Effect of Different Postharvest Pre-Cooling Treatments on Quality of Water Bamboo Shoots (Zizania latifolia) during Refrigerated Storage
Abstract
1. Introduction
2. Materials and Methods
2.1. Materials and Pre-Cooling Treatments
- (1)
- CSAEW: the WBS samples were pre-cooled by placing them in slightly acidic electrolytic water at 1 °C. The slightly acidic electrolytic water was prepared through a PG3.0 water electrolysis device (Shanghai Ouai Environmental Protection Technology Co. Ltd, Shanghai, China) by using dilute hydrochloric acid (6%, w/w) and tap water. The parameters of slightly acidic electrolytic water were as follows: pH 6.32 ± 0.02, redox potential ORP value of 862.40 ± 12.25 mV, and effective chlorine content of 30.00 ± 1.26 mg/L.
- (2)
- CWPC: the WBS samples were pre-cooled by placing them in cold water at 1 °C.
- (3)
- VPC: the WBS samples were put into a vacuum pre-cooling machine (VAC-0.2 type, Shanghai Fresh Green Vacuum Preservation Equipment Co., Ltd., Shanghai, China) for pre-cooling. The surface of the WBS was sprayed with an appropriate amount of water. The final temperature was 4 °C and the final pressure was 750 Pa.
- (4)
- SWPC: the WBS samples were pre-cooled by placing them in trays in a strong wind pre-cooling machine (DJ-12type, Zhengfa Technology Co., Ltd., Kunming, China) with a speed of 8 m/s at a temperature of 1 °C.
- (5)
- RPC: the WBS samples were pre-cooled by placing them in a refrigerator with natural convection at 1 °C.
- (6)
- FIPC: the WBS samples were pre-cooled in the prepared fluid ice. The fluid ice was prepared by passing brine with a concentration of 3.3% through a seawater fluidized ice maker (R-1000W-SP type, Jiangsu Nantong Ruiyou Industry and Trade Co., Ltd., Nantong, China) at a temperature of −1.8 ± 0.5 °C.
2.2. Determination of WBS Quality
2.2.1. Respiration Rate
2.2.2. Whiteness
2.2.3. Weight Loss
2.2.4. Hardness
2.2.5. Lignin Content
2.2.6. Phenylalanine Ammonialyase (PAL) Activity
2.2.7. Peroxidase (POD) Activity
2.2.8. Soluble Solids Content
2.2.9. Soluble Sugar Content
2.2.10. Total Protein Content
2.2.11. Ascorbic Acid Content
2.2.12. Malondialdehyde (MDA) Content
2.2.13. Total Bacterial Colony Count
2.2.14. Statistical Analysis
3. Results and Discussion
3.1. Pre-Cooling Curve
3.2. Respiration Rate
3.3. Whiteness and Weight Loss
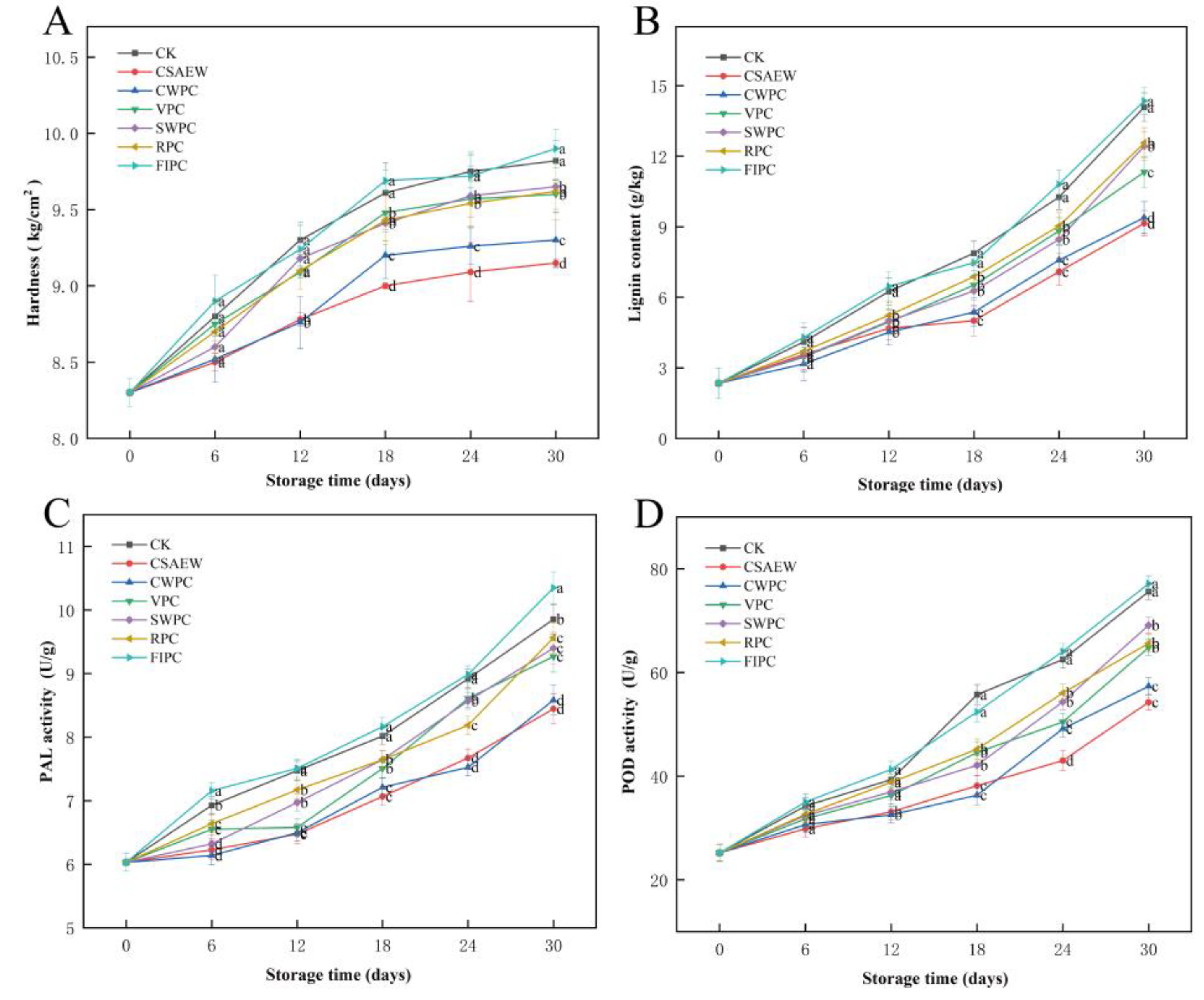
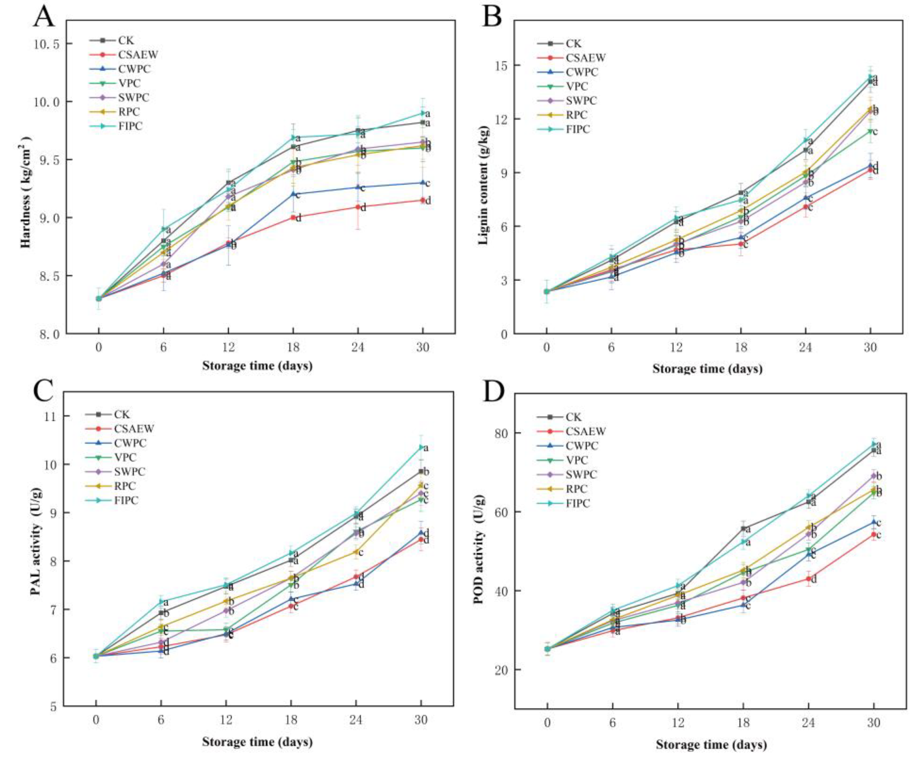
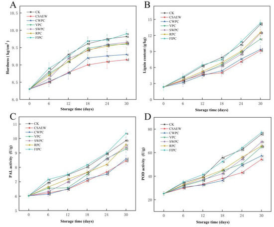
3.4. Relevant Indices of Lignification in WBS
