Assessing the Host Range of Ophraella communa for the Biological Control of Ambrosia artemisiifolia in France
Abstract
1. Introduction
2. Material and Methods
2.1. Host Plants Tested
2.2. Plant Production
2.3. Insect Rearing
2.4. No-Choice Tests
2.5. Choice Tests
2.6. Data Analysis
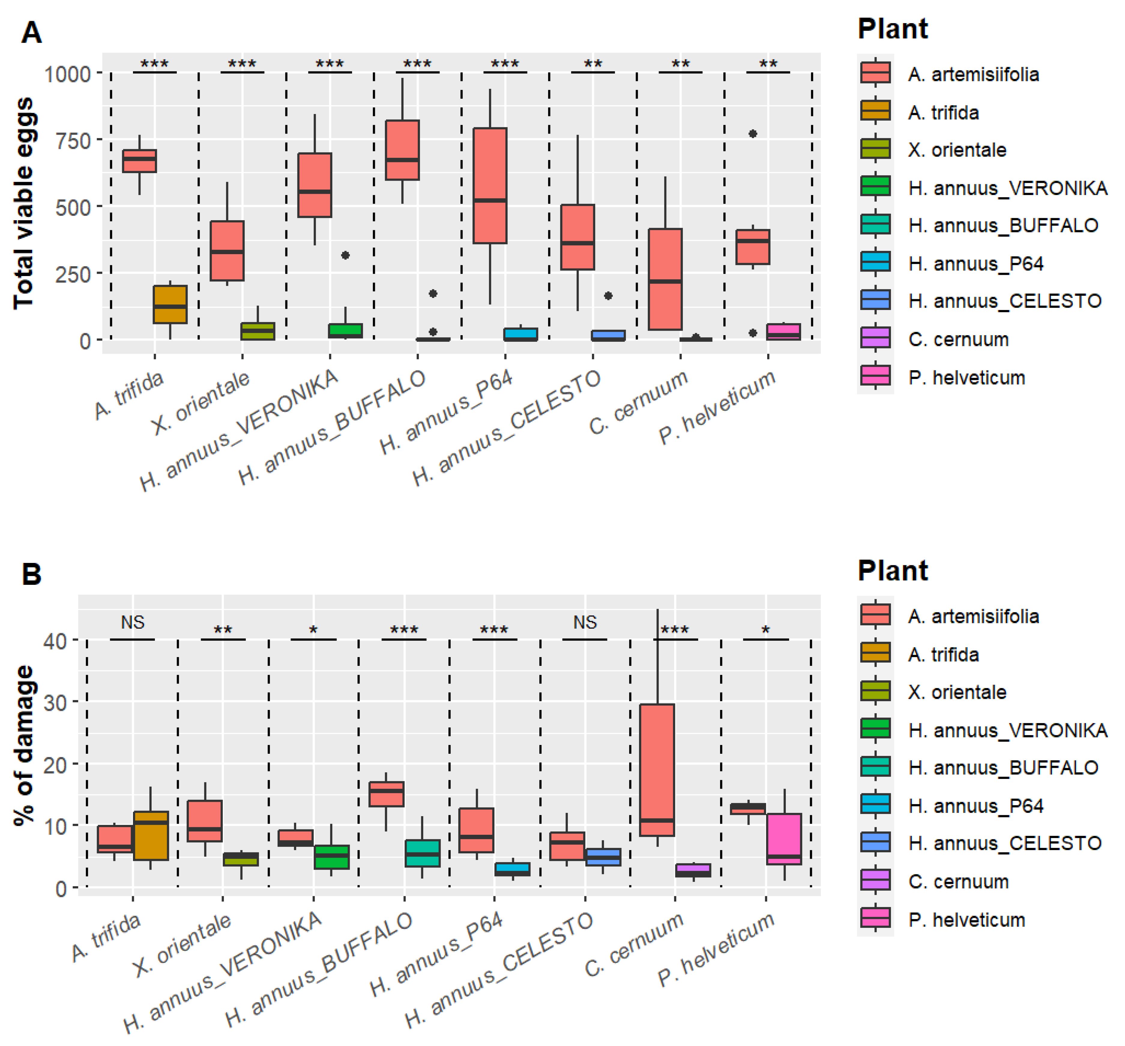
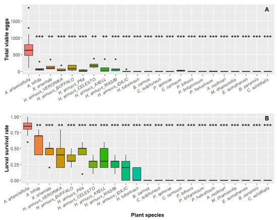
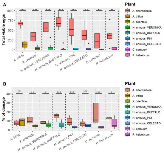
3. Results
3.1. No-Choice Tests
3.2. Choice Tests
4. Discussion
Supplementary Materials
Author Contributions
Funding
Data Availability Statement
Acknowledgments
Conflicts of Interest
References
- Roy, H.E.; Pauchard, A.; Stoett, P.; Renard Truong, T.; Bacher, S.; Galil, B.; Hulme, P.; Ikeda, T.; Sankaran, K.V.; McGeoch, M.; et al. IPBES Invasive Alien Species Assessment: Full Report; IPBES secretariat: Bonn, Germany, 2023; p. 952. [Google Scholar]
- Haubrock, P.J.; Turbelin, A.J.; Cuthbert, R.N.; Novoa, A.; Taylor, N.G.; Angulo, E.; Ballesteros-Mejia, L.; Bodey, T.W.; Capinha, C.; Diagne, C.; et al. Economic Costs of Invasive Alien Species across Europe. NeoBiota 2021, 67, 153–190. [Google Scholar] [CrossRef]
- Heckel, M.E. Sur l’Ambrosia artemisiifolia L. et sa naturalisation en France. Bull. Société Bot. Fr. 1906, 53, 600–620. (In French) [Google Scholar] [CrossRef]
- Chauvel, B.; Dessaint, F.; Cardinal-Legrand, C.; Bretagnolle, F. The Historical Spread of Ambrosia artemisiifolia L. in France from Herbarium Records. J. Biogeogr. 2006, 33, 665–673. [Google Scholar] [CrossRef]
- Fumanal, B.; Girod, C.; Fried, G.; Bretagnolle, F.; Chauvel, B. Can the Large Ecological Amplitude of Ambrosia artemisiifolia Explain Its Invasive Success in France? Weed Res. 2008, 48, 349–359. [Google Scholar] [CrossRef]
