Abstract
This study evaluates the essential oil (EO) composition of Piper rivinoides Kunth, a shrub native to the Brazilian tropical rainforest, across different plant parts and developmental phases. The aim was to explore the chemical diversity of EO and its reflection in the plant’s ecological interactions and adaptations. Plant organs (roots, stems, branches, and leaves) at different developmental phases were subjected to hydrodistillation followed by chemical analysis using Gas Chromatography–Mass Spectrometry (GC–MS) and Gas Chromatography–Flame Ionization Detector (GC–FID). The results revealed a relevant variation in EO yield and composition among different plant parts and developmental phases. Leaves showed the highest yield and chemical diversity, with α-pinene and β-pinene as major constituents, while roots and stems were characterized by a predominance of arylpropanoids, particularly apiol. The chemical diversity in leaves increased with plant maturity, indicating a dynamic adaptation to environmental interactions. The study underscores the importance of considering the ontogeny of plant parts in understanding the ecological roles and potential applications of P. rivinoides in medicine and agriculture. The findings contribute to the overall knowledge of Piperaceae chemodiversity and ecological adaptations, offering insights into the plant’s interaction with its environment and its potential uses based on chemical composition.
1. Introduction
Special metabolites in plants reflect their needs and interactions with the environment, with differences in metabolic pathways between organs as an eco-physiological response. The synthesis, allocation, and distribution of these metabolites are dynamic and complex processes that not only mirror the plant’s genetics, but also its interactions with its geographical origin and environmental conditions [1,2]. These physiological responses involve intracellular signaling pathways, including plant hormones, gene expression regulation, protein kinase activation, and secondary metabolite synthesis [3]. This synthesis is a critical aspect of ecophysiology, illustrating how plants chemically react to environmental factors, forming a unique metabolic signature [4].
Variations in the structural composition of plant organs can lead to differences in primary metabolic pathways as a response to ecological and physiological factors, reflecting the strong link between structure and function [1,5]. Additionally, the chemical traits of plants can be influenced by spatial and temporal changes, and metabolic functions may undergo significant alterations during developmental stages [6,7,8]. Rapid changes in chemical phenotypes can influence a plant’s immediate environment, shaping its ecological niche. Plants adapt their chemical responses and phenotypes to better align with environmental conditions, enhancing fitness in specialized ecological niches [9,10,11,12]. However, it remains unclear if this adaptive plasticity in chemical traits is also evident among wild plant populations in natural ecosystems.
Chemical diversity within natural ecological niches is a crucial tool for studying ecophysiology [9,10,11]. Examining chemical interactions within different plant parts, their eco-physiological acclimation in tropical environments, and phenotypic changes during development enriches our understanding of plant chemical ecology and adaptive capacities [13]. These insights could be valuable for biodiversity conservation, understanding plant–environment interactions, and exploring the potential applications of secondary metabolites in agriculture, industry, and medicine.
This study focuses on Piper rivinoides Kunth (Piperaceae), a shrub native to the Brazilian tropical rainforest, commonly found in shaded areas near trails, riverbanks, and wetlands [14,15]. P. rivinoides plays a significant role in ecological resilience and ecosystem recovery, with its leaves extensively used in Brazil for medicinal and ritual purposes, including wound healing, ulcers, vaginal discharge, bleeding, and oral health issues [16,17,18,19,20,21,22,23]. Despite its uses, there is no commercially cultivated variety, with people relying instead on wild specimens. Recent phytochemical studies reveal a diverse range of secondary metabolites, such as neolignans, terpenes, and arylpropanoids, highlighting their potential for bioactivity [18,19,24,25,26]. This study aimed (1) to understand how resource allocation occurs in a spatio-temporal context in the production of secondary metabolites, particularly essential oils (EO); and (2) to investigate the chemical diversity of EO obtained at different organ and ontogeny levels using chemodiversity and advanced chemophenetic metrics.
2. Material and Methods
2.1. Botanical Material
P. rivinoides (roots, stems, branches, and leaves) were collected in January during the summer of 2022 at 9:00 a.m. (authorization No. 07/0002.007362/2021) in the Pedra Branca State Park, in the city of Rio de Janeiro, Brazil (22°58′12″ S, 43°14′30″ W, altitude 452 m).The Pedra Branca State Park is located in the city’s Western zone and is recognized as the world’s largest urban forest, with a humid tropical climate and no dry season [27]. For the study of plant development, only the leaves were collected to maintain species conservation and minimize environmental impact. As there were no botanical studies on the developmental stages of the P. rivinoides plant, we used morphological characteristics such as branching degree and plant height above the ground to define these stages. Thus, we established the following developmental stages: phase I—25 cm tall with an unbranched herbaceous stem; phase II—40 cm tall with a branched herbaceous stem; phase III—70 cm tall with a herbaceous stem with 3 or more branches; phase IV—2 m tall with a lignified stem and multiple branches; phase V—7 m tall with a thick stem, multiple branches, and lignified [28,29]. During the collections, the third pair of leaves (from top to bottom), corresponding to the first well-expanded leaf, was sampled. The collected leaves were mature, without signs of cloning, herbivore damage, or reproductive organs. To ensure sample representativeness, specimens were selected whenever at least five plants of similar size were found close to each other, serving as replicas. All collections were made within a 30 m radius to ensure genetic uniformity. Dr. George Queiroz de Azevedo from the Research Institute of the Rio de Janeiro Botanical Garden conducted the botanical identification of the plant material, and herbarium samples were deposited at the Herbarium of Botanical Garden of Rio de Janeiro (RB) under voucher numbers (RB 861754). This study was registered in the National System for the Management of Genetic Heritage and Traditional Knowledge (SISGEN) under number AE4E953.
2.2. Essential Oil Extraction and Analysis
The different plant organs at different phases of P. rivinoides (100 g each) were separately subjected to hydrodistillation using a modified Clevenger-type apparatus for two hours. The resulting EO was separated from the aqueous phase, dried with anhydrous sodium sulfate, and stored in dark amber flasks in a freezer at −20 °C until analysis [30]. The total EO yield was expressed as a percentage value, calculated as weight of EO (g) divided by the weight (g) of fresh plant × 100.
The obtained EOs were diluted in dichloromethane (1 mg/mL) (Tedia, Brazil) and then subjected to Gas Chromatography–Mass Spectrometry (GC–MS) analysis for identification purposes and Gas Chromatography–Flame Ionization Detector (GC–FID) for quantification analysis [31]. The GC–MS conditions used were as follows: analysis was carried out using an HP Agilent GC 6890 gas chromatograph coupled to an Agilent MS 5973N mass spectrometer (Santa Clara, CA, USA), with an ionization energy of 70 eV (positive mode). The EO solution was injected at 1 μL (splitless) and the injector temperature was set at 270 °C. The sample was run through an HP-5MS capillary column (30 m × 0.25 mm i.d. × 0.25 μm film thickness) (Agilent J&W, Santa Clara, CA, USA), with an oven temperature program ranging from 60 °C to 240 °C, with an increase of 3 °C/min (60 min total run), using helium (>99.99%) as the carrier gas, at a constant flow rate of 1 mL/min. The monitoring mass range was m/z 40–600 atomic mass unit (u). The GC–FID analysis was carried out using an HP-Agilent 6890 GC–FID gas chromatograph in the same conditions as for GC–MS, except using hydrogen as the carrier gas at a constant flow rate of 1.0 mL/min. The retention times (tR) were measured in minutes without correction [30,31]. Retention index (RI) and the peak area quantification were obtained based on the GC–FID results. The relative percentage of individual components was calculated based on GC peak areas without FID response factor correction. Linear retention indices (RIs) were calculated for separate compounds relative to n-alkanes (C8–C28, Sigma-Aldrich, São Paulo, SP, Brazil). Constituents were identified by comparison of their calculated RIs with those in the literature [32], and by comparison of the mass spectrum with those recorded by the NIST library (National Institute of Standards and Technology) “NIST14” and Wiley (ChemStation data system) “WILEY7n” [33]. Additionally, authentic pattern co-injection was performed whenever possible [33].
