Biosynthesis of Piceatannol from Resveratrol in Grapevine Can Be Mediated by Cresolase-Dependent Ortho-Hydroxylation Activity of Polyphenol Oxidase
Abstract
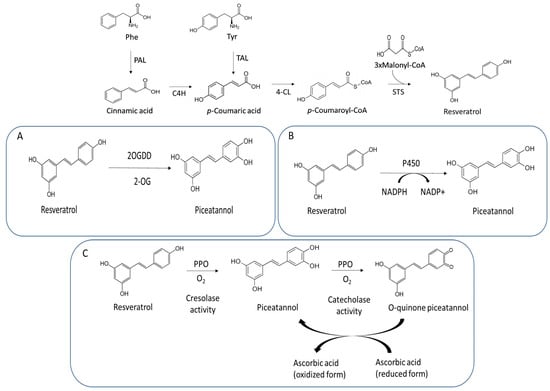
1. Introduction
2. Materials and Methods
2.1. Plant Material
2.2. Elicitor Treatments
2.3. Determination of Stilbenoids
2.4. Preparation of Grapevine Cells Subcellular Fractions and Protein Extracts
2.5. Enzymatic Hydroxylation Assay
2.6. Protein Identification by Liquid Chromatography–Tandem Mass Spectrometry and Database Search
2.7. Western Blotting
3. Results and Discussion
3.1. Determination of Resveratrol Hydroxylating Activity
3.2. Detection and Identification of PPO in Samples Catalysing the Synthesis of Piceatannol
3.3. Kinetic Characterization of Cresolase Activity of Vitis PPO on Resveratrol
4. Conclusions
Supplementary Materials
Author Contributions
Funding
Data Availability Statement
Conflicts of Interest
Abbreviation
| 2-OGDD | 2-oxoglutarate-dependent dioxygenase |
| CYP | cytochrome P450 hydroxylase/monoxygenase |
| EU | enzyme units |
| HEPES | 2-[4-(2-hydroxyethyl)piperazin-1-yl]ethanesulfonic acid |
| MBCD | dimethyl-β-cyclodextrin |
| MeJA | methyl jasmonate |
| MRM | multiple reaction monitoring |
| PMSF | phenylmethylsulfonyl fluoride |
| PPO | polyphenol oxidase |
| PVPP | polyvinylpolypyrrolidone |
| STS | stilbene synthase |
| TCA | trichloroacetic acid |
| t-R | trans-resveratrol (3,4′,5-trihydroxy-trans-stilbene) |
References
- Almagro, L.; Carbonell-Bejerano, P.; Belchí-Navarro, S.; Bru, R.; Martínez-Zapater, J.M.; Lijavetzky, D.; Pedreño, M.A. Dissecting the transcriptional response to elicitors in Vitis vinifera cells. PLoS ONE 2014, 9, e109777. [Google Scholar] [CrossRef] [PubMed]
- Tropf, S.; Lanz, T.; Rensing, S.A.; Schröder, J.; Schröder, G. Evidence that stilbene synthases have developed from chalcone synthases several times in the course of evolution. J. Mol. Evol. 1994, 38, 610–618. [Google Scholar] [CrossRef] [PubMed]
- Chong, J.; Poutaraud, A.; Hugueney, P. Metabolism and roles of stilbenes in plants. Plant Sci. 2009, 177, 143–155. [Google Scholar] [CrossRef]
- Jeandet, P.; Vannozzi, A.; Sobarzo-Sánchez, E.; Uddin, M.S.; Bru, R.; Martínez-Márquez, A.; Clément, C.; Cordelier, S.; Manayi, A.; Nabavi, S.F.; et al. Phytostilbenes as agrochemicals: Biosynthesis, bioactivity, metabolic engineering and biotechnology. Nat. Prod. Rep. 2021, 38, 1282–1329. [Google Scholar] [CrossRef] [PubMed]
- Jan, R.; Asaf, S.; Numan, M.; Lubna; Kim, K.-M. Plant Secondary Metabolite Biosynthesis and Transcriptional Regulation in Response to Biotic and Abiotic Stress Conditions. Agronomy 2021, 11, 968. [Google Scholar] [CrossRef]
- Goufo, P.; Singh, R.K.; Cortez, I. A Reference List of Phenolic Compounds (Including Stilbenes) in Grapevine (Vitis vinifera L.) Roots, Woods, Canes, Stems, and Leaves. Antioxidants 2020, 9, 398. [Google Scholar] [CrossRef]