- Bolamperti, P.; Labrèche, C.; Maquinghen, S.; Sonko, A.; Venzac, M. L’impact Sanitaire de l’ambroisie En Auvergne-Rhône-Alpes: Analyse Des Données Médico-Économiques; Observatoire régional de la santé Auvergne-Rhône-Alpes: Lyon, France, 2018. [Google Scholar]
- Schaffner, U.; Steinbach, S.; Sun, Y.; Skjøth, C.A.; de Weger, L.A.; Lommen, S.T.; Augustinus, B.A.; Bonini, M.; Karrer, G.; Šikoparija, B.; et al. Biological Weed Control to Relieve Millions from Ambrosia Allergies in Europe. Nat. Commun. 2020, 11, 1745. [Google Scholar] [CrossRef]
- Ducasse-Cournac, A.-M.; Durand-Lagarrigue, L.; Rodriguez, A.; Vuillemin, F.; Cichosz, B. Les Ambroisies: Un Problème Agricole et de Santé Publique qui ne Fait que Commencer; Chambre Régionale d’Agriculture Occitanie: Auzeville-Tolosane, France, 2020. [Google Scholar]
- Hall, R.M.; Urban, B.; Wagentristl, H.; Karrer, G.; Winter, A.; Czerny, R.; Kaul, H.-P. Common Ragweed (Ambrosia artemisiifolia L.) Causes Severe Yield Losses in Soybean and Impairs Bradyrhizobium japonicum Infection. Agronomy 2021, 11, 1616. [Google Scholar] [CrossRef]
- Bonini, M.; Šikoparija, B.; Prentović, M.; Cislaghi, G.; Colombo, P.; Testoni, C.; Grewling, Ł.; Lommen, S.T.E.; Müller-Schärer, H.; Smith, M. A Follow-up Study Examining Airborne Ambrosia Pollen in the Milan Area in 2014 in Relation to the Accidental Introduction of the Ragweed Leaf Beetle Ophraella communa. Aerobiologia 2016, 32, 371–374. [Google Scholar] [CrossRef]
- Kim, H.G.; Lee, D.-H. Review of the Biology and Ecology of a Ragweed Leaf Beetle, Ophraella communa (Coleoptera: Chrysomelidae), Which Is a Biological Control Agent of an Invasive Common Ragweed, Ambrosia artemisiifolia (Asterales: Asteraceae). Biocontrol Sci. Technol. 2019, 29, 185–200. [Google Scholar] [CrossRef]
- LeSage, L. A Taxonomic Monograph of the Neartic Gelerucine Genus Ophraella Wilcox (Coleoptera: Chrysomelidae). Mem. Entomol. Soc. Can. 1986, 118, 3–75. [Google Scholar] [CrossRef]