2.3. Data Processing and Statistical Analysis
In this study, data are presented as the mean ± standard deviation, derived from triplicate analyses, to ensure reliability of results. To investigate the relationships and variations within plant organs, were applied different statistical methods to our dataset. The results from GC–MS were treated as operational taxonomic units (OTUs) and transformed using the arcsine square root method. These data were then converted into a matrix using percentage area (%), excluding unidentified substances or those with less than 1% content [34]. Subsequently, Principal Component Analysis (PCA) and Hierarchical Cluster Analysis (HCA) was applied to examine similarities among OTUs, based on the class and distribution of chemical compounds in different organs and phases. For dendrogram generation, we used Euclidean distances with the Unweighted Pair Group Method with Arithmetic Mean (UPGMA) [34]. Additionally, the following analyses were conducted: I—variations between the chemical compositions of organs; II—chemical diversity among different compartments; III—variations in micromolecular evaluation indices and diversity. To compare the obtained means, analysis of variance (ANOVA) was employed using Statistica software, version 13 (StartSoft Inc., Tulsa, OK, USA). Means were subjected to Tukey’s test at a significance level of 5% probability [35].
2.4. Chemodiversity and Advanced Chemophenetics Approaches
To measure the chemodiversity among different organizational and spatial levels of the plant, the content of the chemical composition of the EO (percentage value % of the area), extracted from data obtained by GC–FID, were treated as operational taxonomic units (OTUs) and subjected to calculations of (1) Shannon index (H’); (2) Pielou index (E) for chemodiversity α; (3) Jaccard index (CJ); and (4) Sorensen Index (SI) for chemodiversity β. In relation to advanced chemophenetic analysis, the (5) Weighted Oxidation-Reduction Level (NOR) and (6) Ramos and Moreira Index (EIR&M R&M index) were calculated [6,36,37,38] The equations for these indices are provided below.
In these equations: (1) Pi represents the proportional abundance of each compound, calculated by dividing the amount of the identified compound by the total amount of all identified compounds in the sample, where the total number of compounds are present in the sample. (2) H’ is the value of the Shannon index, and S is the number of compounds; (3,4) A corresponds to the number of compounds in one sample; B is the number of compounds in another sample, and C is the number of the same compounds found in both A and B. (5) Values for NOR were obtained by the Nox of the compound, which is the oxidation number of the chemical structure, Q% is the relative content obtained for each compound from the GC–FID, and n is the number of carbon atoms in the chemical structure. (6) Values for IER&M were obtained by the ratio of the sum of all NOR values for each compound to the number of identified compounds in the sample (NSI).
3. Results
3.1. Chemical Composition and Yields of Essential Oils from P. rivinoides
Information about the chemical composition, yield, and number of compounds identified in the EO from different plant parts (>0.2%) is recorded in Table 1. The EO obtained from the leaves showed the highest yield (0.82%, w/w), followed by the roots (0.57% w/w), branches (0.31% w/w), and stem (0.05% w/w). A total of 111 compounds were identified in the EO. The chemical composition of leaf and branch was quite similar, with α-pinene (1) (31.90% in leaves and 20.87% in branches) and β-pinene (2) (20.96% in leaves and 64.61% in branches) being identified as the major constituents. The compound present in the highest amount in root and stem was apiole (3), with relative percentages of 69.68% and 59.32%, respectively (Figure 1). The leaves and roots exhibited the highest numbers of identified compounds, with 30 and 24, respectively, and 11 compounds in common (Figure 2b). The compound α-pinene was identified in all plant organs.
Table 1.
Chemical constitution and data on the essential oils of different organs of P. rivinoides (vegetative phenological stage) from Pedra Branca State Park/RJ.
Figure 1.
Chemical structure of the major compounds identified in the essential oils obtained from different plant organs of P. rivinoides Kunth. Legend: (1) α-pinene, (2) β-pinene, (3) apiole.
Figure 2.
Venn diagram representing the compounds identified in the essential oil of P. rivinoides at (a) different ontogenetic stages, and (b) in different plant organs.
The PCA revealed the formation of two clusters with a total variance of 90.09%. Cluster I, comprising roots and stems, was characterized by EO with a high content of arylpropanoids, primarily represented by apiol (−11.54 PC1). Cluster II, consisting of leaves and branches, grouped EO rich in monoterpenes, represented by α-pinene (1) (+6.83 PC2) and β-pinene (2) (+9.03 PC1) (Figure 3a). The HCA of the EO obtained from different plant organs showed the formation of two clusters, reflecting mainly the relative percentage content of arylpropanoids in Cluster I and monoterpenes in Cluster II (Figure 3b).
Figure 3.
Principal Component Analysis (a) and Dendrogram (b) based on the compounds by plant organ (roots, stems, branches, and leaves) obtained from the essential oil of P. rivinoides Kunth.
Details about the chemical composition, yield, and number of compounds identified in the ontogeny study (compounds with >0.2% EO) are provided in Table 2. A total of 95 compounds were successfully identified, including monoterpenes, sesquiterpenes, and arylpropanoids. The Venn diagram analysis (Figure 2a) revealed that eight compounds (α-pinene, β-pinene, camphene, carene, myrcene, E-caryophyllene, cymene, and limonene) are present at all stages of ontogeny. To access all the data from Venn diagram, see Supplementary Materials Tables S1 and S2. Furthermore, as the plant size increased, there was a higher diversification and synthesis of novel chemicals from mevalonate, methylerythrose phosphate, and shikimate pathways. Specimens at phase IV and V exhibited the highest number of shared compounds, totaling 18 (Figure 2a). Specimens at phase I and II showed chemical similarities regarding the arylpropanoids apiole (59.59–74.69%) and dillapiole (2.29–2.76%) as major constituents. Specimens at phase III, IV, and V predominantly displayed non-oxygenated monoterpenes (α-pinene: 20.03–35.09%; β-pinene: 11.45–16.72%; and δ-2-Carene 0.32–42.07%). PCA analysis revealed the formation of two clusters, driven by the antagonistic influences of two compounds: group one included phase I and II (rich in apiole), while group two encompassed phases III, IV, and V (rich in α-pinene) (Figure 4a). HCA also confirmed this ontogenetic distinction based on the biosynthetic pathway (Figure 4b).
Table 2.
Chemical constitution and data on the essential oils of ontogeny of P. rivinoides (vegetative phenological stage) from the Pedra Branca State Park/RJ.
Figure 4.
Principal Component Analysis (a) and Dendrogram (b) based on the compounds by ontogeny plant obtained from the essential oil of P. rivinoides.
3.2. Chemodiversity and Chemophenetic Index
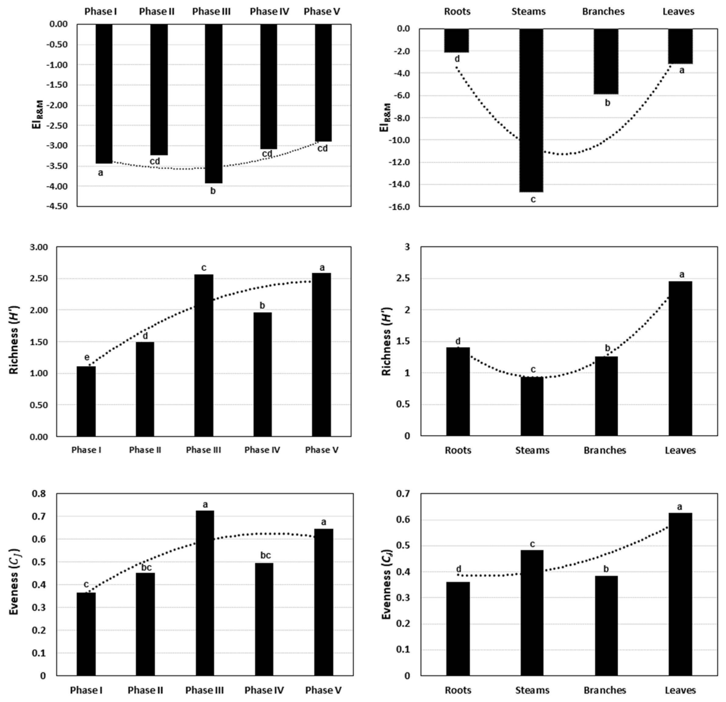
All calculations of chemodiversity α and β consider the same data matrix. For the EO obtained from different organs, it was possible to observe that the Shannon index, which assesses compound diversity (richness), showed the highest value in leaves (2.45), followed by roots (1.40), branches (1.26), and stems (0.93). Conversely, the Pielou index assesses the uniformity of the volatile mixture (evenness) and indicates how the number of compounds is distributed within it. The uniformity index provides a projection of the maximum diversity of the mixture, and once again, leaves exhibit the highest uniformity value among the relative percentage of compounds (0.62), followed by stems (0.48), branches (0.38), and roots (0.35) (Figure 5) [6,36,37,38].
Figure 5.
Variation among the calculated values for the Ramos and Moreira (EIR&M), Shannon (richness), and Pielou (evenness) indices for ontogeny and for different plant organs. The same letters mean no statistical difference (p > 0.05).
