An Efficient In Vitro Regeneration Protocol and the Feature of Root Induction with Phloroglucinol in Paeonia ostii
Abstract
1. Introduction
2. Results
2.1. Effect of PGRs on Shoot Regeneration
2.2. Effects of PGRs on Shoot Elongation
2.3. Effect of PG on Root Induction
2.4. Lignin Profile During In Vitro Root Induction with PG
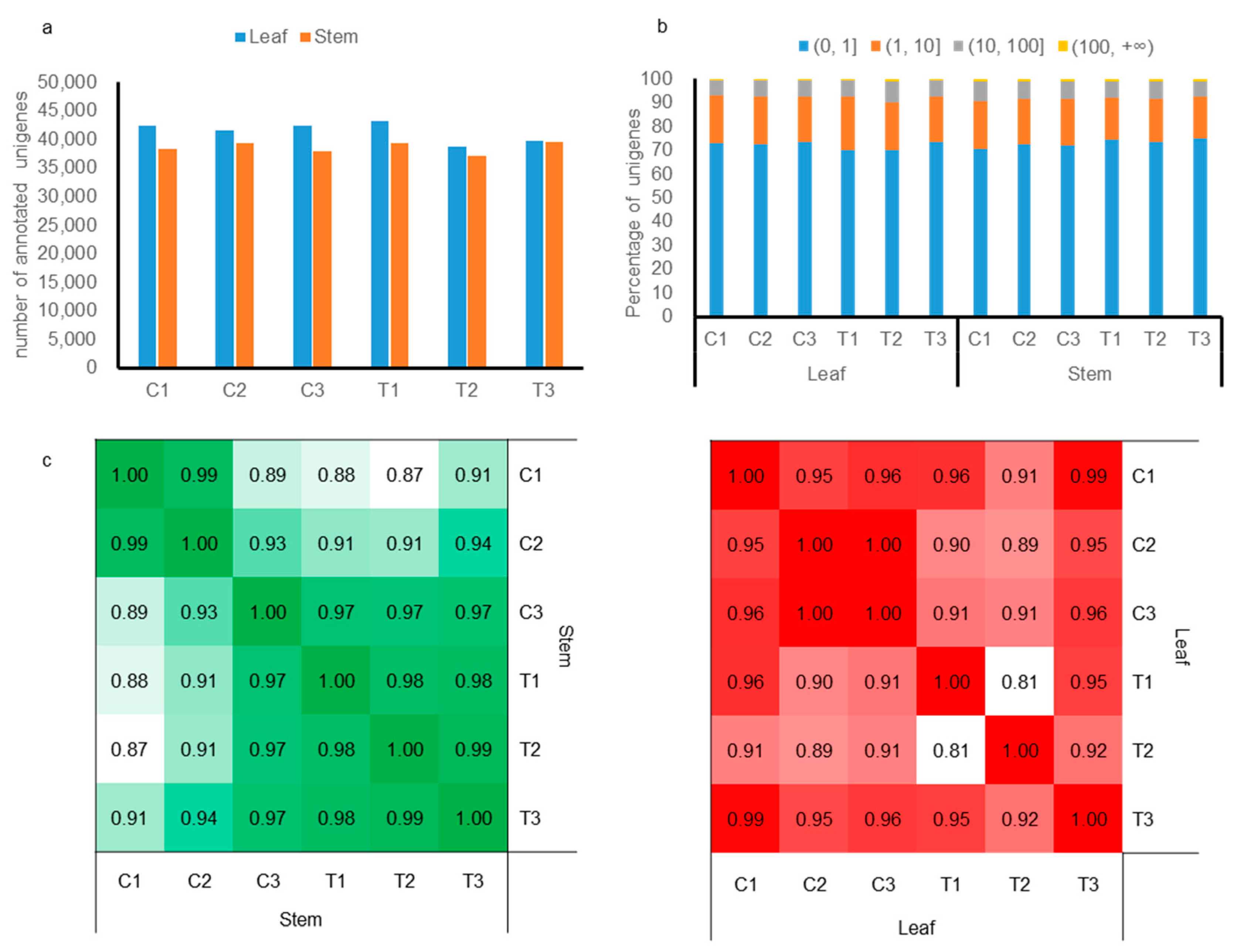
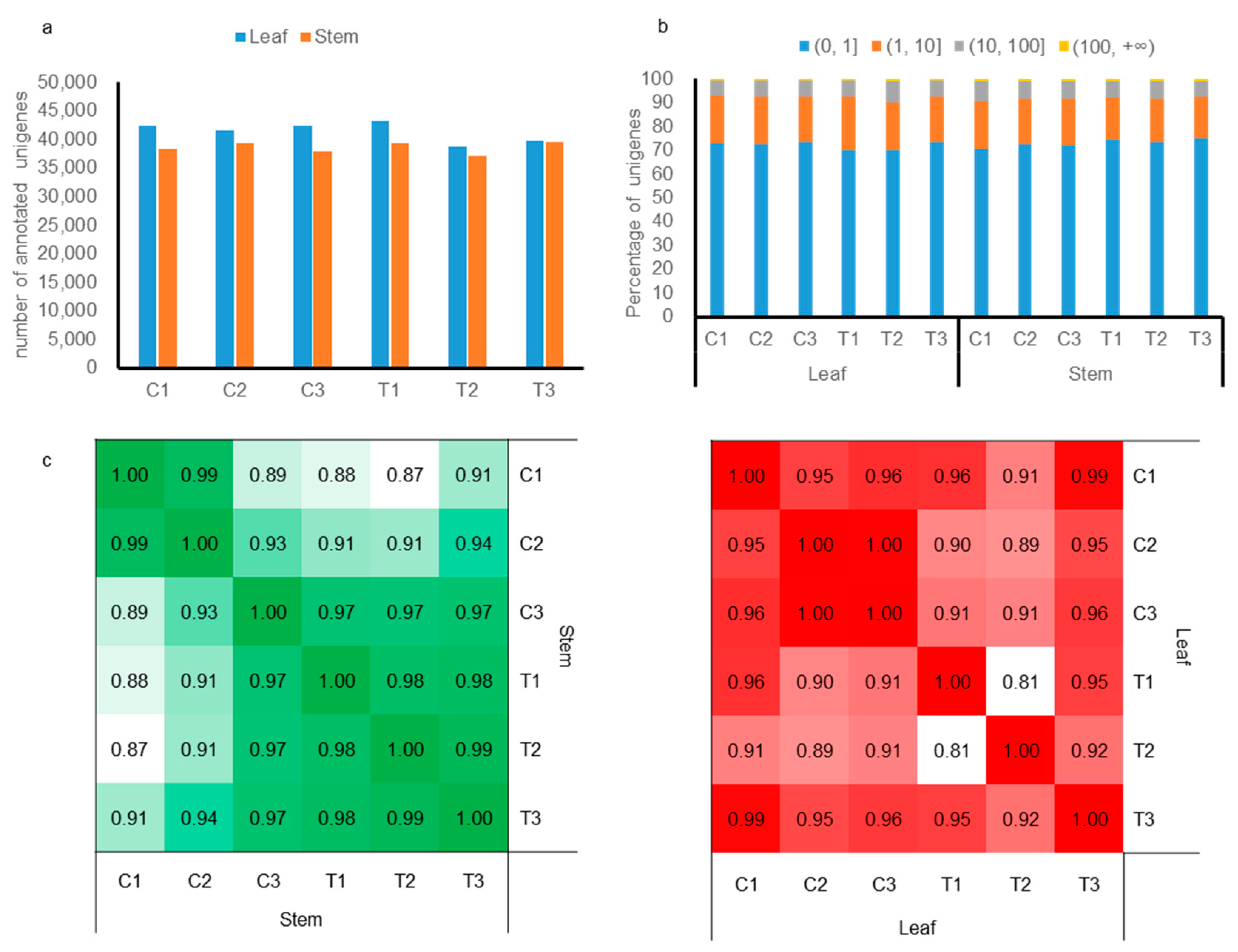
2.5. Global Analysis of Gene Expression with PG Application
2.6. Differential Regulation of Unigenes of P. ostii During In Vitro Root Induction with PG
2.7. Expression Patterns of Genes Related to Phytohormone Signal Transduction
2.8. The Expression Changes of Genes Involved in Phenylpropanoid Biosynthesis
3. Discussion
4. Materials and Methods
4.1. Plant Materials and Treatments
4.2. Basal Medium and Growth Conditions
4.3. Induction of Adventitious Shoots
4.4. Elongation of Shoots
4.5. Rooting of Adventitious Shoots
4.6. Acclimatisation and Transplantation
4.7. Lignin Content Detection
4.8. Safranin Fast Green Staining
4.9. RNA Extraction and Library Construction
4.10. Reads Processing and Gene Ontology Analysis
4.11. Data Analysis
5. Conclusions
Supplementary Materials
Author Contributions
Funding
Data Availability Statement
Acknowledgments
Conflicts of Interest
References
- Yang, Y.; Sun, M.; Li, S.; Chen, Q.; Teixeira da Silva, J.A.; Wang, A.; Yu, X.; Wang, L.-S. Germplasm Resources and Genetic Breeding of Paeonia: A Systematic Review. Hortic. Res. 2020, 7, 107. [Google Scholar] [CrossRef] [PubMed]
- Barreira, J.C.; Ferreira, I.C.; Oliveira, M.B.P.; Pereira, J.A. Antioxidant Activities of the Extracts from Chestnut Flower, Leaf, Skins and Fruit. Food Chem. 2008, 107, 1106–1113. [Google Scholar] [CrossRef]
- Wu, K.-C.; Lee, D.-Y.; Hsu, J.-T.; Cheng, C.; Lan, J.-L.; Chiu, S.C.; Cho, D.Y.; Hsu, J.-L. Evaluations and Mechanistic Interrogation of Natural Products Isolated from Paeonia suffruticosa for the Treatment of Inflammatory Bowel Disease. Front. Pharmacol. 2021, 12, 696158. [Google Scholar] [CrossRef]