- Guo, J.-Y.; Zhou, Z.-S.; Zheng, X.-W.; Chen, H.-S.; Wan, F.-H.; Luo, Y.-H. Control Efficiency of Leaf Beetle, Ophraella communa, on the Invasive Common Ragweed, Ambrosia artemisiifolia at Different Growing Stages. Biocontrol Sci. Technol. 2011, 21, 1049–1063. [Google Scholar] [CrossRef]
- Müller-Schärer, H.; Lommen, S.T.E.; Rossinelli, M.; Bonini, M.; Boriani, M.; Bosio, G.; Schaffner, U. Ophraella communa, the Ragweed Leaf Beetle, Has Successfully Landed in Europe: Fortunate Coincidence or Threat? Weed Res. 2014, 54, 109–119. [Google Scholar] [CrossRef]
- Müller-Schärer, H.; Sun, Y.; Schaffner, U. When a Plant Invader Meets Its Old Enemy Abroad: What Can Be Learnt from Accidental Introductions of Biological Control Agents. Pest Manag. Sci. 2023, 80, 19–27. [Google Scholar] [CrossRef] [PubMed]
- Sipek, M.; Horvat, E.; Sajna, N. Eastward Range Expansion of the Ragweed Leaf Beetle (Ophraella communa LeSage, 1986) (Coleoptera, Chrysomelidae) in Slovenia. BioInvasions Rec. 2023, 12, 615–623. [Google Scholar] [CrossRef]
- Moriya, S.; Shiyake, S. Spreading the distribution of an exotic ragweed beetle, Ophraella communa LeSage (Coleoptera: Chrysomelidae), in Japan. Jpn. J. Entomol. New Ser. 2001, 4, 99–102. [Google Scholar]
- Zhou, Z.-S.; Chen, H.-S.; Zheng, X.-W.; Guo, J.-Y.; Guo, W.; Li, M.; Luo, M.; Wan, F.-H. Control of the Invasive Weed Ambrosia artemisiifolia with Ophraella communa and Epiblema strenuana. Biocontrol Sci. Technol. 2014, 24, 950–964. [Google Scholar] [CrossRef]
- Zhou, Z.-S.; Guo, J.; Wan, F. Review on Management of Ambrosia artemisiifolia Using Natural Enemy Insects. Chin. J. Biol. Control 2015, 31, 657–665. [Google Scholar] [CrossRef]
- Fredon France Ophraella communa est arrivée en France ! Available online: https://ambroisie-risque.info/ophraella-communa-est-arrivee-en-france/ (accessed on 2 November 2023).