Regarding ontogeny, younger plants (phase I and phase II) showed lower compound diversity (with a Shannon index of 1.12 and 1.49, respectively). Conversely, adult plants registered an increase in diversity, reaching the highest values among plants measuring phase V (2.58) and III (2.56), followed by those at IV (1.96). The Pielou index in these volatile mixtures demonstrated that the uniformity in plants with III was the highest value among the relative percentage of compounds (0.72), followed by plants in V (0.64), IV (0.49), II (0.45), and the lowest value was found in young plants of I (0.36) (Figure 5).
Chemodiversity β indices are commonly used to compare spatial similarities between different specimens. However, it is possible to apply these indices by treating each organ as an independent region or “space” of the plant [6]. The Jaccard index indicates the proportion of shared compounds between samples relative to the total number of compounds in each plant organ. In general, samples of different organs showed low chemical similarity. Nevertheless, the highest similarity was noted between branches and leaves (Jaccard index of 31.00), as well as between roots and leaves (Jaccard index of 28.57). The Sorensen index also represents similarity between samples, assigning greater weight to the presence of compounds in the sample than to the absence data of these. The Sorensen index indicated a greater resemblance between roots and leaves (44.00). However, both β indices showed low chemical similarity among the different organs (Table 3).
Table 3.
Calculated values for assessing chemodiversity β for the composition of essential oils obtained from different organs and for ontogenetic phases of P. rivinoides.
In relation to the different ontogenic phases, the highest similarity values, both for the Jaccard index (75.00) and the Sorensen index (86.00), were found between the samples in IV and V phase. Conversely, the most dissimilar samples were those of I compared to III, with values of 3.85 for the Jaccard Index and 7.00 for Sorensen (Table 3).
The values of the R&M index were negative for all plant organs. They ranged from −2.01 in roots to −14.71 for stems. This indicates that the mixtures of volatile compounds in the EO in all plant studied compartments are reduced. This can be a particularity of the plant or suggest some physiological trend. The sum of the highest NOR values was found in branches (−158.43), followed by leaves (−155.42), roots (−98.30), and stems (−88.35).
Considering ontogeny, the R&M index ranged from 3.09 to 3.93, that is, it also presented negative values, albeit with less variation than for the different organs.
4. Discussion
4.1. Chemical Composition and Yields of Essential Oils from P. rivinoides
The plant organs that exhibited higher yields of EO were roots and leaves. This result was consistently observed in various plant families, including Piperaceae, Asteraceae, Lamiaceae, and Myrtaceae [39,40,41,42]. Consequently, leaves and roots tend to contain a higher content of volatile compounds, compared to branches and stems [43].
In nature, plants face a wide range of biotic and abiotic factors, and this evolutionary pressure stimulates the development of adaptation mechanisms to the environment. In this context, EO production is a biological response resulting from complex and nuanced interactions between genotype and environment, involving changes in the expression of one or more genes in response to various environmental stimuli, such as UV radiation, temperature variations, microbial attacks, and herbivory, among others [44,45,46]. Plant leaves are particularly susceptible to these environmental stresses, as they play a fundamental role in photosynthesis and gas exchange processes. Therefore, they develop defense mechanisms against these stressors. Conversely, roots, responsible for water and nutrient absorption, maintain intimate contact with the soil and its microbiome, which include many pathogenic fungi and bacteria [47]. Consequently, these organs, compared to stems and branches, are subjected to a greater diversity of environmental stimuli. As a result, the production of high content of EO emerges as an adjustment between genotype, environment, and phenotypic expression, aiming to promote an increase in plant fitness, favoring survival and reproduction in challenging environments [3,48].
Another important factor to consider in these variations is the anatomical structures that store EO, as well as the ease of extraction and the cellular organization of plant tissue. This includes elements such as the number, shape, size, distribution, location, and density of these structures [49]. For example, certain anatomical structures may provide greater accessibility to volatile compounds during the extraction process, such as oil glands present in leaves, which may be more readily exposed water vapor during extraction, resulting in a higher yield of EO. Additionally, leaf cells may be more prone to release EO due to their delicate cellular structure compared to stem or root cells, which may be denser and more resistant due to high lignification. Therefore, differences in plant anatomical structures may have a significant impact on the yield of extracted EO, both in terms of quantity and quality [50].
In the study of ontogeny, variations in the yields of EO do not allow us to make conclusive inferences due to the oscillation and lack of trend in the results. The absence of a pattern may be attributed to the existing natural variation in the plant. It is important to recognize that EO production in plants is a complex and multifaceted process, involving interactions between a variety of biotic and abiotic factors, as mentioned. Therefore, in some specific cases, it may be challenging to detect clear patterns in field studies due to the complexity of the system.
Regarding the chemical composition, the major constituents found in the samples were the monoterpenes α-pinene, β-pinene, and the arylpropanoid apiole (Figure 1). The Venn diagram showed that the monoterpene α-pinene is the only compound present in all organs of P. rivinoides, and in all phases of the plant’s ontogenetic development (Figure 2). It is important to note that α-pinene is a common monoterpene found in the EO of coniferous trees, such as the genera Pinus and Picea, as well as in the genus Eucalyptus [51,52,53]. α-Pinene has two structural isomers, α-pinene and β-pinene, which are responsible for the characteristic aromas of pine and turpentine oil, respectively. Additionally, two pairs of enantiomeric isomers of these monoterpenes naturally coexist in nature: (−)-α-pinene and (+)-α-pinene, and (−)-β-pinene and (+)-β-pinene [54,55]. However, in our analysis, it is not possible the separation of the enantiomers (−) and (+).
PCA showed greater similarity among the chemical constituents of leaves and branches compared to roots and stems, although the Euclidean distance between clusters was relatively low. These differentiation trends among Piperaceae organs have been demonstrated in the literature [6,56]. The biosynthesis of α-pinene and β-pinene occurs via the mevalonate pathway from geranyl pyrophosphate (GPP) through the cyclization of linalyl pyrophosphate, followed by proton loss. Consequently, their biosynthesis is considered less complex, occurring at the beginning of the terpene biosynthetic pathway [57]. Although studies on the chemical/ecological function and functionality of pinene isomers are incipient, they encompass a wide range of functions. Actions include protection against herbivores [58]; repellent action [51]; antibacterial activity [59,60]; attraction of pollinators with insect–plant interaction [61], where they perform signaling functions within a population/community or even in adjacent plants; an inhibitory effect on the spore formation of Metarhizium fungi, even at concentrations below 5% [62]; regulation of leaf temperature [62,63,64]; participation in allelochemical communication [65]; inhibition of root growth [65,66]; induction of oxidative stress [67,68]; alteration of chlorophyll content; and decrease in seedling biomass [68]. Overall, the significant presence of pinenes, especially α-pinene, becomes more prominent in leaves and branches compared to stems and roots. It has been demonstrated that pinenes play a role in conifer resistance against beetles and associated fungi [55]. Therefore, it is plausible that P. rivinoides accumulates higher content of these pinenes in its leaves as a physiological response to external stimuli. The monoterpene cyclase enzyme has been reported to increase its activity (U) in response to elicitors, which are often found in insect saliva. This suggests that the production of α-pinene and β-pinene may function as an inducible chemical defense, particularly in leaves, though roots also show a response [20,69].
Another important point to consider is that P. rivinoides is probably consumed by generalist herbivores, as different patterns of herbivory have been observed in the field on the leaves (unpublished data), suggesting that this organ is attacked by different insects. If a plant’s defenses are specifically adapted to combat a particular herbivore and require a high investment of resources, there may be trade-offs between different strategies. Conversely, if defenses are nonspecific, the same mechanism can increase the plant’s ability to resist different aggressors, leading to synergistic or positive associations. In this sense, extrinsic factors of the plant may cause a lower energetic investment in the production of more complex and specific defense structures and, instead, direct its energy reserves towards the synthesis of less complex compounds that require less energy expenditure [70], a hypothesis to be confirmed.
However, it is important to emphasize that this research addresses only a specific moment of the eco-physiology of P. rivinoides. Previous studies on this plant report low seasonal variation in the composition of EO, indicating that the predominant biosynthesis of the monoterpenes α- and β-pinene occurs continuously throughout the year [19,71]. This absence of significant seasonal phenotypic variation is called seasonal monophenism [3]. Therefore, it is more likely that this continuous biosynthesis mechanism of pinene isomers at high content is considered an ideal defense mechanism, rather than an induced defense mechanism [20,69,72]. The theory of ideal defense suggests that defense compounds are produced or expressed in tissues with a higher likelihood or risk of being attacked [69,71,73]. Therefore, it is plausible that leaves and branches, being the structures responsible for photosynthesis and thus nutritional sources, accumulate a higher content of monoterpenes with allelopathic function in their tissues as an ideal defense mechanism against herbivory [69,71,74].
