Synergistic Phytochemical and Pharmacological Actions of Hair RiseTM Microemulsion: A Novel Herbal Formulation for Androgenetic Alopecia and Hair Growth Stimulation
Abstract
1. Introduction
2. Results and Discussion
2.1. Extraction Yield and Bioactive Compound Estimation
2.2. Antioxidant Activities of Plant Extracts
2.3. Characterization of the Hair RiseTM Microemulsion
2.4. Effect of Hair Complex Microemulsion on Cell Viability and Proliferation
2.5. Effect of Hair Complex Serum on Anti-Inflammatory Activities
2.6. Effect of Hair RiseTM Microemulsion on Antioxidant Activities in HFDPCs
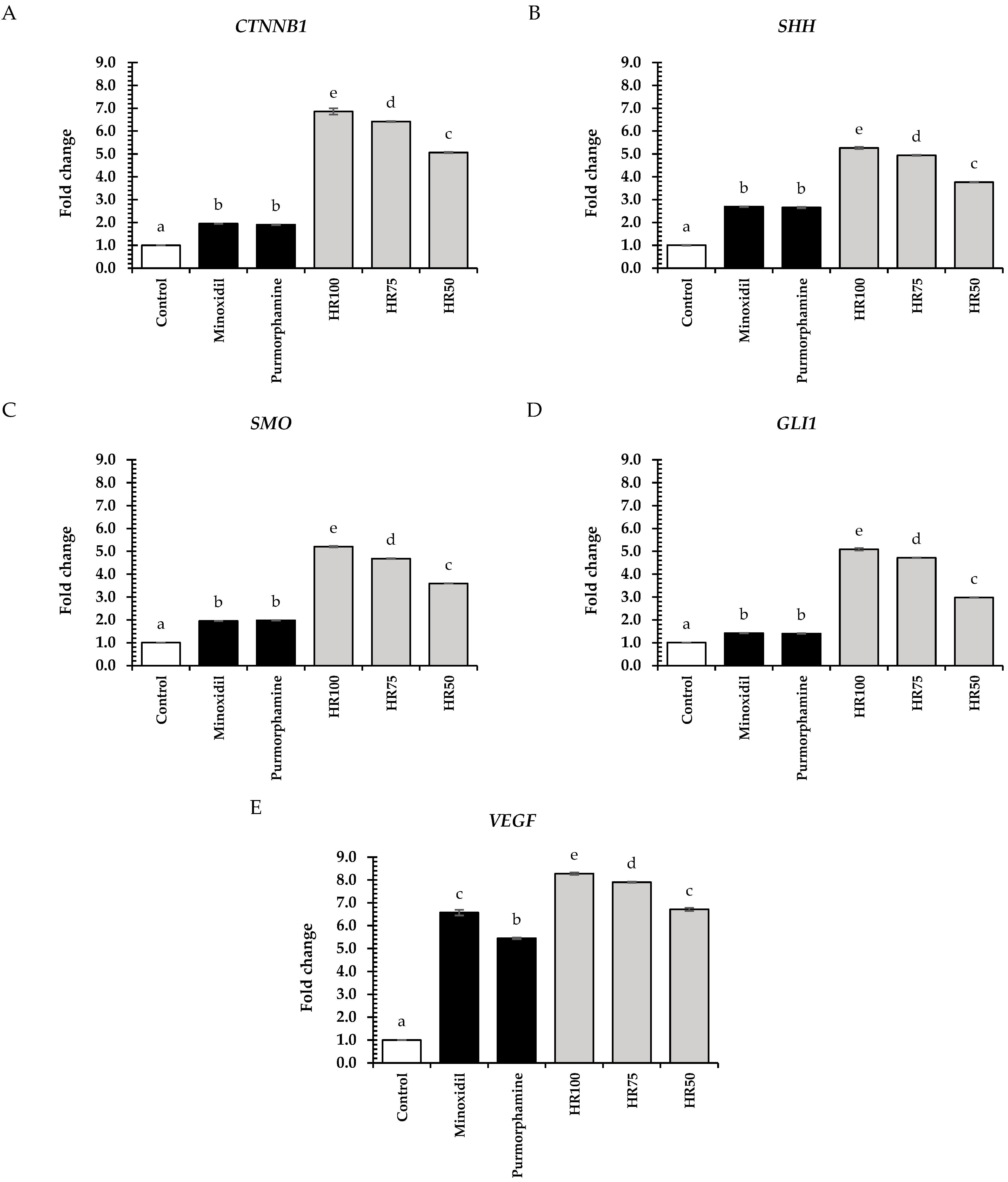
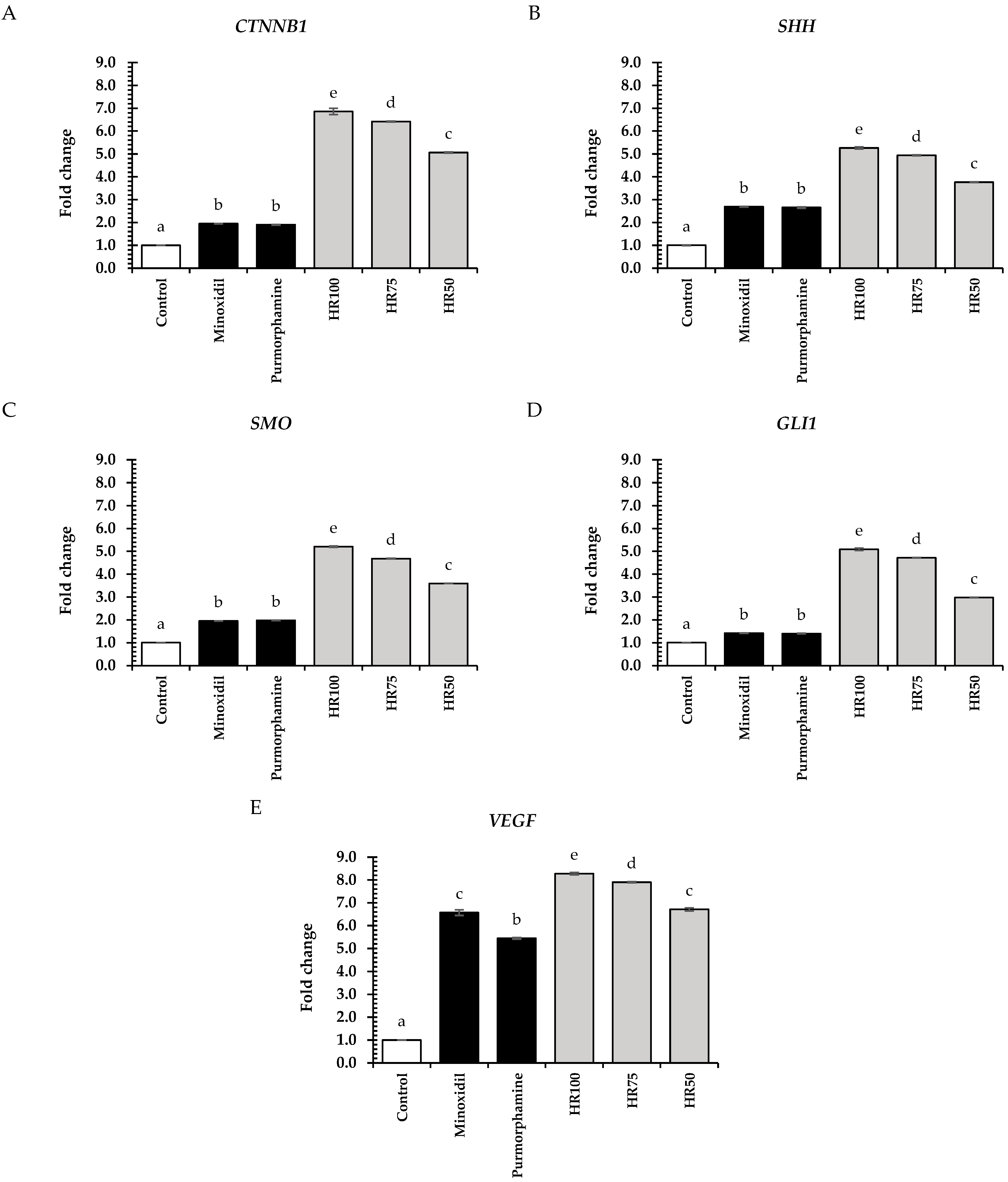
2.7. Effects of Hair RiseTM Microemulsion on Gene Expression
| Plant Material | Bioactive Compound | Mechanism | Associated Biomarker | Reference |
|---|---|---|---|---|
| Rice bran | Chlorogenic acid p-Coumaric acid Rosmarinic acid Ferulic acid Epigallocatechin gallate Quercetin α-Tocopherol γ-Tocopherol | Hair growth stimulation | Wnt/β-catenin ↑ Sonic Hedgehog ↑ Angiogenesis ↑ Growth factor (IGF-1, KGF) ↑ | [2,66] |
| Hair loss prevention | 5α-reductase ↓ Inflammation ↓ Oxidative stress ↓ | [2,66,67] | ||
| Shallot bulb | p-Coumaric acid Rosmarinic acid Quercetin | Hair growth stimulation | Wnt/β-catenin ↑ Sonic Hedgehog ↑ Angiogenesis ↑ Growth factor (IGF-1) ↑ Hair follicle proliferation ↑ | [16,68] |
| Hair loss prevention | 5α-reductase ↓ Inflammation ↓ Oxidative stress ↓ | [16,69] | ||
| Licorice root | Chlorogenic acid Epigallocatechin gallate Quercetin | Hair growth stimulation | Hair follicle proliferation ↑ | [21] |
| Hair loss prevention | 5α-reductase ↓ Inflammation ↓ Oxidative stress ↓ | [21,70,71] | ||
| Corn kernels | Chlorogenic acid p-Coumaric acid Glycyrrhizic acid | Hair loss prevention | Inflammation ↓ Oxidative stress ↓ | [72,73] |
3. Materials and Methods
3.1. Chemicals and Reagents
3.2. Plant Materials and Preparation of Extract
3.3. Phytochemical Evaluations of Plant Extract
3.3.1. Total Phenolic Content
3.3.2. Total Flavonoid Content
3.3.3. Quantitative Analysis of Glycyrrhizic Acid, Phenolic, and Flavonoid Profiles by Liquid Chromatography-Quadrupole Time-of-Flight Mass Spectrometry
3.3.4. Quantitative Analysis of γ-Oryzanol and Tocopherol by High Performance Liquid Chromatography (HPLC)
3.3.5. Determination of Antioxidant Activities
DPPH Radical Scavenging Assay
ABTS Radical Scavenging Assay
3.4. Preparation of Hair RiseTM Microemulsion
3.5. Measurement of Particle Size, Polydispersity Index, and Zeta Potential Values of Hair RiseTM Formulation
3.6. In Vitro Cell Viability Assay
3.7. Anti-Inflammatory Activity Assay
3.8. Thiobarbituric Acid-Reactive Substances (TBARS) Assay
3.9. Semi-Quantitative Reverse Transcription and Polymerase Chain Reaction Analysis
3.10. Statistical Analysis
4. Conclusions
Supplementary Materials
Author Contributions
Funding
Data Availability Statement
Acknowledgments
Conflicts of Interest
References
- Ring, C.M.; Finney, R.; Avram, M. Lasers, lights, and compounds for hair loss in aesthetics. Clin. Dermatol. 2022, 40, 64–75. [Google Scholar] [CrossRef] [PubMed]
- Khantham, C.; Ruksiriwanich, W.; Sringarm, K.; Prom-U-Thai, C.; Jamjod, S.; Arjin, C.; Muangsanguan, A.; Rachtanapun, P.; Jantanasakulwong, K.; Phimolsiripol, Y. Effects of bioactive composition in Oryza sativa L. cv. KDML105 bran extract on gene expression related to hair cycle in human hair follicle dermal papilla cells. Agronomy 2023, 13, 295. [Google Scholar] [CrossRef]