- Deng, R.; Gao, J.; Yi, J.; Liu, P. Could peony seeds oil become a high-quality edible vegetable oil? The nutritional and phytochemistry profiles, extraction, health benefits, safety and value-added-products. Food Res. Int. 2022, 156, 111200. [Google Scholar] [CrossRef]
- Deng, R.; Gao, J.; Yi, J.; Liu, P. Peony seeds oil by-products: Chemistry and bioactivity. Ind. Crops Prod. 2022, 187, 115333. [Google Scholar] [CrossRef]
- Jiang, X.; Yang, C.; Beta, T.; Liu, S.; Yang, R. Phenolic Profile and Antioxidant Activity of the Edible Tree Peony Flower and Underlying Mechanisms of Preventive Effect on H2O2-Induced Oxidative Damage in Caco-2 Cells. Foods 2019, 8, 471. [Google Scholar] [CrossRef]
- Zhang, H.; Li, X.; Ke, W.; Wang, M.; Liu, P.; Wang, X.; Deng, R. Antioxidant Activities and Chemical Constituents of Flavonoids from the Flower of Paeonia ostii. Molecules 2016, 22, 5. [Google Scholar] [CrossRef]
- Ekiert, H.; Klimek-Szczykutowicz, M.; Szopa, A. Paeonia × suffruticosa (Moutan Peony)—A Review of the Chemical Composition, Traditional and Professional Use in Medicine, Position in Cosmetics Industries, and Biotechnological Studies. Plants 2022, 11, 3379. [Google Scholar] [CrossRef]
- Zhang, X.; Zhai, Y.; Yuan, J.; Hu, Y. New insights into Paeoniaceae used as medicinal plants in China. Sci. Rep. 2019, 9, 18469. [Google Scholar] [CrossRef]
- Peng, X.-N.; Zhou, Y.; Liu, Y.-X.; Huo, Y.-L.; Ren, J.-Y.; Bai, Z.-Z.; Zhang, Y.-L.; Tang, J.-J. Neuroprotective potential of phytochemicals isolated from Paeonia ostii ‘Feng Dan’ stamen. Ind. Crops Prod. 2023, 200, 116808. [Google Scholar] [CrossRef]
- Wang, F. Common tree peony propagation methods and cultivation techniques. Mod. Agric. Sci. Technol. 2019, 19, 147–149. [Google Scholar]
- Cheng, F. Advances in the breeding of tree peonies and a cultivar system for the cultivar group. Int. J. Plant Breeding 2007, 1, 89–104. [Google Scholar]
- Zeng, D.; Yin, W.; Zhao, X.; Wang, H. Propagation of Chinese tree peony (Paeonia suffruticosa Andr). J. Beijing For. Univ. 2000, 3, 90–95. [Google Scholar] [CrossRef]
- Yuan, J.; Jiang, S.; Jian, J.; Liu, M.; Yue, Z.; Xu, J.; Li, J.; Xu, C.; Lin, L.; Jing, Y.; et al. Genomic basis of the giga-chromosomes and giga-genome of tree peony Paeonia ostii. Nat. Commun. 2022, 13, 7328. [Google Scholar] [CrossRef] [PubMed]
