Next Article in Journal
From Waste to Worth: Using Fermented Orange Pomace in Sustainable Feed Production
Next Article in Special Issue
Effect of LED Irradiation with Different Red-to-Blue Light Ratios on Growth and Functional Compound Accumulations in Spinach (Spinacia oleracea L.) Accessions and Wild Relatives
Previous Article in Journal
Effects of Complete Submergence on Growth, Survival and Recovery Growth of Alisma orientale (Samuel.) Juz.
Previous Article in Special Issue
Salicylic Acid Priming Improves Cotton Seedling Heat Tolerance through Photosynthetic Pigment Preservation, Enhanced Antioxidant Activity, and Osmoprotectant Levels
 
 
Font Type:
Arial Georgia Verdana
Font Size:
Aa Aa Aa
Line Spacing:
Column Width:
Background:
Article

Cyanobacterial Cultures, Cell Extracts, and Individual Toxins Decrease Photosynthesis in the Terrestrial Plants Lactuca sativa and Zea mays

1
Department of Environmental Sciences, University of Toledo, Toledo, OH 43606, USA
2
Ottawa Hills High School, Ottawa Hills, OH 43606, USA
3
Sylvania High School, Sylvania, OH 43560, USA
4
Agricultural Research Service, United States Department of Agriculture, Toledo, OH 43606, USA
*
Author to whom correspondence should be addressed.
Plants 2024, 13(22), 3190; https://doi.org/10.3390/plants13223190
Submission received: 8 August 2024 / Revised: 30 September 2024 / Accepted: 8 November 2024 / Published: 13 November 2024
(This article belongs to the Special Issue Advances in Plant Photobiology)

Abstract

Cyanobacterial harmful algal blooms (cHABs) are increasing due to eutrophication and climate change, as is irrigation of crops with freshwater contaminated with cHAB toxins. A few studies, mostly in aquatic protists and plants, have investigated the effects of cHAB toxins or cell extracts on various aspects of photosynthesis, with variable effects reported (negative to neutral to positive). We examined the effects of cyanobacterial live cultures and cell extracts (Microcystis aeruginosa or Anabaena flos-aquae) and individual cHAB toxins (anatoxin-a, ANA; beta-methyl-amino-L-alanine, BMAA; lipopolysaccharide, LPS; microcystin-LR, MC-LR) on photosynthesis in intact plants and leaf pieces in corn (Zea mays) and lettuce (Lactuca sativa). In intact plants grown in soil or hydroponically, overall net photosynthesis (Pn), but not Photosystem-II (PSII) electron-transport yield (ΦPSII), decreased when roots were exposed to cyanobacterial culture (whether with intact cells, cells removed, or cells lysed and removed) or individual toxins in solution (especially ANA, which also decreased rubisco activity); cyanobacterial culture also decreased leaf chlorophyll concentration. In contrast, ΦPSII decreased in leaf tissue vacuum-infiltrated with cyanobacterial culture or the individual toxins, LPS and MC-LR, though only in illuminated (vs. dark-adapted) leaves, and none of the toxins caused significant decreases in in vitro photosynthesis in thylakoids. Principal component analysis indicated unique overall effects of cyanobacterial culture and each toxin on photosynthesis. Hence, while cHAB toxins consistently impacted plant photosynthesis at ecologically relevant concentrations, the effects varied depending on the toxins and the mode of exposure.

1. Introduction

Climate change and eutrophication are increasing the frequency and severity of toxin-producing cyanobacterial harmful algal blooms (cHABs) in freshwater systems [1,2]. As a result, many surface and ground-water sources may contain, or even accumulate, cyanobacterial toxins [3,4,5]. Chronic and acute exposure to these toxins pose a significant health risk to humans and other animals, as they may lead to illness or death [6,7,8]. Contaminated food sources may present a significant and growing source of toxin exposure [4,9]. Agricultural plants can accumulate cyanobacterial toxins after irrigation with contaminated water or fertilization with cyanobacteria-based bio-fertilizers, resulting in crop contamination that can exceed safety thresholds for daily tolerable intake (e.g., the World Health Organization’s adult daily tolerable intake for microcystin-LR of 0.04 µg/kg bodyweight); cyanobacterial toxins can also decrease crop productivity [9,10,11,12,13,14].
Cyanobacteria that cause freshwater HABs, such as Microcystis and Anabaena (also known as Dolichospermum) species, often produce an array of toxins, including microcystins (MCs), anatoxin-a (ANA), β-methyl-amino-L-alanine (BMAA), and lipopolysaccharides (LPSs) [4]. These four toxins, which are among the most common in freshwater systems, are known to have different modes of action and toxicity in animals and plants [4,9,15,16,17]. Because cHAB water or cyanobacterial extracts contain multiple toxins, the effects of cHAB-contaminated water or cyanobacterial extracts on plants will likely be complex and more severe compared to the effects of individual toxins (e.g., [18]). Most studies to date examining the effects of cyanobacterial toxins on plants have either treated plants with cyanobacterial extracts or individual toxins, so our understanding of the comparative effects of different toxins or cyanobacterial extracts vs. individual toxins is lacking [4,9,16].
The most common and well-studied cyanobacterial toxins are the microcystins, especially MC-LR. These cyclic heptapeptides are composed of five non-protein (or non-canonical) amino acids and 3-amino-9-methoxy-2,6,8-trimethyl-10-phenyl-4,6-decadienoic acid (ADDA), with hundreds of congeners, resulting from substitutions in the second and fourth positions of the peptide, which vary in toxicity [16,19]. MCs inhibit eukaryotic protein phosphatases 1 (PP1) and 2A (PP2A) [20], which regulate a wide array of cell functions, including in plants [21]. Hence, MCs have wide-ranging negative effects on cells, including causing hyper-phosphorylation of cellular proteins and the generation of reactive oxygen species (ROS), DNA damage, and cell death [4,13]. Many studies have investigated the effects of microcystins on plant growth and function, although few have examined the effects on photosynthesis, with the effects of microcystins ranging from positive to neutral to negative depending on the species, the growth stage, the MC congener, the quantity of the toxin, etc. (reviewed in [4,9,13,16]).
Anatoxin-a (ANA) is a neurotoxic bicyclic amine alkaloid that acts by binding to nicotinic and muscarinic acetylcholine receptors in animals, where it mimics the neurotransmitter acetylcholine [22]. Non-neuronal acetylcholine is present in plant cells, where it may interact with many cellular processes [23]. In plants, nicotinic and muscarinic receptor antagonists, in general, have been shown to reduce cell size, alter cell structure, and affect water uptake [24]. The effects of ANA specifically on plants have rarely been investigated [4,22], but it is known to negatively impact growth and function (e.g., [25,26,27]).
The non-canonical amino acid, BMAA, can interfere with mammalian glutamate receptors [15,17]. BMAA may also be incorporated into proteins during protein synthesis, causing proteins to function improperly; it can induce oxidative stress, and it can likely disrupt N metabolism by interfering with ammonium assimilation [15,17]. BMAA has been shown to bioaccumulate in plants, either in free or protein-associated forms [17,28,29,30]. The effects of BMAA on plant function have rarely been examined [4]. It is likely that BMAA interferes with glutamate receptors in plant cells, but it is difficult to predict how this might affect them, as there are many types and roles of glutamate receptors in plants [17]. One study suggests that BMAA may increase oxidative stress in the aquatic plant, Ceratophyllum demersum, via inhibition of oxidative stress enzymes, leading to ROS buildup [31], and another study found that BMAA decreased the growth of Medicago sativa seedings at extreme concentrations [32]. On the other hand, it has been hypothesized (but not proven) that BMAA may play a role in the protection of photosynthesis during stress in cyanobacteria [33], but this has not been examined in plants.
Lipopolysaccharides (LPSs) are bacterial endotoxins that comprise a lipid A moiety, a core oligosaccharide, and an O-antigen, and they are found in the cell wall of Gram-negative bacteria, including cyanobacteria. Although the LPS lipid and oligosaccharide components are highly conserved, the O-antigen varies among species, which can affect toxicity. Interestingly, Bernardova et al. found that LPSs from cyanobacteria are similar in toxicity to LPSs from heterotrophic bacteria and that LPSs from cHABs can be more toxic due to the presence of multiple species [34]. In plants, LPSs are detected as a microbe-associated molecular pattern by cells and triggers the release of ROS, elevated intracellular Ca2+, and increased expression of kinase-mediated pathways that strengthen defense and resistance to microbial pathogens (e.g., [35,36,37]). Plant perceptions of and reactions to LPSs vary among plant groups and depend on what LPS species is detected [38,39]. Numerous downstream effects of LPSs on of kinase signaling could impact plant function, including photosynthesis, but data on the effects of LPSs on photosynthesis are rare.
Only a small number of studies have examined the effects of cyanobacterial extracts or individual toxins on photosynthesis in general and in plants in particular [4,9,16]. Past studies have examined cHAB toxin effects (mostly microcystins or whole-cell extracts) on various aspects of photosynthesis in organisms ranging from cyanobacteria (e.g., [40]) to photosynthetic protists (e.g., [18,41,42]), aquatic plants (e.g., [25,26,27,43]), and terrestrial plants (e.g., [44,45,46,47]). Most past studies have examined toxin effects only on chlorophyll concentration or Photosystem-II (PSII) function, which do not necessarily reflect the effects on net photosynthesis, and only a few studies have measured the overall net photosynthesis rate (as net CO2 uptake or O2 evolution) [25,43,44,45,47]. Excluding Chen et al. [43], who examined the effects of MC-LR on rubisco activity, we are aware of no studies that have examined the effects of cHAB toxin effects on CO2-fixation reactions in photosynthesis. The effects of cHAB toxins on photosynthesis are often dose- or time-dependent (e.g., [26,27,43]), and they can vary among species within a study (e.g., [41]), the parameters measured (e.g., [chl] vs. PSII [40]), and whole-cell extracts vs. pure toxins (e.g., [18,41]). In some past studies, the concentrations of toxins used were so extremely low or high that they rendered the results of limited usefulness, e.g., positive effects on photosynthesis at up to 1 ng/L MC [41] or negative effects of MC at 2220–100,000 μg/L [27,44,46]. In plants, cHAB toxin effects on photosynthesis are often attributed to indirect damage from ROS (e.g., [26,36,45]) or manifest after several days (e.g., [27,46]), so it is not clear if the cHAB toxins can affect plant photosynthesis directly.
To gain a clearer understanding of the impact of cHAB toxins on plant photosynthesis, we conducted multiple experiments to determine if four common cHAB toxins affect various aspects of photosynthesis (including net photosynthesis, stomatal conductance, PSII of the light reactions, rubisco activity of the CO2-fixation reactions, and chlorophyll concentration). Two different species (corn, lettuce) were treated with live cultures, cell extracts, and/or individual pure toxins at ecologically or physiologically relevant concentrations (ANA, BMAA, LPS, MC-LR) either via uptake by the roots in soil or hydroponically grown plants or via direct application to the leaves. To our knowledge, this is the first study to examine the effects of multiple cHAB toxins and cyanobacterial cells or extracts on both light and CO2-fixation reactions in plants exposed to toxins through the roots vs. the leaves.