- Kwack, M.H.; Sung, Y.K.; Chung, E.J.; Im, S.U.; Ahn, J.S.; Kim, M.K.; Kim, J.C. Dihydrotestosterone-inducible dickkopf 1 from balding dermal papilla cells causes apoptosis in follicular keratinocytes. J. Investig. Dermatol. 2008, 128, 262–269. [Google Scholar] [CrossRef] [PubMed]
- Trüeb, R.M. Molecular mechanisms of androgenetic alopecia. Exp. Gerontol. 2002, 37, 981–990. [Google Scholar] [CrossRef] [PubMed]
- Wolf, R.; Schönfelder, G.; Paul, M.; Blume-Peytavi, U. Nitric oxide in the human hair follicle: Constitutive and dihydrotestosterone-induced nitric oxide synthase expression and NO production in dermal papilla cells. J. Mol. Med. 2003, 81, 110–117. [Google Scholar] [CrossRef]
- Wang, X.; Liu, Y.; He, J.; Wang, J.; Chen, X.; Yang, R. Regulation of signaling pathways in hair follicle stem cells. Burn. Trauma 2022, 10, tkac022. [Google Scholar] [CrossRef]
- Rabbani, P.; Takeo, M.; Chou, W.; Myung, P.; Bosenberg, M.; Chin, L.; Taketo, M.M.; Ito, M. Coordinated activation of Wnt in epithelial and melanocyte stem cells initiates pigmented hair regeneration. Cell 2011, 145, 941–955. [Google Scholar] [CrossRef]
- Mill, P.; Mo, R.; Fu, H.; Grachtchouk, M.; Kim, P.C.; Dlugosz, A.A.; Hui, C.C. Sonic hedgehog-dependent activation of Gli2 is essential for embryonic hair follicle development. Genes Dev. 2003, 17, 282–294. [Google Scholar] [CrossRef]
- Hou, C.; Miao, Y.; Wang, J.; Wang, X.; Chen, C.Y.; Hu, Z.Q. Collagenase IV plays an important role in regulating hair cycle by inducing VEGF, IGF-1, and TGF-β expression. Drug Des. Dev. Ther. 2015, 9, 5373–5383. [Google Scholar] [CrossRef]
- Cardoso, C.O.; Tolentino, S.; Gratieri, T.; Cunha-Filho, M.; Lopez, R.F.V.; Gelfuso, G.M. Topical treatment for scarring and non-scarring alopecia: An overview of the current evidence. Clin. Cosmet. Investig. Dermatol. 2021, 14, 485–499. [Google Scholar] [CrossRef] [PubMed]
- Shorter, K.; Farjo, N.P.; Picksley, S.M.; Randall, V.A. Human hair follicles contain two forms of ATP-sensitive potassium channels, only one of which is sensitive to minoxidil. FASEB J. Off. Publ. Fed. Am. Soc. Exp. Biol. 2008, 22, 1725–1736. [Google Scholar] [CrossRef]
- Olsen, E.A.; Hordinsky, M.; Whiting, D.; Stough, D.; Hobbs, S.; Ellis, M.L.; Wilson, T.; Rittmaster, R.S. The importance of dual 5alpha-reductase inhibition in the treatment of male pattern hair loss: Results of a randomized placebo-controlled study of dutasteride versus finasteride. J. Am. Acad. Dermatol. 2006, 55, 1014–1023. [Google Scholar] [CrossRef]
- Al-Khayri, J.M.; Rashmi, R.; Toppo, V.; Chole, P.B.; Banadka, A.; Sudheer, W.N.; Nagella, P.; Shehata, W.F.; Al-Mssallem, M.Q.; Alessa, F.M.; et al. Plant secondary metabolites: The weapons for biotic stress management. Metabolites 2023, 13, 716. [Google Scholar] [CrossRef]
- Kesika, P.; Sivamaruthi, B.S.; Thangaleela, S.; Bharathi, M.; Chaiyasut, C. Role and mechanisms of phytochemicals in hair growth and health. Pharmaceuticals 2023, 16, 206. [Google Scholar] [CrossRef]
- Wisetkomolmat, J.; Arjin, C.; Satsook, A.; Seel-Audom, M.; Ruksiriwanich, W.; Prom-u-Thai, C.; Sringarm, K. Comparative analysis of nutritional components and phytochemical attributes of selected Thai rice bran. Front. Nutr. 2022, 9, 833730. [Google Scholar] [CrossRef]