- Chauvel, B.; Desneux, N.; Le Bourgeois, T.; Mouttet, R.; Schaffner, U. Efficacité Du Coléoptère Ophraella communa Utilisé Comme Agent de Lutte Biologique Contre Les Ambroisies et Évaluation Des Éventuels Risques Associés; ANSES: Maisons-Alfort, France, 2019. [Google Scholar]
- Mouttet, R.; Augustinus, B.; Bonini, M.; Chauvel, B.; Desneux, N.; Gachet, E.; Le Bourgeois, T.; Müller-Schärer, H.; Thibaudon, M.; Schaffner, U. Estimating Economic Benefits of Biological Control of Ambrosia artemisiifolia by Ophraella communa in Southeastern France. Basic Appl. Ecol. 2018, 33, 14–24. [Google Scholar] [CrossRef]
- Briese, D. Classical Biological Control. In Australian Weed Management Systems; Richardson: Melbourne, Australia, 2000; pp. 161–186. ISBN 0-95874390-4-0. [Google Scholar]
- Briese, D. The Centrifugal Phylogenetic Method Used to Select Plants for Host-Specificity Testing for Weed Biological Control Agents: Can and Should It Be Modernized? CRC for Australian Weed Management: Perth, Western Australia, 1 January 2003; Volume 7, pp. 23–33. [Google Scholar]
- Wapshere, A.J. A Strategy for Evaluating the Safety of Organisms for Biological Weed Control. Ann. Appl. Biol. 1974, 77, 201–211. [Google Scholar] [CrossRef]
- Augustinus, B.A.; Gentili, R.; Horvath, D.; Naderi, R.; Sun, Y.; Tournet, A.-M.T.E.; Schaffner, U.; Müller-Schärer, H. Assessing the Risks of Non-Target Feeding by the Accidentally Introduced Ragweed Leaf Beetle, Ophraella communa, to Native European Plant Species. Biol. Control 2020, 150, 104356. [Google Scholar] [CrossRef]
- Fukano, Y.; Doi, H. Population Abundance and Host Use Pattern of Ophraella communa (Coleoptera: Chrysomelidae) in Its Native and Introduced Range. Biocontrol Sci. Technol. 2013, 23, 595–601. [Google Scholar] [CrossRef]
- Jin, J.; Zhao, M.; Zhou, Z.; Wang, R.; Guo, J.; Wan, F. Host-Plant Selection Behavior of Ophraella communa, a Biocontrol Agent of the Invasive Common Ragweed Ambrosia artemisiifolia. Insects 2023, 14, 334. [Google Scholar] [CrossRef] [PubMed]
- Palmer, W.A.; Goeden, R.D. The Host Range of Ophraella communa Lesage (Coleoptera: Chrysomelidae). Coleopt. Bull. 1991, 45, 115–120. [Google Scholar]
- Dernovici, S.A.; Teshler, M.P.; Watson, A.K. Is Sunflower (Helianthus annuus) at Risk to Damage from Ophraella communa, a Natural Enemy of Common Ragweed (Ambrosia artemisiifolia)? Biocontrol Sci. Technol. 2006, 16, 669–686. [Google Scholar] [CrossRef]
- Zhou, Z.-S.; Guo, J.-Y.; Zheng, X.-W.; Luo, M.; Chen, H.-S.; Wan, F.-H. Reevaluation of Biosecurity of Ophraella communa against Sunflower (Helianthus annuus). Biocontrol Sci. Technol. 2011, 21, 1147–1160. [Google Scholar] [CrossRef]
- Charrière, P.; Grandes Cultures. Récolte de Tournesol 2023: La Plus Élevée Depuis les Années 1990. Available online: https://agreste.agriculture.gouv.fr/agreste-web/disaron/IraGcu23139/detail/ (accessed on 13 December 2023).
- Desneux, N.; Barta, R.J.; Hoelmer, K.A.; Hopper, K.R.; Heimpel, G.E. Multifaceted Determinants of Host Specificity in an Aphid Parasitoid. Oecologia 2009, 160, 387–398. [Google Scholar] [CrossRef]
- Jaenike, J. On Optimal Oviposition Behavior in Phytophagous Insects. Theor. Popul. Biol. 1978, 14, 350–356. [Google Scholar] [CrossRef]
- Monticelli, L.S.; Nguyen, L.T.H.; Amiens-Desneux, E.; Luo, C.; Lavoir, A.; Gatti, J.-L.; Desneux, N. The Preference–Performance Relationship as a Means of Classifying Parasitoids According to Their Specialization Degree. Evol. Appl. 2019, 12, 1626–1640. [Google Scholar] [CrossRef]
- MNHN. OFB Les Chiffres Clés de La Diversité Des Espèces Référencées Dans l’INPN. Available online: https://inpn.mnhn.fr/espece/indicateur (accessed on 16 November 2023).
- R Core Team R: The R Project for Statistical Computing. Available online: https://www.r-project.org/ (accessed on 16 June 2024).
- Wickham, H.; Hester, J.; Bryan, J. Readr: Read Rectangular Text Data. 2024. Available online: https://readr.tidyverse.org/ (accessed on 28 March 2024).