- Bavaresco, L.; Fregoni, M.; Trevisan, M.; Mattivi, F.; Vrhovsek, U.; Falchetti, R. The occurrence of the stilbene piceatannol in grapes. Vitis 2002, 41, 133–136. [Google Scholar]
- Waffo Teguo, P.; Fauconneau, B.; Deffieux, G.; Huguet, F.; Vercauteren, J.; Mérillon, J.M. Isolation, identification, and antioxidant activity of three stilbene glucosides newly extracted from Vitis vinifera cell cultures. J. Nat. Prod. 1998, 61, 655–657. [Google Scholar] [CrossRef]
- Fernández-Marín, M.I.; Guerrero, R.F.; García-Parrilla, M.C.; Puertas, B.; Richard, T.; Rodriguez-Werner, M.A.; Winterhalter, P.; Monti, J.P.; Cantos-Villar, E. Isorhapontigenin: A novel bioactive stilbene from wine grapes. Food Chem. 2012, 135, 1353–1359. [Google Scholar] [CrossRef]
- Surh, Y.J.; Na, H.K. Therapeutic Potential and Molecular Targets of Piceatannol in Chronic Diseases. Adv. Exp. Med. Biol. 2016, 928, 185–211. [Google Scholar]
- Gandhi, H.; Mahant, S.; Sharma, A.K.; Kumar, D.; Dua, K.; Chellappan, D.K.; Singh, S.K.; Gupta, G.; Aljabali, A.A.A.; Tambuwala, M.M.; et al. Exploring the therapeutic potential of naturally occurring piceatannol in non-communicable diseases. Biofactors 2024, 50, 232–249. [Google Scholar] [CrossRef] [PubMed]
- Saiko, P.; Szakmary, A.; Jaeger, W.; Szekeres, T. Resveratrol and its analogs: Defense against cancer, coronary disease and neurodegenerative maladies or just a fad? Mutat. Res. 2008, 658, 68–94. [Google Scholar] [CrossRef] [PubMed]
- Latruffe, N.; Vervandier-Fasseur, D. Strategic Syntheses of Vine and Wine Resveratrol Derivatives to Explore Their Effects on Cell Functions and Dysfunctions. Diseases 2018, 6, 110. [Google Scholar] [CrossRef] [PubMed]
- Setoguchi, Y.; Oritani, Y.; Ito, R.; Inagaki, H.; Maruki-Uchida, H.; Ichiyanagi, T.; Ito, T. Absorption and metabolism of piceatannol in rats. J. Agric. Food Chem. 2014, 62, 2541–2548. [Google Scholar] [CrossRef]
- Potter, G.A.; Patterson, L.H.; Wanogho, E.; Perry, P.J.; Butler, P.C.; Ijaz, T.; Ruparelia, K.C.; Lamb, J.H.; Farmer, P.B.; Stanley, L.A.; et al. The cancer preventative agent resveratrol is converted to the anticancer agent piceatannol by the cytochrome P450 enzyme CYP1B1. Br. J. Cancer 2002, 86, 774–778. [Google Scholar] [CrossRef]
- Martínez-Márquez, A.; Morante-Carriel, J.A.; Ramírez-Estrada, K.; Cusidó, R.M.; Palazon, J.; Bru-Martínez, R. Production of highly bioactive resveratrol analogues pterostilbene and piceatannol in metabolically engineered grapevine cell cultures. Plant Biotechnol. J. 2016, 14, 1813–1825. [Google Scholar] [CrossRef]
- Piver, B.; Fer, M.; Vitrac, X.; Merillon, J.M.; Dreano, Y.; Berthou, F.; Lucas, D. Involvement of cytochrome P450 1A2 in the biotransformation of trans-resveratrol in human liver microsomes. Biochem. Pharmacol. 2004, 68, 773–782. [Google Scholar] [CrossRef]