- Ruksiriwanich, W.; Khantham, C.; Muangsanguan, A.; Chittasupho, C.; Rachtanapun, P.; Jantanasakulwong, K.; Phimolsiripol, Y.; Sommano, S.R.; Sringarm, K.; Ferrer, E. Phytochemical constitution, anti-inflammation, anti-androgen, and hair growth-promoting potential of shallot (Allium ascalonicum L.) extract. Plants 2022, 11, 1499. [Google Scholar] [CrossRef]
- Ruksiriwanich, W.; Linsaenkart, P.; Khantham, C.; Muangsanguan, A.; Sringarm, K.; Jantrawut, P.; Prom-U-Thai, C.; Jamjod, S.; Yamuangmorn, S.; Arjin, C. Regulatory effects of thai rice by-product extracts from Oryza sativa L. cv. Bue Bang 3 CMU and Bue Bang 4 CMU on melanin production, nitric oxide secretion, and steroid 5α-reductase inhibition. Plants 2023, 12, 653. [Google Scholar] [CrossRef]
- Khantham, C.; Linsaenkart, P.; Chaitep, T.; Jantrawut, P.; Chittasupho, C.; Rachtanapun, P.; Jantanasakulwong, K.; Phimolsiripol, Y.; Sommano, S.R.; Prom-U-Thai, C. Antioxidation, anti-inflammation, and regulation of SRD5A gene expression of Oryza sativa cv. Bue Bang 3 CMU husk and bran extracts as androgenetic alopecia molecular treatment substances. Plants 2022, 11, 330. [Google Scholar] [CrossRef]
- Kwon, Y.-J.; Son, D.-H.; Chung, T.-H.; Lee, Y.-J. A review of the pharmacological efficacy and safety of licorice root from corroborative clinical trial findings. J. Med. Food 2020, 23, 12–20. [Google Scholar] [CrossRef] [PubMed]
- Cheng, M.; Zhang, J.; Yang, L.; Shen, S.; Li, P.; Yao, S.; Qu, H.; Li, J.; Yao, C.; Wei, W. Recent advances in chemical analysis of licorice (Gan-Cao). Fitoterapia 2021, 149, 104803. [Google Scholar] [CrossRef]
- Hagiwara, K.; Kiso, A.; Ono, S.; Kitamura, H.; Yamanishi, H.; Tsunekawa, Y.; Iwabuchi, T. 18-β-Glycyrrhetinic acid promotes hair growth by stimulating the proliferation of dermal papilla cells and outer root sheath cells, and extends the anagen phase by Inhibiting 5α-reductase. Biol. Pharm. Bull. 2024, 47, 1392–1395. [Google Scholar] [CrossRef] [PubMed]
- Zhang, B.; Zhang, W.; Luo, J.; He, J.; Rong, B.; Zheng, X.; Zhu, S.; Xu, X.; Ai, Y.; Zhang, L. Evaluation of hair growth properties of glycyrrhizic acid. Pharmacogn. Mag. 2022, 18, 1111–1117. [Google Scholar]
- Naseer, S.; Hussain, S.; Naeem, N.; Pervaiz, M.; Rahman, M. The phytochemistry and medicinal value of Psidium guajava (guava). Clin. Phytoscience 2018, 4, 1–8. [Google Scholar] [CrossRef]
- Ruksiriwanich, W.; Khantham, C.; Muangsanguan, A.; Phimolsiripol, Y.; Barba, F.J.; Sringarm, K.; Rachtanapun, P.; Jantanasakulwong, K.; Jantrawut, P.; Chittasupho, C. Guava (Psidium guajava L.) leaf extract as bioactive substances for anti-androgen and antioxidant activities. Plants 2022, 11, 3514. [Google Scholar] [CrossRef]
- Sawangwong, W.; Kiattisin, K.; Somwongin, S.; Wongrattanakamon, P.; Chaiyana, W.; Poomanee, W.; Sainakham, M. The assessment of composition, biological properties, safety and molecular docking of corn silk (Zea mays L.) extracts from the valorization of agricultural waste products in Thailand. Ind. Crops Prod. 2024, 212, 118352. [Google Scholar] [CrossRef]
- Velho, P.; Rebelo, C.S.; Macedo, E.A. Extraction of gallic acid and ferulic acid for application in hair supplements. Molecules 2023, 28, 2369. [Google Scholar] [CrossRef]