- Wen, S.S.; Chen, L.; Tian, R.N. Micropropagation of tree peony (Paeonia sect. Moutan): A review. Plant Cell Tissue Organ Cult. (PCTOC) 2020, 141, 1–14. [Google Scholar] [CrossRef]
- Wen, S.-S.; Cheng, F.-Y.; Zhong, Y.; Wang, X.; Li, L.-Z.; Zhang, Y.-X.; Qiu, J.-M. Efficient protocols for the micropropagation of tree peony (Paeonia suffruticosa ‘Jin Pao Hong’, P. suffruticosa ‘Wu Long Peng Sheng’, and P.× lemoinei ‘High Noon’) and application of arbuscular mycorrhizal fungi to improve plantlet establishment. Sci. Hortic. 2016, 201, 10–17. [Google Scholar] [CrossRef]
- Liu, R.; Xue, Y.; Ci, H.; Gao, J.; Wang, S.; Zhang, X. Establishment of highly efficient plant regeneration of Paeonia ostii ‘Fengdan’ through optimization of callus, adventitious shoot, and rooting induction. Hortic. Plant J. 2022, 8, 777–786. [Google Scholar] [CrossRef]
- Du, Y.; Cheng, F.; Zhong, Y. Induction of direct somatic embryogenesis and shoot organogenesis and histological study in tree peony (Paeonia sect. Moutan). Plant Cell Tissue Organ Cult. (PCTOC) 2020, 141, 557–570. [Google Scholar] [CrossRef]
- Teixeira da Silva, J.A.; Shen, M.; Yu, X. Tissue culture and micropropagation of tree peony (Paeonia suffruticosa Andr.). J. Crop Sci. Biotechnol. 2012, 15, 159–168. [Google Scholar] [CrossRef]
- Zhu, X.; Li, X.; Ding, W.; Jin, S.; Wang, Y. Callus induction and plant regeneration from leaves of peony. Hortic. Environ. Biotechnol. 2018, 59, 575–582. [Google Scholar] [CrossRef]
- Chen, X.; Ye, C.; Yang, H.; Ji, W.; Xu, Z.; Ye, S.; Wang, H.; Jin, S.; Yu, C.; Zhu, X. Callogenesis and Plant Regeneration in Peony (Paeonia × suffruticosa) Using Flower Petal Explants. Horticulturae 2022, 8, 357. [Google Scholar] [CrossRef]
- Wang, H.; van Staden, J. Establishment of in vitro cultures of tree peonies. S. Afr. J. Bot. 2001, 67, 358–361. [Google Scholar] [CrossRef]
- Wang, X.; Cheng, F.; Zhong, Y.; Wen, S.; Li, L.; Huang, N. Establishment of in vitro Rapid Propagation System for Tree Peony (Paeonia ostii). Sci. Silvae Sincae 2016, 52, 101–110. [Google Scholar] [CrossRef]