- Kim, D.H.; Ahn, T.; Jung, H.C.; Pan, J.G.; Yun, C.H. Generation of the human metabolite piceatannol from the anticancer-preventive agent resveratrol by bacterial cytochrome P450 BM3. Drug Metab. Dispos. 2009, 37, 932–936. [Google Scholar] [CrossRef]
- Santiago, A.; Romero, P.; Martínez, A.; Martínez, M.J.; Echeverría, J.; Selles, S.; Alvarez-Urdiola, R.; Zhang, C.; Navarro-Payá, D.; Pizzio, G.A.; et al. Biosynthesis of oxyresveratrol in mulberry (Morus alba L.) is mediated by a group of p-coumaroyl-CoA 2′-hydroxylases acting upstream of stilbene synthases. bioRxiv 2024. [Google Scholar] [CrossRef]
- Kiselev, K.V.; Grigorchuk, V.P.; Ogneva, Z.V.; Suprun, A.R.; Dubrovina, A.S. Stilbene biosynthesis in the needles of spruce Picea jezoensis. Phytochemistry 2016, 131, 57–67. [Google Scholar] [CrossRef]
- Hammerbacher, A.; Ralph, S.G.; Bohlmann, J.; Fenning, T.M.; Gershenzon, J.; Schmidt, A. Biosynthesis of the major tetrahydroxystilbenes in spruce, astringin and isorhapontin, proceeds via resveratrol and is enhanced by fungal infection. Plant Physiol. 2011, 157, 876–890. [Google Scholar] [CrossRef] [PubMed]
- Bakrim, S.; Machate, H.; Benali, T.; Sahib, N.; Jaouadi, I.; Omari, N.E.; Aboulaghras, S.; Bangar, S.P.; Lorenzo, J.M.; Zengin, G.; et al. Natural Sources and Pharmacological Properties of Pinosylvin. Plants 2022, 11, 1541. [Google Scholar] [CrossRef] [PubMed]
- Turnbull, J.J.; Nakajima, J.; Welford, R.W.; Yamazaki, M.; Saito, K.; Schofield, C.J. Mechanistic studies on three 2-oxoglutarate-dependent oxygenases of flavonoid biosynthesis: Anthocyanidin synthase, flavonol synthase, and flavanone 3 beta-hydroxylase. J. Biol. Chem. 2004, 279, 1206–1216. [Google Scholar] [CrossRef] [PubMed]
- Sánchez-Ferrer, A.; Bru, R.; Cabanes, J.; García-Carmona, F. Characterization of catecholase and cresolase activities of monastrell grape polyphenol oxidase. Phytochemistry 1988, 27, 319–321. [Google Scholar] [CrossRef]
- Bru, R.; Sellés, S.; Casado-Vela, J.; Belchí-Navarro, S.; Pedreño, M.A. Modified cyclodextrins are chemically defined glucan inducers of defense responses in grapevine cell cultures. J. Agric. Food Chem. 2006, 54, 65–71. [Google Scholar] [CrossRef]
- Martinez-Esteso, M.J.; Sellés-Marchart, S.; Vera-Urbina, J.C.; Pedreño, M.A.; Bru-Martinez, R. DIGE analysis of proteome changes accompanying large resveratrol production by grapevine (Vitis vinifera cv. Gamay) cell cultures in response to methyl-b-cyclodextrin and methyl jasmonate elicitors. J. Proteom. 2011, 74, 1421–1436. [Google Scholar] [CrossRef]
- Martínez-Márquez, A.; Martínez-Esteso, M.J.; Vilella-Antón, M.T.; Sellés-Marchart, S.; Morante-Carriel, J.A.; Hurtado-Gaitán, E.; Palazon, J.; Bru-Martínez, R. A tau class glutathione-S-transferase is involved in tR transport out of grapevine cells. Front. Plant Sci. 2017, 8, 1457. [Google Scholar] [CrossRef]