While monoterpenes were predominant in leaves and branches, in stems and roots the major component was the arylpropanoid apiol. Based on the theory of optimal defense and considering the capacity of the same genotype to express different phenotypes, influenced by the environment, it can be concluded that different defense and tolerance strategies in different organs of the same plant are independent of each other and occur in an optimized manner [3,75]. Thus, the presence of arylpropanoids in roots, stems, and young plants can be considered ideal defense mechanisms, as the synthesis of arylpropanoids promotes tissue production and, consequently, contributes to protection against pathogens [69,71]. It is important to note that stems and roots have constitutive defenses that ensure greater expression of lignification in the cell walls of these tissues, making them more resistant to mechanical damage. In addition, resource allocation to produce defensive compounds depends on the intensity of herbivore attacks, and different defense and tolerance strategies are independent of each other [3,76,77]. Therefore, it is suggested that the presence of a high content of arylpropanoids and low content of α-pinene in roots may also result from crosstalk with other organs, as roots are highly lignified underground organs [56,74,78]. Factors crosstalk integrate different physiological responses and optimizes the plant’s fitness based on the resources available in the organ in question.
Factors (genes, active enzymes, and hormones) of the organ in question dominate biosynthetic conductance. In other words, the accumulation of secondary metabolites in a specific organ comes from the production processes of the macromolecule related to the essential precursor [73,75,79]. For example, the roots of the studied plant accumulate a high content of arylpropanoids, compounds derived from the shikimate pathway, the same biosynthetic pathway for the formation of lignins (structural macromolecules). The roots and stems of P. rivinoides are highly lignified, which indicates that the shikimate pathway is more highly expressed in these organs. Therefore, there will be a greater accumulation of arylpropanoids, biosynthetic precursors of lignans and lignins, in these organs. Thus, considering that the metabolic pathway with the highest activity in this organ is the shikimate pathway, the biosynthesis of arylpropanoids may be energetically more economical for the roots. Additionally, the chemical phenotypic expression in roots tends to be strongly influenced by the soil microbiome, which can affect the ecological interactions between roots and pathogens [3].
During the different phases of plant ontogenetic development, relevant variations in major compounds were observed. In phases I and II, the major compound was the arylpropanoid apiol, while in phases IV and V, the monoterpenes α- and β-pinene predominated. This behavior can be interpreted as niche conformity, which is the process by which an individual adjusts its phenotype to the environment to better match it, thereby improving its fitness [10]. In a complex ecosystem like the forest, it is important to understand that the choice of niche in which the plant will develop does not occur actively as in the animal kingdom. Thus, the plant will only establish and thrive if the environmental conditions match the needs of the seedling [10,11,80]. Therefore, niche conformity emerges as a competitive advantage for the plant.
In other words, during the initial phase, the plant faces different adversities, such as low light incidence, allelopathic interactions with other plants attempting to inhibit their growth, and differential interaction with the fauna of the lower layers of the forest, among others [10,81]. The accumulation of arylpropanoids in plants during the initial phases of development has been observed in cultivated species of Piper, with this chemical class often associated with defense against herbivores [9,82]. It is important to consider that herbivory causes leaf damage that impairs photosynthesis, making it crucial to maintain the largest photosynthetically active leaf area possible to ensure the production of nutrients involved in plant growth. Conversely, when the plant is already established in the environment (phases IV and V), a majority accumulation of pinenes is observed. This possibly occurs because, at these stages, there is less of a need for the storage of compounds from the arylpropanoid class, because leaf damage caused by herbivory is no longer a significant problem due to the size of the canopy, height, and quantity of leaves of the plant. In addition, the lignification of the plant took place in high rates in the early stages of development allowing for the plant’s growth.
These ideas, along with the characteristics of the plant under study (a perennial plant that can reach up to 7 m height, with expanded leaves), lead to the inference that the modulation of biosynthesis and accumulation of chemical compounds in the leaves throughout plant development result from interaction with herbivores as well as growth rate, and can be understood as a “trade-off”. This term refers to the compensation between resource allocation of the plant for different objectives [68]. In this specific case, there is a direction of available energy and nutrients towards plant growth, sacrificing part of its leaf area lost during herbivory due to the absence of a more complex chemical defense. Thus, even with herbivory intensity, there is a remarkable growth of biomass (leaf area) of the plant. This compensation directly affects the reproductive success and survival of the plant.
In general, it is possible to extrapolate this biosynthetic modulation throughout plant development as an “Ontogenetic Niche Shift” or “Ontogenetic Chemical Niche Transition”, meaning that changes in the chemical profile of the plant reflect adaptations to new environmental conditions or biotic interactions [83,84,85]. Although these concepts are applied only in the field of ecology, because the study of the interaction between the plant and the environment also encompasses ecology, it is possible to transpose these concepts to variations in plant metabolites.
P. rivinoides stands out for its variety of secondary metabolites like terpenes, and arylpropanoids, which are not just byproducts but active agents in plant-environment interactions. These compounds function as hormone-like regulators and precursors to primary metabolites, crucial for the plant’s defense against environmental stressors and herbivores, thus enhancing its resilience and adaptability [79,86]. The biosynthesis of these metabolites may be influenced by both environmental and genetic factors, leading to variations in their production, such as in the EO under different environmental conditions [76].
Furthermore, the chemical diversity of these metabolites plays a significant role in shaping ecological interactions and community dynamics, with variations influencing the structure of herbivore and other organism communities interacting with P. rivinoides [87]. The organ-specific composition of these metabolites underscores their ecological and medicinal importance. This, coupled with the plant’s ability to rapidly alter its chemical phenotype in response to the environment, highlights P. rivinoides’ vital role in ecosystems and its evolutionary adaptability to varying conditions [88,89].
4.2. Chemodiversity and Chemophenetic Indices
The results of the calculations of chemodiversity α indices showed that the richness of chemical compounds present in the leaves of P. rivinoides is almost twice the richness found in the roots, which was the second organ with the highest chemical diversity. Given that leaves are the organs with the most significant interspecific interaction in a plant, it is postulated, for example, that the chemical diversity of leaves correlates with the diversity of the insect community interacting with them. Richards et al. (2015) sought to comprehend the role of plant chemodiversity in the intricate dynamics of ecological relationships within a community. They concluded that plants producing a greater variety of chemical compounds interact with a more diverse insect community. This factor may result in the different patterns of herbivory observed in the leaves of P. rivinoides [75].
Chemodiversity is also increased as the plant grows. There is also a significant correlation between developmental stages and the composition of EO. Smaller plants may have access to limited resources such as nutrients and water due to their size and less developed roots system. This resource limitation can influence the production and diversity of chemical compounds. In response to resource scarcity, plants may prioritize the production of a smaller number of compounds essential to their survival, resulting in low chemodiversity in young plants [77]. Another point is that smaller plants may be at earlier stages of development, in which they invest more energy in growth and vegetative expansion than in the production of secondary compounds. As plants grow and mature, they can allocate more resources to producing a wider variety of chemical compounds. However, the low richness of compounds in smaller plants may rely on specific defense strategies, such as producing a single chemical compound, such as apiol, to protect them against herbivores or pathogens. As plants grow and become more resistant, they can diversify their defense strategies, which leads to a greater diversity of chemical compounds [28].
Considering that leaves of P. rivinoides are highly attacked by herbivores in nature (unpublished data), this observed chemodiversity α in the leaves can be supported by the screening hypothesis postulated by [75]. This hypothesis suggests that chemical diversity is maintained because it increases the probability of a plant containing a potent compound or a precursor that is effective against a particular type of natural enemy, cumulatively creating a selective advantage against a diverse set of natural enemies. Thus, high chemodiversity would provide precursors of effective combinations of compounds that work synergistically against a particular type of natural enemy [90]. Although the diversity of insects that interact with the plant has not yet been quantified (data under study), the high chemodiversity α of the leaf EO of P. rivinoides suggests a wide variety of herbivorous insects that attack this plant.
It is important to note that the chemodiversity α recorded for the roots of P. rivinoides is representative. This diversity of micromolecules may be associated with the soil microbiome, which has high biological diversity. Therefore, it can be argued that this chemodiversity may also be influenced by abiotic factors, thus being associated with the screening and the optimal defense hypothesis [3,71,75]. However, the hypothesis that plant chemical diversity influences insect diversity (niche impact theory) [10] still needs to be tested in P. rivinoides, since the presence and diversity of insects that interact with this species have not been quantified. Therefore, future research should investigate this relationship and thus contribute to a better understanding of the factors that influence biodiversity in terrestrial ecosystems.