2. Materials and Methods

2.1. Plant Growth

Corn (Zea mays L. cv ‘Bicolor Sh2’), lettuce (Lactuca sativa L. cv ‘Casey’), and tomato (Solanum lycopersicum L. cv ‘Early Girl’) (Johnny’s Select Seeds, Winslow, ME, USA) were grown from seed in a greenhouse. Greenhouse temperatures ranged from ca. 20–22 °C (night-time low) to ca. 28–32 °C (day-time high) for lettuce and tomato grown in late fall to early spring and from ca. 22–26 °C (night-time low) to ca. 32–38 °C (day-time high) for corn grown in mid spring to late summer. The greenhouse photoperiod was set to 15 h using high-output lamps providing ca. 125 μmol m−2 s−1 PAR (photosynthetically active radiation) to extend the photoperiod when needed. Otherwise, most greenhouse light was provided by ambient solar radiation, up to ca. 1600 μmol m−2 s−1 PAR at midday.
Corn was grown in topsoil in drainable plastic pots (10.5-cm wide × 10.5-cm wide × 13.5-cm tall). Lettuce and tomato were grown in 5 cm deep drainable plastic flats filled with calcite clay and peat (1:3, v:v). Corn plants were watered as needed and fertilized twice weekly with complete nutrient solution [5 mM KNO3, 0.5 mM NH4Cl, 2 mM KH2PO4, 2 mM CaCl2, 1 mM MgCl, 1 mM K2SO4, 50 µM Fe (as FeSO4 + FeCl3, or as Fe-EDTA), 50 µM H3BO3, 10 µM MnCl2, 2.0 µM CuSO4, 2.0 µM ZnSO4, 0.1 µM NaMoO4, and 1 mM MES buffer (pH 6.2 ± 0.2) in RO water]. Lettuce and tomato plants were watered and fertilized similarly [as above but with 4.5 mM KNO3, 0.5 mM NH4NO3, 1 mM urea, 1 mM MgSO4]. Corn was used in experiments after it reached the V2 or V3 stages (2 or 3 expanded green leaves), lettuce when it reached ca. 6–10 g fresh mass, and tomato when it had 3 to 5 expanded adult leaves.
For hydroponic experiments, plants were grown as above until the experiment, at which time their roots were rinsed with tap water and they were transferred to glass jars containing nutrient solution. Jars had lids with small holes though which plants were suspended with roots submerged in nutrient solutions, and jars were wrapped in opaque tape to prevent algal growth on roots during the experiment. Hydroponic experiments were conducted in the lab (ca. 22 °C and 15–25% RH) in chemical fume-hoods to prevent human exposure to toxins, and hydroponic solutions were not aerated to prevent airborne release of toxins. Plants were illuminated in the fume-hoods with a high-intensity LED grow lamp (model Pheno 440, Phantom LED, Shoemakersville, PA, USA) providing 700–800 μmol m−2 s−1 PAR and set to a 14 h photoperiod. Plants were given 7–10 days to acclimate to the lab prior to starting the experiments. During multi-day experiments, plants were rotated ca. daily to avoid position effects. Because corn did not grow well in unaerated hydroponics, we used lettuce in such experiments lasting more than 24 h.

2.2. Cyanobacterial Growth

Microcystis aeruginosa (strains LB 2385 + LB 3037, UTEX Culture Collection, utex.org, Austin, TX, USA) was either grown in the greenhouse (experiments 1 and 2, Table 1) or in the lab (experiment 4). Anabaena flos-aquae (strain 2557, UTEX, or 15170, Carolina Biological, Burlington, NC, USA) was grown in the lab. “Greenhouse” M. aeruginosa was grown in 20 L white polypropylene carboys (ca. 40% PAR transmittance), while lab-grown cultures of both species were grown in glass flasks in a sterile hood at 22–23 °C with natural light provided by a nearby window plus light from a fluorescent bulb set to a 14 h photoperiod (yielding up to 35–50 μmol m−2 s−1 PAR). Except for experiment 3 below, cultures were grown in nutrient solution containing 1 mM KNO3, 0.1 mM NH4Cl, 0.1 mM KH2PO4, 250 μM CaCl2, 125 μM MgCl, 125 μM K2SO4, 10 µM FeSO4, 50 µM H3BO3, 10 µM MnCl2, 2.0 µM CuSO4, 2.0 µM ZnSO4, 0.1 µM NaMoO4, and 1 mM HEPES buffer (pH 7.3 ± 0.2) in RO water. For experiment 3 below, cyanobacteria were grown in river water (Ottawa River, University of Toledo, Toledo, OH, USA), filtered as below, to which was added 0.08 g commercial plant food (Miracle-Gro water-soluble plant food for vegetables and herbs; Marysville, OH, USA; yielding pH 7.75 ± 0.1 and 1 mM N). Cyanobacterial cultures were continuously aerated using aquarium pumps and tubing. Cyanobacterial cultures were used in experiments when the chlorophyll (chl) concentration reached 0.04–0.10 absorbance units measured at 665 nm with a spectrophotometer (=0.56–1.4 μg/mL chl), which would represent a severe cyanobacterial bloom in coastal water [48]. To obtain cell-free culture, cells were removed by filtering through a 0.45 μm filter (model GF/F, Whatman, China). To obtain a lysed-cell and cell-free culture (containing whole-cell extracts), cells were first removed from cyanobacterial culture, and then the filters with collected cells were frozen at −70 °C. Filters were then shaken in a closed glass jar until the filters disintegrated either in deionized water or in a small volume of ethanol (25 mL per 1500 mL starting culture) followed by deionized water (100 mL) plus Tween-20 non-ionic detergent (3 drops per 1500 mL starting culture). The lysed-cell extract was then filtered as above, and this filtrate was added to the original cell-free filtrate. For the soil experiments, cyanobacterial cultures (whole-cell, cells removed, and cells lysed and removed) were adjusted to match the control nutrient solution for pH; for hydroponics and leaf-disc experiments, lysed and cell-free extract was adjusted to match the control nutrient solution for pH, NO3, and NH4.

2.3. Soil-Grown Corn Treated with Cyanobacterial Culture for 10–14 d

For corn plants in soil (V2 or V3 stage), experiments were conducted in the greenhouse, during which roots were watered every three days (starting with day 0) with 300 mL cyanobacterial nutrient solution (controls) or cyanobacterial culture applied to the soil (experiment 1: M. aeruginosa, whole-cell culture; experiment 2: M. aeruginosa, whole-cell vs. cells removed; experiment 3: A. flos-aquae cells lysed and removed; Table 1). At the end of experiments 1 and 3, plants were harvested, separated into roots and shoots, and weighed to obtain fresh and/or dry mass (the latter after drying for 48 h at 70 °C).

2.4. Corn and Lettuce Leaves Treated with Cyanobacterial Culture or Toxins for 1–3 h

Recently expanded leaves of lettuce and corn were used for the experiments. Lettuce leaves were sampled using a circular cutter (3 cm diameter) to create uniform discs, while rectangular sections (ca. 1 × 3 cm) cut with scissors from the middle of corn leaves were used. Leaf pieces were submerged in treatment solutions containing 0.01% Tween detergent, and then leaf tissue was vacuum-infiltrated (at no more than 30 cm Hg) in a chamber for ca. 10 min until leaves were fully infiltrated (determined by color change of leaves). Infiltrated discs were then placed on top of a thin layer of treatment solution in clear plastic Petri dishes with lids, either uncovered (light-adapted) or covered with aluminum foil (dark-adapted). Because lettuce was more amenable to vacuum-infiltration, we used lettuce in most of the infiltration experiments.
For corn and lettuce treated with cyanobacterial culture (experiment 5), leaf tissue was infiltrated with cyanobacterial nutrient solution (controls) or M. aeruginosa or A. flos-aquae culture (cells lysed and removed; two separate batches of each species for lettuce). Light-adapted leaf discs were incubated for 1 or 3 h, either under 750 ± 25 µmol m−2 s−1 PAR or in the dark, after which Photosystem-II (PSII) function was measured (see below).
For lettuce treated with individual pure toxins (experiment 7), leaf tissue from greenhouse-grown plants was infiltrated with deionized water (controls) or toxins in deionized water (1 μM ANA, BMAA, MC or 50 µg mL−1 LPS) (experiment 7) [ANA/BMAA/MC-LR (products 14609/2387/10007188) from Cayman Chemical, Ann Arbor, MI, USA; LPS from E. coli (product L2630) from Sigma-Aldrich, St. Louis, MO, USA]. These ANA, BMAA, and MC-LR concentrations are towards the high end of levels found during naturally occurring HABs [4,22,33], while the LPS concentration was based on previous studies documenting plant sensitivity to the toxin [36,38,39]. Leaves were incubated under 450 µmol m−2 s−1 PAR or in the dark for 2 h. After incubation, PSII function was measured as below. To further understand the effects of toxin concentration and light dependency on PSII in lettuce leaf discs, an additional experiment was conducted in a similar fashion to the one described above. In this second experiment, leaf discs were infiltrated with either deionized water (controls), 1 µM MC-LR, 10 µM MC-LR, 50 µg mL−1 LPS, or 250 µg mL−1 LPS. Light-adapted leaf discs were incubated for 3 h, either under 750 ± 25 µmol m−2 s−1 PAR or in the dark, after which PSII function was measured.

2.5. Hydroponic Plants Treated with Cyanobacterial Culture or Individual Toxins

For corn in hydroponics, plants were grown as above to the V2 stage and then transplanted into 500 mL glass jars filled with 475 mL unaerated nutrient solution for seven days to acclimate (experiment 4). Just before initiating the treatments, the plants were transferred to fresh solutions containing either nutrient solution without toxin (controls) or lysed-cell cell-free culture of M. aeruginosa or A. flos-aquae. After 24 h of treatment, photosynthetic measurements were made on leaves of intact plants (as below).
For lettuce in hydroponics, plants were grown as above to the 4-leaf stage and then transplanted into 250 mL glass jars filled with 225 mL unaerated nutrient solution and allowed seven days to acclimate (experiment 6). Just before initiating the treatments, the initial fresh weights of the plants were obtained. Plants were then transferred to fresh solutions containing either nutrient solution without toxin (controls) or with ANA (0.5 µM), BMAA (0.5 µM), LPS (25 µg mL−1), or MC-LR (0.5 µM). Solution levels in jars were maintained daily by refilling with deionized water. After seven days, photosynthetic measurements were made on leaves of intact plants (as below), and then plants were harvested to obtain the final fresh mass and calculate plant growth during the experiment (final mass minus initial mass = ΔFW). Because this experiment was conducted in a chemical fume-hood for safety, this limited the number of replicates per treatment, thereby limiting the statistical power; consequently, this entire experiment (minus the cyanobacterial extract treatment) was repeated, as discussed below.