- Wickham, H.; Averick, M.; Bryan, J.; Chang, W.; McGowan, L.D.; François, R.; Grolemund, G.; Hayes, A.; Henry, L.; Hester, J.; et al. Welcome to the Tidyverse. J. Open Source Softw. 2019, 4, 1686. [Google Scholar] [CrossRef]
- Kassambara, A. Rstatix: Pipe-Friendly Framework for Basic Statistical Tests. 2023. Available online: https://rpkgs.datanovia.com/rstatix/ (accessed on 28 March 2024).
- Kassambara, A. Ggpubr: “ggplot2” Based Publication Ready Plots. 2023. Available online: https://cran.r-project.org/web/packages/ggpubr/readme/README.html (accessed on 28 March 2024).
- Hartig, F. DHARMa: Residual Diagnostics for Hierarchical (Multi-Level/Mixed) Regression Models. 2022. Available online: https://cran.r-project.org/web/packages/DHARMa/vignettes/DHARMa.html (accessed on 28 March 2024).
- Benjamini, Y.; Hochberg, Y. Controlling the False Discovery Rate: A Practical and Powerful Approach to Multiple Testing. J. R. Stat. Soc. Ser. B Methodol. 1995, 57, 289–300. [Google Scholar] [CrossRef]
- Therneau, T.M.; Lumley, T.; Elizabeth, A.; Cynthia, C. Survival: Survival Analysis 2024. Available online: https://cran.r-project.org/web/packages/survival/index.html (accessed on 16 June 2024).
- Paynter, Q.; Fowler, S.V.; Gourlay, A.H.; Peterson, P.G.; Smith, L.A.; Winks, C.J. Relative Performance on Test and Target Plants in Laboratory Tests Predicts the Risk of Non-Target Attack in the Field for Arthropod Weed Biocontrol Agents. Biol. Control 2015, 80, 133–142. [Google Scholar] [CrossRef]
- Grevstad, F.S.; McEvoy, P.B.; Coombs, E.M. Relating Host Specificity Testing to Field Risk for Nontarget Plants in North American Weed Biocontrol Organisms. Biol. Control 2021, 152, 104432. [Google Scholar] [CrossRef]
- Paynter, Q.; Fowler, S.V.; Groenteman, R. Making Weed Biological Control Predictable, Safer and More Effective: Perspectives from New Zealand. BioControl 2018, 63, 427–436. [Google Scholar] [CrossRef]
- Sheppard; van Klinken, R.D.; Heard, T.A. Scientific Advances in the Analysis of Direct Risks of Weed Biological Control Agents to Nontarget Plants. Biol. Control 2005, 35, 215–226. [Google Scholar] [CrossRef]
- Schaffner, U. Host Range Testing of Insects for Biological Weed Control: How Can It Be Better Interpreted? BioScience 2009, 51, 951–959. [Google Scholar] [CrossRef]
- Van Klinken, R. Host Specificity Testing: Why Do We Do It and How We Can Do It Better. In Proceedings of the Host Specificity Testing of Exotic Arthropod Biological Control Agents: The Biological Basis for Improvement in Safety, Bozeman, MT, USA, 4 July 1999; pp. 54–68. [Google Scholar]
- Rapo, C.B.; Schaffner, U.; Eigenbrode, S.D.; Hinz, H.L.; Price, W.J.; Morra, M.; Gaskin, J.; Schwarzländer, M. Feeding Intensity of Insect Herbivores Is Associated More Closely with Key Metabolite Profiles than Phylogenetic Relatedness of Their Potential Hosts. Peer J. 2019, 7, e8203. [Google Scholar] [CrossRef]
- Simmons, W.; Blossey, B. Host Plant Phylogeny Does Not Fully Explain Host Choice and Feeding Preferences of Galerucella Birmanica, a Promising Biological Control Herbivore of Trapa Natans. Biol. Control 2023, 180, 105201. [Google Scholar] [CrossRef]