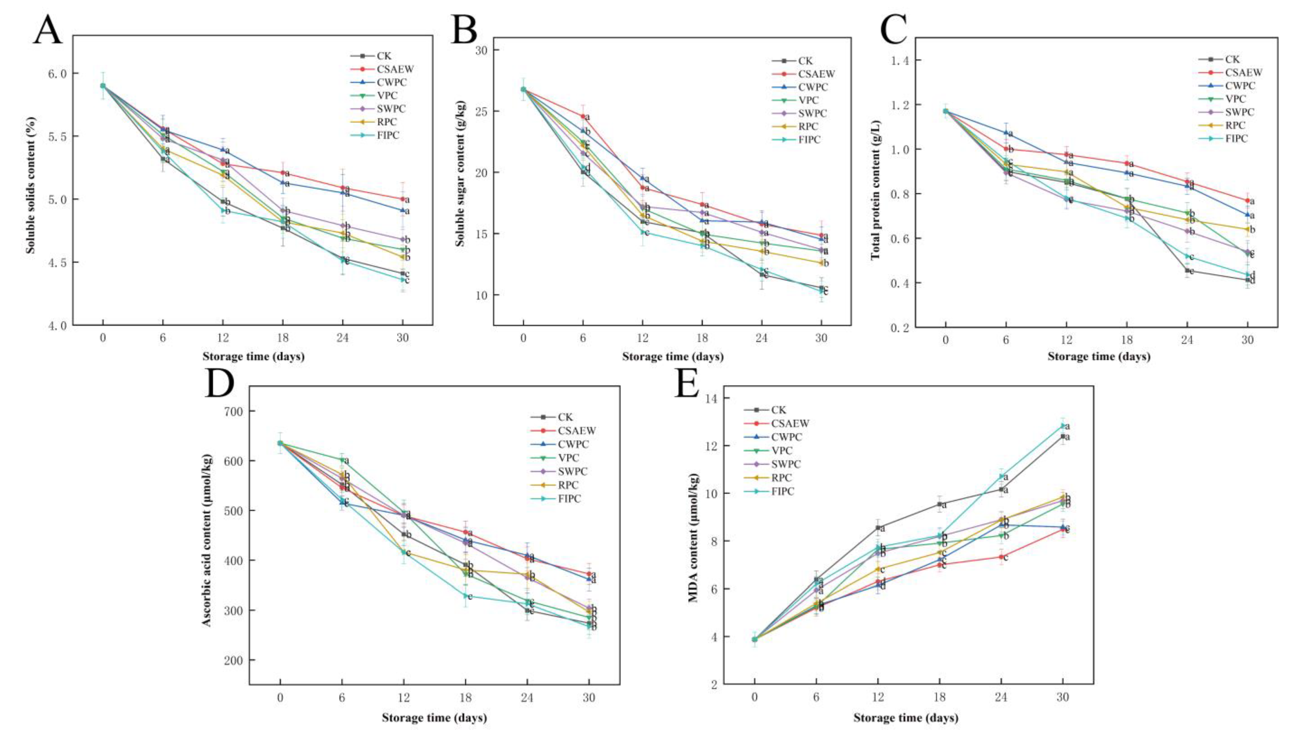
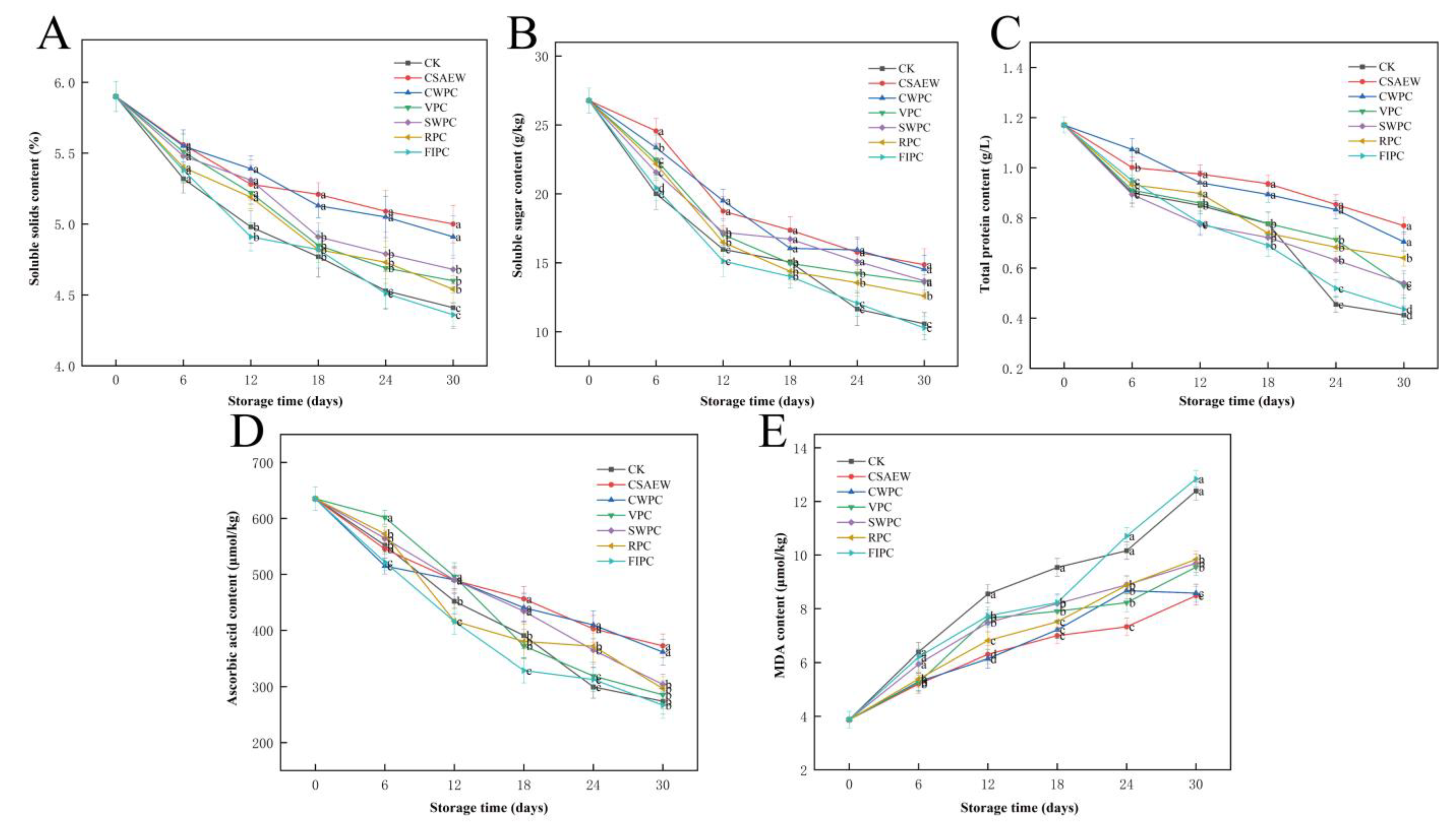
3.5. Nutrients and Oxidation in WBS
3.6. Total Bacterial Colony Count
4. Conclusions
Author Contributions
Funding
Data Availability Statement
Conflicts of Interest
References
- Karoney, E.M.; Molelekoa, T.; Bill, M.; Siyoum, N.; Korsten, L. Global research network analysis of fresh produce postharvest technology: Innovative trends for loss reduction. Postharvest Biol. Technol. 2024, 208, 112642. [Google Scholar] [CrossRef]
- Zhang, L.; Wang, J.W.; Zhou, X.; Shi, F.; Fu, W.W.; Ji, S.J. Effect of ATP treatment on enzymes involved in energy and lipid metabolisms accompany peel browning of ‘Nanguo’ pears during shelf life after low temperature storage. Sci. Hortic. 2018, 240, 446–452. [Google Scholar] [CrossRef]
- Zhang, Q.; Shan, C.H.; Song, W.; Cai, W.C.; Zhou, F.K.; Ning, M.; Tang, F.X. Transcriptome analysis of starch and sucrose metabolism change in Gold Queen Hami melons under different storage temperatures. Postharvest Biol. Technol. 2021, 174, 111445. [Google Scholar] [CrossRef]
- Jiang, L.; Shi, Y.; Li, M.; Duan, J.; Xu, Z.; Fan, Y.; Li, Y.; Ni, M. Controlled atmosphere storage of krypton, xenon and oxygen inhibits yellowing and maintains quality of fresh peeled water chestnuts (Eleocharis dulcis). Postharvest Biol. Technol. 2024, 210, 112745. [Google Scholar] [CrossRef]
- Ye, N.; Zhang, D.L.; Liu, S.; Zhang, Y.Q.; Wang, Y.F.; Tang, Y.; Yang, X.N.; Chai, J.H.; Ma, Y.P.; Ma, H.L. Controlled atmosphere storage alleviates the browning of walnut (Juglans regia L.) fruit through enhancing GABA-mediated energy metabolism. Postharvest Biol. Technol. 2024, 210, 112765. [Google Scholar] [CrossRef]
- Zhang, Y.L.; Zhao, Y.H.; Feng, J.; Dong, H.; Liao, W.Z.; Yang, X.F.; Chen, S.; He, Q. Development of equilibrium modified atmosphere packaging (EMAP) for postharvest strawberries based on material modification of permeability and selectivity: Theoretical design, model validation, and application effects. Postharvest Biol. Technol. 2024, 211, 112799. [Google Scholar] [CrossRef]
- Lu, Q.; Yang, D.; Xue, S.J. Effects of postharvest gamma irradiation on quality maintenance of Cara Cara navel orange (Citrus sinensis L. Osbeck) during storage. LWT Food Sci. Technol. 2023, 184, 115017. [Google Scholar] [CrossRef]
- Zhang, H.Y.; Ma, Z.M.; Wang, J.J.; Wang, P.; Lu, D.Y.; Deng, S.F.; Lei, H.L.; Gao, Y.F.; Tao, Y.Y. Treatment with exogenous salicylic acid maintains quality, increases bioactive compounds, and enhances the antioxidant capacity of fresh goji (Lycium barbarum L.) fruit during storage. LWT Food Sci. Technol. 2021, 140, 110837. [Google Scholar] [CrossRef]