- Gómez-Kosky, R.; Armas, P.M.; Calimano, M.B.; Villegas, A.B.; Otero, Y.; Jaramillo, D.N.; Ferreiro, J.Á.; Daniels, D.D.; Pérez, L.P. Effect of Phloroglucinol on in Vitro Rooting of Sugarcane (Saccharum spp. cv C90-469). Sugar Tech 2021, 23, 466–471. [Google Scholar] [CrossRef]
- Tchouga, A.O.; Deblauwe, V.; Mouafi Djabou, S.A.; Forgione, G.; Hanna, R.; Niemenak, N. Micropropagation and effect of phloroglucinol on rooting of Diospyros crassiflora Hiern. HortScience 2020, 55, 424–428. [Google Scholar] [CrossRef]
- Petti, C. Phloroglucinol mediated plant regeneration of ornithogalum dubium as the sole “hormone-like supplement” in plant tissue culture long-term experiments. Plants 2020, 9, 929. [Google Scholar] [CrossRef]
- Teixeira da Silva, J.A.; Dobránszki, J.; Ross, S. Phloroglucinol in plant tissue culture. In Vitro Cell. Dev. Biol. Plant 2013, 49, 1–16. [Google Scholar] [CrossRef]
- Yan, X.; Wang, K.; Zheng, K.; Zhang, L.; Ye, Y.; Qi, L.; Zhu, M. Efficient organogenesis and taxifolin production system from mature zygotic embryos and needles in larch. For. Res. 2023, 3, 4. [Google Scholar] [CrossRef]
- Suman Kumar, J.N.J. Phloroglucinol Plays Role in Shoot Bud Induction and In Vitro Tuberization in Tinospora Cordifolia—A Medicinal Plant with Multi-Therapeutic Application. Adv. Tech. Biol. Med. 2015, 3, 1000125. [Google Scholar] [CrossRef]
- Londe, L.; Vendrame, W.; Oliveira, A.; Sanaey, M.; Costa, A. Phloroglucinol is Effective for in vitro Growth and Multiplication of Musa accuminata Cv. Grand Naine Shoots and Roots. J. Adv. Biol. Biotechnol. 2017, 13, 1–8. [Google Scholar] [CrossRef]
- Zhu, F.; Wang, S.; Xue, J.; Li, D.; Ren, X.; Xue, Y.; Zhang, X. Morphological and physiological changes, and the functional analysis of PdSPL9 in the juvenile-to-adult phase transition of Paeonia delavayi. Plant Cell Tissue Organ Cult. (PCTOC) 2018, 133, 325–337. [Google Scholar] [CrossRef]
- Xu, L.; Cheng, F.; Zhong, Y. In Vitro Immature Embryo Culture of Paeonia ostii ‘Feng Dan’. HortScience 2022, 57, 599–605. [Google Scholar] [CrossRef]
- Xu, L.; Cheng, F.; Zhong, Y. Efficient Plant Regeneration via Meristematic Nodule Culture in Paeonia ostii ‘Feng Dan’. Plant Cell Tissue Organ Cult. (Pctoc) 2022, 149, 599–608. [Google Scholar] [CrossRef]
