Project Implementation Plan (2021–2025); Rural Work Communications; Ministry of Agriculture and Rural Affairs of the People’s Republic of China: Beijing, China, 2021; pp. 4–9.
- Wang, S. Technical model of conservation tillage to improve black soil quality. J. Agric. Eng. Technol. 2023, 43, 67–68. [Google Scholar] [CrossRef]
- He, X.; Xiao, Y. Current Status of Soil Nutrients in the Typical Black Soil in Northeast China. Water Conserv. Sci. Technol. Econ. 2022, 28, 90–93. [Google Scholar] [CrossRef]
- Liu, J. The Planned Area of Autumn Land Preparation and Straw Returning in Heilongjiang Province. Available online: https://m.dbw.cn/heilongjiang/system/2023/11/18/059241255.shtml (accessed on 18 September 2024).
- Hou, W. Conservation Cultivation of Black Land “Under Zhengong” Grain Harvest “True Borrowing”. China Jilin Network. Available online: https://pinglun.cnjiwang.com/jwkp/202310/3787649.html (accessed on 18 September 2024).
- Regarding the Protection of Agricultural Ecological Environment in 2023, Notification of Implementation of Responsibilities. Available online: https://nync.ln.gov.cn/nync/index/zwgk/zszdgkwj/2023122210432695041/index.shtml (accessed on 18 September 2024).
- For Four Consecutive Years, Our District Has Exceeded the Task Area of Black Land Conservation Farming. The Inner Mongolia Autonomous Region Nongmuting. Available online: https://nmt.nmg.gov.cn/xw/nmyw/202308/t20230824_2366263.html (accessed on 18 September 2024).
- Lyu, P.; Xu, M.; Wang, L.; Zhang, J.; Yu, Z.; Wang, W. Short-term Effects on the Soil Nutrients Content and the Yield of Corn Under Straw Incorporation in the Cold and Black Soil Area. Humic Acid 2024, 2, 24–30+37. [Google Scholar] [CrossRef]
- Li, P.; Ying, D.; Li, J.; Deng, J.; Li, C.; Tian, S.; Zhao, G.; Wu, C.; Jiao, J.; Jiang, M.; et al. Global-scale no-tillage impacts on soil aggregates and associated carbon and nitrogen concentrations in croplands: A meta-analysis. Sci. Total Environ. 2023, 881, 163570. [Google Scholar] [CrossRef]
- Guo, M.; Li, J.; Li, J.; Qi, J.; Zhang, X. Changes of soil structure and function after 16-year conservation tillage in black soil. Trans. Chin. Soc. Agric. Eng. 2021, 37, 108–118. [Google Scholar] [CrossRef]
- Gan, J.; Qiu, C.; Han, X.; David, K.; Chen, X.; Yan, J.; Lu, X.; Zou, W. Effects of 10 Years of the Return of Corn Straw on Soil Aggregates and the Distribution of Organic Carbon in a Mollisol. Agronomy 2022, 12, 2374. [Google Scholar] [CrossRef]
- Yang, H. Research and application progress of straw returning technology. Agric. Dev. Equip. 2017, 10, 61. [Google Scholar]
- Wang, Y. Research progress on effects of straw returning to field on soil improvement and crop growth. Agric. Technol. 2020, 40, 44–45. [Google Scholar] [CrossRef]
- Zhao, X. Advantages and disadvantages of straw returning to field. Beijing Agric. 2014, 21, 253. [Google Scholar]
- Huang, Y.; Wang, S.; Ye, S. Effects of Cunninghamia lanceolata stand types on the changes of aggregate-related organic carbon and nutrients in surface soil. Chin. J. Appl. Ecol. 2020, 31, 2857–2865. [Google Scholar]
- Lehmann, A.; Leifheit, E.F.; Rillig, M.C. Chapter 14. Mycorrhizas and Soil Aggregation. In Mycorrhizal Mediation of Soil; Johnson, N.C., Gehring, C., Jansa, J., Eds.; Elsevier: Amsterdam, The Netherlands, 2017; pp. 241–262. [Google Scholar] [CrossRef]
- Zhou, M.; Zhao, Y.; Xu, T.; Zhang, Y.; Wang, X.; Zhang, R. Effects of long-term straw fertilization on the stability of calcium chestnut soil aggregates and phosphorus distribution in agricultural fields on the eastern part of the Tibetan Plateau. Soil Fertil. Sci. China 2024, 8, 21–29. [Google Scholar]
- Li, J. Long-Term Tillage Impacts on Soil Aggregate Organic Carbon and Microbial Community Diversity; Chinese Academy of Agricultural Sciences: Beijing, China, 2014. [Google Scholar]
- Chen, W.; Yuan, W.; Wang, J.; Wang, Z.; Zhou, Z.; Liu, S. No-Tillage Combined with Appropriate Amount of Straw Returning Increased Soil Biochemical Properties. Sustainability 2022, 14, 4875. [Google Scholar] [CrossRef]
- Madari, B.; Machado, P.; Torres, E.; Andrade, A.; Valencia, L. No tillage and crop rotation effects on soil aggregation and organic carbon in a Rhodic Ferralsol from southern Brazil. Soil Tillage Res. 2005, 80, 185–200. [Google Scholar] [CrossRef]
- Islam, M.; Jiang, F.; Halder, M.; Liu, S.; Peng, X. Impact of straw return combined with different fertilizations on soil organic carbon stock in upland wheat and maize croplands in China: A meta-analysis. Crop Environ. 2023, 2, 233–241. [Google Scholar] [CrossRef]
- Luan, H.; Yuan, S.; Gao, W.; Tang, J.; Li, R.; Zhang, H.; Huang, S. Aggregate-related changes in living microbial biomass and microbial necromass associated with different fertilization patterns of greenhouse vegetable soils. Eur. J. Soil Biol. 2021, 103, 103291. [Google Scholar] [CrossRef]
- Xin, J.; Yan, L.; Cai, H. Response of soil organic carbon to straw return in farmland soil in China: A meta-analysis. J. Environ. Manag. 2024, 359, 121051. [Google Scholar] [CrossRef]
- Zhang, P.; Chen, X.; Wei, T.; Yang, Z.; Jia, Z.; Yang, B.; Han, Q.; Ren, X. Effects of straw incorporation on the soil nutrient contents, enzyme activities, and crop yield in a semiarid region of China. Soil Tillage Res. 2016, 160, 65–72. [Google Scholar] [CrossRef]