- Tang, J.X.; Cheng, J.X.; Li, Z.X.; Zhang, J.D.; Pan, Y.F. Ethanol fumigation combined with modified atmosphere packaging delays potato greening under light. Plant Physiol. Biochem. 2023, 202, 107962. [Google Scholar] [CrossRef]
- Wang, C.L.; Du, J.M.; Hou, D.H.; Guo, X.H.; Liu, Q.T.; Liu, L.W.; Fang, Y.; Kou, L.P. Quality retention and delay postharvest senescence of figs (Ficus carica L.) using 1-methylcyclopropene and modified atmosphere packaging during cold storage. Food Biosci. 2023, 53, 102748. [Google Scholar] [CrossRef]
- Alibas, I.; Koksal, N. Forced-air, vacuum, and hydro precooling of cauliflower (Brassica oleracea L. var. botrytis cv. Freemont): Part I. Determination of precooling parameters. Food Sci. Technol. 2014, 34, 730–737. [Google Scholar] [CrossRef]
- Tao, S.; Wang, J.; Xie, J. Influence of different pre-cooling methods on the freshness preservation of bok choi (Brassica rapa var. chinensis). Food Chem. X 2024, 23, 101599. [Google Scholar] [CrossRef] [PubMed]
- Garrido, Y.; Tudela, J.A.; Gil, M.I. Comparison of industrial precooling systems for minimally processed baby spinach. Postharvest Biol. Technol. 2015, 102, 1–8. [Google Scholar] [CrossRef]
- Patel, B.B.; Sutar, R.F.; Khanbarad, S.C. Extension of shelf life of pre-cooled tomato fruit under refrigerated transport condition storage. J. Progress. Agric. 2015, 6, 1–8. [Google Scholar]
- Mittal, T.C.; Sharma, S.R.; Jindal, N. Effect of pre-cooling and packaging materials under ambient condition storage on postharvest quality of white button mushroom. Indian J. Sci. Res. Technol 2014, 2, 60–72. [Google Scholar]
- Defraeye, T.; Lambrecht, R.; Delele, M.A.; Tsige, A.A.; Opara, U.L.; Cronjé, P.; Verboven, P.; Nicolai, B. Forced-convective cooling of citrus fruit: Cooling conditions and energy consumption in relation to package design. J. Food Eng. 2014, 121, 118–127. [Google Scholar] [CrossRef]
- Zhang, Y.C.; Guo, M.J.; Mei, J.; Xie, J. Effects of Different Postharvest Precooling Treatments on Cold-Storage Quality of Yellow Peach (Amygdalus persica). Plants 2022, 11, 2334. [Google Scholar] [CrossRef]
- Zhang, C.; Zhou, P.; Mei, J.; Xie, J. Effects of Different Pre-Cooling Methods on the Shelf Life and Quality of Sweet Corn (Zea mays L.). Plants 2023, 12, 2370. [Google Scholar] [CrossRef]