The Pielou index, which infers on the evenness of compounds in the leaf EO, reached a value closer to 1; however, it is not enough to affirm that there was no dominance of one or a few compounds, representing an average uniformity. The roots EO was the least uniform among all samples of EO, because of the predominant presence of apiol, which represents more than 59% of the mixture.
The results of the analysis of chemodiversity β showed that the roots and leaves of P. rivinoides are chemically more similar, not due to the difference in their major constituents, but rather due to the greater diversity of chemical compounds present in these organs. In other words, the EO of the leaves are more like the EO of the roots. As mentioned earlier, leaves and roots are more susceptible to the effects of stress from their surrounding environment. However, chemodiversity β demonstrated a dissimilarity between all samples, including those from different organs and ontogeny, except for Phase IV and V where P. rivinoides reached 2 and 7 m, respectively. This fact is more understandable, as the plant must have reached maturity and the biochemical processes leading to the formation of secondary metabolites are well established. To date, there is no literature data on chemodiversity β for Piperaceae EO, making any comparison impossible.
The Ramos and Moreira index (EIR&M) for complex mixtures allows for the evaluation of the molecular oxidation–reduction patterns of a mixture, serving as a suitable tool to understand the relationship of plant biosynthesis on a fluid temporal scale, based on a non-static model. Through this index, one can infer whether a mixture is more oxidized (value obtained above zero) or more reduced (value obtained below zero) [39]. The results presented here indicate that the roots and leaves are organs with higher accumulation of oxidized compounds. The different functions performed by the plant parts reveal distinct enzymatic expressions and, consequently, reflect the value of R&M of the mixtures. It is important to consider that leaves are responsible for gas exchange and photosynthesis; therefore, they produce more reactive oxygen species (ROS), and nitrogen species (RNS) can be formed. Thus, chemical compounds from leaves may scavenge these oxidant species that can lead damages, for example, to the cell wall or DNA [39]. Conversely, the stems present the most reduced mixture, a result of low local biosynthetic activity. In relation to ontogeny, the EIR&M index did not show any variation (from −3.0 to −4.0), However, the different organs also showed negative values, indicating reduced volatile mixtures. From phase I to phase V, it can be supposed that redox homeostasis ensures plant fitness.
The application of Chemodiversity and advanced Chemophenetic indices represents a relatively recent approach, which makes the study of chemical phenotypic variation even more important [39]. Our group has addressed this issue, producing a scientific review article for dissemination of these indices, and demonstrating their importance [39].
5. Conclusions
In summary, this study provides a comprehensive analysis of the complex dynamics of chemical diversity in P. rivinoides across its various developmental stages and different organs. The results offer innovative insights into the ecological and physiological mechanisms underlying the adaptive strategies of this Piperaceae species. The observed dichotomy in chemical composition (mevalonate vs. shikimate pathways), along with the consistent presence of α-pinene in all organs and developmental stages, suggests the existence of a characteristic metabolic signature in P. rivinoides. This signature is likely an eco-physiological response aimed at maximizing the plant’s fitness and survival in its native environment. The findings suggest that P. rivinoides may have developed this metabolic strategy as an adaptive mechanism, although further research is needed to confirm whether this response is indeed a targeted adaptation or a more generalized survival strategy. The concept of ontogenetic chemical niche transition, widely employed in population and community ecology, is introduced here as a framework that can also be applied to chemical ecology studies.
Furthermore, the findings of this study emphasize the importance of accurately assessing plant chemical diversity to understand fundamental aspects such as functional traits, eco-physiology, and ecological interactions within complex ecosystems. By deciphering the specific chemical signatures of P. rivinoides, this research provides a solid foundation for conservation and sustainable management initiatives in natural habitats where the species is found.
The phenotypic plasticity observed in the chemical composition of P. rivinoides essential oils underscores its ability to adapt to a wide range of environmental conditions, highlighting its relevance not only for biodiversity conservation but also for providing ecosystem services and practical applications such as ecological crop management. To further advance our understanding of the factors influencing the phenotypic variation of P. rivinoides’ EO and explore the full potential of this species, continuous eco-physiological investigations are needed. This is a crucial step in deepening our knowledge of plant biology and developing effective ecosystem management strategies in a globally changing scenario.
Supplementary Materials
The following supporting information can be downloaded at: https://www.mdpi.com/article/10.3390/plants13182599/s1, Table S1: Compounds of different organs of P. rivinoides (vegetative phenological stage) from Pedra Branca State Park/RJ that occur simultaneously in each intersection of the Venn diagram presented in Figure 2. Table S2: Compounds of different phases of P. rivinoides (vegetative phenological stage) from Pedra Branca State Park/RJ that occur simultaneously in each intersection of the Venn diagram presented in Figure 2.
Author Contributions
J.S.F. and S.A.S.M. collected samples on the field and did the extraction of essential oils; J.S.F., D.B.M., Y.J.R., J.A.S.A. and D.d.L.M. designed the survey and analyzed the data; J.S.F., Y.J.R. and D.d.L.M. contributed to the methodology and statistical treatments; G.A.d.Q. and E.F.G. contributed to the descriptions and characterizations of reproductive organs. All authors have read and agreed to the published version of the manuscript.
Funding
This research was funded by Conselho Nacional de Pesquisas e Desenvolvimento Científico e Tecnológico e Inovação (CNPq)—Brazil (PROEP no. 407845/2017) and the Fundação de Amparo à Pesquisa do Estado do Rio de Janeiro (FAPERJ)—Brazil (APQ1 no. NE26/210.245/2019 and CNE no. 201.211/2022).
Data Availability Statement
Data is contained within the article and Supplementary Materials.
Conflicts of Interest
The authors declare no conflicts of interest.