- Klopp, H.; Blanco-Canqui, H.; Sindelar, M.; Jin, V.; Schmer, M. Comparing impacts of corn residue removal and amelioration practices on soil properties after 3, 6, and 10 years. Soil Sci. Soc. Am. J. 2024, 88, 510–526. [Google Scholar] [CrossRef]
- Qie, T.; Li, F.; Li, Y.; Wang, L.; Zhang, T.; Zhang, J.; Wang, H.; Zhang, D. Effects of Tillage Methods on Soil Chemical Properties Under Straw Returning Condition. Chin. Agric. Sci. Bull. 2022, 38, 58–69. (In Chinese) [Google Scholar]
- Liu, X.; Zheng, C.; Cao, C.; Dang, H.; Ma, J.; Li, K. Effects of long-term straw returning to field on water-stable aggregates of tidal soil. Jiangsu Agric. Sci. 2021, 49, 215–220. [Google Scholar]
- Li, Y.; Wang, X.; Liang, Y.; Zhou, H.; Zhou, N.; Pu, Y. Response of farmland soil aggregate-associated organic carbon to straw return: A meta-analysis. Chin. J. Eco-Agric. 2024, 32, 41–52. [Google Scholar]
- Pei, H.; Miao, Y.; Hou, R. Meta-analysis of the effects of global organic material returning on soil organic carbon sequestration in Mollisols. Trans. Chin. Soc. Agric. Eng. 2023, 39, 79–88. [Google Scholar] [CrossRef]
- Zhang, J. Pollution Characteristics and Risk Assessment of Soil Heavy Metals in Mine Areas in Southwest China Based on Meta Analysis. Master’s Thesis, Hubei University, Wuhan, China, 2022. [Google Scholar]
- Lou, C.; Zhang, Y.; Mclaughlin, N.; Gao, Y.; Zhou, R.; Zhang, Y.; Liu, H.; Huang, D.; Chen, X.; Zhang, S.; et al. Changes in soil total nitrogen induced by crop residue return: A meta-analysis. Soil Tillage Res. 2023, 230, 105712. [Google Scholar] [CrossRef]
- Jiang, M.; Dong, C.; Bian, W.; Zhang, W.; Wang, Y. Effects of different fertilization practices on maize yield, soil nutrients, soil moisture, and water use efficiency in northern China based on a meta-analysis. Sci. Rep. 2024, 14, 6480. [Google Scholar] [CrossRef]
- Luo, X.; Zhang, L.; Lin, Y.; Wen, D.; Hou, E. Nitrogen availability mediates soil organic carbon cycling in response to phosphorus supply: A global meta-analysis. Soil Biol. Biochem. 2023, 185, 109158. [Google Scholar] [CrossRef]
- Yuan, L.; Gao, Y.; Mei, Y.; Liu, J.; Kalkhajeh, Y.; Hu, H.; Huang, J. Effects of continuous straw returning on bacterial community structure and enzyme activities in rape-rice soil aggregates. Sci. Rep. 2023, 13, 2357. [Google Scholar] [CrossRef]
- Li, Y.; Abalos, D.; Arthur, E.; Feng, H.; Siddique, K.; Chen, J. Different straw return methods have divergent effects on winter wheat yield, yield stability, and soil structural properties. Soil Tillage Res. 2024, 238, 105992. [Google Scholar] [CrossRef]
- Jiang, X.; Li, Y.; Ouyang, Z.; Hou, R.; Li, F. Effect of no-tillage on soil aggregate and organic carbon storage. Chin. J. Eco-Agric. 2012, 20, 270–278. [Google Scholar] [CrossRef]
- Liu, J.; Dou, S.; Xie, S.; Sui, Y. Effects of Corn Stover Deep Incorporation with Different Years on the Amount of Humic Acid in Soil Aggregates. J. Jilin Agric. Univ. 2020, 42, 653–661. [Google Scholar] [CrossRef]
- Thorburn, P.; Meier, E.; Collins, K.; Robertson, F. Changes in soil carbon sequestration, fractionation and soil fertility in response to sugarcane residue retention are site-specific. Soil Tillage Res. 2012, 120, 99–111. [Google Scholar] [CrossRef]
- Gu, X.; An, T.; Li, S.; Li, H.; Wang, J. Effect of Application of straw on Organic Carbon in Brown Soil Aggregates by δ13C Method. J. Soil Water Conserv. 2014, 28, 243–247+312. [Google Scholar] [CrossRef]
- Wang, D.; Shi, X.; Wang, H.; Weindorf, D.; Yu, D.; Sun, W.; Ren, H.; Zhan, Y. Scale effect of climate on soil organic carbon in the Uplands of Northeast China. J. Soils Sediments 2010, 10, 1007–1017. [Google Scholar] [CrossRef]
- Ma, L.; Li, J.; Zou, Z.; Cai, A.; Zhang, A.; Du, Z. Effects of No-Tillage and Straw Returning on Soil C-Cycling Enzyme Activities in China: Meta-Analysis. Sci. Agric. Sin. 2021, 54, 1913–1925. [Google Scholar] [CrossRef]
- Ouyang, H.; Ou, J.; Lin, Z.; Zhang, H.; Luo, J.; Li, S. Advances in the Decomposition of Straw from Returned Crops. Chin. Agric. Sci. Bull. 2023, 39, 74–78. [Google Scholar]
- Six, J.; Elliott, E.T.; Paustian, K.; Doran, J. Aggregation and Soil Organic Matter Accumulation in Cultivated and Native Grassland Soils. Soil Sci. Soc. Am. J. 1998, 62, 1367–1377. [Google Scholar] [CrossRef]
- Li, N.; Han, X.; You, M.; Xu, Y. Research review on soil aggregates and microbes. Ecol. Environ. Sci. 2013, 22, 1625–1632. [Google Scholar] [CrossRef]
- Liu, C.; Lu, M.; Cui, J.; Li, B.; Fang, C. Effects of straw carbon input on carbon dynamics in agricultural soils: A meta-analysis. Glob. Change Biol. 2014, 20, 1366–1381. [Google Scholar] [CrossRef]
- Geng, S.; Li, L.; Miao, Y.; Zhang, D.; Yang, Q.; Wang, Y. Responses of soil aggregation and aggregate-associated nitrogen to straw return in China: Evidence from a meta-analysis and a pot experiment. Land Degrad. Dev. 2024, 35, 3593–3605. [Google Scholar] [CrossRef]
- Pittelkow, C.; Liang, X.; Linquist, B.; Groenigen, K.; Lee, J.; Lundy, M.; Gestel, N.; Six, J.; Venterea, R.; Kessel, C. Productivity limits and potentials of the principles of conservation agriculture. Nature 2015, 517, 365–368. [Google Scholar] [CrossRef] [PubMed]