2.6. Photosynthetic Measurements

The yield of light-adapted Photosystem-II (PSII) electron transport (ΦPSII) was measured on intact plants in the fume-hoods using a portable chlorophyll fluorometer (model OS1-FL, Opti-Sciences, Hudson, NH, USA). For leaf pieces, light-adapted ΦPSII and dark-adapted (>30 min) maximum PSII efficiency (Fv/Fm) was measured with a pulse-modulated bench-top chlorophyll fluorometer (model 101/103, Walz, Germany) and a flash lamp (model KL1500 LCD, Schott, Germany; 2-s flash at ca. 6000 μmol m−2 s−1 PAR). Leaf relative chlorophyll concentration [chl] was measured using a portable SPAD meter (model SPAD-502 Plus, Konica Minolta, Tokyo, Japan). Leaf gas-exchange measurements were made with a portable infra-red gas-analyzer (IRGA)-based system with a 2 × 3-cm cuvette with red/blue LED light (model LI-6400, LiCor, Lincoln, NE, USA). Net photosynthesis (Pn = net CO2 uptake), stomatal conductance to water vapor (Gs), and internal CO2 concentration (Ci) measurements were made on intact plants at 400 ppm CO2 (excluding Pn–Ci curves discussed below), 1000 μmol m−2 s−1 PAR, and 25 or 28 °C air temperature (for lettuce and corn, respectively). For single measurements at 400 ppm CO2, data were collected within ca. 1 min of inserting leaves into the cuvette (immediately after readings stabilized). All photosynthetic measurements were made between 11 am and 3 pm on the middle of the most recently expanded leaf (corn) or on the outer half of a recently fully expanded leaf (lettuce); all measurements except for Fv/Fm were made on leaves receiving steady-state illumination (the actinic light level for ΦPSII measurements)
In vivo rubisco carboxylation activity was determined using the “A-Ci” technique [49]. Briefly, Pn and Ci were measured repeatedly on individual intact lettuce plants at each of the following CO2 concentrations: 400, 250, 200, 150, and 100 ppm. The light level and the temperature were 1000 μmol m−2 s−1 PAR and 25 °C, respectively. Results for each plant were graphed individually, with Pn on the Y-axis and Ci on the X-axis. The initial linear slope of the Pn–Ci relationship, a measure of in vivo rubisco activity in C3 plants, was determined for 100–250 ppm CO2 (r2 > 0.98 for all curves). Data were collected after readings stabilized at each CO2 level (within 2–3 min).
As an additional method to test for direct effects of cyanobacterial toxins on photosynthesis, the effects of toxins on in vitro O2 evolution of thylakoid membranes were investigated (experiment 8). Partially intact thylakoids were isolated from tomato (Solanum lycopersicum L. ‘Celebrity’) leaves using a simplified version of the method described in [50]. Tomato was used because of its high concentration of chlorophyll and the ease with which chloroplasts are isolated from its leaves. Briefly, leaf tissue was homogenized in a blender with chloroplast buffer (350 mM sorbitol, 50 mM HEPES (pH 7.75), 5 mM EDTA (ethylene-diamine-tetra-acetic acid), 5 mM ascorbate, 2 mM dithiothreitol, and 2% polyvinylpyrrolidone), filtered through a cotton cloth, and centrifuged for 10 min at 500× g to remove intact cells and nuclei. The supernatant was layered onto 1M sucrose in 50 mM HEPES (pH 7.75) and then centrifuged in a swinging-bucket rotor for 10 min at 5000× g. The resulting crude chloroplast pellet was resuspended in 100 mM sucrose (resulting in hypotonic lysis, producing a thylakoid preparation) and frozen at −80 °C until further use. Isolated thylakoids were resuspended to 25 µg chlorophyll per mL in thylakoid resuspension buffer (4 mM magnesium chloride, 4 mM sodium chloride, 50 mM HEPES, and 0.01% Triton, pH 7.75). Thylakoid preparations were dispensed into 50 mL plastic “Falcon” tubes (5 replicate tubes per treatment), to which was added one of four toxins (ANA, BMAA, LPS, or MC-LR) to a final concentration of 1 µM toxin (ANA, BMAA, MC-LR) or 50 µg mL−1 (LPS); deionized water was added to the control group. Potassium ferricyanide (K3Fe(CN)6) was added to 4 mM to each tube as an artificial electron acceptor. After 15 min under 130–140 µmol m−2 s−1 PAR, the dissolved O2 concentration was measured using a portable galvanic-type O2-electrode meter (model HI 9142, Hannah Instruments, Woonsocket, RI, USA). After 25 min, another dissolved O2 reading was taken, from which the rate of O2 evolution was calculated.

2.7. Statistical Analysis

All statistics were computed in R version 4.3.2 [51]. Comparisons of means were analyzed with t-test (for two comparisons) or ANOVA (for more than two comparisons); unless otherwise stated, n = 4–6, depending on the experiment. Homogeneity of variance and normality distributions were assessed with Levene and Shapiro–Wilk tests, respectively. If variance was unequal between groups, a Welch’s corrected t-test or ANOVA was performed instead (noted in the results). Fisher’s LSD post hoc tests were performed for ANOVAs with a p-value ≤ 0.05. For Welch’s corrected ANOVA, selected t-tests were used to evaluate biologically significant differences among means. Multivariate comparisons were visualized for lettuce grown hydroponically in toxins or cyanobacterial extracts using principal component analysis (PCA). Individual plant replicates were plotted on two orthogonal principal component axes. PSII yield (ΦPSII) was excluded from the response variables used for PCA because it limited replicate inclusion and there were not biologically or statistically significant differences in ΦPSII among treatments. All other measured response variables were included and plotted as vectors indicating the direction and magnitude of their effects on multivariate differences among individuals. Treatment groups are indicated with hull polygons for clarity.

3. Results

3.1. Cyanobacterial Culture Effects on Plant Photosynthesis

Cyanobacterial culture treatment of soil-grown corn for 10–14 d: When roots of corn plants grown in soil were watered every 3 days for 14 days with M. aeruginosa culture (whole cells in nutrient solution), the plant biomass, shoot-to-root mass ratio, and leaf [chl] were reduced compared to control plants watered with only nutrient solution, while ΦPSII was not affected (Figure 1). Similar results were obtained in a follow-up experiment wherein for soil-grown corn plants that were watered with either whole-cell or cell-free M. aeruginosa culture, leaf [chl], but not ΦPSII, was reduced compared to control plants after 14 days (Figure 2). In a third experiment with soil-grown corn watered with A. flos-aquae culture (cells lysed and removed), Pn and Gs decreased and Ci increased within 3 days compared to the controls, while leaf [chl] did not decrease until day 6, and ΦPSII did not change within 10 days (Figure 3). Decreases in Pn, Gs, and leaf [chl] became progressively larger over the course of the experiment, and they were accompanied by increases in Ci relative to the controls, indicating that decreases in Pn were not driven by decreases in Gs. Biomass was also reduced by the cyanobacteria treatment (Figure 3, inset; total plant fresh mass (g), means ± 1 S.E.: controls = 0.44 ± 0.48, + cyanobacteria = 0.35 ± 0.010).
Cyanobacterial culture treatment of hydroponic corn treated for 24 h: When roots of young corn plants were submerged for 24 h in either M. aeruginosa or A. flos-aquae culture (cells lysed and removed), Pn and Gs decreased in A. flos-aquae-treated plants, while Ci increased (non-significantly for Gs and Ci); Pn, Gs, and Ci were not affected in M. aeruginosa-treated plants within this time frame (Figure 4). Neither ΦPSII nor leaf [chl] were affected by either cyanobacterial culture within 24 h.
Cyanobacterial culture treatment of infiltrated corn and lettuce leaves for 1–3 h: When leaf discs of corn and lettuce were vacuum-infiltrated with either M. aeruginosa or A. flos-aquae culture (cells lysed and removed), ΦPSII was reduced compared to controls within 3 h in corn treated with A. flos-aquae but not with M. aeruginosa (Figure 5). In lettuce, ΦPSII was reduced compared to controls within 1 h in both M. aeruginosa and A. flos-aquae treated plants.

3.2. Individual Toxin Effects on Plant Photosynthesis

Individual toxin (and cyanobacterial-culture) treatments of hydroponic lettuce for 10 d: When roots of young lettuce plants were submerged for 10 days in either A. flos-aquae culture (cells lysed and removed) or individual pure toxins (ANA, BMAA, LPS, or MC-LR), Pn was reduced compared to the controls (the decreases were significant only with cyanobacterial culture and anatoxin, wherein Pn decreased by 41%) (Figure 6). Large but non-significant decreases in Gs were observed with anatoxin and MC-LR, and Gs increased non-significantly with BMAA. Small non-significant changes in Ci were observed for anatoxin (decrease) and BMAA (increase); otherwise, there were no meaningful differences between treatments and controls. None of the treatments had significant effects on ΦPSII, leaf [chl], or growth (increase in fresh mass, ΔFM), though non-significant decreases in leaf [chl] were observed with cyanobacterial culture and anatoxin, and non-significant increases in growth were observed with BMAA and LPS. Because the number of replicates per treatment (and hence the power) was constrained in this experiment by logistics, we then included all of the response parameters in a clustering analysis (PCA) and found that all treatments except LPS caused divergence from the controls, especially cyanobacterial culture, anatoxin, and MC-LR, while the two-dimensional space for LPS expanded compared to the controls (Figure 7).
The above experiment was then independently replicated (minus the cyanobacterial-extract treatment) to investigate the effects of individual toxins on in vivo rubisco activity, an indication of toxin effects on CO2-fixation reactions, and to confirm the general effects of toxins on Pn, Gs, and Ci. In this second experiment, ANA reduced rubisco activity by 19.5%, while BMAA and LPS caused smaller (non-significant) reductions, and MC-LR caused no reduction (Figure 8). As in the first experiment, in the repeat experiment, Pn measured at 400 μmol/mol CO2 was reduced the most by ANA (35%), with smaller (non-significant) reductions for BMAA, LPS, and MC-LR; no significant effects of toxins on Gs and Ci were observed (Supplemental Table S1). To confirm the above effects of ANA on rubisco activity, we then measured the effects of ANA vs. the control on rubisco activity in another (third) independent experiment and found that ANA reduced rubisco activity by 17%.
Individual toxin treatment of infiltrated lettuce leaves infiltrated for 2–3 h: When leaf discs of lettuce were vacuum-infiltrated with individual pure toxins, neither dark-adapted Fv/Fm (maximum PSII efficiency) nor light-adapted ΦPSII (PSII yield) was significantly affected after 2 h, although the values for LPS and MC-LR were lowest among all treatments (Figure 9). In a follow-up experiment, when leaves were vacuum-infiltrated with LPS or MC-LR at a higher concentration, ΦPSII decreased after 3 h (significant for MC-LR), but Fv/Fm did not (Figure 10).
Individual toxin treatment of tomato chloroplast membranes for ca. 1 h: When chloroplast membranes were treated with individual pure toxins, none of the toxins significantly affected photosynthetic O2 evolution, although the BMAA was lower than all other treatments (Figure 11).