- Ben Mustapha, M.; Algethami, F.K.; Elamin, M.R.; Abdulkhair, B.Y.; Chaieb, I.; Ben Jannet, H. Chemical Composition, Toxicity and Repellency of Inula graveolens Essential Oils from Roots and Aerial Parts against Stored-Product Beetle Tribolium castaneum (Herbst). Chem. Biodivers. 2023, 20, e202200978. [Google Scholar] [CrossRef]
- Gueribis, F.; Zermane, N.; Khalfi-Habess, O.; Siafa, A.; Cimmino, A.; Boari, A.; Evidente, A. Bioefficacy of Compounds from Dittrichia viscosa (Asteraceae) as Protectant of Chickpea Seeds against the Cowpea Seed Beetle Callosobruchus maculatus (Coleoptera: Chrysomelidae). J. Plant Dis. Prot. 2019, 126, 437–446. [Google Scholar] [CrossRef]
- Tail, G.; Kara, F.Z. Use of Inula viscosa (Asteraceae) extracts against Rhyzopertha dominica (F.) (Coleoptera, Bostrichidae). In Proceedings of the 5th Conférence Internationale sur les Méthodes Alternatives de Protection des Plantes, Lille, France, 11–13 March 2015; Association Française de Protection des Plantes (AFPP): Alfort, France, 2015; pp. 139–143. [Google Scholar]
- Bruce, T.J.A.; Pickett, J.A. Perception of Plant Volatile Blends by Herbivorous Insects—Finding the Right Mix. Phytochemistry 2011, 72, 1605–1611. [Google Scholar] [CrossRef]
- Son, J.H.; Islam, M.A.; Hong, J.H.; Jeong, J.Y.; Song, O.Y.; Kim, H.E.; Khan, N.; Jamila, N.; Kim, K.S. Extraction of Volatile Organic Compounds from Leaves of Ambrosia artemisiifolia L. and Artemisia Annua L. by Headspace-Solid Phase Micro Extraction and Simultaneous Distillation Extraction and Analysis by Gas Chromatography/Mass Spectrometry. Food Sci. Biotechnol. 2021, 30, 355–366. [Google Scholar] [CrossRef]
- Fontana, G.; Bruno, M.; Senatore, F.; Formisano, C. Volatile Constituents of Aerial Parts of Two Mediterranean Species of Inula: Inula crithmoides L. and I. verbascifolia (Willd.) Hausskn. (Asteraceae). Nat. Prod. Res. 2014, 28, 984–993. [Google Scholar] [CrossRef] [PubMed]
- Gripenberg, S.; Mayhew, P.J.; Parnell, M.; Roslin, T. A Meta-Analysis of Preference–Performance Relationships in Phytophagous Insects. Ecol. Lett. 2010, 13, 383–393. [Google Scholar] [CrossRef] [PubMed]
- Van Klinken, R.D.; Edwards, O.R. Is Host-Specificity of Weed Biological Control Agents Likely to Evolve Rapidly Following Establishment? Ecol. Lett. 2002, 5, 590–596. [Google Scholar] [CrossRef]
- Heard, T.A.; Klinken, R.D.V. Rapid Preliminary Characterisation of Host Specificity of Leaf-Beetles (Coleoptera: Chrysomelidae). Biocontrol Sci. Technol. 2004, 14, 499–511. [Google Scholar] [CrossRef]
- Fukano, Y.; Doi, H.; Thomas, C.E.; Takata, M.; Koyama, S.; Satoh, T. Contemporary Evolution of Host Plant Range Expansion in an Introduced Herbivorous Beetle Ophraella communa. J. Evol. Biol. 2016, 29, 757–765. [Google Scholar] [CrossRef]
- Honěk, A. Intraspecific Variation in Body Size and Fecundity in Insects: A General Relationship. Oikos 1993, 66, 483–492. [Google Scholar] [CrossRef]
- Liu, Z.; Gong, P.; Li, D.; Wei, W. Pupal Diapause of Helicoverpa armigera (Hübner) (Lepidoptera: Noctuidae) Mediated by Larval Host Plants: Pupal Weight Is Important. J. Insect Physiol. 2010, 56, 1863–1870. [Google Scholar] [CrossRef]