- Huang, L.; Zhao, G.; Li, T.; Jiang, L.; Wang, J.; Song, H.; Yuan, M.; Yang, L.; Wang, H. Effects of straw returning on the organic carbon components of soil aggregates in wheat fields on the loess plateau. Trans. Chin. Soc. Agric. Eng. 2022, 38, 123–132. [Google Scholar] [CrossRef]
- Yan, L.; Dong, T.; La, L.; Liu, M.; Sun, X.; Meng, Q.; Zhang, Y.; Zhang, N.; Meng, Q. Effects of no-tillage and straw returning on soil aggregates composition and organic carbon content in black soil areas of Northeast China. Trans. Chin. Soc. Agric. Eng. 2020, 36, 181–188. [Google Scholar] [CrossRef]
- Wang, X.; Xie, Z.; Dong, H.; Zhao, Y.; Liu, H.; Lou, C. Effects of Straw Returning on Yield and Soil Aggregates Composition and Organic Carbon Distribution. J. Maize Sci. 2018, 26, 108–115. [Google Scholar] [CrossRef]
- Yang, X.; He, P.; Zhang, Z.; You, M.; Wu, X.; Li, L. Straw return, rather than warming, alleviates microbial phosphorus limitation in a cultivated Mollisol. Appl. Soil Ecol. 2023, 186, 929–1393. [Google Scholar] [CrossRef]
- Yin, J.; Liu, R.; Cao, W.; Zhu, K.; Fenton, O.; Guo, J.; Chen, Q. Nitrogen and carbon addition changed nitrous oxide emissions from soil aggregates in straw-incorporated soil. J. Soils Sediments 2022, 22, 617–629. [Google Scholar] [CrossRef]
- Liu, Y.; Pan, Y.; Yang, L.; Ahmad, S.; Zhou, X. Stover return and nitrogen application affect soil organic carbon and nitrogen in a double-season maize field. Plant Biol. 2022, 24, 387–395. [Google Scholar] [CrossRef]
- Jiao, F.; Zhang, D.; Chen, Y.; Wu, J.; Zhang, J. Effects of Long-Term Straw Returning and Nitrogen Fertilizer Reduction on Soil Microbial Diversity in Black Soil in Northeast China. Agronomy 2023, 13, 2036. [Google Scholar] [CrossRef]
- Jones, D.; Rousk, J.; Edwards-Jones, G.; DeLuca, T.; Murphy, D. Biochar-mediated changes in soil quality and plant growth in a three year field trial. Soil Biol. Biochem. 2012, 45, 113–124. [Google Scholar] [CrossRef]
- Bai, Y.; Liu, Y.; Li, Y.; Huang, X.; Zhang, Y.; Jiang, T.; Qin, S. Effects of Different Long-term Rotation Patterns on Aggregate Composition and Organic Carbon in Yellow Soil. Soils 2021, 53, 161–167. [Google Scholar] [CrossRef]
- Zhou, M.; Liu, C.; Wang, J.; Meng, Q.; Yuan, Y.; Ma, X.; Liu, X.; Zhu, Y.; Ding, G.; Zhang, J.; et al. Soil aggregates stability and storage of soil organic carbon respond to cropping systems on Black Soils of Northeast China. Sci. Rep. 2020, 10, 265. [Google Scholar] [CrossRef] [PubMed]
- Hao, X.; Yang, C.; Yuan, Y.; Han, X.; Li, L.; Jiang, H. Effects of Continuous Straw Returning on Organic Carbon Content in Aggregates and Fertility of Black Soil. Chin. Agric. Sci. Bull. 2013, 29, 263–269. [Google Scholar]
- Ren, R.; Du, Z.; Sun, Y.; Song, X.; Lu, S. Soil aggregate and its organic carbon distribution characteristics at different land use patterns in hilly areas of north China. Acta Ecol. Sin. 2020, 40, 6991–6999. [Google Scholar]
- Luo, X.; Wang, Z.; Lu, C.; Huang, R.; Wang, F.; Gao, M. Effects of Land Use Type on the Content and Stability of Organic Carbon in Soil Aggregates. Environ. Sci. 2019, 40, 3816–3824. [Google Scholar] [CrossRef]
- Tisdall, J.; Oades, J. Organic matter and water-stable aggregates in soils. J. Soil Sci. 1982, 33, 141–163. [Google Scholar] [CrossRef]
- Yu, H.; Wang, G.; Duan, Y.; Liu, Z.; Shi, Y.; Liu, F.; Wang, W.; Qiu, G.; Sun, L.; Li, Y. Effects of different tillage and straw returning depths on soil aggregate stability of different soil layers. Soil Fertil. China 2024, 1, 1–7. [Google Scholar] [CrossRef]
- Wang, P.; Dou, S. Accumulation of Soil Organic Carbon and HA in Soil Macroaggregates by Deep Return of Corn Straw to the Field. J. Jilin Agric. Univ. 2024, 1, 1–8. [Google Scholar] [CrossRef]
- Gao, P.; Shen, H.; Wang, Y.; Cai, S.; Xu, Y.; Yang, H.; Wang, C.; Zhang, G. Effects of corn straw returning methods on content and components of soil water soluble organic carbon in the semiarid black soil region of northeast China. Agric. Res. Arid Areas 2024, 42, 127–135. [Google Scholar] [CrossRef]
- Xu, Y.; Rao, Y.; Meng, Y.; Wen, Y.; Meng, W.; Wang, X.; Li, Z.; Liu, K.; Dai, H. Effect of No-tillage on Soil Aggregates in Farmland: A Meta Analysis. Environ. Sci. 2024, 45, 952–960. [Google Scholar] [CrossRef]
- Wang, X.; Zhuang, J.; Liu, B.; Li, S.; Zhao, X.; Liu, Y.; Zhang, H. Analysi Residue returning induced changes in soil organic carbon and the influential factors in China’ s croplands: A meta-analysi. J. China Agric. Univ. 2020, 25, 12–24. [Google Scholar] [CrossRef]
- Liu, W.; Zhang, G.; Zhang, J.; Liu, L.; Huang, L.; Lu, J.; Li, X. Effects of Two Conservation Tillage Measures on soil aggregates stability. J. Soil Water Conserv. 2015, 29, 117–122. [Google Scholar] [CrossRef]
- Lian, H.; Wang, Z.; Li, Y.; Xu, H.; Zhang, H.; Gong, X.; Qi, H.; Jiang, Y. Straw Strip Return Increases Soil Organic Carbon Sequestration by Optimizing Organic and Humus Carbon in Aggregates of Mollisols in Northeast China. Agronomy 2022, 12, 784. [Google Scholar] [CrossRef]
- Zou, W.; Han, X.; Lu, X.; Chen, X.; Hao, X.; Yan, J.; You, M. Responses of soil organic matter and nutrients contents to corn stalk incorporated into different soil depths. Soils Crops 2018, 7, 139–147. [Google Scholar]