4. Discussion

A limited number of previous studies have reported variable effects (negative to neutral to positive) of cHAB cell-extracts or toxins on one or more aspects of photosynthesis in cyanobacteria, eukaryotic algae, and aquatic and terrestrial plants (e.g., [4,9,16]). However, because these studies often differed in study organisms, toxins, dosage, duration, mode of exposure, and the photosynthetic response variable measured, it is not clear which cHAB toxins affect photosynthesis and how. To clarify if and how cHAB toxins affect photosynthesis in terrestrial plants, we investigated short-term and longer-term effects of cHAB extracts from two different cHAB species and four individual toxins on multiple aspects of photosynthesis in two different plant species exposed to toxins through roots or leaves.
When corn plants were grown in soil and watered with cHAB culture or extract, plant growth (Figure 1 and Figure 3), leaf chlorophyll concentration (Figure 1, Figure 2 and Figure 3), and net (overall) photosynthesis (Pn, Figure 3) were reduced significantly, but the PSII yield (ΦPSII) was not affected (Figure 1, Figure 2 and Figure 3). The effects were observed with either M. aeruginosa or A. flos-aquae cyanobacteria and with whole-cell culture in nutrient solution, culture with cells removed, or culture with cells lysed and removed (the latter is functionally equivalent to cyanobacterial extract used in other studies). These cHAB-caused decreases in Pn were accompanied by decreases in stomatal conductance (Gs, an index of stomatal opening), but the increases in leaf internal CO2 concentration (Ci) indicate that declines in Pn were caused by damage to photosynthetic metabolism rather than stomatal closure. Because ΦPSII is determined by PSII efficiency and electron transport downstream from PSII [52], the lack of toxin effects on ΦPSII indicates that photosynthetic electron transport was not impacted in these experiments. Hence, the damage to photosynthesis was likely due to CO2-fixation (i.e., the Calvin Cycle) and/or due to the loss of chlorophyll. Because ΦPSII reflects the relative performance of existing PSII centers independent of their concentration in the leaf, and this did not decrease, then the loss of chlorophyll per unit leaf area indicates a reduction in the concentration of PSII per unit area, which would contribute to a decrease in Pn (confirmed in Figure 3). However, decreases in Pn occurred prior to decreases in leaf [chl], indicating that some of the decrease in Pn was attributable to damage to the Calvin Cycle (e.g., rubisco activity, Figure 8). Similarly to this study, a decrease in Pn (measured as O2 evolution after 42 d of exposure) was observed in soil-grown spinach (Spinacia oleracea) watered with cHAB extract derived from M. aeruginosa and Aphanizomenon flos-aquae containing 0.5 μg/L MC-LR [45]. In contrast, cHAB extract derived from M. aeruginosa containing up to 22,000 μg/L MC-LR decreased the maximum PSII efficiency (dark Fv/Fm; measured after 30 d) in sand-grown tomato [46], while an M. aeruginosa extract containing up to 10 μg/L MC-LR increased Pn (measured after 15 d) in lettuce grown in bark and vermiculite [47].
Importantly, our experiments with soil-grown plants could not determine if the effects of cHAB cultures or extracts on photosynthesis were direct primary or indirect secondary effects, as decreases in leaf [chl] or Pn were not observed until after three or more days of treatment. To investigate if cHAB extracts had short-term, and thus possibly direct, effects on photosynthesis, we examined the effects on photosynthesis in (1) hydroponic corn plants with roots immersed for only 24 h in cHAB extract, and (2) corn and lettuce leaf tissue vacuum-infiltrated with cHAB extract for only 1 or 3 h. In the hydroponic corn, Pn, Gs, and Ci all decreased within 24 h, and leaf [chl] and ΦPSII were unaffected (Figure 4). In the vacuum-infiltrated leaf tissue, light-adapted ΦPSII decreased, but dark-adapted Fv/Fm did not (Figure 5), indicating that damage to PSII was from photo-inhibition (light-dependent photo-oxidation). Interestingly, in these experiments, lettuce was sensitive to extracts from both M. aeruginosa and A. flos-aquae, while corn was sensitive to only A. flos-aquae extract. Rapid (≤1 h) effects of cHAB extracts on photosynthesis (i.e., ΦPSII) in some eukaryotic algae have also been observed [18,41]. Our results above indicate that some cHAB toxins can have rapid negative effects on photosynthesis in plants, but that the effects can differ depending on the mode of exposure (roots vs. leaves), which has relevance for the method used when irrigating crops with cHAB-contaminated water (e.g., drip vs. spray, as in [11]).
Because cHAB irrigation water, lab cultures, or cell extracts likely contain many toxins, including rarely measured toxic peptides besides MCs [19], any cHAB effects on photosynthesis cannot be attributed to any single toxin without additional investigation. Consequently, we then conducted several experiments wherein we treated plants with individual pure cHAB toxins. In hydroponic lettuce plants with roots exposed to cHAB extract or individual toxins for 10 d, Pn decreased (although not always significantly) in all treatments, especially cHAB (A. flos-aquae) extract and pure anatoxin-a (“Cyanobacteria” and “ANA” treatments in Figure 6 and Table S1). These decreases were not associated with damage to photosynthetic electron transport, except possibly in Cyanobacteria and MC-LR treatments (which had small non-significant decreases in ΦPSII) or due to loss of chlorophyll, except possibly in Cyanobacteria and ANA treatments (which had small non-significant decreases). The decreases in Pn were also not associated with stomatal closure, with the possible exception of ANA (Figure 6), BMAA, (Table S1), and MC-LR (Figure 6 and Table S1), as indicated by small non-significant decreases in Ci. Damage to the CO2-fixation reactions of photosynthesis was suggested by non-significant increases in Ci with Cyanobacteria and BMAA treatments (Figure 6), and by decreases in rubisco activity with ANA (and, to a lesser extent, BMAA and LPS) (Figure 8). Results from the two replicate experiments with hydroponic lettuce indicate that (1) cHAB extract and all four cHAB toxins negatively affected photosynthesis in some way; (2) neither cHAB extract nor any individual toxin had a single main lesion to photosynthesis; and (3) all five treatments (cHAB extract and four toxins) each affected photosynthesis in different ways. The latter conclusion was confirmed with a multi-variate statistical analysis (PCA), which showed that Cyanobacteria (extract), ANA, BMAA, MC-LR, and the control sorted almost completely independently of each other, and LPS overlapped with the control but had an expanded two-dimensional space (Figure 7). Our results are consistent with past studies, most of which observed negative effects of individual cHAB toxins on photosynthesis, e.g., MC-RR in cyanobacteria (decrease in chl a, phycocyanin; [40]); MC-LR, -RR, -YR, and -LF in various eukaryotic algae (decrease in ΦPSII; [18,41]); MC-LR in soybean (Glycine max) (decrease in Pn; [44]) and cat-tail (Typha angustifolia) (decreases in Pn, Gs, Ci, chl, in vitro rubisco activity; [43]); ANA in Lemna species (decrease in Pn, chl; [25,27]) and Ceratophyllum demersum (decrease in chl; [26]); and LPS in Arabidopsis thaliana (decrease in Fv/Fm; [36]).
As with our experiments with cHAB extract, we conducted experiments with individual cHAB toxins in which we vacuum-infiltrated leaf tissue to determine if any of the toxins had short-term effects on photosynthesis (i.e., ΦPSII). At relatively low concentrations of toxin (50 μg mL−1 LPS, 1 μM ANA/BMAA/MC-LR) and light (450 ± 25 µmol m−2 s−1 PAR), neither light-adapted ΦPSII nor dark-adapted Fv/Fm were significantly affected, although ΦPSII was lowest in LPS and MC-LR (Figure 9). To follow up, we then examined the effects of LPS and MC-LR at higher concentrations (250 μg mL−1 LPS, 10 μM MC-LR) and with brighter light (750 ± 25 µmol m−2 s−1 PAR), which resulted in larger decreases in ΦPSII but (still) no effects on Fv/Fm (Figure 10). Hence, as with cHAB extract, the negative effects of LPS and MC-LR on PSII were associated with photo-inhibitory damage to PSII, and this damage increased with the dosage. Similarly to this study, Perron et al. [18] found that MC caused little decrease in maximum PSII efficiency (equivalent to our Fv/Fm) in all four species of eukaryotic algae examined but large decreases in PSII yield (equivalent to our ΦPSII) and that damage to ΦPSII was dose-dependent. Also, as noted above, Shang-Guan et al. [36] found that LPS decreased PSII function, although, in their case, Fv/Fm.
Because neither cHAB extracts nor individual toxins affected the maximum PSII efficiency (dark-adapted Fv/Fm) and only affected the PSII yield (light-adapted ΦPSII), there was no indication of a direct immediate effect of cHAB toxins on photosynthesis in our experiments. To confirm this, we exposed isolated chloroplast thylakoids to individual toxins (ANA/BMAA/LPS/MC-LR), and none of the toxins decreased in vitro photosynthetic O2 evolution significantly (Figure 11). Therefore, our experiments indicated that the negative effects of cHAB toxins were not the consequence of direct immediate effects on photosynthetic metabolism but were rather due to indirect secondary effects, such as decreases in plant N status leading to decreases in the concentration of chlorophyll and other photosynthetic machinery, oxidative stress, such as photo-inhibition, and/or stomatal closure limiting CO2 uptake. As with cHAB extracts noted above, some past studies have found that individual cHAB toxins can have rapid (≤1 h) effects on photosynthesis. For example, both Perron et al. [18] and Garcia-Espin et al. [41] observed rapid effects of MC on ΦPSII in eukaryotic algae, and Abe et al. [27] and Kaminski et al. [44] observed such effects on Pn in soybean with MC and Lemna triscula with ANA, respectively. Hence, direct effects of cHAB toxins on photosynthetic machinery cannot be ruled out yet.
As we expected, in our experiments, there were indications that whole-cell cHAB culture or extract had more severe effects on photosynthesis than individual toxins. First, decreases in ΦPSII were greater for cHAB extract than for any individual toxin (Figure 5 vs. Figure 9 and Figure 10). Second, decreases in Pn were greatest for cHAB extract compared to all individual toxins except for ANA (which caused a similar decrease) (Figure 6). In contrast, Perron et al. [18] found similar decreases in the green alga, Chlorella vulgaris, in ΦPSII for pure MC-LR and an amount of M. aeruginosa extract containing an equal concentration of MC-LR (and no significant levels of other MCs). Garcia-Espin et al. [41] also found that decreases in ΦPSII were greater for two different cHAB extracts than for pure MC-LR in the four eukaryotic algae species examined.
In general, the two species examined in our study, corn and lettuce, showed similar photosynthetic responses to cHAB toxins, with some exceptions. In hydroponic plants of both species, cHAB extract from A. flos-aquae decreased Pn significantly, with smaller or no effects on ΦPSII (Figure 4 vs. Figure 6), and it decreased ΦPSII significantly in vacuum-infiltrated leaf tissue (Figure 5). However, as noted above, ΦPSII in lettuce was more sensitive than in corn to cHAB extract from M. aeruginosa (Figure 5). It should also be noted that growth in soil-grown corn was very sensitive to cHAB extract (Figure 1 and Figure 3) but was unaffected in hydroponic lettuce, despite similar decreases in Pn (Figure 3 vs. Figure 6). Both Perron et al. [18] and Garcia-Espin et al. [41] found that sensitivity of ΦPSII to cHAB toxins varied among species of eukaryotic algae, and Pflugmacher et al. [45] found variation among spinach varieties as far as sensitivity of Pn to cHAB extract.