- Schaffner, U.; Smith, L.; Cristofaro, M. A Review of Open-Field Host Range Testing to Evaluate Non-Target Use by Herbivorous Biological Control Candidates. BioControl 2018, 63, 405–416. [Google Scholar] [CrossRef]
- Pemberton, R.W. Predictable Risk to Native Plants in Weed Biological Control. Oecologia 2000, 125, 489–494. [Google Scholar] [CrossRef]
- Chauvel, B.; Fried, G.; Monty, A.; Rossi, J.P.; Le Bourgeois, T. Analyses de Risque de l’ambroisie Trifide (Ambrosia trifida L.) et Élaboration de Recommandations de Gestion; ANSES: Maisons-Alfort, France, 2017. [Google Scholar]
- Chauvel, B.; Le Bourgeois, T.; Mouttet, R.; Schaffner, U. Evaluation Des Risques Pour La Santé Des Végétaux Liés à Ophraella communa, Un Insecte Ravageur de l’ambroisie à Feuilles d’armoise; ANSES: Avis de l’Anses, France, 2015. [Google Scholar]
- Hinz, H.L.; Winston, R.L.; Schwarzländer, M. How Safe Is Weed Biological Control? A Global Review of Direct Nontarget Attack. Q. Rev. Biol. 2019, 94, 1–27. [Google Scholar] [CrossRef]
- Müller-Schärer, H.; Schaffner, U. Classical Biological Control: Exploiting Enemy Escape to Manage Plant Invasions. Biol. Invasions 2008, 10, 859–874. [Google Scholar] [CrossRef]
- Kumar, S.; Stecher, G.; Li, M.; Knyaz, C.; Tamura, K. MEGA X: Molecular Evolutionary Genetics Analysis across Computing Platforms. Mol. Biol. Evol. 2018, 35, 1547–1549. [Google Scholar] [CrossRef] [PubMed]



| Tribe | Sub-Tribe | Species | Cultivars | INPN Status | No-Choice Test | Choice Test | |
|---|---|---|---|---|---|---|---|
| Heliantheae | Ambrosiinae | Ambrosia artemisiifolia L. | Introduced | I | x | x | |
| Ambrosia trifida L. | Introduced | NE | x | x | |||
| Xanthium orientale L. | Introduced | NE | x | x | |||
| Helianthinae | Helianthus annuus L. | ES VERONIKA | Cultivated | LC | x | x | |
| RGT BUFFALO | Cultivated | LC | x | x | |||
| P64HE118 | Cultivated | LC | x | x | |||
| SY CELESTO | Cultivated | LC | x | x | |||
| RGT AXELL | Cultivated | LC | x | ||||
| MAS 89HOCL | Cultivated | LC | x | ||||
| ES IDILIC | Cultivated | LC | x | ||||
| Helianthus tuberosus L. | Cultivated | I | x | ||||
| Coreopsidinae | Bidens cernua L. | Indigenous | LC * | x | |||
| Cosmos sulphureus Cav. | Cultivated | NE | x | ||||
| Helenieae | Inulinae: Pulicaria complex | Pallenis spinosa L. | Indigenous | LC ** | x | ||
| Inulinae: Inula complex | Carpesium cernuum L. | Indigenous | EN | x | x | ||
| Pentanema bifrons L. | Indigenous | LC ** | x | ||||
| Pentanema britannicum L. | Indigenous | NT ** | x | ||||
| Pentanema helveticum (Weber) | Indigenous | LC ** | x | x | |||
| Anthemideae | Anthemidinae | Artemisia molinieri Quézel. | Endemic | EN | x | ||
| Matricaria chamomilla L. | Indigenous | LC | x | ||||
| Astereae | Conyzinae | Erigeron sumatrensis Retz. | Introduced | NE | x | ||
| Asterinae | Bellis perennis L. | Indigenous | LC | x | |||
| Carduoideae | Centaureinae | Centaurea solstitialis L. | Indigenous | LC ** | x | ||
| Species | Cultivars | Preoviposition Period | Larval Development Time | Pupal Weight | Sex Ratio (Female) | |||||
|---|---|---|---|---|---|---|---|---|---|---|
| a | Average | p.adj | b | Number of Days | p.adj | Female | Male | Average (%) | ||