- Liu, N.; Li, Y.; Cong, P.; Wang, J.; Guo, W.; Pang, H.; Zhang, L. Depth of straw incorporation significantly alters crop yield, soil organic carbon and total nitrogen in the North China Plain. Soil Tillage Res. 2021, 205, 104772. [Google Scholar] [CrossRef]
- Zhang, B.; Zhang, F.; Chen, X.; Wang, D. Soil organic matter turnover and its controlling mechanism of mineralogy and aggregation. Soils Crops 2022, 11, 235–247. [Google Scholar] [CrossRef]
- Sodhi, G.; Beri, V.; Benbi, D. Soil aggregation and distribution of carbon and nitrogen in different fractions under long-term application of compost in rice–wheat system. Soil Tillage Res. 2009, 103, 412–418. [Google Scholar] [CrossRef]
- Cheng, Y.; Xu, G.; Wang, X.; Li, P.; Dang, X.; Jiang, W.; Ma, T.; Wang, B.; Gu, F.; Li, Z. Contribution of soil aggregate particle size to organic carbon and the effect of land use on its distribution in a typical small watershed on Loess Plateau, China. Ecol. Indic. 2023, 155, 110988. [Google Scholar] [CrossRef]
- Geisseler, D.; Scow, K. Long-term effects of mineral fertilizers on soil microorganisms-A review. Soil Biol. Biochem. 2014, 75, 54–63. [Google Scholar] [CrossRef]
- Tang, Z.; Weng, Y.; Zhu, X.; Cai, H.; Dai, W.; Wang, P.; Zheng, B.; Li, J.; Chen, X. Meta-analysis of soil microbial mass carbon and its influencing factors in farmland in china under straw return. Ecol. Environ. Sci. 2023, 32, 1552–1562. [Google Scholar] [CrossRef]
- Zhang, Y.; Zou, J.; Meng, D.; Dang, S.; Zhou, J.; Osborne, B.; Ren, Y.; Liang, T.; Yu, K. Effect of soil microorganisms and labile C availability on soil respiration in response to litter inputs in forest ecosystems: A meta-analysis. Ecol. Evol. 2020, 10, 13602–13612. [Google Scholar] [CrossRef]
- Xiao, Z.; Rasmann, S.; Yue, L.; Lian, F.; Zou, H.; Wang, Z. The effect of biochar amendment on N-cycling genes in soils: A meta-analysis. Sci. Total Environ. 2019, 696, 133984. [Google Scholar] [CrossRef] [PubMed]
- Chen, X.; Zhang, Y.; Zou, J.; Li, T.; Yu, Y.; Li, J. Tillage Depth Regulation and the Effect of Straw Return on Soil Respiration in Farmland. Environ. Sci. 2024, 45, 1702–1712. [Google Scholar] [CrossRef]
- Jiang, F.; Qian, Y.; Guo, Z.; Gao, L.; Zhang, Z.; Cao, Z.; Guo, J.; Liu, F.; Peng, X. Evaluating the Regional Suitability of Conservation Tillage and Deep Tillage Based on Crop Yield in the Black Soil of Northeast China: A Meta-analysis. Acta Pedol. Sin. 2022, 59, 935–952. [Google Scholar]
- Yang, R.; Yang, S.; Weng, X.; Xu, L.; Liu, X.; Du, Y.; Zhang, X.; Zheng, W.; Zhai, B.; Wang, C.; et al. Effects of Vegetation Restoration on Soil Organic Carbon Sequestration and Aggregate Stability in Water-Eroded Environment: A Meta-analysis. Environ. Sci. 2023, 44, 1542–1552. [Google Scholar] [CrossRef]
- Zhang, X. Effects of Long-Term Fertilization on Phosphorus Characteristic and Transformation in Black Soil and Its Aggregates. Ph.D. Thesis, Jilin Agricultural University, Changchun, China, 2022. [Google Scholar]
- Shang, X.; Wang, J. Effects of long-term leaching on soil aggregate stability and changes in organic carbon content. J. Jilin Agric. Univ. 2024, 1–9. [Google Scholar] [CrossRef]
- Sun, M.; Chen, B.; Wang, H.; Wang, N.; Ma, T.; Cui, Y.; Luan, T.; Chun, S.; Liu, C.; Wang, L. Microbial Interactions and Roles in Soil Fertility in Seasonal Freeze-Thaw Periods under Different Straw Returning Strategies. Agriculture 2021, 11, 779. [Google Scholar] [CrossRef]
- Fan, W.; Wu, J.; Ahmed, S.; Hu, J.; Chen, X.; Li, X.; Zhu, W.; Opoku-Kwanowaa, Y. Short-Term Effects of Different Straw Returning Methods on the Soil Physicochemical Properties and Quality Index in Dryland Farming in NE China. Sustainability 2020, 12, 2631. [Google Scholar] [CrossRef]
- Fan, W.; Wu, J.; Li, J.; Hu, J. Comparative effects of different maize straw returning modes on soil humus composition and humic acid structural characteristics in Northeast China. Chem. Ecol. 2018, 34, 355–370. [Google Scholar] [CrossRef]
- Wang, Q.; Jia, S.; Liang, A.; Chen, X.; Zhang, S.; Zhang, Y.; McLaughlin, N.B.; Gao, Y.; Huang, D. Residue Return Effects Outweigh Tillage Effects on Soil Microbial Communities and Functional Genes in Black Soil of Northeast China. Chin. Geogr. Sci. 2023, 33, 679–692. [Google Scholar] [CrossRef]
- Liu, Y.; Yan, G.; Wu, C.; Zhao, H.; Hu, W.; Xu, C.; Chen, X. Short-Term Straw Returning Improves Quality and Bacteria Community of Black Soil in Northeast China. Pol. J. Environ. Stud. 2022, 31, 1869–1883. [Google Scholar]
- Frank Stephano, M.; Geng, Y.; Cao, G.; Wang, L.; Meng, W.; Meiling, Z. Effect of Silicon Fertilizer and Straw Return on the Maize Yield and Phosphorus Efficiency in Northeast China. Commun. Soil Sci. Plant Anal. 2021, 52, 116–127. [Google Scholar] [CrossRef]
- Sun, Q.; Yang, X.; Meng, J.; Lan, Y.; Han, X.; Chen, W.; Huang, Y. Long-Term Effects of Straw and Straw-Derived Biochar on Humic Substances and Aggregate-Associated Humic Substances in Brown Earth Soil. Front. Environ. Sci. 2022, 10, 899935. [Google Scholar] [CrossRef]
- Wang, S.; Lu, C.; Huai, S.; Yan, Z.; Wang, J.; Sun, J.; Raza, S. Straw burial depth and manure application affect the straw-C and N sequestration: Evidence from 13C & 15N-tracing. Soil Tillage Res. 2021, 208, 104884. [Google Scholar]
- Wang, L.; Wang, C.; Feng, F.; Wu, Z.; Yan, H. Effect of straw application time on soil properties and microbial community in the Northeast China Plain. J. Soils Sediments 2021, 21, 3137–3149. [Google Scholar] [CrossRef]