5. Conclusions

Research to date has yielded conflicting results regarding the effects of cyanobacterial toxins on photosynthesis. We investigated short- to longer-term effects of cyanobacterial cultures/extracts and four individual toxins (anatoxin-a, beta-methyl-L-amino alanine, lipopolysaccharides, microcystin-LR) on multiple aspects of photosynthesis in two species of terrestrial plants (corn/Zea mays, lettuce/Lactuca sativa) exposed to toxins through roots or leaves. We found that at ecologically relevant concentrations, (1) cyanobacterial culture/extract and all four toxins negatively affected photosynthesis, although in different ways; (2) neither cyanobacterial culture/extract nor any individual toxin had a single main lesion to photosynthesis; (3) the mode of toxin exposure mattered, as the exposure of roots to toxins decreased photosynthetic CO2-fixation (i.e., the Calvin Cycle) and/or chlorophyll concentration but not photosynthetic electron transport (Pet), while direct treatment of leaves reduced Pet in a light-dependent manner (photo-inhibition); and (4) in general, photosynthesis in corn and lettuce responded similarly to cyanobacterial cultures and toxins. These results improve our understanding of the negative effects of cyano-toxins on plants, which has implications for both growers and consumers of crops irrigated with cHAB water.

Supplementary Materials

The supporting information (Table S1) can be downloaded at: https://www.mdpi.com/article/10.3390/plants13223190/s1. Table S1: Results from Experiment 6b-Effects of pure toxins on leaf-level photosynthesis (Pn; μmol CO2 m−2 s−1), stomatal conductance (Gs; mmol m−2 s−1), and internal [CO2] (mol/mol) in hydroponic lettuce (Lactuca sativa) plants after 10 days.

Author Contributions

Conceptualization and methodology, S.A.H., C.T.M. and M.D.T.; investigation and analysis, S.A.H., C.T.M., M.D.T., E.P.V., S.B., C.E., J.T.F. and E.R.N.; writing—original draft preparation, S.A.H., M.D.T. and C.T.M.; writing—review and editing, S.A.H. and J.K.B.; supervision, S.A.H.; project administration, S.A.H.; funding acquisition, S.A.H. and J.K.B. All authors have read and agreed to the published version of the manuscript.

Funding

This research was funded by the U.S. Department of Agriculture (NACA 58-5082-1-009). Mention of trade names or commercial products in this publication is solely for the purpose of providing specific information and does not imply recommendation or endorsement by the U.S. Department of Agriculture. The USDA is an equal opportunity provider and employer.

Data Availability Statement

Datasets are available upon request.

Acknowledgments

The authors thank Steven Murphy for his assistance with greenhouse maintenance.

Conflicts of Interest

The authors declare no conflicts of interest.