References
- Salvi, L.; Cecilia, B.; Eleonora, C.; Paolo, S.; Giovan, B.M. Eco-physiological traits and phenylpropanoid profiling on potted Vitis vinifera L. cv Pinot noir subjected to Ascophyllum nodosum treatments under post-veraison low water availability. Appl. Sci. 2020, 10, 13. [Google Scholar] [CrossRef]
- Paul, I.; Sarkar, M.P.; Bhadoria, P.B.S. Floral secondary metabolites in context of biotic and abiotic stress factors. Chemoecology 2022, 32, 49–68. [Google Scholar] [CrossRef]
- Ashra, H.; Nair, S. Trait plasticity during plant-insect interactions: From molecular mechanisms to impact on community dynamics. Plant Sci. 2022, 317, 111188. [Google Scholar] [CrossRef] [PubMed]
- Kumari, M.; Joshi, R.; Kumar, R. Metabolic signatures provide novel insights to Picrorhizakurroa adaptation along the altitude in Himalayan region. Metabolomics 2020, 16, 77. [Google Scholar] [CrossRef] [PubMed]
- Ramos, Y.J.; da Silva, L.J.; de Oliveira, R.S.; Gomes, T.L.M.; Pott, A. Chemical composition of the essential oils of circadian rhythm and of different vegetative parts from Piper mollicomum Kunth-A medicinal plant from Brazil. Biochem. Syst. Ecol. 2020, 92, 104116. [Google Scholar] [CrossRef]
- Ramos, Y.J.; Gouvêa-Silva, J.G.; de Brito Machado, D.; Felisberto, J.S.; Pereira, R.C.; Sadgrove, N.J.; de Lima Moreira, D. Chemophenetic and Chemodiversity Approaches: New Insights on Modern Study of Plant Secondary Metabolite Diversity at Different Spatiotemporal and Organizational Scales. Rev. Bras. Farmacogn. 2023, 33, 49–72. [Google Scholar] [CrossRef]
- Raposo, J.D.A.; Figueiredo, P.L.B.; Santana, R.L.; da Silva Junior, A.Q.; Suemitsu, C.; da Silva, R.; Mourão, R.H.V.; Maia, J.G.S. Seasonal and circadian study of the essential oil of Myrcia sylvatica (G. Mey) DC., a valuable aromatic species occurring in the Lower Amazon River region. Biochem. Syst. Ecol. 2018, 79, 21–29. [Google Scholar] [CrossRef]
- Németh-Zámbori, É. Natural variability of essential oil components. In Handbook of Essential Oils; CRC Press: Boca Raton, FL, USA, 2020; pp. 85–124. [Google Scholar]
- Cornara, L.; Sgrò, F.; Raimondo, F.M.; Ingegnieri, M.R.; Mastracci, L.; D’Angelo, V.; Germanò, M.P.; Trombetta, D.; Smeriglio, A. Pedoclimatic Conditions Influence the Morphological, Phytochemical and Biological Features of Mentha pulegium L. Plants 2023, 12, 24. [Google Scholar] [CrossRef]
- Müller, C.; Junker, R.R. Chemical phenotype as important and dynamic niche dimension of plants. New Phytol. 2022, 234, 1168–1174. [Google Scholar] [CrossRef]
- Thon, F.M.; Müller, C.; Wittmann, M.J. The evolution of chemodiversity in plants—From verbal to quantitative models. Ecol. Lett. 2024, 27, e14365. [Google Scholar] [CrossRef]
- Flexas, J.; Gago, J. A role for ecophysiology in the’omics’ era. Plant J. 2018, 96, 251–259. [Google Scholar] [CrossRef] [PubMed]
- Barton, K.E. The ontogenetic dimension of plant functional ecology. Funct. Ecol. 2024, 38, 98–113. [Google Scholar] [CrossRef]
- Hanski, I. Dynamics of regional distribution: The core and satellite species hypothesis. Oikos 1982, 38, 210–221. [Google Scholar] [CrossRef]
- Mehranvar, L.; Jackson, D.A. History and taxonomy: Their roles in the core-satellite hypothesis. Oecologia 2001, 127, 131–142. [Google Scholar] [CrossRef] [PubMed]
- Gerber, D.; Thompson, B.B.; Kato, M.J.; Yamaguchi, L.F.; Bechara, F.C. Óleo essencial de Piper aduncum L. para atração de morcegos-da-fruta para restauração ecológica. Rev. Bras. Agroecol. 2022, 17, 384–393. [Google Scholar]
- De Souza, S.P.; Valverde, S.S.; Costa, N.F.; Calheiros, A.S.; Lima, K.S.; Frutuoso, V.S.; Lima, A.L. Chemical composition and antinociceptive activity of the essential oil of Piper mollicomum and Piper rivinoides. J. Med. Plants Res. 2014, 8, 788–793. [Google Scholar]
- Bernuci, K.Z.; Iwanaga, C.C.; Fernandez-Andrade, C.M.M.; Lorenzetti, F.B.; Torres-Santos, E.C.; Faiões, V.D.S.; Gonçalves, J.E.; do Amaral, W.; Deschamps, C.; de Lima Scodro, R.B.; et al. Evaluation of chemical composition and antileishmanial and antituberculosis activities of essential oils of Piper species. Molecules 2016, 21, 1698. [Google Scholar] [CrossRef]
- Alves Borges Leal, A.L.; Fonseca Bezerra, C.; Ferreira e Silva, A.K.; Everson da Silva, L.; Bezerra, L.L.; Almeida-Neto, F.W.; Marinho, E.M.; Fernandes, C.F.C.; da Rocha, M.N.; Marinho, M.M.; et al. Seasonal variation of the composition of essential oils from Piper cernuum Vell and Piper rivinoides Kunth, ADMET study, DFT calculations, molecular docking and dynamics studies of major components as potent inhibitors of the heterodimer methyltransferase complex NSP16-NSP10 SARS-CoV-2 protein. J. Biomol. Struct. Dyn. 2023, 41, 6326–6344. [Google Scholar]
- Felisberto, J.R.S.; Ramos, Y.J.E.; de Queiroz, G.A.; Guimarães, E.F.; Marques, A.E.M.; de Lima Moreira, D. Piper rivinoides Kunth: A medicinal plant that preserves bioactive chemical compounds in its essential oil throughout the seasons. J. Med. Plants Res. 2022, 16, 258–268. [Google Scholar]
- Barros, A.J.B. Ossaim-O Orixá E Nossos Chás-Volume Único; Clube de Autores: Joinville, Brazil, 2010. [Google Scholar]
- Barros, J.F.P.D.; Napoleão, E. EwéÒrìsà: Uso Litúrgico e Terapêutico dos Vegetais nas Casas de Candomblé Jêje-Nagô; Bertrand Brasil: Rio de Janeiro, Brazil, 2003. [Google Scholar]
- Leal, A.L.A.B.; Machado, A.J.T.; Bezerra, C.F.; Inácio, C.E.S.; Rocha, J.E.; Sales, D.L.; de Freitas, T.S.; Almeida, W.O.; do Amaral, W.; da Silva, L.E.; et al. Chemical identification and antimicrobial potential of essential oil of Piper rivinoides kunth (BETIS-WHITE). Food Chem. Toxicol. 2019, 131, 110559. [Google Scholar] [CrossRef]
- Moreira, D.; de Paiva, R.A.; Marques, A.M.; Borges, R.M.; Barreto, A.L.S.; da Rocha Curvelo, J.A.; Cavalcanti, J.F.; Romanos, T.V.; de Araujo Soares, R.M.; Kaplan, M.A.C. Bioactive neolignans from the leaves of Piper rivinoides Kunth (Piperaceae). Rec. Nat. Prod. 2016, 10, 472. [Google Scholar]
- Fonseca, A.C.C.D.; de Queiroz, L.N.; Sales Felisberto, J.; Jesse Ramos, Y.; Mesquita Marques, A.; Wermelinger, G.F.; Pontes, B.; de Lima Moreira, D.; Robbs, B.K. Cytotoxic effect of pure compounds from Piper rivinoides Kunth against oral squamous cell carcinoma. Nat. Prod. Res. 2021, 35, 6163–6167. [Google Scholar] [CrossRef] [PubMed]
- Machado, T.Q.; Felisberto, J.R.S.; Guimarães, E.F.; Queiroz, G.A.D.; Fonseca, A.C.C.D.; Ramos., Y.J.; Marques, A.M.; de Lima Moreira., D.; Robbs, B.K. Apoptotic effect of β-pinene on oral squamous cell carcinoma as one of the major compounds from essential oil of medicinal plant Piper rivinoides Kunth. Nat. Prod. Res. 2022, 36, 1636–1640. [Google Scholar] [CrossRef]
- INEA—Instituto Estadual do Meio Ambiente. Unidades de Conservação. Parque Estadual da Pedra Branca e Parque Estadual da Ilha Grande. Available online: http://www.inea.rj.gov.br/biodiversidade-territorio/conheca-as-unidades-de-conservacao/ (accessed on 5 June 2022).