- Yang, X.; Sun, Q.; Yuan, J.; Fu, S.; Lan, Y.; Jiang, X.; Meng, J.; Han, X.; Chen, W. Successive corn stover and biochar applications mitigate N2O emissions by altering soil physicochemical properties and N-cycling-related enzyme activities: A five-year field study in Northeast China. Agric. Ecosyst. Environ. 2022, 340, 108183. [Google Scholar] [CrossRef]
- Zhao, Z.; Zhang, C.; Wang, H.; Li, F.; Pan, H.; Yang, Q.; Li, J.; Zhang, J. The Effects of Natural Humus Material Amendment on Soil Organic Matter and Integrated Fertility in the Black Soil of Northeast China: Preliminary Results. Agronomy 2023, 13, 794. [Google Scholar] [CrossRef]
- Chen, N.; Zhao, X.; Dou, S.; Deng, A.; Zheng, C.; Cao, T.; Song, Z.; Zhang, W. The Tradeoff Between Maintaining Maize (Zea mays L.) Productivity and Improving Soil Quality Under Conservation Tillage Practice in Semi-Arid Region of Northeast China. Agriculture 2023, 13, 508. [Google Scholar]
- Li, J.; Ye, X.; An, J.; Jin, X.; Fan, Q.; Zou, H.; Zhang, Y. The more straw we deep bury, the more soil TOC will be accumulated: When soil bacteria abundance keeps growing. J. Soils Sediments 2022, 22, 162–171. [Google Scholar] [CrossRef]
- Gan, J.; Zou, W.; Han, X.; Chen, X.; Yan, J.; Lu, X. Effects of Organic Materials and Their Incorporation Depths on Humus Substances Structure and Soil Microbial Communities’ Characteristics in a Chinese Mollisol. Agronomy 2023, 13, 2169. [Google Scholar] [CrossRef]
- Ma, Q.; Jiang, C.; Li, S.; Yu, W. Maize yield and nitrogen-use characteristics were promoted as consistently improved soil fertility: 6-year straw incorporation in Northeast China. Plant Soil Environ. 2021, 67, 383–389. [Google Scholar] [CrossRef]
- Liu, X.; Dou, X.; Zheng, S. Effects of Corn Straw and Biochar Returning to Fields Every Other Year on the Structure of Soil Humic Acid. Sustainability 2022, 14, 15946. [Google Scholar] [CrossRef]
- Yang, X.; Meng, J.; Lan, Y.; Chen, W.; Yang, T.; Yuan, J.; Liu, S.; Han, J. Effects of maize stover and its biochar on soil CO2 emissions and labile organic carbon fractions in Northeast China. Agric. Ecosyst. Environ. 2017, 240, 24–31. [Google Scholar] [CrossRef]
- Cao, D.; Lan, Y.; Sun, Q.; Yang, X.; Chen, W.; Meng, J.; Wang, D.; Li, N. Maize straw and its biochar affect phosphorus distribution in soil aggregates and are beneficial for improving phosphorus availability along the soil profile. Eur. J. Soil Sci. 2021, 72, 2165–2179. [Google Scholar] [CrossRef]
- Zhu, F.; Lin, X.; Guan, S.; Dou, S. Deep incorporation of corn straw benefits soil organic carbon and microbial community composition in a black soil of Northeast China. Soil Use Manag. 2022, 38, 1266–1279. [Google Scholar] [CrossRef]
- Wang, X.; Lv, G.; Zhang, Y.; Yu, Y.; Wang, X.; Peixoto, L.; Qian, C.; Pang, H. Annual burying of straw after pelletizing: A novel and feasible way to improve soil fertility and productivity in Northeast China. Soil Or Tillage Res. 2023, 230, 105699. [Google Scholar] [CrossRef]
- Huang, D.D.; Chen, X.W.; Cao, G.J.; Liang, A.Z.; Jia, S.X.; Liu, S.X. Effects of Long-Term Conservation Tillage on Soil Nitrogen Content and Organic Nitrogen Components in a Chinese Mollisol. Appl. Ecol. Environ. Res. 2018, 16, 5517–5528. [Google Scholar] [CrossRef]
- Zhang, Y.; Sun, C.; Wang, S.; Xie, H.; Jiang, N.; Chen, Z.; Wei, K.; Bao, X.; Song, X.; Bai, Z. Stover and biochar can improve soil microbial necromass carbon, and enzymatic transformation at the genetic level. GCB Bioenergy 2022, 14, 1082–1096. [Google Scholar] [CrossRef]
- Opoku-Kwanowaa, Y.; Chen, X.; Li, J.; Yang, Q. Evaluation of the Continuous Application of Different Organic Materials on Soil Surface Charge and Chemical Properties Along the Soil Profile of a Typical Mollisol. Pol. J. Environ. Stud. 2022, 31, 245–256. [Google Scholar] [CrossRef]
- Qiao, Y.; Miao, S.; Zhong, X.; Zhao, H.; Pan, S. The greatest potential benefit of biochar return on bacterial community structure among three maize-straw products after eight-year field experiment in Mollisols. Appl. Soil Ecol. 2020, 147, 103432. [Google Scholar] [CrossRef]
- Song, G.U.A.N.; Liu, S.J.; Liu, R.Y.; Zhang, J.J.; Jun, R.E.N.; Cai, H.G.; Lin, X.X. Soil organic carbon associated with aggregate-size and density fractions in a Mollisol amended with charred and uncharred maize straw. J. Integr. Agric. 2018, 18, 1496–1507. [Google Scholar]
- Zheng, S.; Dou, S.; Duan, H.; Zhang, B.; Bai, Y. Fluorescence Spectroscopy and C NMR Spectroscopy Characteristics of HA in Black Soil at Different Corn Straw Returning Modes. Int. J. Anal. Chem. 2021, 2021, 9940116. [Google Scholar] [CrossRef]
- Qiu, C.; Han, X.Z.; Chen, X.; Lu, X.; Yan, J.; Feng, Y.; Gan, J.; Zou, W.; Liu, G. Effects of organic amendment depths on black soil pore structure using CT scanning technology. Trans. Chin. Soc. Agric. Eng. 2021, 37, 98–107. [Google Scholar]
- Qi, Z.J.; Song, F.; Zhang, Z.X.; Liu, M.; Yin, Z.G.; Li, W. Effects of different conservation tillage methods on soil hydrothermal condition as well as maize yield in cold black soil region. Trans. Chin. Soc. Agric. Mach. 2022, 53, 380–389. [Google Scholar]