- Zhang, J.; Liu, Q.; Chen, X.; Li, M.; Lin, M.; Chen, Y.; Lin, H. Slightly acidic electrolyzed water treatment improves the quality and storage properties of carambola fruit. Food Chem. X 2023, 17, 100555. [Google Scholar] [CrossRef]
- Huang, Y.R.; Hung, Y.C.; Hsu, S.Y.; Huang, Y.W.; Hwang, D.F. Application of electrolyzed water in the food industry. Food Control 2008, 19, 329–345. [Google Scholar] [CrossRef]
- Koide, S.; Takeda, J.; Shi, J.; Shono, H.; Atungulu, G.G. Disinfection efficacy of slightly acidic electrolyzed water on fresh cut cabbage. Food Control 2009, 20, 294–297. [Google Scholar] [CrossRef]
- Li, X.H.; Yue, H.; Xu, S.S.; Tian, J.Y.; Zhao, Y.; Xu, J.F. The effect of electrolyzed water on fresh-cut eggplant in storage period. LWT Food Sci. Technol. 2020, 123, 109080. [Google Scholar] [CrossRef]
- Yang, B.Q.; Han, Y.C.; Wu, W.J.; Fang, X.J.; Chen, H.J.; Gao, H.Y. Impact of melatonin application on lignification in water bamboo shoot during storage. Food Chem. X 2022, 13, 100254. [Google Scholar] [CrossRef]
- Ye, C.W.; He, C.; Zhang, B.W.; Wang, L.X.; Wang, L.F. Inhibition of lignification of Zizania latifolia with radio frequency treatments during postharvest. BMC Chem. 2020, 14, 4. [Google Scholar] [CrossRef] [PubMed]
- Qi, X.H.; Ji, Z.J.; Lin, C.; Li, S.F.; Liu, J.; Kan, J.; Zhang, M.; Jin, C.H.; Qian, C.L. Nitric oxide alleviates lignification and softening of water bamboo (Zizania latifolia) shoots during postharvest storage. Food Chem. 2020, 332, 127416. [Google Scholar] [CrossRef]
- Zhang, J.; Murtaza, A.; Zhu, L.J.; Iqbal, A.; Ali, S.W.; Xu, X.Y.; Pan, S.Y.; Hu, W.F. High pressure CO2 treatment alleviates lignification and browning of fresh-cut water-bamboo shoots (Zizania latifolia). Postharvest Biol. Technol. 2021, 182, 111690. [Google Scholar] [CrossRef]
- Miao, M.; Wang, Q.X.; Zhang, T.; Jiang, B. Effect of high hydrostatic pressure (HHP) treatment on texture changes of water bamboo shoots cultivated in China. Postharvest Biol. Technol. 2011, 59, 327–329. [Google Scholar] [CrossRef]
- Wen, B.; Cheng, Z.; Hu, Y.; Boon-Ek, Y.; Wongs-Aree, C.; Supapanich, S. Ultraviolet-C treatment maintains physicochemical quality of water bamboo (Zizania latifolia) shoots during postharvest storage. Postharvest Biol. Technol. 2019, 152, 65–72. [Google Scholar] [CrossRef]
- Li, Y.; Zhao, Y.; Zhang, Z.; He, H.; Shi, L.; Zhu, X.; Cui, K. Near-freezing temperature storage improves shelf-life and suppresses chilling injury in postharvest apricot fruit (Prunus armeniaca L.) by regulating cell wall metabolism. Food Chem. 2022, 387, 132921. [Google Scholar] [CrossRef]