- Sardans, J.A.-O.; Peñuelas, J.A.-O. Potassium Control of Plant Functions: Ecological and Agricultural Implications. Plants 2021, 10, 419. [Google Scholar] [CrossRef] [PubMed]
- Asif, M.; Yılmaz, Ö.; Öztürk, L. Potassium Deficiency Impedes Elevated Carbon Dioxide-induced Biomass Enhancement in Well Watered or Drought-stressed Bread Wheat. J. Plant Nutr. Soil Sci. 2017, 180, 474–481. [Google Scholar] [CrossRef]
- Saleem, M.F.; Aown, M.; Raza, S.; Ahmad, S.; Shahid, A.M. Understanding and Mitigating the Impacts of Drought Stress in Cotton—A Review. Pak. J. Agric. Sci. 2016, 53, 609–623. [Google Scholar] [CrossRef]
- Zhou, H.; Sun, J.; Zheng, K.; Zhang, X.; Yao, Y.; Zhu, M. Efficient Plantlet Regeneration from Branches in Mangifera indica L. Plants 2024, 13, 2595. [Google Scholar] [CrossRef]
- Teixeira da Silva, J.A.; Gulyás, A.; Magyar-Tábori, K.; Wang, M.R.; Wang, Q.C.; Dobránszki, J. In vitro tissue culture of apple and other Malus species: Recent advances and applications. Planta 2019, 249, 975–1006. [Google Scholar] [CrossRef]
- Pérez, L.P.; Montesinos, Y.P.; Olmedo, J.G.; Rodriguez, R.B.; Sánchez, R.R.; Montenegro, O.N.; Escriba, R.C.R.; Daniels, D.; Gómez-Kosky, R. Effect of phloroglucinol on rooting and in vitro acclimatization of papaya (Carica papaya L. var. Maradol Roja). In Vitro Cell. Dev. Biol. Plant 2016, 52, 196–203. [Google Scholar] [CrossRef]
- Lerin, J.; Ribeiro, Y.R.S.; de Oliveira, T.R.; Silveira, V.; Santa-Catarina, C. Histomorphology and proteomics during rooting of in vitro shoots in Cariniana legalis (Lecythidaceae), a difficult-to-root endangered species from the Brazilian Atlantic Forest. Plant Cell Tissue Organ Cult. 2021, 144, 325–344. [Google Scholar] [CrossRef]
- Murphy, R.; Adelberg, J. Physical factors increased quantity and quality of micropropagated shoots of Cannabis sativa L. in a repeated harvest system with ex vitro rooting. In Vitro Cell. Dev. Biol. Plant 2021, 57, 1–9. [Google Scholar] [CrossRef]
- Naidoo, D.; Aremu, A.O.; Van Staden, J.; Finnie, J.F. In vitro plant regeneration and alleviation of physiological disorders in Scadoxus puniceus. S. Afr. J. Bot. 2017, 109, 316–322. [Google Scholar] [CrossRef]