- Li, Y.H.; Gu, S.Y.; He, W.Y.; Wang, Z.-Y.; Che, Y.-J.; Yuan, W.-B.; Yang, J.-Y. Effects of Conservation Tillage Practices on Organic Carbon Components and Maize Yield in Black Soil. Chin. J. Soil Sci. 2023, 54, 336–345. [Google Scholar]
- Xu, Y.Y.; Sun, S.M.; Jin, X.Y.; Wang, J.H.; Pang, A.G.; Yu, X.B.; Yu, K.C. Effects of Different Tillage Measures on Soil Texture and Maize Yield. J. Maize Sci. 2022, 30, 97–106. [Google Scholar]
- Wang, C.; Wang, Y.F.; Gu, X.J.; Li, J.D.; Wang, Y.D.; Zhang, Q.Z. Effects of Continuous Application of Biochar on the Basic Physicochemical Properties of Black Soil. Chin. J. Soil Sci. 2018, 49, 428–434. [Google Scholar]
- Xu, Z.B.; Li, L.; Wang, H.B.; Wang, L.Q.; Sui, B. Effects of different tillage methods on aggregate and organic carbon distribution in black soil. J. Jilin Agric. Univ. 2022. [Google Scholar] [CrossRef]
- Gao, H.J.; Peng, C.; Zhang, X.Z.; Li, Q.; Jia, L.H.; Zhu, P. Effects of different straw returning modes on characteristics of soil aggregates in chernozem soil. J. Soil Water Conserv. 2019, 33, 75–79. [Google Scholar] [CrossRef]
- Gao, H.J.; Peng, C.; Zhu, M.; Zhang, X.Z.; Li, Q.; Jiao, Y.F.; Zhu, P. Effects of Different Rotational Tillage Patterns on Soil Microbial Community Structure. J. Maize Sci. 2021, 29, 104–112. [Google Scholar] [CrossRef]
- Gao, H.J.; Li, Q.; Peng, C.; Zhang, X.Z.; Jiao, Y.F.; Gao, J.C.; Zhu, P. Effects of Different Crop Rotation and Straw Returning Methods on Bacterial Community Structure in Black Soil. J. Jilin Agric. Univ. 2022, 44, 336–344. [Google Scholar] [CrossRef]
- Gao, H.J.; Peng, C.; Zhang, X.Z.; Li, Q.; Zhu, P.; Wang, L.C. Effects of Corn Straw Returning Amounts on Carbon Sequestration Efficiency and Organic Carbon Change of Soil and Aggregate in the Black Soil Area. Sci. Agric. Sin. 2020, 53, 4613–4622. [Google Scholar]
- Liu, B.D.; Chen, Y.M.; Sui, Y.Y.; Jiao, X.G. Effects of straw returning on nutrients and active organic carbon in black soil under different nitrogen application levels. Soil Fertil. Sci. China 2023, 2, 10–15. [Google Scholar]
- Sun, J.M.; Wu, J.G.; Li, J.M.; Hu, J.; Qu, X.J.; Lv, D.B.; Ren, L.; Zhang, Y.G.; Li, X.Y. Effects of different organic fertilizers on temporal-spatial distribution of nitrogen in black soil. J. Soil Water Conserv. 2015, 29, 75–81. [Google Scholar] [CrossRef]
- Chen, C.; Wu, J.G.; Yang, Z.Y. Effects of different manures and their mixed application on the dynamic changes of enzymes activity for black soil. J. Soil Water Conserv. 2014, 28, 245–250. [Google Scholar] [CrossRef]
- Li, J.; Chi, F.Q.; Wei, D.; Jin, L.; Li, Y.M.; Guo, W.Y.; Xu, M. Effects of different organic materials returning to file on the content of active organic carbon in black soil. Soybean Sci. 2016, 35, 975–980. [Google Scholar]
- Cai, L.J.; Zhang, J.T.; Gai, Z.J.; Liu, J.Q.; Zhang, W.; Zhao, G.F.; Zheng, H.Y.; Wang, Q.S.; Gong, Z.P.; Ma, C.M. Effect of the Amount of Stalk Return to Field on Soil Enzyme Activities under Notillage. Chin. J. Soil Sci. 2015, 46, 1127–1132. [Google Scholar]
- Sa, R.L.; Yang, H.S.; Gao, J.L.; Fan, F.; Zhang, R.F.; Liu, J.; Wu, S. Effects of maize straw returning modes on soil fertility and maize yield. Acta Agric. Zhejiangensis 2018, 30, 268–274. [Google Scholar]
- Chen, Y.; Gao, J.; Zhu, P.; Gao, H.J.; Lou, Y.L.; Wang, Y.D. Chemical characteristics of organic matter of different particle sizes and their response to long-term organic fertilization cultivation in the black soil of Northeast China. J. Tianjin Norm. Univ. (Nat. Sci. Ed.) 2022, 42, 59–65. [Google Scholar] [CrossRef]
- Li, N.; Long, J.H.; Han, X.Z.; Zhang, F.Q.; Lei, W.Y.; Sheng, M.; Han, Z.Y. Effects of short-term plowing and organic amendments on soil physical properties and maize yield in dark brown soil in Northeast China. Trans. Chin. Soc. Agric. Eng. 2021, 37, 99–107. [Google Scholar]
- Zou, W.X.; Han, X.Z.; Yan, J.; Chen, X.; Lu, X.C.; Qiu, C.; Hao, X.X. Effects of incorporation depth of tillage and straw returning on soil physical properties of black soil in Northeast China. Trans. Chin. Soc. Agric. Eng. 2020, 36, 9–18. [Google Scholar]
- Zou, W.X.; Han, X.Z.; Lu, X.C.; Hao, X.X.; You, M.Y.; Zhang, Y.H. Effects of straw incorporated to different locations in soil profile on straw humification coefficient and maize yield. Chin. J. Appl. Ecol. 2017, 28, 563–570. [Google Scholar] [CrossRef]
- Cong, P.; Wang, J.; Dong, J.X.; Li, Y.Y.; Liu, N.; Pang, H.C. Effects and analysis of straw returning on subsoil microbial community structure in black soil. Trans. Chin. Soc. Agric. Eng. 2020, 36, 109–118. [Google Scholar]
- Jiao, L.N.; Li, Z.H.; Yin, C.C.; Cui, Y.M.; Zhang, T. Effects of different stalk returned depth on soil humus and soil enzyme in black soil. Soil Fertil. Sci. China 2015, 2, 17–21. [Google Scholar]
- Zhang, Z.H.; Wu, S.; Zhai, C.; Guan, Y.P.; Gu, S.Y. Effects of Tillage and Straw Returning on Soil Physical Properties and Fixed Ammonium. J. Maize Sci. 2019, 27, 102–107. [Google Scholar] [CrossRef]
- Jiao, S.; Wang, W.Y.; Zhao, X.M.; Wang, H.B.; Wang, H.J.; Chen, B.Y.; Sui, B. Effects of tillage methods on major fertility characteristics of chernozem soil and maize yield. Agric. Res. Arid Areas 2020, 38, 31–38. [Google Scholar]