- Hurtado-Gaitán, E.; Sellés-Marchart, S.; Martínez-Márquez, A.; Samper-Herrero, A.; Bru-Martínez, R. A Focused Multiple Reaction Monitoring (MRM) Quantitative Method for Bioactive Grapevine Stilbenes by Ultra-High-Performance Liquid Chromatography Coupled to Triple-Quadrupole Mass Spectrometry (UHPLC-QqQ). Molecules 2017, 22, 418. [Google Scholar] [CrossRef]
- Granier, F.; Van de Walle, C. Extraction of plant proteins for two-dimensional electrophoresis. Electrophoresis 1988, 9, 712–718. [Google Scholar] [CrossRef]
- Bensadoun, A.; Weinstein, D. Assay of proteins in the presence of interfering materials. Anal. Biochem. 1976, 70, 241–250. [Google Scholar] [CrossRef]
- Raghupathi, R.N.; Diwan, A.M. A protocol for protein estimation that gives a nearly constant color yield with simple proteins and nullifies the effects of four known interfering agents: Microestimation of peptide groups. Anal. Biochem. 1994, 219, 356–359. [Google Scholar] [CrossRef] [PubMed]
- Martínez-Márquez, A.; Morante-Carriel, J.; Sellés-Marchart, S.; Martínez-Esteso, M.J.; Pineda-Lucas, J.L.; Luque, I.; Bru-Martínez, R. Development and validation of MRM methods to quantify protein isoforms of polyphenol oxidase in loquat fruits. J. Proteome Res. 2013, 12, 5709–5722. [Google Scholar] [CrossRef] [PubMed]
- Selles, S.; Casado-Vela, J.; Bru, R. Effect of detergents, trypsin and unsaturated fatty acids on latent loquat fruit polyphenol oxidase: Basis for the enzyme’s activity regulation. Arch. Biochem. Biophys. 2007, 464, 295–305. [Google Scholar] [CrossRef] [PubMed]
- Piotrowska, H.; Kucinska, M.; Murias, M. Biological activity of piceatannol: Leaving the shadow of resveratrol. Mutat. Res. 2012, 750, 60–82. [Google Scholar] [CrossRef] [PubMed]
- Mishra, S.; Sharma, A.; Srivastava, A.K. Ascorbic acid: A metabolite switch for designing stress-smart crops. Crit. Rev. Biotechnol. 2024, 1–17. [Google Scholar] [CrossRef] [PubMed]
- Constabel, C.P.; Bergey, D.R.; Ryan, C.A. Systemin activates synthesis of wound-inducible tomato leaf polyphenol oxidase via the octadecanoid defense signaling pathway. Proc. Natl. Acad. Sci. USA 1995, 92, 407–411. [Google Scholar] [CrossRef]
- Zhang, J.; Zhang, X.; Ye, M.; Li, X.W.; Lin, S.B.; Sun, X.L. The Jasmonic Acid Pathway Positively Regulates the Polyphenol Oxidase-Based Defense against Tea Geometrid Caterpillars in the Tea Plant (Camellia sinensis). J. Chem. Ecol. 2020, 46, 308–316. [Google Scholar] [CrossRef]
- Sommer, A.; Ne’eman, E.; Steffens, J.C.; Mayer, A.M.; Harel, E. Import, targeting, and processing of a plant polyphenol oxidase. Plant Physiol. 1994, 105, 1301–1311. [Google Scholar] [CrossRef]
- Sánchez-Ferrer, A.; Bru, R.; Garcia-Carmona, F. Novel procedure for extraction of a latent grape polyphenoloxidase using temperature-induced phase separation in Triton X-114. Plant Physiol. 1989, 91, 1481–1487. [Google Scholar] [CrossRef]