- Nair, R.B.; Bastress, K.L.; Ruegger, M.O.; Denault, J.W.; Chapple, C.J.T.P.C. The Arabidopsis thaliana REDUCED EPIDERMAL FLUORESCENCE1 gene encodes an aldehyde dehydrogenase involved in ferulic acid and sinapic acid biosynthesis. Plant Cell 2004, 16, 544–554. [Google Scholar] [CrossRef] [PubMed]
- Lloyd, G.; McCown, B. Commercially-feasible micropropagation of mountain laurel, Kalmia latifolia, by use of shoot-tip culture. Comb. Proc. Int. Plant Propagators’ Soc. 1980, 30, 421–427. [Google Scholar]
- Eeuwens, C. Mineral requirements for growth and callus initiation of tissue explants excised from mature coconut palms (Cocos nucifera) and cultured in vitro. Physiol. Plant. 1976, 36, 23–28. [Google Scholar] [CrossRef]






| Treatment | Plant Growth Regulators (mg/L) | Adventitious Shoot Induction Rate (%) | Average Adventitious Shoot Number | |
|---|---|---|---|---|
| BA | NAA | |||
| 1 | 0.5 | 0.05 | 41.67 ± 4.41 d | 3.88 ± 0.11 f |
| 2 | 0.5 | 0.1 | 56.67± 4.41 c | 4.18 ± 0.50 f |
| 3 | 0.5 | 0.2 | 31.67 ± 1.67 d | 2.10 ± 0.15 g |
| 4 | 1 | 0.05 | 76.67 ± 6.01 b | 9.88 ± 0.99 c |
| 5 | 1 | 0.1 | 96.67 ± 3.33 a | 16.03 ± 0.48 a |
| 6 | 1 | 0.2 | 88.33 ± 3.33 ab | 13.35 ± 0.46 b |
| 7 | 2 | 0.05 | 73.33 ± 4.41 b | 8.07 ± 0.27 de |
| 8 | 2 | 0.1 | 78.33 ± 7.26 b | 9.49 ± 0.75 cd |
| 9 | 2 | 0.2 | 86.67 ± 4.41 ab | 7.32± 0.26 e |
| Treatment | Plant Growth Regulators (mg/L) | Adventitious Shoot Elongation Percentage (%) | Average Shoot Length (cm) (Length ≥ 0.5 cm) | |
|---|---|---|---|---|
| BA | NAA | |||
| 1 | 0.1 | 0.01 | 78.69 ± 1.05 b | 2.81 ± 0.04 c |
| 2 | 0.1 | 0.03 | 65.41 ± 1.18 de | 1.56 ± 0.06 f |
| 3 | 0.1 | 0.05 | 54.65 ± 1.25 g | 0.96 ± 0.03 h |
| 4 | 0.3 | 0.01 | 90.6 ± 1.08 a | 3.11 ± 0.05 b |
| 5 | 0.3 | 0.03 | 92.15 ± 1.06 a | 3.87 ± 0.06 a |
| 6 | 0.3 | 0.05 | 60.18 ± 1.43 ef | 2.29 ± 0.03 d |
| 7 | 0.5 | 0.01 | 55.82 ± 1.19 fg | 2.05 ± 0.05 e |
| 8 | 0.5 | 0.03 | 71.38 ± 1.15 c | 1.96 ± 0.04 e |
| 9 | 0.5 | 0.05 | 67.20 ± 1.29 cd | 1.30 ± 0.04 g |
| Basal Medium Ingredients | WPM (mg/L) | Y3M (mg/L) |
|---|---|---|
| NH4Cl | / | 535 |
| NH4NO3 | 400 | / |
| KNO3 | / | 2020 |
| CaCl2 | 72.5 | 222 |