- Zhang, Y.; Xu, Z.Q.; Xu, C.L.; Yu, Y.Q.; Lu, G.J.; Li, H.R.; Li, H.L. Effects of fertility improvement measures on soil quality and maize yield in horizontal terraces fields of black soil hilly region. Bull. Soil Water Conserv. 2022, 42, 190–196+222. [Google Scholar] [CrossRef]
- Wei, D.; Cai, S.S.; Li, Y.; Jin, L.; Wang, W.; Li, Y.M.; Bai, Y.; Hu, Y. The Response of Water-Soluble Organic Carbon to Organic Material Applications in Black Soil. Sci. Agric. Sin. 2020, 53, 1180–1188. [Google Scholar]
- Xu, Y.P.; Tan, F.; Hu, Y.P.; Lu, P.; Wu, J.P.; Lin, H.Y. Effect of Straw Returning on Cropland Soil Meso- and Micro-Arthropods Community in the Black Soil Area. Chin. J. Zool. 2015, 50, 262–271. [Google Scholar] [CrossRef]
- Liu, P.F.; Hong, M.; Chang, F.; Gao, H.Y.; Li, Z.X.; Ma, X. Impact of straw returning on cropland soil mesofauna community in the western part of black soil area. Chin. J. Ecol. 2018, 37, 139–146. [Google Scholar] [CrossRef]
- Liu, P.F.; Hong, M.; Mei, L.; Zhao, B.Y.N.M.L.; De, H.S.; Bai, X.Y.; Li, Z.X.; Ma, X. Impact of quantity of returned corn straw on the cropland ground arthropod community in a black soil area. Acta Ecol. Sin. 2019, 39, 235–243. [Google Scholar]
- Liu, S.J.; Guan, S.; Zhang, J.J.; Ren, J.; Cai, H.G.; An, N.; Song, X.W. Effects of Corn Straw Return on Aggregate-associated Organic Carbon Content in Black Soil: Based on Physical and Chemical Protection Supplied by Hierarchical Aggregates. J. Jilin Agric. Univ. 2019, 41, 61–70. [Google Scholar] [CrossRef]
- Huo, H.N.; Li, J.; Yuan, L.; Xie, H.T.; Zhu, T.B.; Müller, C.; He, H.B.; Zhang, X.D. Effects of different straw returning amount on the potential gross nitrogen transformation rates of fertilized Mollisol. Chin. J. Appl. Ecol. 2020, 31, 4109–4116. [Google Scholar] [CrossRef]
- Lyu, Y.J.; Yu, H.Y.; Yao, F.Y.; Cao, Y.J.; Wei, W.W.; Wang, L.C.; Wang, Y.J. Effects of soil straw return and nitrogen on spring maize yield, greenhouse gas emission and soil enzyme activity in black soils. Chin. J. Eco-Agric. 2016, 24, 1456–1463. [Google Scholar] [CrossRef]
- Yan, L.; Li, S.Y.; Meng, Q.F.; Zhou, L.T.; Dong, T.H.; Dai, J.J.; Zhang, Y.F.; La, Y.P. Effect of straw returning and organic manure on soil aggregate in black soil area. J. Northeast. Agric. Univ. 2019, 50, 67. [Google Scholar] [CrossRef]
- Yan, L.; Zhou, L.T.; Meng, Q.F.; Li, S.Y.; Dai, J.J.; Zhang, Y.F.; La, Y.P. Effect of organic materials returning on soil organic carbon concentration and soil organic carbon fractions in the black soil area. J. Northeast. Agric. Univ. 2019, 51, 40–46. [Google Scholar]
- Fan, W.; Wu, J.G.; Li, J.M.; He, R.C.; Yao, Y.Y.; Wang, D.C.; Sun, L.; Wang, C.Y. Effects of Straw Return on Soil Physico-chemical Properties of Chernozem in Northeast China and Maize Yield Therein. Acta Pedol. Sin. 2018, 55, 835–846. [Google Scholar]
- Cao, Q.G.; Yang, F.T.; Kong, F.L.; Cui, Z.G.; Liu, Y.J.; Cui, Y.; Wang, Y.; Cheng, Y.H.; Li, H.Z.; Zhao, L.J.; et al. Total Straw Return with Strip-tillage Practices and Its Effect on Seeding Characters and Yield of Spring Maize. J. Northeast Agric. Sci. 2020, 45, 6–11. [Google Scholar] [CrossRef]
- Dong, J.X.; Cong, P.; Liu, N.; Li, Y.Y.; Wang, J.; Pang, H.C. Effects of Deep Straw Incorporation on Subsoil Physical Properties and Aggregate Distribution in Black Soil. Acta Pedol. Sin. 2021, 58, 921–934. [Google Scholar]
- Yang, J.J.; Gai, H.; Zhang, M.X.; Cai, Y.R.; Wang, L.Y.; Wang, L.G. Effect of Subsoiling Combined with Straw Returning Measure on Pore Structure of Black Soil. Sci. Agric. Sin. 2023, 56, 892–906. [Google Scholar]
- Cong, C.; Wang, T.S.; Yue, L.K.; Zhou, X.; Li, Y.M.; Yao, S.H. Amendment effect of subsoiling with organic materials application on soil physical properties of slope cropland in mollisol region. Soil Fertil. Sci. China 2021, 3, 227–236. [Google Scholar]
- Dou, W.S.; Dou, S. Effects of different returning methods of maize straw on surface and subsurface nutrients and humus in chernozem soil. J. Jilin Agric. Univ. 2022. [Google Scholar] [CrossRef]
- Liang, Y.; Cai, H.G.; Yan, X.G.; Liu, J.Z.; Yuan, J.C.; Zhang, H.X.; Ren, J.; Wang, L.C. Effect of Different Maize Straw-returning Modes on the Fertility of Black Soil. J. Maize Sci. 2016, 24, 107–113. [Google Scholar] [CrossRef]
- Liang, Y.; Cai, H.G.; Yang, L.; Cheng, S.; Zhang, S.M.; Yuan, J.C.; Liu, J.Z.; Liu, S.T.; Ren, J. Effects of maize stovers returning by mulching or deep tillage on soil organic carbon sequestration in Mollisol. Trans. Chin. Soc. Agric. Eng. 2021, 37, 133–140. [Google Scholar]
- Li, R.P.; Luo, Y.; Sui, P.X.; Zheng, H.B.; Ming, B.; Li, S.K.; Wang, H.; Zheng, J.Y. Short-term effect of different returning methods of maize straw on the temperature of black soil plough layer. Chin. J. Appl. Ecol. 2023, 34, 2693–2702. [Google Scholar] [CrossRef]
- Zhang, H.J.; Wang, S.J.; Tian, C.J.; Luo, S.S. Effects of maize straw and its biochar on the dissolved organic matter characteristics of black soil in Northeast China. J. Soil Water Conserv. 2021, 35, 243–250. [Google Scholar] [CrossRef]
- Meng, W.S.; Zhu, F.N.; Zhang, B.W.; Guan, S. Effects of straw and biochar application on the soil physicochemical properties and corn yield in a black soil. J. Jilin Agric. Univ. 2023. [Google Scholar] [CrossRef]
- Zhang, S.; Yuan, Y.H.; Yuan, B.F.; Duan, Y.; Zhang, J.J. Effects of Maize Straw Returning with Deep Ploughing on Organic Carbon Content and Chemical Composition in Bulk Soil and Soil Aggregates. J. Jilin Agric. Univ. 2021. [Google Scholar] [CrossRef]