- Singh, Y.; Meher, J.G.; Raval, K.; Khan, F.A.; Chaurasia, M.; Jain, N.K.; Chourasia, M.K. Nanoemulsion: Concepts, development and applications in drug delivery. J. Control. Release 2017, 252, 28–49. [Google Scholar] [CrossRef] [PubMed]
- Muangsanguan, A.; Linsaenkart, P.; Chaitep, T.; Sangta, J.; Sommano, S.R.; Sringarm, K.; Arjin, C.; Rachtanapun, P.; Jantanasakulwong, K.; Phimolsiripol, Y. Hair growth promotion and anti-hair loss effects of by-products arabica coffee pulp extracts using supercritical fluid extraction. Foods 2023, 12, 4116. [Google Scholar] [CrossRef] [PubMed]
- Uwineza, P.A.; Gramza-Michałowska, A.; Bryła, M.; Waśkiewicz, A. Antioxidant activity and bioactive compounds of lamium album flower extracts obtained by supercritical fluid extraction. Appl. Sci. 2021, 11, 7419. [Google Scholar] [CrossRef]
- Kim, D.O.; Lee, C.Y. Extraction and isolation of polyphenolics. Curr. Protoc. Food Anal. Chem. 2002, 6, I1. 2.1–I1. 2.12. [Google Scholar] [CrossRef]
- Sałata, A.; Nurzyńska-Wierdak, R.; Kalisz, A.; Moreno-Ramón, H. Impacts of alexandrian clover living mulch on the yield, phenolic content, and antioxidant capacity of leek and shallot. Agronomy 2022, 12, 2602. [Google Scholar] [CrossRef]
- Dewi, I.K.; SUHENDRIYO, I.; PRAMONO, S.; ROHMAN, A.; MARTIEN, R. Total phenolic and flavonoid content, free radical scavenging activity and tyrosinase inhibition of corn cob (Zea mays) extract. Int. J. Appl. Pharm. 2021, 13, 99–102. [Google Scholar] [CrossRef]
- Hamad, G.; Elaziz, A.; Hassan, S.; Shalaby, M.; Mohdaly, A. Chemical composition, antioxidant, antimicrobial and anticancer activities of licorice (Glycyrrhiza glabra L.) root and its application in functional yoghurt. J. Food Nutr. Res. 2020, 8, 707–715. [Google Scholar] [CrossRef]
- Xiao, T.; Li, B.; Lai, R.; Liu, Z.; Xiong, S.; Li, X.; Zeng, Y.; Jiao, S.; Tang, Y.; Lu, Y. Active pharmaceutical ingredient-ionic liquids assisted follicular co-delivery of ferulic acid and finasteride for enhancing targeted anti-alopecia. Int. J. Pharm. 2023, 648, 123624. [Google Scholar] [CrossRef]
- Barajas-Álvarez, P.; Castillo-Herrera, G.A.; Guatemala-Morales, G.M.; Corona-González, R.I.; Arriola-Guevara, E.; Espinosa-Andrews, H. Supercritical CO2-ethanol extraction of oil from green coffee beans: Optimization conditions and bioactive compound identification. J. Food Sci. Technol. 2021, 58, 4514–4523. [Google Scholar] [CrossRef] [PubMed]
- Xu, B.J.; Chang, S.K. A comparative study on phenolic profiles and antioxidant activities of legumes as affected by extraction solvents. J. Food Sci. 2007, 72, S159–S166. [Google Scholar] [CrossRef] [PubMed]
- Harwansh, R.K.; Mukherjee, P.K.; Biswas, S. Nanoemulsion as a novel carrier system for improvement of betulinic acid oral bioavailability and hepatoprotective activity. J. Mol. Liq. 2017, 237, 361–371. [Google Scholar] [CrossRef]
- Gaikwad, V.L.; Choudhari, P.B.; Bhatia, N.M.; Bhatia, M.S. Characterization of pharmaceutical nanocarriers: In vitro and in vivo studies. In Nanomaterials for Drug Delivery and Therapy; Elsevier: Amsterdam, The Netherlands, 2019; pp. 33–58. [Google Scholar]
- ISO 10993-5; Biological Evaluation of Medical Devices—Part 5: Tests for In Vitro Cytotoxicity. International Organization for Standardization: Geneve, Switzerland, 2009.