| Ca(NO3)2·4H2O | 556 | / |
| MgSO4·7H2O | 370 | 247 |
| KCl | / | 1492 |
| K2SO4 | 990 | / |
| KH2PO4 | 170 | 354 |
| KI | / | 8.3 |
| MnSO4·4H2O | 22.5 | 11.2 |
| ZnSO4·7H2O | 8.6 | 7.2 |
| H3BO3 | 6.2 | 3.1 |
| CuSO4·5H2O | 0.25 | 0.25 |
| Na2MoO4·2H2O | 0.25 | 0.24 |
| CoCl2·6H2O | / | 0.24 |
| NiCl2·6H2O | / | 0.024 |
| FeSO4·7H2O | 27.8 | 41.7 |
| C10H14N2Na2O8 | 37.3 | 55.8 |
| Nicotinic acid | 0.5 | 0.5 |
| Thiamine | 1 | 0.05 |
| Pyridoxine | 0.5 | 0.05 |
| Folic acid | / | 0.05 |
| Biotin | / | 0.05 |
| Glycine | 2 | 1 |
| Inositol | 100 | / |
Disclaimer/Publisher’s Note: The statements, opinions and data contained in all publications are solely those of the individual author(s) and contributor(s) and not of MDPI and/or the editor(s). MDPI and/or the editor(s) disclaim responsibility for any injury to people or property resulting from any ideas, methods, instructions or products referred to in the content. |
© 2024 by the authors. Licensee MDPI, Basel, Switzerland. This article is an open access article distributed under the terms and conditions of the Creative Commons Attribution (CC BY) license (https://creativecommons.org/licenses/by/4.0/).
Share and Cite
Zheng, K.; Yao, L.; Xie, Y.; Yu, S.; Hu, Y.; Zhu, M. An Efficient In Vitro Regeneration Protocol and the Feature of Root Induction with Phloroglucinol in Paeonia ostii. Plants 2024, 13, 3200. https://doi.org/10.3390/plants13223200
Zheng K, Yao L, Xie Y, Yu S, Hu Y, Zhu M. An Efficient In Vitro Regeneration Protocol and the Feature of Root Induction with Phloroglucinol in Paeonia ostii. Plants. 2024; 13(22):3200. https://doi.org/10.3390/plants13223200
Chicago/Turabian StyleZheng, Keyuan, Luming Yao, Yumei Xie, Shuiyan Yu, Yonghong Hu, and Mulan Zhu. 2024. "An Efficient In Vitro Regeneration Protocol and the Feature of Root Induction with Phloroglucinol in Paeonia ostii" Plants 13, no. 22: 3200. https://doi.org/10.3390/plants13223200
APA StyleZheng, K., Yao, L., Xie, Y., Yu, S., Hu, Y., & Zhu, M. (2024). An Efficient In Vitro Regeneration Protocol and the Feature of Root Induction with Phloroglucinol in Paeonia ostii. Plants, 13(22), 3200. https://doi.org/10.3390/plants13223200