References

  1. Visser, P.M.; Verspagen, J.M.H.; Sandrini, G.; Stal, L.J.; Matthijs, H.C.P.; Davis, T.W.; Paerl, H.W.; Huisman, J. How Rising CO2 and Global Warming May Stimulate Harmful Cyanobacterial Blooms. Harmful Algae 2016, 54, 145–159. [Google Scholar] [CrossRef] [PubMed]
  2. Igwaran, A.; Kayode, A.J.; Moloantoa, K.M.; Khetsha, Z.P.; Unuofin, J.O. Cyanobacteria Harmful Algae Blooms: Causes, Impacts, and Risk Management. Water. Air. Soil Pollut. 2024, 235, 71. [Google Scholar] [CrossRef]
  3. Chen, W.; Song, L.; Gan, N.; Li, L. Sorption, Degradation and Mobility of Microcystins in Chinese Agriculture Soils: Risk Assessment for Groundwater Protection. Environ. Pollut. 2006, 144, 752–758. [Google Scholar] [CrossRef] [PubMed]
  4. Corbel, S.; Mougin, C.; Bouaïcha, N. Cyanobacterial Toxins: Modes of Actions, Fate in Aquatic and Soil Ecosystems, Phytotoxicity and Bioaccumulation in Agricultural Crops. Chemosphere 2014, 96, 1–15. [Google Scholar] [CrossRef] [PubMed]
  5. Yang, Z.; Kong, F.; Zhang, M. Groundwater Contamination by Microcystin from Toxic Cyanobacteria Blooms in Lake Chaohu, China. Environ. Monit. Assess. 2016, 188, 280. [Google Scholar] [CrossRef]
  6. Nielsen, M.C.; Jiang, S.C. Can Cyanotoxins Penetrate Human Skin during Water Recreation to Cause Negative Health Effects? Harmful Algae 2020, 98, 101872. [Google Scholar] [CrossRef]
  7. Plaas, H.E.; Paerl, H.W. Toxic Cyanobacteria: A Growing Threat to Water and Air Quality. Environ. Sci. Technol. 2021, 55, 44–64. [Google Scholar] [CrossRef]
  8. Lad, A.; Breidenbach, J.D.; Su, R.C.; Murray, J.; Kuang, R.; Mascarenhas, A.; Najjar, J.; Patel, S.; Hegde, P.; Youssef, M.; et al. As We Drink and Breathe: Adverse Health Effects of Microcystins and Other Harmful Algal Bloom Toxins in the Liver, Gut, Lungs and Beyond. Life 2022, 12, 418. [Google Scholar] [CrossRef]
  9. Machado, J.; Campos, A.; Vasconcelos, V.; Freitas, M. Effects of Microcystin-LR and Cylindrospermopsin on Plant-Soil Systems: A Review of Their Relevance for Agricultural Plant Quality and Public Health. Environ. Res. 2017, 153, 191–204. [Google Scholar] [CrossRef]
  10. Corbel, S.; Mougin, C.; Nélieu, S.; Delarue, G.; Bouaïcha, N. Evaluation of the Transfer and the Accumulation of Microcystins in Tomato (Solanum lycopersicum Cultivar MicroTom) Tissues Using a Cyanobacterial Extract Containing Microcystins and the Radiolabeled Microcystin-LR ( 14 C-MC-LR). Sci. Total Environ. 2016, 541, 1052–1058. [Google Scholar] [CrossRef]
  11. Lee, S.; Jiang, X.; Manubolu, M.; Riedl, K.; Ludsin, S.A.; Martin, J.F.; Lee, J. Fresh Produce and Their Soils Accumulate Cyanotoxins from Irrigation Water: Implications for Public Health and Food Security. Food Res. Int. 2017, 102, 234–245. [Google Scholar] [CrossRef] [PubMed]
  12. World Health Organization. Guidelines for Drinking-Water Quality. Available online: https://iris.who.int/bitstream/handle/10665/352532/9789240045064-eng.pdf?sequence=1 (accessed on 12 September 2024).
  13. Melaram, R.; Newton, A.R.; Chafin, J. Microcystin Contamination and Toxicity: Implications for Agriculture and Public Health. Toxins 2022, 14, 350. [Google Scholar] [CrossRef] [PubMed]
  14. Weralupitiya, C.; Wanigatunge, R.P.; Gunawardana, D.; Vithanage, M.; Magana-Arachchi, D. Cyanotoxins Uptake and Accumulation in Crops: Phytotoxicity and Implications on Human Health. Toxicon 2022, 211, 21–35. [Google Scholar] [CrossRef] [PubMed]
  15. Delcourt, N.; Claudepierre, T.; Maignien, T.; Arnich, N.; Mattei, C. Cellular and Molecular Aspects of the β-N-Methylamino-l-Alanine (BMAA) Mode of Action within the Neurodegenerative Pathway: Facts and Controversy. Toxins 2017, 10, 6. [Google Scholar] [CrossRef] [PubMed]
  16. Campos, A.; Redouane, E.M.; Freitas, M.; Amaral, S.; Azevedo, T.; Loss, L.; Máthé, C.; Mohamed, Z.A.; Oudra, B.; Vasconcelos, V. Impacts of Microcystins on Morphological and Physiological Parameters of Agricultural Plants: A Review. Plants 2021, 10, 639. [Google Scholar] [CrossRef]
  17. Koksharova, O.A.; Safronova, N.A. Non-Proteinogenic Amino Acid β-N-Methylamino-L-Alanine (BMAA): Bioactivity and Ecological Significance. Toxins 2022, 14, 539. [Google Scholar] [CrossRef]
  18. Perron, M.-C.; Qiu, B.; Boucher, N.; Bellemare, F.; Juneau, P. Use of Chlorophyll a Fluorescence to Detect the Effect of Microcystins on Photosynthesis and Photosystem II Energy Fluxes of Green Algae. Toxicon 2012, 59, 567–577. [Google Scholar] [CrossRef]
  19. Janssen, E.M.-L. Cyanobacterial Peptides beyond Microcystins—A Review on Co-Occurrence, Toxicity, and Challenges for Risk Assessment. Water Res. 2019, 151, 488–499. [Google Scholar] [CrossRef]
  20. MacKintosh, C.; Beattie, K.A.; Klumpp, S.; Cohen, P.; Codd, G.A. Cyanobacterial Microcystin-LR Is a Potent and Specific Inhibitor of Protein Phosphatases 1 and 2A from Both Mammals and Higher Plants. FEBS Lett. 1990, 264, 187–192. [Google Scholar] [CrossRef]
  21. Luan, S. Protein Phosphatases in Plants. Annu. Rev. Plant Biol. 2003, 54, 63–92. [Google Scholar] [CrossRef]
  22. Christensen, V.G.; Khan, E. Freshwater Neurotoxins and Concerns for Human, Animal, and Ecosystem Health: A Review of Anatoxin-a and Saxitoxin. Sci. Total Environ. 2020, 736, 139515. [Google Scholar] [CrossRef] [PubMed]
  23. Tretyn, A.; Kendrick, R.E. Acetylcholine in Plants: Presence, Metabolism and Mechanism of Action. Bot. Rev. 1991, 57, 33–73. [Google Scholar] [CrossRef]
  24. Wessler, I.; Kilbinger, H.; Bittinger, F.; Kirkpatrick, C.J. The Non-Neuronal Cholinergic System. Jpn. J. Pharmacol. 2001, 85, 2–10. [Google Scholar] [CrossRef] [PubMed]
  25. Mitrovic, S.M.; Pflugmacher, S.; James, K.J.; Furey, A. Anatoxin-a Elicits an Increase in Peroxidase and Glutathione S-Transferase Activity in Aquatic Plants. Aquat. Toxicol. 2004, 68, 185–192. [Google Scholar] [CrossRef] [PubMed]
  26. Ha, M.-H.; Pflugmacher, S. Phytotoxic Effects of the Cyanobacterial Neurotoxin Anatoxin-a: Morphological, Physiological and Biochemical Responses in Aquatic Macrophyte, Ceratophyllum demersum. Toxicon 2013, 70, 1–8. [Google Scholar] [CrossRef]
  27. Kaminski, A.; Chrapusta, E.; Adamski, M.; Bober, B.; Zabaglo, K.; Bialczyk, J. Determination of the Time-Dependent Response of Lemna trisulca to the Harmful Impact of the Cyanotoxin Anatoxin-a. Algal Res. 2016, 16, 368–375. [Google Scholar] [CrossRef]
  28. Esterhuizen, M.; Pflugmacher, S.; Downing, T.G. β-N-Methylamino-l-Alanine (BMAA) Uptake by the Aquatic Macrophyte Ceratophyllum demersum. Ecotoxicol. Environ. Saf. 2011, 74, 74–77. [Google Scholar] [CrossRef]
  29. Contardo-Jara, V.; Schwanemann, T.; Pflugmacher, S. Uptake of a Cyanotoxin, β-N-Methylamino-l-Alanine, by Wheat (Triticum aestivum). Ecotoxicol. Environ. Saf. 2014, 104, 127–131. [Google Scholar] [CrossRef]
  30. Li, B.; Yu, S.; Li, G.; Chen, X.; Huang, M.; Liao, X.; Li, H.; Hu, F.; Wu, J. Transfer of a Cyanobacterial Neurotoxin, β-Methylamino-l-Alanine from Soil to Crop and Its Bioaccumulation in Chinese Cabbage. Chemosphere 2019, 219, 997–1001. [Google Scholar] [CrossRef]
  31. Esterhuizen-Londt, M.; Pflugmacher, S.; Downing, T.G. The Effect of β-N-Methylamino-l-Alanine (BMAA) on Oxidative Stress Response Enzymes of the Macrophyte Ceratophyllum demersum. Toxicon 2011, 57, 803–810. [Google Scholar] [CrossRef]
  32. Samardzic, K.; Steele, J.R.; Violi, J.P.; Colville, A.; Mitrovic, S.M.; Rodgers, K.J. Toxicity and Bioaccumulation of Two Non-Protein Amino Acids Synthesised by Cyanobacteria, β-N-Methylamino-L-Alanine (BMAA) and 2,4-Diaminobutyric Acid (DAB), on a Crop Plant. Ecotoxicol. Environ. Saf. 2021, 208, 111515. [Google Scholar] [CrossRef] [PubMed]
  33. Zhang, Y.; Whalen, J.K. Production of the Neurotoxin Beta-N-Methylamino-l-Alanine May Be Triggered by Agricultural Nutrients: An Emerging Public Health Issue. Water Res. 2020, 170, 115335. [Google Scholar] [CrossRef] [PubMed]
  34. Bernardová, K.; Babica, P.; Maršálek, B.; Bláha, L. Isolation and Endotoxin Activities of Lipopolysaccharides from Cyanobacterial Cultures and Complex Water Blooms and Comparison with the Effects of Heterotrophic Bacteria and Green Alga. J. Appl. Toxicol. 2008, 28, 72–77. [Google Scholar] [CrossRef] [PubMed]
  35. Jones, J.D.G.; Dangl, J.L. The Plant Immune System. Nature 2006, 444, 323–329. [Google Scholar] [CrossRef]
  36. Shang-Guan, K.; Wang, M.; Htwe, N.M.P.S.; Li, P.; Li, Y.; Qi, F.; Zhang, D.; Cao, M.; Kim, C.; Weng, H.; et al. Lipopolysaccharides Trigger Two Successive Bursts of Reactive Oxygen Species at Distinct Cellular Locations. Plant Physiol. 2018, 176, 2543–2556. [Google Scholar] [CrossRef]
  37. Hussan, R.H.; Dubery, I.A.; Piater, L.A. Identification of MAMP-Responsive Plasma Membrane-Associated Proteins in Arabidopsis thaliana Following Challenge with Different LPS Chemotypes from Xanthomonas campestris. Pathogens 2020, 9, 787. [Google Scholar] [CrossRef]
  38. Ranf, S. Immune Sensing of Lipopolysaccharide in Plants and Animals: Same but Different. PLoS Pathog. 2016, 12, e1005596. [Google Scholar] [CrossRef]
  39. Tinte, M.M.; Steenkamp, P.A.; Piater, L.A.; Dubery, I.A. Lipopolysaccharide Perception in Arabidopsis Thaliana: Diverse LPS Chemotypes from Burkholderia cepacia, Pseudomonas syringae and Xanthomonas campestris Trigger Differential Defence-Related Perturbations in the Metabolome. Plant Physiol. Biochem. 2020, 156, 267–277. [Google Scholar] [CrossRef]
  40. Hu, Z.; Liu, Y.; Li, D. Physiological and Biochemical Analyses of microcystin-RR Toxicity to the Cyanobacterium Synechococcus elongatus. Environ. Toxicol. 2004, 19, 571–577. [Google Scholar] [CrossRef]
  41. García-Espín, L.; Cantoral, E.A.; Asencio, A.D.; Aboal, M. Microcystins and Cyanophyte Extracts Inhibit or Promote the Photosynthesis of Fluvial Algae. Ecological and Management Implications. Ecotoxicology 2017, 26, 658–666. [Google Scholar] [CrossRef]
  42. Pereira, A.L.; Santos, C.; Azevedo, J.; Martins, T.P.; Castelo-Branco, R.; Ramos, V.; Vasconcelos, V.; Campos, A. Effects of Two Toxic Cyanobacterial Crude Extracts Containing Microcystin-LR and Cylindrospermopsin on the Growth and Photosynthetic Capacity of the Microalga Parachlorella kessleri. Algal Res. 2018, 34, 198–208. [Google Scholar] [CrossRef]
  43. Chen, G.; Zheng, Z.; Bai, M.; Li, Q. Chronic Effects of Microcystin-LR at Environmental Relevant Concentrations on Photosynthesis of Typha angustifolia Linn. Ecotoxicology 2020, 29, 514–523. [Google Scholar] [CrossRef] [PubMed]
  44. Abe, T.; Lawson, T.; Weyers, J.D.B.; Codd, G.A. Microcystin-LR Inhibits Photosynthesis of Phaseolus vulgaris Primary Leaves: Implications for Current Spray Irrigation Practice. New Phytol. 1996, 133, 651–658. [Google Scholar] [CrossRef]
  45. Pflugmacher, S.; Aulhorn, M.; Grimm, B. Influence of a Cyanobacterial Crude Extract Containing microcystin-LR on the Physiology and Antioxidative Defence Systems of Different Spinach Variants. New Phytol. 2007, 175, 482–489. [Google Scholar] [CrossRef]
  46. El Khalloufi, F.; El Ghazali, I.; Saqrane, S.; Oufdou, K.; Vasconcelos, V.; Oudra, B. Phytotoxic Effects of a Natural Bloom Extract Containing Microcystins on Lycopersicon esculentum. Ecotoxicol. Environ. Saf. 2012, 79, 199–205. [Google Scholar] [CrossRef]
  47. Bittencourt-Oliveira, M.D.C.; Cordeiro-Araújo, M.K.; Chia, M.A.; Arruda-Neto, J.D.D.T.; Oliveira, Ê.T.D.; Santos, F.D. Lettuce Irrigated with Contaminated Water: Photosynthetic Effects, Antioxidative Response and Bioaccumulation of Microcystin Congeners. Ecotoxicol. Environ. Saf. 2016, 128, 83–90. [Google Scholar] [CrossRef]
  48. Schalles, J.F. Optical Remote Sensing Techniques to Estimate Phytoplankton Chlorophyll a Concentrations in Coastal Waters with Varying Suspended Matter and CDOM Concentrations. In Remote Sensing of Aquatic Coastal Ecosystem Processes; Richardson, L.L., LeDrew, E.F., Eds.; Springer: Dordrecht, The Netherlands, 2006; pp. 27–79. ISBN 978-1-4020-3968-3. [Google Scholar]
  49. Long, S.P. Gas Exchange Measurements, What Can They Tell Us about the Underlying Limitations to Photosynthesis? Procedures and Sources of Error. J. Exp. Bot. 2003, 54, 2393–2401. [Google Scholar] [CrossRef]
  50. Heckathorn, S.A.; Mueller, J.K.; LaGuidice, S.; Zhu, B.; Barrett, T.; Blair, B.; Dong, Y. Chloroplast Small Heat-shock Proteins Protect Photosynthesis during Heavy Metal Stress. Am. J. Bot. 2004, 91, 1312–1318. [Google Scholar] [CrossRef]
  51. R Core Team. R: A Language and Environment for Statistical Computing; R Core Team: Vienna, Austria, 2023; Available online: https://www.R-project.org/ (accessed on 14 August 2024).
  52. Maxwell, K.; Johnson, G.N. Chlorophyll Fluorescence—A Practical Guide. J. Exp. Bot. 2000, 51, 659–668. [Google Scholar] [CrossRef]
Figure 1. Effects of Microcystis aeruginosa culture (intact cells) on soil-grown corn (Zea mays) after 14 days. Roots of potted plants grown in the greenhouse were watered every third day with nutrient solution only (control) or nutrient solution containing live cyanobacteria. Just prior to harvest to obtain plant fresh weight (FW) and shoot-to-root FW ratio, yield of light-adapted Photosystem-II electron transport (ΦPSII) and relative chlorophyll concentration ([chlorophyll] (SPAD)) were measured on recently expanded leaves of intact plants. Results are means ± 1 SE, n = 5–6, and significant treatment differences at p ≤ 0.05 (t-test) are indicated with an asterisk.
Figure 1. Effects of Microcystis aeruginosa culture (intact cells) on soil-grown corn (Zea mays) after 14 days. Roots of potted plants grown in the greenhouse were watered every third day with nutrient solution only (control) or nutrient solution containing live cyanobacteria. Just prior to harvest to obtain plant fresh weight (FW) and shoot-to-root FW ratio, yield of light-adapted Photosystem-II electron transport (ΦPSII) and relative chlorophyll concentration ([chlorophyll] (SPAD)) were measured on recently expanded leaves of intact plants. Results are means ± 1 SE, n = 5–6, and significant treatment differences at p ≤ 0.05 (t-test) are indicated with an asterisk.
Plants 13 03190 g001
Figure 2. Effects of Microcystis aeruginosa culture (with or without intact cells) on soil-grown corn (Zea mays) plants after 14 days. Plants were grown and watered as in Figure 1 with nutrient solution only (control) or nutrient solution containing cell-free (filtered) or intact-cell (unfiltered) cyanobacterial culture. Yield of light-adapted Photosystem-II electron transport (ΦPSII) and relative chlorophyll concentration ([chlorophyll] (SPAD)) were measured on recently expanded leaves of intact plants. Results are means ± 1 SE, n = 5, and significant treatment differences at p ≤ 0.05 (ANOVA followed by LSD test) are indicated with different letters above bars. Insert photo shows leaves (ca. 3 cm wide) from each treatment after 14 d in the same order as the X-axis.
Figure 2. Effects of Microcystis aeruginosa culture (with or without intact cells) on soil-grown corn (Zea mays) plants after 14 days. Plants were grown and watered as in Figure 1 with nutrient solution only (control) or nutrient solution containing cell-free (filtered) or intact-cell (unfiltered) cyanobacterial culture. Yield of light-adapted Photosystem-II electron transport (ΦPSII) and relative chlorophyll concentration ([chlorophyll] (SPAD)) were measured on recently expanded leaves of intact plants. Results are means ± 1 SE, n = 5, and significant treatment differences at p ≤ 0.05 (ANOVA followed by LSD test) are indicated with different letters above bars. Insert photo shows leaves (ca. 3 cm wide) from each treatment after 14 d in the same order as the X-axis.
Plants 13 03190 g002
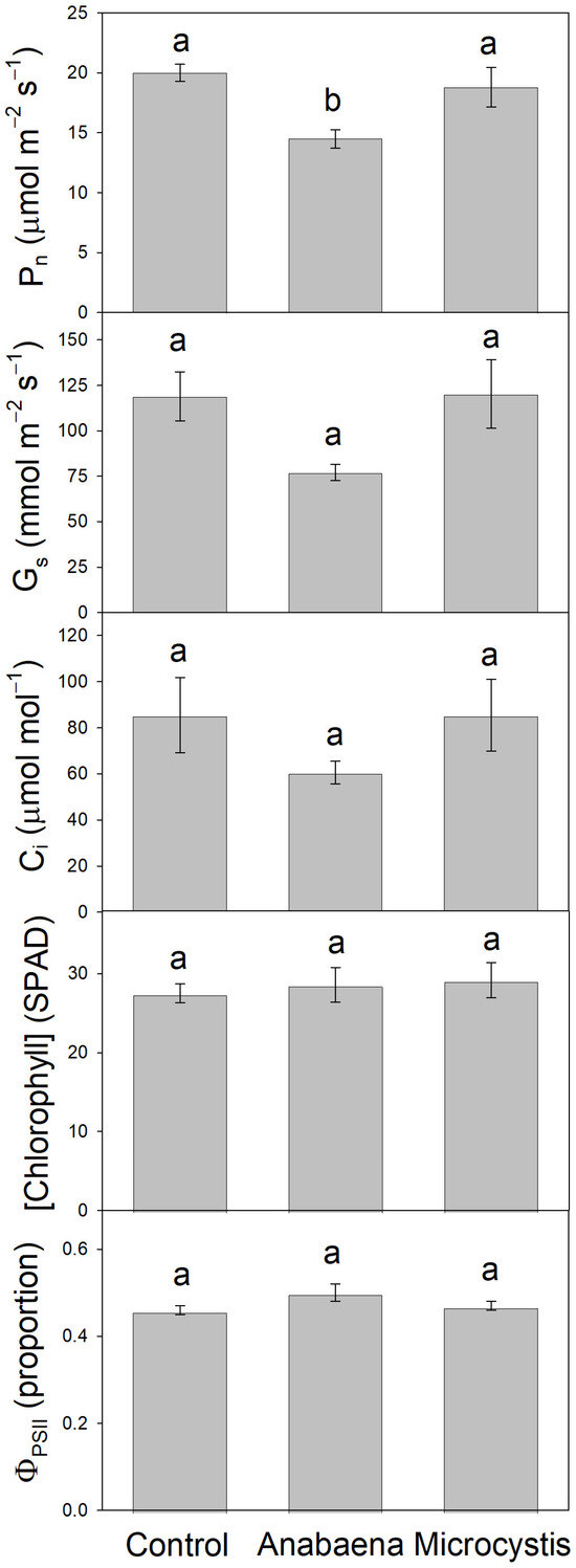
Figure 3. Effects of Anabaena flos-aquae culture (cells lysed and removed) on soil-grown corn (Zea mays) plants after 10 days. Plants were grown and watered as above with nutrient solution only (control) or nutrient solution containing cell-free (cells lysed and then filtered) cyanobacterial culture. Net photosynthesis (Pn, CO2 uptake), stomatal conductance (Gs), internal CO2 concentration (Ci), yield of light-adapted Photosystem-II electron transport (ΦPSII), and relative chlorophyll concentration ([chlorophyll] (SPAD)) were measured on recently expanded leaves of intact plants. Results are means ± 1 SE, n = 4, and significant treatment differences between treatments within each day at p ≤ 0.05 (t-test) are indicated with an asterisk. Insert photo shows plants from each treatment, with the control on the right.