- Dayrell, R.L.; Arruda, A.J.; Pierce, S.; Negreiros, D.; Meyer, P.B.; Lambers, H.; Silveira, F.A. Ontogenetic shifts in plant ecological strategies. Funct. Ecol. 2018, 32, 2730–2741. [Google Scholar] [CrossRef]
- Gatsuk, L.E.; Smirnova, O.V.; Vorontzova, L.I.; Zaugolnova, L.B.; Zhukova, L.A. Age states of plants of various growth forms: A review. J. Ecol. 1980, 68, 675–696. [Google Scholar] [CrossRef]
- Ramos, Y.J.; Moreira, D.L. Seasonal study of essential oil from aerial parts of Peperomia galioides kunth (piperaceae). Rev. Virtual Quím. 2019, 11, 1540–1550. [Google Scholar] [CrossRef]
- Oliveira, G.L.; Moreira, D.D.L.; Mendes, A.D.R.; Guimarães, E.F.; Figueiredo, L.S.; Kaplan, M.A.C.; Martins, E.R. Growth study and essential oil analysis of Piper aduncum from two sites of Cerrado biome of Minas Gerais State, Brazil. Rev. Bras. Farmacogn. 2013, 23, 743–753. [Google Scholar] [CrossRef]
- Adams, R.P. Identification of Essential Oil Components by Gas Chromatography/Mass Spectrometry, 5th ed.; Texensis Publishing: Gruver, TX, USA, 2017; ISBN 978-0-9981557-2-2. [Google Scholar]
- Costa-Oliveira, C.D.; Gouvêa-Silva, J.G.; Brito Machado, D.D.; Felisberto, J.R.S.; Queiroz, G.A.D.; Guimarães, E.F.; Ramos, Y.J.; De Lima Moreira, D. Chemical Diversity and Redox Values Change as a Function of Temporal Variations of the Essential Oil of a Tropical Forest Shrub. Diversity 2023, 15, 715. [Google Scholar] [CrossRef]
- Sadgrove, N.J.; Jones, G.L. Cytogeography of essential oil chemotypes of Eremophila longifolia F. Muell (Scrophulariaceae). Phytochemistry 2014, 105, 43–51. [Google Scholar] [CrossRef]
- Ribeiro, A.R.; Andrade, F.D.D.; Medeiros, M.D.C.D.; Camboim, A.D.S.; Pereira Júnior, F.A.; Athayde, A.C.; Rodrigues, O.G.; Silva, W.W. Estudo da atividade anti-helmíntica do extrato etanólico de Jatrophamollissima (Pohl) Baill. (Euphorbiaceae) sob Haemonchuscontortus em ovinos no semiárido paraibano. Pesq. Vet. Bras. 2014, 34, 1051–1055. [Google Scholar] [CrossRef]
- Feng, X.; Zhang, W.; Wu, W.; Bai, R.; Kuang, S.; Shi, B.; Li, D. Chemical composition and diversity of the essential oils of Juniperus rigida along the elevations in Helan and Changbai Mountains and correlation with the soil characteristics. Ind. Crops Prod. 2021, 159, 113032. [Google Scholar] [CrossRef]
- Pielou, E. Species-diversity and pattern-diversity in the study of ecological succession. J. Theor. Biol. 1966, 10, 370–383. [Google Scholar] [CrossRef]
- Shannon, C.E. A mathematical theory of communication. Bell Syst. Tech. J. 1948, 27, 379–423. [Google Scholar] [CrossRef]
- Ramos, Y.J.; Costa-Oliveira, C.D.; Candido-Fonseca, I.; Queiroz, G.A.D.; Guimarães, E.F.; Defaveri, A.C.A.E.; Sadgrove, N.J.; de Lima Moreira, D. Advanced chemophenetic analysis of essential oil from leaves of Piper gaudichaudianum Kunth (piperaceae) using a new reduction-oxidation index to explore seasonal and circadian rhythms. Plants 2021, 10, 2116. [Google Scholar] [CrossRef]
- Aboutabl, E.A.; El-Tantawy, M.; Shams, M.M. Chemical composition and antimicrobial activity of volatile constituents from the roots, leaves, and seeds of Arctium lappa L. (Asteraceae) grown in Egypt. Egypt. Pharm. J. 2013, 12, 163–172. [Google Scholar] [CrossRef]
- Han, F.; Liu, X.; Li, R.; Zhao, Y.; Li, C.; Li, Y. Chemical composition and antioxidant activities of essential oils from different parts of the oregano. J. Zhejiang Univ. Sci. B 2017, 18, 79. [Google Scholar] [CrossRef]
- Park, C.; Garland, S.M.; Close, D.C. The Effect of the Height of Coppicing and Harvest Season on the Yield and Quality of the Essential Oil of Kunzeaambigua. Plants 2023, 12, 20. [Google Scholar] [CrossRef] [PubMed]
- Vieira, V.A.; Magalhães, M.C.F.; Oliveira, R.B.; Sartori, A.L.B. Avaliação do rendimento dos óleos essenciais em espécies de Piper. Mostra Nac. Iniciaç. Cient. Tecnol. Interdiscip. (MICTI) 2020, 1, 13. [Google Scholar]
- Bizzo, H.R.; Rezende, C.M. O mercado de óleos essenciais no Brasil e no mundo na última década. Quím. Nova. 2022, 45, 949–958. [Google Scholar]
- Khalid, K.A.; Darwesh, O.M.; Ahmed, A.M. Peel essential oils of citrus types and their antimicrobial activities in response to various growth locations. J. Essent. Oil Bear. Plants 2021, 24, 480–499. [Google Scholar] [CrossRef]
- Waterman, P.G.; Mole., S. Extrinsic factors influencing production of secondary metabolites in plants. In Insect-Plant Interactions; CRC Press: Boca Raton, FL, USA, 2019; pp. 107–134. [Google Scholar]
- Sharifi-Rad, J.; Sureda, A.; Tenore, G.C.; Daglia, M.; Sharifi-Rad, M.; Valussi, M.; Tundis, R.; Sharifi-Rad, M.; Loizzo, M.R.; Ademiluyi, A.O.; et al. Biological activities of essential oils: From plant chemoecology to traditional healing systems. Molecules 2017, 22, 70. [Google Scholar] [CrossRef] [PubMed]
- Puglielli, G.; Llorens, L.; Pedranzani, H.E.; Chaneton, E.J. Woody plant adaptations to multiple abiotic stressors: Where are we? Flora 2023, 299, 152221. [Google Scholar] [CrossRef]
- Octavia, N.D.; Puspitawati, R.P.; Bashri, A. Characteristics of Anatomical Structure and Essential Oil Glands of Leaf Peppermint (Mentha Piperita) and Spearmint (Mentha Spicata). J. World Sci. 2023, 2, 1314–1329. [Google Scholar] [CrossRef]
- Ergin, K.N.; Erol, E.; Aksoy, H.; Karakaya, S.; Yılmaz, M.A. Anatomical and phytochemical characteristics of different parts of Hypericum scabrum L. Extracts, essential oils, and their antimicrobial potential. Molecules 2022, 27, 1228. [Google Scholar] [CrossRef]
- Allenspach, M.; Steuer, C. α-Pinene: A never-ending story. Phytochemistry 2021, 190, 112857. [Google Scholar] [CrossRef]
- Popescu, D.I.; Ciocan, M.A.; Moldovan, C.; Benedec, D.; Filip, L. Volatile compounds and antioxidant and antifungal activity of bud and needle extracts from three populations of Pinus mugo Turra growing in Romania. Horticulturae 2022, 8, 952. [Google Scholar] [CrossRef]
- Yiğit Hanoğlu, D.; Hanoğlu, A.; Adediran, S.B.; Baser, K.H.C.; Özkum Yavuz, D. The essential oil compositions of two Eucalyptus sp.(E. camaldulensis D ehnh. and E. torquata L uehm.) naturalized to Cyprus. J. Essent. Oil Res. 2022, 35, 136–142. [Google Scholar] [CrossRef]
- da Silva Rivas, A.C.; Lopes, P.M.; de Azevedo Barros, M.M.; Costa Machado, D.C.; Alviano, C.S.; Alviano, D.S. Biological activities of α-pinene and β-pinene enantiomers. Molecules 2012, 17, 6305–6316. [Google Scholar]
- Kamaitytė-Bukelskienė, L.; Ložienė, K.; Labokas, J. Dynamics of isomeric and enantiomeric fractions of pinene in essential oil of Picea abies annual needles during growing season. Molecules 2021, 26, 2138. [Google Scholar] [CrossRef]
- Leisner, C.P.; Potnis, N.; Sanz-Saez, A. Crosstalk and trade-offs: Plant responses to climate change-associated abiotic and biotic stresses. Plant Cell Environ. 2022, 46, 2946–2963. [Google Scholar] [CrossRef]
- Dewick, P.M. The biosynthesis of C5–C25 terpenoid compounds. Nat. Prod. Rep. 2002, 19, 181–222. [Google Scholar] [CrossRef] [PubMed]
- Langsi, J.D.; Kuete, V.; Fokou, P.V.T.; Tchoumbougnang, F.; Kengne, A.B. Evaluation of the insecticidal activities of α-pinene and 3-carene on Sitophilus zeamais Motschulsky (Coleoptera: Curculionidae). Insects 2020, 11, 540. [Google Scholar] [CrossRef]
- Zhang, Y.; Wu, D.; Kuang, S.; Qing, M.; Ma, Y.; Yang, T.; Wang, T.; Li, D. Chemical composition, antioxidant, antibacterial and cholinesterase inhibitory activities of three Juniperus species. Nat. Prod. Res. 2020, 34, 3531–3535. [Google Scholar] [CrossRef]
- Ranger, C.M.; Reding, M.E.; Gandhi, K.J.; Oliver, J.B.; Schultz, P.B.; Cañas, L.; Herms, D.A. Species dependent influence of (−)-α-pinene on attraction of ambrosia beetles (Coleoptera: Curculionidae: Scolytinae) to ethanol-baited traps in nursery agroecosystems. J. Econ. Entomol. 2011, 104, 574–579. [Google Scholar] [CrossRef] [PubMed]