- Kwack, M.H.; Kang, B.M.; Kim, M.K.; Kim, J.C.; Sung, Y.K. Minoxidil activates β-catenin pathway in human dermal papilla cells: A possible explanation for its anagen prolongation effect. J. Dermatol. Sci. 2011, 62, 154–159. [Google Scholar] [CrossRef]
- MacDonald, R.S. The role of zinc in growth and cell proliferation. J. Nutr. 2000, 130, 1500S–1508S. [Google Scholar] [CrossRef] [PubMed]
- Madaan, A.; Verma, R.; Singh, A.T.; Jaggi, M. Review of hair follicle dermal papilla cells as in vitro screening model for hair growth. Int. J. Cosmet. Sci. 2018, 40, 429–450. [Google Scholar] [CrossRef]
- Schmidt-Ullrich, R.; Paus, R. Molecular principles of hair follicle induction and morphogenesis. Bioessays 2005, 27, 247–261. [Google Scholar] [CrossRef]
- Ji, S.; Zhu, Z.; Sun, X.; Fu, X. Functional hair follicle regeneration: An updated review. Signal Transduct. Target. Ther. 2021, 6, 66. [Google Scholar] [CrossRef]
- Park, S. Hair follicle morphogenesis during embryogenesis, neogenesis, and organogenesis. Front. Cell Dev. Biol. 2022, 10, 933370. [Google Scholar] [CrossRef] [PubMed]
- Rastegar, H.; Ashtiani, H.A.; Aghaei, M.; Barikbin, B.; Ehsani, A. Herbal extracts induce dermal papilla cell proliferation of human hair follicles. Ann. Dermatol. 2015, 27, 667. [Google Scholar] [CrossRef]
- Shin, J.Y.; Kim, J.; Choi, Y.-H.; Kang, N.-G.; Lee, S. Dexpanthenol promotes cell growth by preventing cell senescence and apoptosis in cultured human hair follicle cells. Curr. Issues Mol. Biol. 2021, 43, 1361–1373. [Google Scholar] [CrossRef]
- Chaudhary, A.; Jaswal, V.S.; Choudhary, S.; Sharma, A.; Beniwal, V.; Tuli, H.S.; Sharma, S. Ferulic acid: A promising therapeutic phytochemical and recent patents advances. Recent Pat. Inflamm. Allergy Drug Discov. 2019, 13, 115–123. [Google Scholar] [CrossRef]
- Balık, A.R.; Balık, Z.B.; Aktaş, A.; Neşelioğlu, S.; Karabulut, E.; Karabulut, A.B. Examination of androgenetic alopecia with serum biomarkers. J. Cosmet. Dermatol. 2021, 20, 1855–1859. [Google Scholar] [CrossRef]
- Chambers, C.A.; Lacey, C.A.; Brown, D.C.; Skyberg, J.A. Nitric oxide inhibits interleukin-1-mediated protection against Escherichia coli K1-induced sepsis and meningitis in a neonatal murine model. Immunol. Cell Biol. 2021, 99, 596–610. [Google Scholar] [CrossRef] [PubMed]
- Mikkelsen, K.; Apostolopoulos, V. Vitamin B1, B2, B3, B5, and B6 and the immune system. In Nutrition and Immunity; Springer: Berlin/Heidelberg, Germany, 2019; pp. 115–125. [Google Scholar]
- Karasawa, K.; Uzuhashi, Y.; Hirota, M.; Otani, H. A matured fruit extract of date palm tree (Phoenix dactylifera L.) stimulates the cellular immune system in mice. J. Agric. Food Chem. 2011, 59, 11287–11293. [Google Scholar] [CrossRef]
- Roh, K.-B.; Kim, H.; Shin, S.; Kim, Y.-S.; Lee, J.-A.; Kim, M.O.; Jung, E.; Lee, J.; Park, D. Anti-inflammatory effects of Zea mays L. husk extracts. BMC Complement. Altern. Med. 2016, 16, 298. [Google Scholar] [CrossRef] [PubMed]
- Cwynar, A.; Olszewska-Słonina, D.; Czajkowski, R.; Zegarska, B.; Białecka, A.; Męcińska-Jundziłł, K.; Piskorska, E.; Lampka, M. Investigation of oxidative stress in patients with alopecia areata by measuring the levels of malondialdehyde and ceruloplasmin in the blood. Adv. Dermatol. Allergol./Postępy Dermatol. Alergol. 2018, 35, 572–576. [Google Scholar] [CrossRef]
- Akar, A.; Arca, E.; Erbil, H.; Akay, C.; Sayal, A.; Gür, A.R. Antioxidant enzymes and lipid peroxidation in the scalp of patients with alopecia areata. J. Dermatol. Sci. 2002, 29, 85–90. [Google Scholar] [CrossRef] [PubMed]
- Wang, Z.; Nan, W.; Si, H.; Wang, S.; Zhang, H.; Li, G. Pantothenic acid promotes dermal papilla cell proliferation in hair follicles of American minks via inhibitor of DNA Binding 3/Notch signaling pathway. Life Sci. 2020, 252, 117667. [Google Scholar] [CrossRef] [PubMed]
- Peterle, L.; Sanfilippo, S.; Borgia, F.; Cicero, N.; Gangemi, S. Alopecia areata: A review of the role of oxidative stress, possible biomarkers, and potential novel therapeutic approaches. Antioxidants 2023, 12, 135. [Google Scholar] [CrossRef] [PubMed]