Figure 3. Effects of Anabaena flos-aquae culture (cells lysed and removed) on soil-grown corn (Zea mays) plants after 10 days. Plants were grown and watered as above with nutrient solution only (control) or nutrient solution containing cell-free (cells lysed and then filtered) cyanobacterial culture. Net photosynthesis (Pn, CO2 uptake), stomatal conductance (Gs), internal CO2 concentration (Ci), yield of light-adapted Photosystem-II electron transport (ΦPSII), and relative chlorophyll concentration ([chlorophyll] (SPAD)) were measured on recently expanded leaves of intact plants. Results are means ± 1 SE, n = 4, and significant treatment differences between treatments within each day at p ≤ 0.05 (t-test) are indicated with an asterisk. Insert photo shows plants from each treatment, with the control on the right.
Plants 13 03190 g003
Figure 4. Effects of Anabaena flos-aquae or Microcystis aeruginosa culture (cells lysed and removed) on hydroponic corn (Zea mays) plants after 24 h. Plants were grown in soil and transferred to glass containers with roots submerged in nutrient solution only (control) or nutrient solution containing cell-free (cells lysed and then filtered) cyanobacterial culture. Net photosynthesis (Pn, CO2 uptake), stomatal conductance (Gs), internal CO2 concentration (Ci), yield of light-adapted Photosystem-II electron transport (ΦPSII), and relative chlorophyll concentration ([chlorophyll] (SPAD)) were measured on recently expanded leaves of intact plants. Results are means ± 1 SE, n = 4–6, and significant treatment differences at p ≤ 0.05 (ANOVA followed by LSD test) are indicated with different letters above the bars.
Figure 4. Effects of Anabaena flos-aquae or Microcystis aeruginosa culture (cells lysed and removed) on hydroponic corn (Zea mays) plants after 24 h. Plants were grown in soil and transferred to glass containers with roots submerged in nutrient solution only (control) or nutrient solution containing cell-free (cells lysed and then filtered) cyanobacterial culture. Net photosynthesis (Pn, CO2 uptake), stomatal conductance (Gs), internal CO2 concentration (Ci), yield of light-adapted Photosystem-II electron transport (ΦPSII), and relative chlorophyll concentration ([chlorophyll] (SPAD)) were measured on recently expanded leaves of intact plants. Results are means ± 1 SE, n = 4–6, and significant treatment differences at p ≤ 0.05 (ANOVA followed by LSD test) are indicated with different letters above the bars.
Plants 13 03190 g004
Figure 5. Effects of Anabaena flos-aquae or Microcystis aeruginosa culture (cells lysed and removed) on leaf pieces of corn (Zea mays) or lettuce (Lactuca sativa) after 1 or 3 h. Leaf pieces were vacuum-infiltrated with nutrient solution only (control, C) or nutrient solution containing cyanobacterial culture (Anabaena, A; Microcystis, M). For lettuce, two independent cultures of each species were tested (A1, A2; M1, M2). The yields of light-adapted Photosystem-II (PSII) electron transport (ΦPSII) and dark-adapted maximum PSII efficiency (Fv/Fm) were measured on leaf tissue from recently expanded leaves (for ΦPSII, 750 ± 25 µmol m−2 s−1 PAR). Results are means + 1 SE, n = 5, and significant treatment differences at p ≤ 0.05 (ANOVA followed by LSD test) are indicated with different letters above bars.
Figure 5. Effects of Anabaena flos-aquae or Microcystis aeruginosa culture (cells lysed and removed) on leaf pieces of corn (Zea mays) or lettuce (Lactuca sativa) after 1 or 3 h. Leaf pieces were vacuum-infiltrated with nutrient solution only (control, C) or nutrient solution containing cyanobacterial culture (Anabaena, A; Microcystis, M). For lettuce, two independent cultures of each species were tested (A1, A2; M1, M2). The yields of light-adapted Photosystem-II (PSII) electron transport (ΦPSII) and dark-adapted maximum PSII efficiency (Fv/Fm) were measured on leaf tissue from recently expanded leaves (for ΦPSII, 750 ± 25 µmol m−2 s−1 PAR). Results are means + 1 SE, n = 5, and significant treatment differences at p ≤ 0.05 (ANOVA followed by LSD test) are indicated with different letters above bars.
Plants 13 03190 g005
Figure 6. Effects of Anabaena flos-aquae culture or pure cyanobacterial toxins on hydroponic lettuce (Lactuca sativa) plants after 10 days. Plants were grown in soil and transferred to glass containers with roots submerged in nutrient solution only (control), cyanobacterial culture (cells lysed and removed from nutrient solution), or individual toxins in nutrient solution (0.5 μM: anatoxin-a, ANA, beta-methyl-amino-alanine, BMAA, microcystin-LR; 25 µg mL−1: lipopolysaccharide, LPS). Just prior to harvest to obtain the increase in plant fresh weight during treatment (ΔFW), net photosynthesis (Pn, CO2 uptake), stomatal conductance (Gs), internal CO2 concentration (Ci), yield of light-adapted Photosystem-II electron transport (ΦPSII), and relative chlorophyll concentration ([chlorophyll] (SPAD)) were measured on recently expanded leaves of intact plants. Results are means ± 1 SE, n = 4. Significant treatment differences at p ≤ 0.05 (ANOVA followed by LSD test) are indicated with different letters above bars, except for Pn, where significant differences (Welch’s ANOVA and t-test) from the control are indicated with asterisks (see Section 2).
Figure 6. Effects of Anabaena flos-aquae culture or pure cyanobacterial toxins on hydroponic lettuce (Lactuca sativa) plants after 10 days. Plants were grown in soil and transferred to glass containers with roots submerged in nutrient solution only (control), cyanobacterial culture (cells lysed and removed from nutrient solution), or individual toxins in nutrient solution (0.5 μM: anatoxin-a, ANA, beta-methyl-amino-alanine, BMAA, microcystin-LR; 25 µg mL−1: lipopolysaccharide, LPS). Just prior to harvest to obtain the increase in plant fresh weight during treatment (ΔFW), net photosynthesis (Pn, CO2 uptake), stomatal conductance (Gs), internal CO2 concentration (Ci), yield of light-adapted Photosystem-II electron transport (ΦPSII), and relative chlorophyll concentration ([chlorophyll] (SPAD)) were measured on recently expanded leaves of intact plants. Results are means ± 1 SE, n = 4. Significant treatment differences at p ≤ 0.05 (ANOVA followed by LSD test) are indicated with different letters above bars, except for Pn, where significant differences (Welch’s ANOVA and t-test) from the control are indicated with asterisks (see Section 2).
Plants 13 03190 g006
Figure 7. Principal components analysis (PCA) visualizing overall differences in the responses of lettuce (Lactuca sativa) to Anabaena flos-aquae culture and individual toxins from Figure 6. Vectors represent relative chlorophyll concentration (Chl), net photosynthesis (Pn), increase in fresh weight (FW), stomatal conductance (Gs), and internal CO2 concentration (Ci). Points represent eigen-values of individual replicate plants. Differences in replicates are visualized based on their position on two orthogonal principal component axes. The direction and magnitude of response-variable vectors indicate their direction and degree of effect on the replicate position. Treatments are indicated by color: nutrient solution only (control); cyanobacterial culture, cells lysed and removed from nutrient solution (Cyanobacteria); or individual toxins in nutrient solution (0.5 μM: anatoxin-a, ANA, beta-methyl-amino-alanine, BMAA, microcystin-LR, MC-LR; 25 µg mL−1: lipopolysaccharide, LPS).
Figure 7. Principal components analysis (PCA) visualizing overall differences in the responses of lettuce (Lactuca sativa) to Anabaena flos-aquae culture and individual toxins from Figure 6. Vectors represent relative chlorophyll concentration (Chl), net photosynthesis (Pn), increase in fresh weight (FW), stomatal conductance (Gs), and internal CO2 concentration (Ci). Points represent eigen-values of individual replicate plants. Differences in replicates are visualized based on their position on two orthogonal principal component axes. The direction and magnitude of response-variable vectors indicate their direction and degree of effect on the replicate position. Treatments are indicated by color: nutrient solution only (control); cyanobacterial culture, cells lysed and removed from nutrient solution (Cyanobacteria); or individual toxins in nutrient solution (0.5 μM: anatoxin-a, ANA, beta-methyl-amino-alanine, BMAA, microcystin-LR, MC-LR; 25 µg mL−1: lipopolysaccharide, LPS).
Plants 13 03190 g007
Figure 8. Effects of pure cyanobacterial toxins on in vivo rubisco activity in hydroponic lettuce (Lactuca sativa) plants after 10 days. Plants were grown and treated as in Figure 6, with roots submerged in nutrient solution only (control) or individual toxins in nutrient solution (0.5 μM: anatoxin-a, ANA, beta-methyl-amino-alanine, BMAA, microcystin-LR, MC-LR; 25 µg mL−1: lipopolysaccharide, LPS). Rubisco activity was determined from the initial slope of the photosynthesis–CO2 response curve, measured in recently expanded attached leaves at 1000 μmol m−2 s−1 PAR and 25 °C. Results are means ± 1 SE, n = 4. There were no significant treatment differences with ANOVA (p = 0.12), as indicated by the same letters above the bars, but ANA differed from the control with one-tailed t-test (p = 0.03).
Figure 8. Effects of pure cyanobacterial toxins on in vivo rubisco activity in hydroponic lettuce (Lactuca sativa) plants after 10 days. Plants were grown and treated as in Figure 6, with roots submerged in nutrient solution only (control) or individual toxins in nutrient solution (0.5 μM: anatoxin-a, ANA, beta-methyl-amino-alanine, BMAA, microcystin-LR, MC-LR; 25 µg mL−1: lipopolysaccharide, LPS). Rubisco activity was determined from the initial slope of the photosynthesis–CO2 response curve, measured in recently expanded attached leaves at 1000 μmol m−2 s−1 PAR and 25 °C. Results are means ± 1 SE, n = 4. There were no significant treatment differences with ANOVA (p = 0.12), as indicated by the same letters above the bars, but ANA differed from the control with one-tailed t-test (p = 0.03).
Plants 13 03190 g008
Figure 9. Effects of individual cyanobacterial toxins on detached leaves of lettuce (Lactuca sativa) after 2 h. Leaf pieces were vacuum-infiltrated with deionized water only (control) or individual toxins in deionized water (1 μM: anatoxin-a, ANA, beta-methyl-amino-alanine, BMAA, microcystin-LR, MC-LR; 50 µg mL−1: lipopolysaccharide, LPS). Leaves were then incubated for 2 h under 450 ± 25 µmol m−2 s−1 PAR or in the dark, after which the yield of light-adapted Photosystem-II (PSII) electron transport (ΦPSII) or dark-adapted maximum PSII efficiency (Fv/Fm) was measured. Results are means ± 1 SE, n = 5. There were no significant effects of toxins on ΦPSII or Fv/Fm (ANOVA, p > 0.05), as indicated by the same letters above the bars.
Figure 9. Effects of individual cyanobacterial toxins on detached leaves of lettuce (Lactuca sativa) after 2 h. Leaf pieces were vacuum-infiltrated with deionized water only (control) or individual toxins in deionized water (1 μM: anatoxin-a, ANA, beta-methyl-amino-alanine, BMAA, microcystin-LR, MC-LR; 50 µg mL−1: lipopolysaccharide, LPS). Leaves were then incubated for 2 h under 450 ± 25 µmol m−2 s−1 PAR or in the dark, after which the yield of light-adapted Photosystem-II (PSII) electron transport (ΦPSII) or dark-adapted maximum PSII efficiency (Fv/Fm) was measured. Results are means ± 1 SE, n = 5. There were no significant effects of toxins on ΦPSII or Fv/Fm (ANOVA, p > 0.05), as indicated by the same letters above the bars.
Plants 13 03190 g009
Figure 10. Effects of low vs. high concentrations of the cyanobacterial toxins, lipopolysaccharide (LPS), and microcystin-LR (MC-LR) on detached leaves of lettuce (Lactuca sativa) after 3 hours. Leaf pieces were vacuum-infiltrated with deionized water only (control) or 1 µM MC-LR (MC-LR Low), 10 µM MC-LR (MC-LR High), 50 µg mL−1 LPS (LPS Low), or 250 µg mL−1 LPS (LPS High). Leaves were then incubated for 3 h under 750 ± 25 µmol m−2 s−1 PAR or in the dark, after which the yield of light-adapted Photosystem-II (PSII) electron transport (ΦPSII) or dark-adapted maximum PSII efficiency (Fv/Fm) was measured. Results are means ± 1 SE, n = 5, and significant treatment differences at p ≤ 0.05 (ANOVA followed by LSD test) are indicated with different letters above bars.
Figure 10. Effects of low vs. high concentrations of the cyanobacterial toxins, lipopolysaccharide (LPS), and microcystin-LR (MC-LR) on detached leaves of lettuce (Lactuca sativa) after 3 hours. Leaf pieces were vacuum-infiltrated with deionized water only (control) or 1 µM MC-LR (MC-LR Low), 10 µM MC-LR (MC-LR High), 50 µg mL−1 LPS (LPS Low), or 250 µg mL−1 LPS (LPS High). Leaves were then incubated for 3 h under 750 ± 25 µmol m−2 s−1 PAR or in the dark, after which the yield of light-adapted Photosystem-II (PSII) electron transport (ΦPSII) or dark-adapted maximum PSII efficiency (Fv/Fm) was measured. Results are means ± 1 SE, n = 5, and significant treatment differences at p ≤ 0.05 (ANOVA followed by LSD test) are indicated with different letters above bars.
Plants 13 03190 g010
Figure 11. The effects of cyanobacterial toxins on in vitro O2 evolution of thylakoid membranes. Chloroplasts were isolated from tomato (Solanum lycopersicum) leaves and lysed to obtain thylakoids. Thylakoids were treated with either deionized water or individual toxins (1 µM: anatoxin-a, ANA, beta-methyl-amino-alanine, BMAA, microcystin-LR, MC-LR; 50 µg mL−1: lipopolysaccharide, LPS). Results are means ± 1 SE, n = 5. There were no significant effects of toxins on O2 evolution (ANOVA, p > 0.05), as indicated by the same letters above the bars.
Figure 11. The effects of cyanobacterial toxins on in vitro O2 evolution of thylakoid membranes. Chloroplasts were isolated from tomato (Solanum lycopersicum) leaves and lysed to obtain thylakoids. Thylakoids were treated with either deionized water or individual toxins (1 µM: anatoxin-a, ANA, beta-methyl-amino-alanine, BMAA, microcystin-LR, MC-LR; 50 µg mL−1: lipopolysaccharide, LPS). Results are means ± 1 SE, n = 5. There were no significant effects of toxins on O2 evolution (ANOVA, p > 0.05), as indicated by the same letters above the bars.
Plants 13 03190 g011
Table 1. Summary of experiments and their key details.
Table 1. Summary of experiments and their key details.
ExperimentTreatmentSpeciesSystemExplanationDurationVariables 2
1cyanobacterial culturecornwhole plants
in soil
roots watered with M. aeruginosa whole-cell culture14 dΦPSII, [chl], biomass
2cyanobacterial culturecornwhole plants
in soil
roots watered with M. aeruginosa whole-cell vs. cell-free culture14 dΦPSII, [chl]
3cyanobacterial culturecornwhole plants
in soil
roots watered with A. flos-aquae lysed cell-free culture10 dPn, Gs, Ci, ΦPSII, [chl], biomass
4cyanobacterial culturecornwhole plants
in hydroponics
roots submerged in A. flos-aquae or M. aeruginosa lysed cell-free culture24 hPn, Gs, Ci, ΦPSII, [chl]
5cyanobacterial culturecorn, lettuceleaf tissuevacuum-infiltrated with A. flos-aquae or M. aeruginosa lysed cell-free culture1–3 hΦPSII, Fv/Fm
6a and bcyanobacterial culture and purified toxinslettucewhole plants
in hydroponics
roots submerged in A. flos-aquae lysed cell-free culture (6a only) or individual toxins (ANA, BMAA, LPS, MC-LR) 110 dPn, Gs, Ci, ΦPSII, [chl], biomass, (6b only) rubisco activity
7a and bpurified
toxins
lettuceleaf tissuevacuum-infiltrated with individual toxins (ANA, BMAA, LPS, MC-LR) 11–3 hΦPSII, Fv/Fm
8purified
toxins
tomatothylakoid membranesindividual toxins (ANA, BMAA, LPS, MC-LR) 11 hin vitro O2 evolution
1 anatoxin-a = ANA; beta-methyl-amino-alanine = BMAA; lipopolysaccharide = LPS; microcystin-LR = MC-LR. 2 ΦPSII = light-adapted Photosystem-II yield; [chl] = relative leaf chlorophyll concentration; Fv/Fm = dark-adapted maximum Photosystem-II efficiency; Pn = net photosynthesis (CO2 uptake); Gs = stomatal conductance; Ci = leaf internal CO2 concentration.
Disclaimer/Publisher’s Note: The statements, opinions and data contained in all publications are solely those of the individual author(s) and contributor(s) and not of MDPI and/or the editor(s). MDPI and/or the editor(s) disclaim responsibility for any injury to people or property resulting from any ideas, methods, instructions or products referred to in the content.