- Rosengaus, R.B.; Lefebvre, M.L.; Traniello, J.F.A. Inhibition of fungal spore germination by Nasutitermes: Evidence for a possible antiseptic role of soldier defensive secretions. J. Chem. Ecol. 2000, 26, 21–39. [Google Scholar] [CrossRef]
- Jensen, T.G.; Holmstrup, M.; Madsen, R.B.; Glasius, M.; Trac, L.N.; Mayer, P.; Ehlers, B.; Slotsbo, S. Effects of α-pinene on life history traits and stress tolerance in the springtail Folsomia candida. Comp. Biochem. Physiol. C Toxicol. Pharmacol. 2020, 229, 108681. [Google Scholar] [CrossRef]
- Jun-Wen, C.H.E.N.; Cao, K.F. Plant VOCs emission: A new strategy of thermotolerance. J. For. Res. 2005, 16, 323–326. [Google Scholar] [CrossRef]
- Chen, M.; Cao, Y.; Zhang, J.; Han, Y. Physiological. biochemical and phytohormone responses of Elymus nutans to α-pinene-induced allelopathy. PeerJ 2022, 10, e14100. [Google Scholar] [CrossRef]
- Singh, H.P.; Kaur, S.; Mittal, S.; Batish, D.R.; Kohli, R.K. α-Pinene inhibits growth and induces oxidative stress in roots. Ann. Bot. 2006, 98, 1261–1269. [Google Scholar] [CrossRef]
- Wang, M.; Carver, J.J.; Phelan, V.V.; Sanchez, L.M.; Garg, N.; Peng, Y.; Nguyen, D.D.; Watrous, J.; Kapono, C.A.; Luzzatto-Knaan, T.; et al. Sharing and community curation of mass spectrometry data with Global Natural Products Social Molecular Networking. Nat. Biotechnol. 2016, 34, 828–837. [Google Scholar] [CrossRef]
- Ishii-Iwamoto, L.E.; Oliveira, V.F.; Gualtieri, S.C.J. Effects of monoterpenes on physiological processes during seed germination and seedling growth. Curr. Bioact. Compd. 2012, 8, 50–64. [Google Scholar] [CrossRef]
- Erb, M.; Köllner, T.G.; Degenhardt, J.; Zwahlen, C.; Hibbard, B.E.; Turlings, T.C. Synergies and trade-offs between insect and pathogen resistance in maize leaves and roots. Plant Cell Environ. 2011, 34, 1088–1103. [Google Scholar] [CrossRef] [PubMed]
- Kooyers, N.J.; Blackman, B.K.; Holeski, L.M. Optimal defense theory explains deviations from latitudinal herbivory defense hypothesis. Ecology. 2017, 98, 1036–1048. [Google Scholar] [CrossRef]
- Ramos, Y.J.; Felisberto, J.S.; Gouvêa-Silva, J.G.; de Souza., U.C.; da Costa-Oliveira, C.; de Queiroz., G.A.; Guimarães, E.F.; Sadgrove, N.J.; de Lima Moreira., D. Phenoplasticity of essential oils from two species of Piper (Piperaceae): Comparing wild specimens and bi-generational monoclonal cultivars. Plants 2022, 11, 1771. [Google Scholar] [CrossRef] [PubMed]
- Gershenzon, J.; Ullah, C. Plants protect themselves from herbivores by optimizing the distribution of chemical defenses. Proc. Natl. Acad. Sci. USA 2022, 119, e2120277119. [Google Scholar] [CrossRef]
- Ohnmeiss, T.E.; Baldwin, I.T. Optimal defense theory predicts the ontogeny of an induced nicotine defense. Ecology 2000, 81, 1765–1783. [Google Scholar] [CrossRef]
- Gottlieb, O.R. Phytochemicals: Differentiation and function. Phytochemistry 1990, 29, 1715–1724. [Google Scholar] [CrossRef]
- Richards, L.A.; Dyer, L.A.; Forister, M.L.; Smilanich, A.M.; Dodson, C.D.; Leonard, M.D.; Jeffrey, C.S. Phytochemical diversity drives plant–insect community diversity. Proc. Natl. Acad. Sci. USA 2015, 112, 10973–10978. [Google Scholar] [CrossRef]
- Firn, R.D.; Jones, C.G. Natural products–a simple model to explain chemical diversity. Nat. Prod. Rep. 2003, 20, 382–391. [Google Scholar] [CrossRef]
- Zhan, X.; Shen, C. Environmental and genetic factors involved in plant protection-associated secondary metabolite biosynthesis pathways. Front. Plant Sci. 2022, 13, 877304. [Google Scholar] [CrossRef]
- Lee, Y.L.; Ding, P. Production of essential oil in plants: Ontogeny, secretory structures, and seasonal variations. Pertanika J. Scholar. Res. Rev. 2016, 2, 1–10. [Google Scholar]
- Sakthi, A.R.; Selvi, C.; Poorniammal, R. Role of phytohormones in plant defence against insects: Signalling and crosstalk. In Plant-Pest Interactions: From Molecular Mechanisms to Chemical Ecology; Springer: Singapore, 2021; pp. 215–231. [Google Scholar]
- Divekar, P.A.; Narayana, S.; Divekar, B.A.; Kumar, R.; Gadratagi, B.G.; Ray, A.; Singh, A.K.; Rani, V.; Singh, V.; Singh, A.K.; et al. Plant secondary metabolites as defense tools against herbivores for sustainable crop protection. Int. J. Mol. Sci. 2022, 23, 2690. [Google Scholar] [CrossRef] [PubMed]
- Neilson, E.H.; Goodger, J.Q.; Woodrow, I.E.; Møller, B.L. Plant chemical defense: At what cost? Trends Plant Sci. 2013, 18, 250–258. [Google Scholar] [CrossRef]
- Ehlers, B.K.; Berg, M.P.; Staudt, M.; Holmstrup, M.; Glasius, M.; Ellers, J.; Tomiolo, S.; Madsen, R.B.; Slotsbo, S.; Penuelas, J. Plant secondary compounds in soil and their role in belowground species interactions. Trends Ecol. Evol. 2020, 35, 716–730. [Google Scholar] [CrossRef]
- Block, A.K.; Hunter, C.T.; Sattler, S.E.; Rering, C.; McDonald, S.; Basset, G.J.; Christensen, S.A. Fighting on two fronts: Elevated insect resistance in flooded maize. Plant Cell Environ. 2020, 1, 223–234. [Google Scholar] [CrossRef] [PubMed]
- Anaya-Rojas, J.M.; Bassar, R.D.; Matthews, B.; Goldberg, J.F.; King, L.; Reznick, D.; Travis, J. Does the evolution of ontogenetic niche shifts favour species coexistence? An empirical test in Trinidadian streams. J. Anim. Ecol. 2023, 92, 1601–1612. [Google Scholar] [CrossRef]
- de Roos, A.M.; Leonardsson, K.; Persson, L.; Mittelbach, G.G. Ontogenetic niche shifts and flexible behavior in size-structured populations. Ecol. Monogr. 2002, 72, 271–292. [Google Scholar] [CrossRef]
- Fokkema, W.; van der Jeugd, H.P.; Lameris, T.K.; Dokter, A.M.; Ebbinge, B.S.; de Roos, A.M.; Nolet, B.A.; Piersma, T.; Olff, H. Ontogenetic niche shifts as a driver of seasonal migration. Oecologia 2020, 193, 285–297. [Google Scholar] [CrossRef] [PubMed]
- Erb, M.; Kliebenstein, D.J. Plant secondary metabolites as defenses, regulators, and primary metabolites: The blurred functional trichotomy. Plant Physiol. 2020, 184, 39–52. [Google Scholar] [CrossRef]
- Glassmire, A.E.; Jeffrey, C.S.; Forister, M.L.; Parchman, T.L.; Nice, C.C.; Jahner, J.P.; Wilson, J.S.; Walla, T.R.; Richards, L.A.; Smilanich, A.M.; et al. Intraspecific phytochemical variation shapes community and population structure for specialist caterpillars. New Phytol. 2016, 212, 208–219. [Google Scholar] [CrossRef]
- Schneider, G.F.; Salazar, D.; Hildreth, S.B.; Helm, R.F.; Whitehead, S.R. Comparative metabolomics of fruits and leaves in a hyperdiverse lineage suggests fruits are a key incubator of phytochemical diversification. Front. Plant Sci. 2021, 12, 693739. [Google Scholar] [CrossRef] [PubMed]
- Maeda, H.A. Evolutionary diversification of primary metabolism and its contribution to plant chemical diversity. Front. Plant Sci. 2019, 10, 469456. [Google Scholar] [CrossRef] [PubMed]
- Abbas, F.; Ke, Y.; Yu, R.; Yue, Y.; Amanullah, S.; Jahangir, M.M.; Fan, Y. Volatile terpenoids: Multiple functions. biosynthesis. modulation and manipulation by genetic engineering. Planta 2017, 246, 803–816. [Google Scholar] [CrossRef] [PubMed]
Disclaimer/Publisher’s Note: The statements, opinions and data contained in all publications are solely those of the individual author(s) and contributor(s) and not of MDPI and/or the editor(s). MDPI and/or the editor(s) disclaim responsibility for any injury to people or property resulting from any ideas, methods, instructions or products referred to in the content. |
© 2024 by the authors. Licensee MDPI, Basel, Switzerland. This article is an open access article distributed under the terms and conditions of the Creative Commons Attribution (CC BY) license (https://creativecommons.org/licenses/by/4.0/).