- Sellés-Marchart, S.; Casado-Vela, J.; Bru-Martínez, R. Isolation of a latent polyphenol oxidase from loquat fruit (Eriobotrya japonica Lindl.): Kinetic characterization and comparison with the active form. Arch. Biochem. Biophys. 2006, 446, 175–185. [Google Scholar] [CrossRef]
- Chazarra, S.; Cabanes, J.; Escribano, J.; García-Carmona, F. Partial purification and characterization of latent polyphenol oxidase in iceberg Lettuce (Latuca sativa L.). J. Agric. Food Chem. 1996, 44, 984–988. [Google Scholar] [CrossRef]
- Robinson, S.P.; Dry, I.B. Broad bean leaf polyphenol oxidase is a 60-kilodalton protein susceptible to proteolytic cleavage. Plant Physiol. 1992, 99, 317–323. [Google Scholar] [CrossRef] [PubMed]
- Kampatsikas, I.; Bijelic, A.; Pretzler, M.; Rompel, A. A Peptide-Induced Self-Cleavage Reaction Initiates the Activation of Tyrosinase. Angew. Chem. Int. Ed. 2019, 58, 1433–7851. [Google Scholar] [CrossRef] [PubMed]
- Nokthai, P.; Lee, V.S.; Shank, L. Molecular modeling of peroxidase and polyphenol oxidase: Substrate specificity and active site comparison. Int. J. Mol. Sci. 2010, 11, 3266–3276. [Google Scholar] [CrossRef] [PubMed]
- Li, Y.; McLarin, M.A.; Middleditch, M.J.; Morrow, S.J.; Kilmartin, P.A.; Leung, I.K. An approach to recombinantly produce mature grape polyphenol oxidase. Biochimie 2019, 165, 40–47. [Google Scholar] [CrossRef]
- Fronk, P.; Hartmann, H.; Bauer, M.; Solem, E.; Jaenicke, E.; Tenzer, S.; Decker, H. Polyphenoloxidase from Riesling and Dornfelder wine grapes (Vitis vinifera) is a tyrosinase. Food Chem. 2015, 183, 49–57. [Google Scholar] [CrossRef]
- Katayama-Ikegami, A.; Suehiro, Y.; Katayama, T.; Jindo, K.; Itamura, H.; Esumi, T. Recombinant expression, purification, and characterization of polyphenol oxidase 2 (VvPPO2) from “Shine Muscat” (Vitis labruscana Bailey × Vitis vinifera L.). Biosci. Biotechnol. Biochem. 2017, 81, 2330–2338. [Google Scholar] [CrossRef]
- Kaya, E.D.; Bagci, O. Purification and biochemical characterization of polyphenol oxidase extracted from Kirmizi Kismis grape (Vitis vinifera L.). J. Food Biochem. 2021, 45, e13627. [Google Scholar] [CrossRef]
- Ümit Ünal, M.; Şener, A. Effect of harvest year on biochemical properties of Narince grape (Vitis vinifera L. cv. Narince) polyphenol oxidase. Eur. Food Res. Technol. 2014, 238, 613–619. [Google Scholar] [CrossRef]



| REAGENT | CYP (-PPO) | OGDD (-PPO) | Basal (-PPO) | PPO |
|---|---|---|---|---|
| NADPH | ✓ | Ø | Ø | Ø |
| OxoGlutarate | Ø | ✓ | Ø | Ø |
| Metabisulfite | ✓ | ✓ | ✓ | Ø |
| Ascorbic Acid | ✓ | ✓ | ✓ | ✓ |
| Sample/Fraction | µmol/h/mg | µmol/h/mg | µmol/h/mg | µmol/h/mg |
| Control (-) | n.d. | n.d. | n.d. | n.d. |
| Crude Extract | 0.019 ± 0.002 | 0.017 ± 0.004 | 0.025 ± 0.005 | 0.231 ± 0.037 |