- Upadhyay, S.; Upadhyay, P.; Ghosh, A.; Singh, V. Study of protective effect of Glycyrrhetinic acid in androgen induced alopecia. Res. Pharm. 2018, 8, 10–12. [Google Scholar]
- Bejsovec, A. Wnt signaling: An embarrassment of receptors. Curr. Biol. 2000, 10, R919–R922. [Google Scholar] [CrossRef]
- Wodarz, A.; Nusse, R. Mechanisms of Wnt signaling in development. Annu. Rev. Cell Dev. Biol. 1998, 14, 59–88. [Google Scholar] [CrossRef] [PubMed]
- Abe, Y.; Tanaka, N. The hedgehog signaling networks in lung cancer: The mechanisms and roles in tumor progression and implications for cancer therapy. BioMed Res. Int. 2016, 2016, 7969286. [Google Scholar] [CrossRef]
- Cebe-Suarez, S.; Zehnder-Fjällman, A.; Ballmer-Hofer, K. The role of VEGF receptors in angiogenesis; complex partnerships. Cell. Mol. Life Sci. 2006, 63, 601–615. [Google Scholar] [CrossRef]
- Oh, S.; Gwak, J.; Park, S.; Yang, C.S. Green tea polyphenol EGCG suppresses Wnt/β-catenin signaling by promoting GSK-3β-and PP2A-independent β-catenin phosphorylation/degradation. Biofactors 2014, 40, 586–595. [Google Scholar] [CrossRef] [PubMed]
- Liu, M.; Qin, J.; Cong, J.; Yang, Y. Chlorogenic acids inhibit adipogenesis: Implications of Wnt/β-catenin signaling pathway. Int. J. Endocrinol. 2021, 2021, 2215274. [Google Scholar] [CrossRef]
- Park, H.-J.; Zhang, N.; Park, D.K. Topical application of Polygonum multiflorum extract induces hair growth of resting hair follicles through upregulating Shh and β-catenin expression in C57BL/6 mice. J. Ethnopharmacol. 2011, 135, 369–375. [Google Scholar] [CrossRef]
- Choi, J.-S.; Jeon, M.-H.; Moon, W.-S.; Moon, J.-N.; Cheon, E.J.; Kim, J.-W.; Jung, S.K.; Ji, Y.-H.; Son, S.W.; Kim, M.-R. In vivo hair growth-promoting effect of rice bran extract prepared by supercritical carbon dioxide fluid. Biol. Pharm. Bull. 2014, 37, 44–53. [Google Scholar] [CrossRef] [PubMed]
- Saji, N.; Francis, N.; Blanchard, C.L.; Schwarz, L.J.; Santhakumar, A.B. Rice bran phenolic compounds regulate genes associated with antioxidant and anti-inflammatory activity in human umbilical vein endothelial cells with induced oxidative stress. Int. J. Mol. Sci. 2019, 20, 4715. [Google Scholar] [CrossRef]
- Seyfi, P.; Mostafaie, A.; Mansouri, K.; Arshadi, D.; Mohammadi-Motlagh, H.-R.; Kiani, A. In vitro and in vivo anti-angiogenesis effect of shallot (Allium ascalonicum): A heat-stable and flavonoid-rich fraction of shallot extract potently inhibits angiogenesis. Toxicol. Vitr. 2010, 24, 1655–1661. [Google Scholar] [CrossRef] [PubMed]
- Kim, J.-H.; Kim, J.-S.; Kim, S.-H.; Jeong, S.-H.; Jeong, U.-Y.; Jung, J.-E.; Lee, S.-K.; Lee, S.-H. Antioxidant and anti-inflammatory effects of ethanol extract from whole onion (Allium cepa L.) with leaves. Agriculture 2022, 12, 963. [Google Scholar] [CrossRef]
- Yang, R.; Yuan, B.-C.; Ma, Y.-S.; Zhou, S.; Liu, Y. The anti-inflammatory activity of licorice, a widely used Chinese herb. Pharm. Biol. 2017, 55, 5–18. [Google Scholar] [CrossRef] [PubMed]
- Leite, C.d.S.; Bonafé, G.A.; Carvalho Santos, J.; Martinez, C.A.R.; Ortega, M.M.; Ribeiro, M.L. The anti-inflammatory properties of licorice (Glycyrrhiza glabra)-derived compounds in intestinal disorders. Int. J. Mol. Sci. 2022, 23, 4121. [Google Scholar] [CrossRef]
- Gastelum-Hernández, A.C.; Serrano-Sandoval, S.N.; Dávila-Vega, J.P.; Antunes-Ricardo, M.; Serna-Saldivar, S.O.; Gutiérrez-Uribe, J.A.; Milán-Carrillo, J.; Díaz-Páez, J.s.A.; Guardado-Félix, D. Comparison of minerals, ferulic acid, antioxidant, and anti-inflammatory properties of products from raw maize and germinated maize with selenium. Food Sci. Technol. 2023, 3, 318–325. [Google Scholar] [CrossRef]
- Verediano, T.A.; Martino, H.S.D.; Kolba, N.; Fu, Y.; Paes, M.C.D.; Tako, E. Black corn (Zea mays L.) soluble extract showed anti-inflammatory effects and improved the intestinal barrier integrity in vivo (Gallus gallus). Food Res. Int. 2022, 157, 111227. [Google Scholar] [CrossRef] [PubMed]