| Ambrosia artemisiifolia L. | 32 | 7.3 ± 1.5 | - | 237 | 24.96 ± 2.1 | - | 7.77 ± 1.31 | 5.93 ± 0.98 | 49.26 ± 16.4 | |
| Ambrosia trifida L. | 5 | 9.8 ± 3.1 | 0.037 * | 30 | 24.30 ± 1.9 | 0.112 NS | 7.05 ± 1.29 | 5.91 ± 1.42 | 57.86 ± 10.2 | |
| Xanthium orientale L. | 5 | 8.6 ± 0.9 | 0.04 * | 22 | 24.23 ± 1.7 | 0.290 NS | 7.74 ± 1.07 | 5.44 ± 0.97 | 56.67 ± 26.2 | |
| Helianthus annuus L. | ||||||||||
| ES VERONIKA | 5 | 13.6 ± 5.0 | 0.031 * | 21 | 25.00 ± 2.7 | 0.896 NS | 7.29 ± 1.00 | 6.60 ± 1.18 | 53.00 ± 13.0 | |
| RGT BUFFALO | 5 | 9.8 ± 1.8 | 0.026 * | 16 | 25.62 ± 3.6 | 0.896 NS | 6.54 ± 0.59 | 5.04 ± 0.84 | 46.67 ± 36.1 | |
| P64HE118 | 3 | 11.0 ± 3.6 | 0.067 NS | 20 | 25.16 ± 2.7 | 0.896 NS | 7.94 ± 1.41 | 5.89 ± 0.98 | 53.75 ± 36.7 | |
| SY CELESTO | 4 | 9.5 ± 2.9 | 0.124 NS | 12 | 23.08 ± 1.4 | 0.005 ** | 6.40 ± 0.35 | 5.22 ± 0.30 | 56.67 ± 43.5 | |
| RGT AXELL | 5 | 15.2 ± 4.4 | 0.003 ** | 17 | 23.94 ± 2.5 | 0.189 NS | 8.30 ± 0.83 | 5.57 ± 0.51 | 38.67 ± 23.6 | |
| MAS 89HOCL | 5 | 10.6 ± 3.3 | 0.04 * | 11 | 27.27 ± 1.7 | 0.003 ** | 6.89 ± 1.28 | 5.60 ± 0.99 | 85.41 ± 17.2 | |
| ES IDILIC | 2 | 15.0 ± 8.5 | - | 9 | 25.22 ± 1.1 | 0.744 NS | 6.23 ± 0.61 | 5.12 ± 0.51 | 36.11 ± 37.6 | |
| Helianthus tuberosus L. | - | - | - | 4 | 30.25 ± 2.9 | 0.005 ** | 5.63 ± 1.75 | 4.60 | 75.00 ± 35.4 | |
| Carpesium cernuum L. | 4 | 16.5 ± 1.0 | 0.004 ** | - | - | - | - | - | ||
| Pentanema helveticum (Weber) | 2 | 15.0 ± 7.1 | - | - | - | - | - | - | ||
Disclaimer/Publisher’s Note: The statements, opinions and data contained in all publications are solely those of the individual author(s) and contributor(s) and not of MDPI and/or the editor(s). MDPI and/or the editor(s) disclaim responsibility for any injury to people or property resulting from any ideas, methods, instructions or products referred to in the content. |
© 2024 by the authors. Licensee MDPI, Basel, Switzerland. This article is an open access article distributed under the terms and conditions of the Creative Commons Attribution (CC BY) license (https://creativecommons.org/licenses/by/4.0/).
Share and Cite
Rousset, Z.; Zamprogna, A.; Jaworski, C.C.; Desneux, N.; Lesieur, V. Assessing the Host Range of Ophraella communa for the Biological Control of Ambrosia artemisiifolia in France. Plants 2024, 13, 3240. https://doi.org/10.3390/plants13223240
Rousset Z, Zamprogna A, Jaworski CC, Desneux N, Lesieur V. Assessing the Host Range of Ophraella communa for the Biological Control of Ambrosia artemisiifolia in France. Plants. 2024; 13(22):3240. https://doi.org/10.3390/plants13223240
Chicago/Turabian StyleRousset, Zoé, Alberto Zamprogna, Coline C. Jaworski, Nicolas Desneux, and Vincent Lesieur. 2024. "Assessing the Host Range of Ophraella communa for the Biological Control of Ambrosia artemisiifolia in France" Plants 13, no. 22: 3240. https://doi.org/10.3390/plants13223240
APA StyleRousset, Z., Zamprogna, A., Jaworski, C. C., Desneux, N., & Lesieur, V. (2024). Assessing the Host Range of Ophraella communa for the Biological Control of Ambrosia artemisiifolia in France. Plants, 13(22), 3240. https://doi.org/10.3390/plants13223240