| Soluble Fract | 0.018 ± 0.007 | 0.025 ± 0.003 | 0.019 ± 0.001 | 0.147 ± 0.058 |
| Particulate Fract | 0.042 ± 0.09 | 0.018 ± 0.006 | 0.059 ± 0.021 | 0.247 ± 0.089 |
| 80% (NH4)2 SO4 | 0.068 ± 0.06 | 0.099 ± 0.025 | 0.073 ± 0.038 | 0.343 ± 0.017 |
| A5 | 0.030 | n.d | 0.054 | 1.813 |
| A6 | 0.113 | 0.135 | 0.171 | 101.48 |
| A7 | 0.315 | 0.936 | 0.803 | 661.04 |
| A8 | 0.571 | 3.776 | 2.130 | 1031.25 |
| A9 | 0.760 | 3.550 | 2.296 | 453.79 |
| A10 | 0.273 | 0.275 | 0.299 | 14.83 |
| Tryptic Peptide Identified | PPO Isoform | |||
|---|---|---|---|---|
| XP_010647098.3 | QID41594.1 | XP_059596123.1 | NP_001268045.1 | |
| AIELMK | ✓ | ✓ | ||
| ALPDDDPR | ✓ | ✓ | ✓ | ✓ |
| LIDLDYNLTDSNDTNEQQISSNLSIMYR | ✓ | ✓ | ||
| TTSLFMGAAYR | ✓ | ✓ | ||
| DPIFFSHHSNVDR | ✓ | ✓ | ||
| DFTDPDWLDAGFVFYDENAQLVR | ✓ | |||
| IGISELLEDLEAEDDDSVVVTLVPR | ✓ | ✓ | ||
Disclaimer/Publisher’s Note: The statements, opinions and data contained in all publications are solely those of the individual author(s) and contributor(s) and not of MDPI and/or the editor(s). MDPI and/or the editor(s) disclaim responsibility for any injury to people or property resulting from any ideas, methods, instructions or products referred to in the content. |
© 2024 by the authors. Licensee MDPI, Basel, Switzerland. This article is an open access article distributed under the terms and conditions of the Creative Commons Attribution (CC BY) license (https://creativecommons.org/licenses/by/4.0/).
Share and Cite
Martínez-Márquez, A.; Selles-Marchart, S.; Nájera, H.; Morante-Carriel, J.; Martínez-Esteso, M.J.; Bru-Martínez, R. Biosynthesis of Piceatannol from Resveratrol in Grapevine Can Be Mediated by Cresolase-Dependent Ortho-Hydroxylation Activity of Polyphenol Oxidase. Plants 2024, 13, 2602. https://doi.org/10.3390/plants13182602
Martínez-Márquez A, Selles-Marchart S, Nájera H, Morante-Carriel J, Martínez-Esteso MJ, Bru-Martínez R. Biosynthesis of Piceatannol from Resveratrol in Grapevine Can Be Mediated by Cresolase-Dependent Ortho-Hydroxylation Activity of Polyphenol Oxidase. Plants. 2024; 13(18):2602. https://doi.org/10.3390/plants13182602
Chicago/Turabian StyleMartínez-Márquez, Ascensión, Susana Selles-Marchart, Hugo Nájera, Jaime Morante-Carriel, Maria J. Martínez-Esteso, and Roque Bru-Martínez. 2024. "Biosynthesis of Piceatannol from Resveratrol in Grapevine Can Be Mediated by Cresolase-Dependent Ortho-Hydroxylation Activity of Polyphenol Oxidase" Plants 13, no. 18: 2602. https://doi.org/10.3390/plants13182602
APA StyleMartínez-Márquez, A., Selles-Marchart, S., Nájera, H., Morante-Carriel, J., Martínez-Esteso, M. J., & Bru-Martínez, R. (2024). Biosynthesis of Piceatannol from Resveratrol in Grapevine Can Be Mediated by Cresolase-Dependent Ortho-Hydroxylation Activity of Polyphenol Oxidase. Plants, 13(18), 2602. https://doi.org/10.3390/plants13182602