- Tian, M.; Yan, H.; Row, K.H. Extraction of glycyrrhizic acid and glabridin from licorice. Int. J. Mol. Sci. 2008, 9, 571–577. [Google Scholar] [CrossRef] [PubMed]
- Linsaenkart, P.; Ruksiriwanich, W.; Jantrawut, P.; Chittasupho, C.; Rachtanapun, P.; Jantanasakulwong, K.; Sommano, S.R.; Prom-U-Thai, C.; Jamjod, S.; Arjin, C. Natural melanogenesis inhibitor, antioxidant, and collagen biosynthesis stimulator of phytochemicals in rice bran and husk extracts from purple glutinous rice (Oryza sativa L. cv. Pieisu 1 CMU) for cosmetic application. Plants 2023, 12, 970. [Google Scholar] [CrossRef] [PubMed]
- Ruksiriwanich, W.; Linsaenkart, P.; Muangsanguan, A.; Sringarm, K.; Jantrawut, P.; Arjin, C.; Sommano, S.R.; Phimolsiripol, Y.; Barba, F.J. Wound healing effect of supercritical carbon dioxide Datura metel L. leaves extracts: An in vitro study of anti-Inflammation, cell migration, MMP-2 Inhibition, and the modulation of the Sonic Hedgehog pathway in human fibroblasts. Plants 2023, 12, 2546. [Google Scholar] [CrossRef] [PubMed]
- Pestana, V.R.; Zambiazi, R.C.; Mendonça, C.R.; Bruscatto, M.H.; Lerma-García, M.J.; Ramis-Ramos, G. Quality changes and tocopherols and γ-orizanol concentrations in rice bran oil during the refining process. J. Am. Oil Chem. Soc. 2008, 85, 1013–1019. [Google Scholar] [CrossRef]
- Zielińska, A.; Nowak, I. Solid lipid nanoparticles and nanostructured lipid carriers as novel carriers for cosmetic ingredients. In Nanobiomaterials in Galenic Formulations and Cosmetics; Elsevier: Amsterdam, The Netherlands, 2016; pp. 231–255. [Google Scholar]
- Khantham, C.; Yooin, W.; Sringarm, K.; Sommano, S.R.; Jiranusornkul, S.; Carmona, F.D.; Nimlamool, W.; Jantrawut, P.; Rachtanapun, P.; Ruksiriwanich, W. Effects on steroid 5-alpha reductase gene expression of Thai rice bran extracts and molecular dynamics study on SRD5A2. Biology 2021, 10, 319. [Google Scholar] [CrossRef]





| Results | Plant Extract | ||||
|---|---|---|---|---|---|
| BB3-CMU Rice Bran | Shallot Bulb | Licorice Root | Corn Kernels | ||
| Extraction yield (%) | 14.80 ± 0.04 | 5.85 ± 0.09 | 11.21 ± 0.24 | 22.41 ± 0.86 | |
| Total phenolic content (mg GAE/g extract) | 32.42 ± 1.42 | 4.18 ± 0.03 | 3.21 ± 0.12 | 14.42 ± 0.56 | |
| Total flavonoid content (mg EGCG/g extract) | 56.03 ± 1.14 | 2.54 ± 0.01 | 1.96 ± 0.08 | 4.33 ± 0.12 | |
| Chlorogenic acid (mg/g extract) | 0.11 ± 0.01 | - | 0.12 ± 0.01 | 4.22 ± 0.51 | |
| p-Coumaric acid (mg/g extract) | 0.07 ± 0.01 | 1.02 ± 0.01 | - | 0.33 ± 0.01 | |
| Rosmarinic acid (mg/g extract) | 0.05 ± 0.01 | 0.21 ± 0.01 | - | - | |
| Ferulic acid (mg/g extract) | 0.02 ± 0.01 | - | - | 5.14 ± 0.01 | |
| Epigallocatechin gallate (mg/g extract) | 0.03 ± 0.03 | - | 0.09 ± 0.02 | - | |
| Quercetin (mg/g extract) | 0.03 ± 0.01 | 0.03 ± 0.01 | 0.07 ± 0.01 | - | |
| α-Tocopherol (mg/g extract) | 8.54 ± 0.02 | - | - | - | |
| γ-Tocopherol (mg/g extract) | 3.65 ± 0.01 | - | - | - | |
| Glycyrrhizic acid (mg/g extract) | - | - | 0.62 ± 0.02 | - | |
| Antioxidant activities (%) | ABTS | 32.14 ± 2.03 | 21.16 ± 1.33 | 16.15 ± 0.21 | 14.36 ± 0.04 |
| DPPH | 28.89 ± 1.08 | 19.15 ± 0.96 | 14.16 ± 0.24 | 12.18 ± 0.06 | |
| Condition | Size (nm) | Zeta Potential (mV) | pdI |
|---|---|---|---|
| At initial | 30.57 ± 0.17 a | −3.36 ± 0.05 a | 0.23 ± 0.02 b |
| After 1 month | 32.43 ± 0.06 a | −1.87 ± 0.03 b | 0.11 ± 0.01 a |
| After 2 months | 38.96 ± 1.32 b | −0.27 ± 0.01 e | 0.26 ± 0.02 c |
| After 3 months | 48.38 ± 0.88 d | −0.34 ± 0.02 d | 0.21 ± 0.03 b |
| After six cycles of heating–cooling accelerate process | 42.43 ± 0.91 c | −0.66 ± 0.02 c | 0.23 ± 0.03 b |
| Plants Materials | Extraction Method | Co-Solvent | Ratio (Sample: Co-Solvent) | Pressure (Bar) | Temperature (°C) | Time (h) |
|---|---|---|---|---|---|---|
| BB3-CMU rice bran | ScCO2 | 95% (v/v) Ethanol | 1:1 | 400 | 50 | 0.5 |