- Li, H.; Wu, J.G.; Li, J.M. Effects of strip composting for corn straw combined with livestock manure on soil active organic carbon. J. Agro-Environ. Sci. 2021, 40, 1944–1953. [Google Scholar]
- Li, C.Y.; Yang, H.H.; Sa, R.L.; Zhang, R.F.; Cao, Q.; Zhang, L.J. Effects of straw returning on soil available nutrients and microbe biomass under different tillage methods. J. Soil Water Conserv. 2017, 31, 197–201+210. [Google Scholar] [CrossRef]
- Yan, H.K.; Hu, B.; Gao, L.Z. Effects on Available Nutrients of Brown Soil in Northern Liaoning under Long-term Use of Straw and Organic Fertilizer. J. Shenyang Agric. Univ. 2013, 44, 812–815. [Google Scholar]
- Wang, M.J.; Wang, F.; Su, S.H.; Su, Y.H.; Sun, Y.; Wang, Y.Y.; Meng, G.X.; Jiang, Y.; Qi, H. Effects of Straw Turnover on Soil Water-Stable Aggregates and Soil Carbon Distribution. Arid Zone Res. 2019, 36, 331–338. [Google Scholar] [CrossRef]
- Zhang, J.Q.; Li, F.; Sun, F.C.; Liu, Y.N.; Wang, L.F.; Zhang, T.T.; Qie, T.Z.; Zhang, D.J. Effects of different tillage methods on soil physical properties under the condition of straw returning. Acta Agric. Univ. Jiangxiensis 2022, 44, 759–772. [Google Scholar]
- Wang, X.Y.; Zhang, Y.W.; Feng, Y.; Zhou, X.B.; Liu, Y.; Zhou, J.; Huang, Y. Effects of deep maize straw returning on soil fertility and maize yields. Agric. Res. Arid Areas 2013, 31, 103–107. [Google Scholar]
- Ma, X.Z.; Zhou, B.K.; Zhang, X.L.; Wei, D.; Zhang, L.L. Effects of Conservation Cultivation Black Soil Physic-Chemical Properties in Arid Area. Heilongjiang Agric. Sci. 2009, 6, 55–57+65. [Google Scholar]
- Zhao, W.; Chen, Y.J.; Wang, H.Y.; Li, C.B.; Liu, J.B.; Gao, H. Impact of Different Straw Return Systems on Nitrogen and Physical Characters in Black Soil. J. Maize Sci. 2012, 20, 98–102. [Google Scholar] [CrossRef]
- Liu, J.M.; Lu, P.; Xu, Y.P.; Lin, H.Y. Effect of straw returning on soil organic carbon and soil nitrogen in black soil area of Jilin. Soil Fertil. Sci. China 2013, 3, 96–99. [Google Scholar]
- Zhang, B.; He, H.B.; Zhao, X.X.; Xie, H.T.; Bai, Z.; Zhang, X.D. Effects of Crop-residue Incorporation on No-tillage Soil Available Nutrients and Corn Yield. J. Maize Sci. 2010, 18, 81–84. [Google Scholar] [CrossRef]
- Gao, H.; Wang, H.Y.; Li, C.B.; Yu, S.; Zhao, W. Effects of Different Maize Straw Returning Modes on C/N Ratios in Mollisol. Chin. J. Soil Sci. 2013, 44, 1392–1397. [Google Scholar] [CrossRef]
- Zhang, Y.; Gao, Y.; Zhang, Y.; Huang, D.D.; Chen, X.W.; Zhang, S.X.; Liang, A.Z. Effects of residue return on stoichiometric characteristics of soil carbon, nitrogen, phosphorus, potassium, and the maize yield in black soil of Northeast China. J. Plant Nutr. Fertil. 2023, 29, 31–44. [Google Scholar]
- Lyu, F.Z.; Yang, Y.L.; Bao, X.L.; Zhang, C.R.; Zheng, T.T.; He, H.B.; Zhang, X.D.; Xie, H.T. Effects of no-tillage and different stover mulching amounts on soil microbial community and microbial residue in the millisols of China. Chin. J. Appl. Ecol. 2023, 34, 903–912. [Google Scholar] [CrossRef]
- Gao, Y.; Liang, A.Z.; Huang, D.D.; Zhang, Y.; Zhang, Y.; Wang, Y.; Zhang, S.X.; Chen, X.W. Effects of long-term no-tillage on the functional potential of microorganisms involved in the nitrogen, phosphorus and sulfur cycling of black soil. Chin. J. Appl. Ecol. 2023, 34, 913–920. [Google Scholar] [CrossRef]








Disclaimer/Publisher’s Note: The statements, opinions and data contained in all publications are solely those of the individual author(s) and contributor(s) and not of MDPI and/or the editor(s). MDPI and/or the editor(s) disclaim responsibility for any injury to people or property resulting from any ideas, methods, instructions or products referred to in the content. |
© 2024 by the authors. Licensee MDPI, Basel, Switzerland. This article is an open access article distributed under the terms and conditions of the Creative Commons Attribution (CC BY) license (https://creativecommons.org/licenses/by/4.0/).
Share and Cite
Liu, K.; Hu, Y.; Li, Y.; Wang, L.; Jin, L.; Cai, L.; Wu, X.; Yang, Z.; Li, Y.; Wei, D. Straw Returning Methods Affects Macro-Aggregate Content and Organic Matter Content in Black Soils: Meta-Analysis and Comprehensive Validation. Plants 2024, 13, 3284. https://doi.org/10.3390/plants13233284
Liu K, Hu Y, Li Y, Wang L, Jin L, Cai L, Wu X, Yang Z, Li Y, Wei D. Straw Returning Methods Affects Macro-Aggregate Content and Organic Matter Content in Black Soils: Meta-Analysis and Comprehensive Validation. Plants. 2024; 13(23):3284. https://doi.org/10.3390/plants13233284
Chicago/Turabian StyleLiu, Kangmeng, Yu Hu, Yumei Li, Lei Wang, Liang Jin, Lianfeng Cai, Xiaoxiao Wu, Zhenguo Yang, Yan Li, and Dan Wei. 2024. "Straw Returning Methods Affects Macro-Aggregate Content and Organic Matter Content in Black Soils: Meta-Analysis and Comprehensive Validation" Plants 13, no. 23: 3284. https://doi.org/10.3390/plants13233284
APA StyleLiu, K., Hu, Y., Li, Y., Wang, L., Jin, L., Cai, L., Wu, X., Yang, Z., Li, Y., & Wei, D. (2024). Straw Returning Methods Affects Macro-Aggregate Content and Organic Matter Content in Black Soils: Meta-Analysis and Comprehensive Validation. Plants, 13(23), 3284. https://doi.org/10.3390/plants13233284