- GB 4789.2-2022; National Food Safety Standard Food Microbiological Examination: Aerobic Plate Count. National Health Commission of the People’s Republic of China State Administration for Market Regulation: Beijing, China, 2022.
- Subedi, S.; Kattel, D.; Thokar, N. A Review on Post-Harvest Precooling Methods of Fruits and Vegetables. Food Agri. Econ. Rev. 2022, 2, 96–99. [Google Scholar] [CrossRef]
- Defraeye, T.; Cronjé, P.; Berry, T.; Opara, U.L.; East, A.; Hertog, M.; Verboven, P.; Nicolai, B. Towards integrated performance evaluation of future packaging for fresh produce in the cold chain. Trends Food Sci. Technol. 2015, 44, 201–225. [Google Scholar] [CrossRef]
- Elansari, A.M.; Fenton, D.L.; Callahan, C.W. Precooling. In Postharvest Technology of Perishable Horticultural Commodities; Elsevier: Amsterdam, The Netherlands, 2019; pp. 161–207. [Google Scholar]
- Zhu, Z.W.; Geng, Y.; Sun, D.W. Effects of operation processes and conditions on enhancing performances of vacuum cooling of foods: A review. Trends Food Sci. Technol. 2019, 85, 67–77. [Google Scholar] [CrossRef]
- Giménez, M.J.; Valverde, J.M.; Valero, D.; Zapata, P.J.; Castillo, S.; Serrano, M. Postharvest methyl salicylate treatments delay ripening and maintain quality attributes and antioxidant compounds of ‘Early Lory’ sweet cherry. Postharvest Biol. Technol. 2016, 117, 102–109. [Google Scholar] [CrossRef]
- Aaliya, K.; Nasir, I.A.; Khan, A.; Toufiq, N.; Yousaf, I.; Adeyinka, O.S.; Iftikhar, S.; Farooq, A.M.; Tabassum, B. Expression of ice recrystallization inhibition protein in transgenic potato lines associated with reduced electrolyte leakage and efficient recovery post freezing injury. J. Biotechnol. 2021, 327, 97–105. [Google Scholar] [CrossRef]
- Han, Q.; Gao, H.Y.; Chen, H.J.; Fang, X.J.; Wu, W.J. Precooling and ozone treatments affects postharvest quality of black mulberry (Morus nigra) fruits. Food Chem. 2017, 221, 1947–1953. [Google Scholar] [CrossRef]
- Huang, Q.H.; Qian, X.C.; Jiang, T.J.; Zheng, X.L. Effect of eugenol fumigation treatment on chilling injury and CBF gene expression in eggplant fruit during cold storage. Food Chem. 2019, 292, 143–150. [Google Scholar] [CrossRef]
- Suathong, W.; Ongkunaruk, P.; Trevanich, S. The shelf life and quality of green pea (Pisum sativum) sprouts during storage at different refrigerated temperatures and durations of indirect-sunlight exposure. Postharvest Biol. Technol. 2024, 207, 112590. [Google Scholar] [CrossRef]