| Shallot bulb | ScCO2 | 50% (v/v) Ethanol | 2:1 | 400 | 50 | 0.5 |
| Licorice root | CE | 30% (v/v) Ethanol | 1:2 | - | 25 | 24 |
| Corn kernels | CE | 50% (v/v) Ethanol | 1:2 | - | 25 | 24 |
| Phase | Ingredient | Quantity % (w/w) |
|---|---|---|
| A | BB3-CMU rice bran extract | 1 |
| BB4-CMU rice bran extract | 1 | |
| KDML105 rice bran extract | 1 | |
| Piesu 1 CMU rice bran extract | 1 | |
| Tween 80 | 8.5 | |
| Tween 20 | 2 | |
| PEG-40 hydrogenated castor oil | 10 | |
| B | Vitamin B5 | 1 |
| Guava extract | 2 | |
| Shallot extract | 1 | |
| Licorice root extract | 1.5 | |
| Disodium EDTA | 0.5 | |
| Distilled water | 56.5 | |
| C | Corn kernels extract | 3 |
| Propylene glycol | 10 |
| Functional Pathway | Gene Name | Gene Bank No. | Primers | Sequence (5′-3′) |
|---|---|---|---|---|
| Androgen | SRD5A1 | NM_001047.4 | Forward Reverse | AGCCATTGTGCAGTGTATGC AGCCTCCCCTTGGTATTTTG |
| SRD5A2 | NM_000348.4 | Forward Reverse | TGAATACCCTGATGGGTGG CAAGCCACCTTGTGGAATC | |
| SRD5A3 | NM_024592.5 | Forward Reverse | TCCTTCTTTGCCCAAACATC TCCTTCTTTGCCCAAACATC | |
| Wnt/β-catenin | CTNNB1 | NM_001330729.2 | Forward Reverse | CCCACTAATGTCCAGCGTTT AACCAAGCATTTTCACCAGG |
| Sonic Hedgehog | SHH | NM_000193.4 | Forward Reverse | AAAAGCTGACCCCTTTAGCC GCTCCGGTGTTTTCTTCATC |
| SMO | NM_005631.5 | Forward Reverse | GAAGTGCCCTTGGTTCGGACA CCGCCAGTCAGCCACGAAT | |
| GLI1 | NM_005269.3 | Forward Reverse | GCAGGGAGTGCAGCCAATACAG GAGCGGCGGCTGACAGTATA | |
| Angiogenesis | VEGF | NM_001025366.3 | Forward Reverse | CTACCTCCACCATGCCAAGT GCGAGTCTGTGTTTTTGCAG |
| Internal control | GAPDH | NM_001289745.3 | Forward Reverse | GGAAGGTGAAGGTCGGAGTC CTCAGCCTTGACGGTGCCATG |
Disclaimer/Publisher’s Note: The statements, opinions and data contained in all publications are solely those of the individual author(s) and contributor(s) and not of MDPI and/or the editor(s). MDPI and/or the editor(s) disclaim responsibility for any injury to people or property resulting from any ideas, methods, instructions or products referred to in the content. |
© 2024 by the authors. Licensee MDPI, Basel, Switzerland. This article is an open access article distributed under the terms and conditions of the Creative Commons Attribution (CC BY) license (https://creativecommons.org/licenses/by/4.0/).
Share and Cite
Muangsanguan, A.; Ruksiriwanich, W.; Linsaenkart, P.; Jantrawut, P.; Rachtanapun, P.; Jantanasakulwong, K.; Sommano, S.R.; Sringarm, K.; Arjin, C.; Sainakham, M.; et al. Synergistic Phytochemical and Pharmacological Actions of Hair RiseTM Microemulsion: A Novel Herbal Formulation for Androgenetic Alopecia and Hair Growth Stimulation. Plants 2024, 13, 2802. https://doi.org/10.3390/plants13192802
Muangsanguan A, Ruksiriwanich W, Linsaenkart P, Jantrawut P, Rachtanapun P, Jantanasakulwong K, Sommano SR, Sringarm K, Arjin C, Sainakham M, et al. Synergistic Phytochemical and Pharmacological Actions of Hair RiseTM Microemulsion: A Novel Herbal Formulation for Androgenetic Alopecia and Hair Growth Stimulation. Plants. 2024; 13(19):2802. https://doi.org/10.3390/plants13192802
Chicago/Turabian StyleMuangsanguan, Anurak, Warintorn Ruksiriwanich, Pichchapa Linsaenkart, Pensak Jantrawut, Pornchai Rachtanapun, Kittisak Jantanasakulwong, Sarana Rose Sommano, Korawan Sringarm, Chaiwat Arjin, Mathukorn Sainakham, and et al. 2024. "Synergistic Phytochemical and Pharmacological Actions of Hair RiseTM Microemulsion: A Novel Herbal Formulation for Androgenetic Alopecia and Hair Growth Stimulation" Plants 13, no. 19: 2802. https://doi.org/10.3390/plants13192802
APA StyleMuangsanguan, A., Ruksiriwanich, W., Linsaenkart, P., Jantrawut, P., Rachtanapun, P., Jantanasakulwong, K., Sommano, S. R., Sringarm, K., Arjin, C., Sainakham, M., & Castagnini, J. M. (2024). Synergistic Phytochemical and Pharmacological Actions of Hair RiseTM Microemulsion: A Novel Herbal Formulation for Androgenetic Alopecia and Hair Growth Stimulation. Plants, 13(19), 2802. https://doi.org/10.3390/plants13192802