Share and Cite

MDPI and ACS Style

Heckathorn, S.A.; Muller, C.T.; Thomas, M.D.; Vining, E.P.; Bigioni, S.; Elsie, C.; Franklin, J.T.; New, E.R.; Boldt, J.K. Cyanobacterial Cultures, Cell Extracts, and Individual Toxins Decrease Photosynthesis in the Terrestrial Plants Lactuca sativa and Zea mays. Plants 2024, 13, 3190. https://doi.org/10.3390/plants13223190

AMA Style

Heckathorn SA, Muller CT, Thomas MD, Vining EP, Bigioni S, Elsie C, Franklin JT, New ER, Boldt JK. Cyanobacterial Cultures, Cell Extracts, and Individual Toxins Decrease Photosynthesis in the Terrestrial Plants Lactuca sativa and Zea mays. Plants. 2024; 13(22):3190. https://doi.org/10.3390/plants13223190

Chicago/Turabian Style

Heckathorn, Scott A., Clare T. Muller, Michael D. Thomas, Emily P. Vining, Samantha Bigioni, Clair Elsie, J. Thomas Franklin, Emily R. New, and Jennifer K. Boldt. 2024. "Cyanobacterial Cultures, Cell Extracts, and Individual Toxins Decrease Photosynthesis in the Terrestrial Plants Lactuca sativa and Zea mays" Plants 13, no. 22: 3190. https://doi.org/10.3390/plants13223190

APA Style

Heckathorn, S. A., Muller, C. T., Thomas, M. D., Vining, E. P., Bigioni, S., Elsie, C., Franklin, J. T., New, E. R., & Boldt, J. K. (2024). Cyanobacterial Cultures, Cell Extracts, and Individual Toxins Decrease Photosynthesis in the Terrestrial Plants Lactuca sativa and Zea mays. Plants, 13(22), 3190. https://doi.org/10.3390/plants13223190

Note that from the first issue of 2016, this journal uses article numbers instead of page numbers. See further details here.

Article Metrics

Back to TopTop