- Zainal, B.; Ding, P.; Ismail, I.S.; Saari, N. Physico-chemical and microstructural characteristics during postharvest storage of hydrocooled rockmelon (Cucumis melo L. reticulatus cv. Glamour). Postharvest Biol. Technol. 2019, 152, 89–99. [Google Scholar] [CrossRef]
- Zhang, Z.H.; Sun, D.W. Effect of cooling methods on the cooling efficiencies and qualities of cooked broccoli and carrot slices. J. Food Eng. 2006, 77, 320–326. [Google Scholar] [CrossRef]
- Tian, D.; Fen, L.; Jiangang, L.; Mengli, K.; Jingfen, Y.; Xingqian, Y.; Donghong, L. Comparison of different cooling methods for extending shelf life of postharvest broccoli. Int. J. Adult Orthodon. Orthognath. Surg. 2016, 9, 178–185. [Google Scholar]
- Gong, K.J.; Chen, L.R.; Li, X.Y.; Liu, K.C. Lignin accumulation and biosynthetic enzyme activities in relation to postharvest firmness of fresh waxy corn. J. Food Process. Preserv. 2018, 42, e13333. [Google Scholar] [CrossRef]
- Zhang, M.; Liu, W.; Li, C.H.; Shao, T.T.; Jiang, X.; Zhao, H.Z.; Ai, W.T. Postharvest hot water dipping and hot water forced convection treatments alleviate chilling injury for zucchini fruit during cold storage. Sci. Hortic. 2019, 249, 219–227. [Google Scholar] [CrossRef]
- Morelló, J.-R.; Motilva, M.-J.; Ramo, T.; Romero, M.-P. Effect of freeze injuries in olive fruit on virgin olive oil composition. Food Chem. 2003, 81, 547–553. [Google Scholar] [CrossRef]
- Choi, J.H.; Yim, S.H.; Cho, K.S.; Kim, M.S.; Park, Y.S.; Jung, S.K.; Choi, H.S. Fruit quality and core breakdown of ‘Wonhwang’ pears in relation to harvest date and pre-storage cooling. Sci. Hortic. 2015, 188, 1–5. [Google Scholar] [CrossRef]
- Gou, M.Y.; Ran, X.Z.; Martin, D.W.; Liu, C.J. The scaffold proteins of lignin biosynthetic cytochrome P450 enzymes. Nat. Plants 2018, 4, 299–310. [Google Scholar] [CrossRef]
- Caño-Delgado, A.; Penfield, S.; Smith, C.; Catley, M.; Bevan, M. Reduced cellulose synthesis invokes lignification and defense responses in Arabidopsis thaliana. Plant J. 2003, 34, 351–362. [Google Scholar] [CrossRef]
- Tronchet, M.; Balagué, C.; Kroj, T.; Jouanin, L.; Roby, D. Cinnamyl alcohol dehydrogenases-C and D, key enzymes in lignin biosynthesis, play an essential role in disease resistance in Arabidopsis. Mol. Plant Pathol. 2010, 11, 83–92. [Google Scholar] [CrossRef]
- Li, D.; Limwachiranon, J.; Li, L.; Zhang, L.; Xu, Y.Q.; Fu, M.R.; Luo, Z.S. Hydrogen peroxide accelerated the lignification process of bamboo shoots by activating the phenylpropanoid pathway and programmed cell death in postharvest storage. Postharvest Biol. Technol. 2019, 153, 79–86. [Google Scholar] [CrossRef]
- Wang, G.L.; Huang, Y.; Zhang, X.Y.; Xu, Z.S.; Wang, F.; Xiong, A.S. Transcriptome-based identification of genes revealed differential expression profiles and lignin accumulation during root development in cultivated and wild carrots. Plant Cell Rep. 2016, 35, 1743–1755. [Google Scholar] [CrossRef]
- Yang, B.Q.; Fang, X.J.; Han, Y.C.; Liu, R.L.; Chen, H.J.; Gao, H.Y. Analysis of lignin metabolism in water bamboo shoots during storage. Postharvest Biol. Technol. 2022, 192, 111989. [Google Scholar] [CrossRef]
- Zheng, J.; Li, S.E.; Xu, Y.H.; Zheng, X.L. Effect of oxalic acid on edible quality of bamboo shoots (Phyllostachys prominens) without sheaths during cold storage. LWT Food Sci. Technol. 2019, 109, 194–200. [Google Scholar] [CrossRef]
- Petriccione, M.; De Sanctis, F.; Pasquariello, M.S.; Mastrobuoni, F.; Rega, P.; Scortichini, M.; Mencarelli, F. The Effect of Chitosan Coating on the Quality and Nutraceutical Traits of Sweet Cherry During Postharvest Life. Food Bioprocess Technol. 2015, 8, 394–408. [Google Scholar] [CrossRef]
- Lai, J.; Cao, X.; Yu, T.; Wang, Q.; Zhang, Y.W.; Zheng, X.D.; Lu, H.P. Effect of Cryptococcus laurentii on inducing disease resistance in cherry tomato fruit with focus on the expression of defense-related genes. Food Chem. 2018, 254, 208–216. [Google Scholar] [CrossRef] [PubMed]
- Chen, Y.H.; Xie, H.L.; Tang, J.Y.; Lin, M.S.; Hung, Y.C.; Lin, H.T. Effects of acidic electrolyzed water treatment on storability, quality attributes and nutritive properties of longan fruit during storage. Food Chem. 2020, 320, 126641. [Google Scholar] [CrossRef] [PubMed]
- Fan, Z.; Shen, H.; Hu, T.; Yu, L.; Xu, Y.; Wu, J.; Shi, P.; Song, X.; Yu, Y. Effect of liquid nitrogen spray quick-freezing technology on the quality of bamboo shoots, Dendrocalamus brandisii from Yunnan Province, China. J. Food Eng. 2024, 368, 111916. [Google Scholar] [CrossRef]
- Xiao, J.Q.; Gu, C.Q.; Zhu, D.X.; Chao, H.J.; Liang, Y.Y.; Quan, S.T. Near-freezing temperature (NFT) storage alleviates chilling injury by enhancing antioxidant metabolism of postharvest guava (Psidium guajava L.). Sci. Hortic. 2022, 305, 111395. [Google Scholar] [CrossRef]
- Teng, Y.X.; Murtaza, A.; Iqbal, A.; Fu, J.L.; Ali, S.W.; Iqbal, M.A.; Xu, X.Y.; Pan, S.Y.; Hu, W.F. Eugenol emulsions affect the browning processes, and microbial and chemical qualities of fresh-cut Chinese water chestnut. Food Biosci. 2020, 38, 100716. [Google Scholar] [CrossRef]
- Ding, T.; Ge, Z.; Shi, J.; Xu, Y.T.; Jones, C.L.; Liu, D.H. Impact of slightly acidic electrolyzed water (SAEW) and ultrasound on microbial loads and quality of fresh fruits. LWT Food Sci. Technol. 2015, 60, 1195–1199. [Google Scholar] [CrossRef]
- Zhang, C.L.; Zhang, Y.Y.; Zhao, Z.Y.; Liu, W.F.; Chen, Y.Q.; Yang, G.J.; Xia, X.D.; Cao, Y.F. The application of slightly acidic electrolyzed water in pea sprout production to ensure food safety, biological and nutritional quality of the sprout. Food Control 2019, 104, 83–90. [Google Scholar] [CrossRef]
- Guerzoni, M.E.; Gianotti, A.; Corbo, M.R.; Sinigaglia, M. Shelf-life modelling for fresh-cut vegetables. Postharvest Biol. Technol. 1996, 9, 195–207. [Google Scholar] [CrossRef]








Disclaimer/Publisher’s Note: The statements, opinions and data contained in all publications are solely those of the individual author(s) and contributor(s) and not of MDPI and/or the editor(s). MDPI and/or the editor(s) disclaim responsibility for any injury to people or property resulting from any ideas, methods, instructions or products referred to in the content. |
© 2024 by the authors. Licensee MDPI, Basel, Switzerland. This article is an open access article distributed under the terms and conditions of the Creative Commons Attribution (CC BY) license (https://creativecommons.org/licenses/by/4.0/).
Share and Cite
Tang, S.; Xu, Z.; Chen, C.; Xie, J. Effect of Different Postharvest Pre-Cooling Treatments on Quality of Water Bamboo Shoots (Zizania latifolia) during Refrigerated Storage. Plants 2024, 13, 2856. https://doi.org/10.3390/plants13202856
Tang S, Xu Z, Chen C, Xie J. Effect of Different Postharvest Pre-Cooling Treatments on Quality of Water Bamboo Shoots (Zizania latifolia) during Refrigerated Storage. Plants. 2024; 13(20):2856. https://doi.org/10.3390/plants13202856
Chicago/Turabian StyleTang, Shuwen, Zhongyi Xu, Chenwei Chen, and Jing Xie. 2024. "Effect of Different Postharvest Pre-Cooling Treatments on Quality of Water Bamboo Shoots (Zizania latifolia) during Refrigerated Storage" Plants 13, no. 20: 2856. https://doi.org/10.3390/plants13202856
APA StyleTang, S., Xu, Z., Chen, C., & Xie, J. (2024). Effect of Different Postharvest Pre-Cooling Treatments on Quality of Water Bamboo Shoots (Zizania latifolia) during Refrigerated Storage. Plants, 13(20), 2856. https://doi.org/10.3390/plants13202856

