The Physiological Mechanism of Exogenous Melatonin on Improving Seed Germination and the Seedling Growth of Red Clover (Trifolium pretense L.) under Salt Stress
Abstract
1. Introduction
2. Results
2.1. Effects of Exogenous MT on Seed Germination of Red Clover under Salt Stress
2.2. Effects of Exogenous MT on Morphological Characteristics of Red Clover Seedlings under Salt Stress
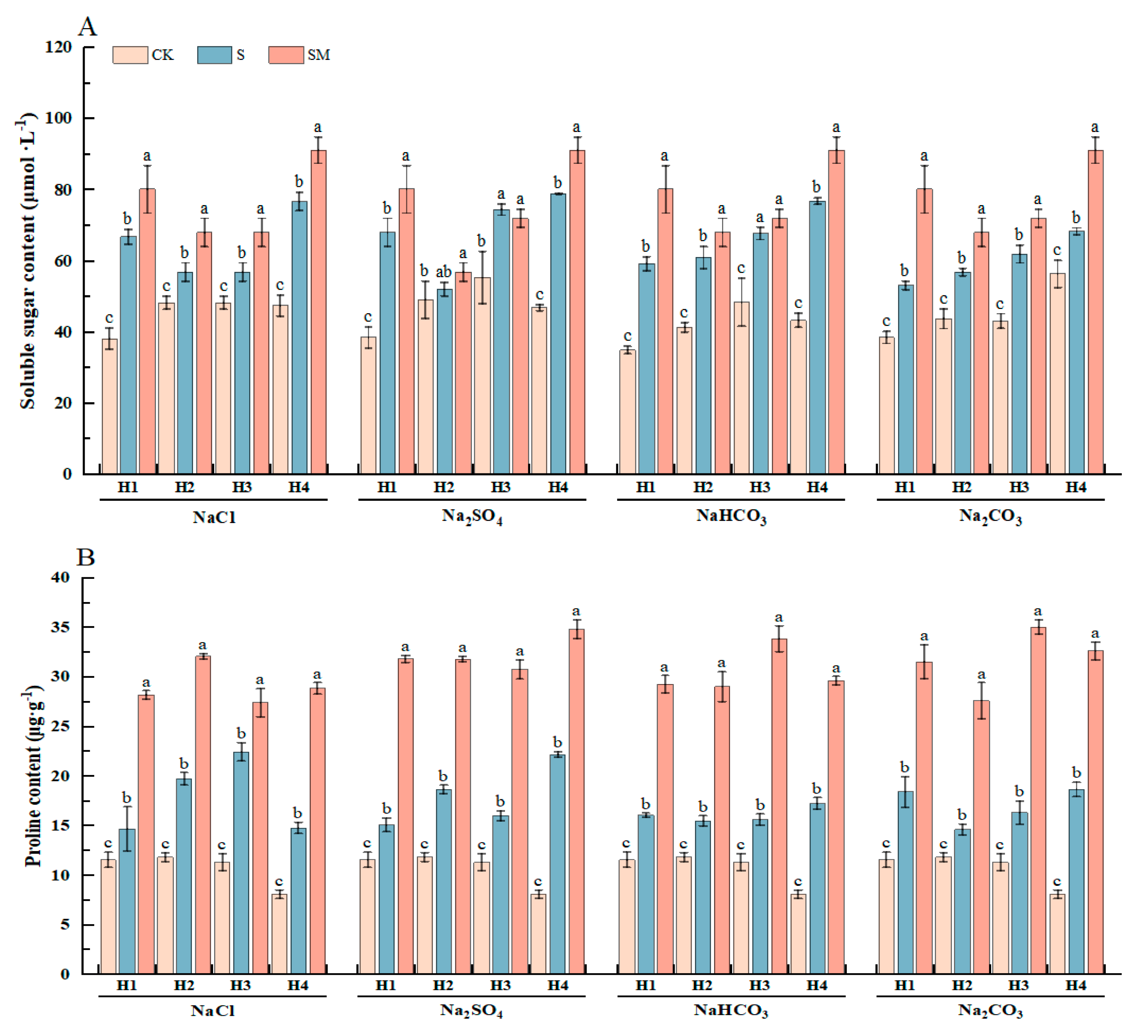
2.3. Effects of Exogenous MT on Osmoregulation and the Cell Membrane Structure of Red Clover Seedlings under Salt Stress
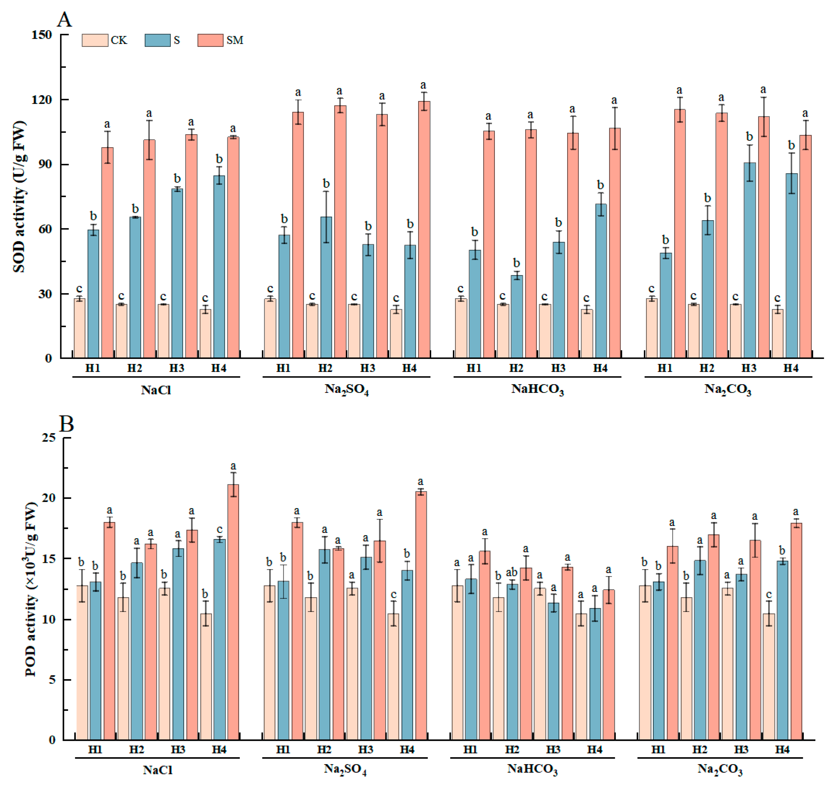
2.4. Effects of Exogenous MT on Antioxidant Enzyme Activities of Red Clover Seedlings under Salt Stress
2.5. Effects of Exogenous MT on Photosynthetic Parameters of Red Clover Seedlings under Salt Stress
2.6. Comprehensive Analysis of the Effects of Exogenous MT on Red Clover Seed Germination and Seedling Growth
3. Discussion
3.1. Exogenous MT Improved the Antioxidant and Osmoregulatory Capacity of Red Clover under Salt Stress
3.2. Exogenous MT Attenuates the Inhibition of Photosynthesis in Red Clover Seedlings by Salt Stress
3.3. Limitations and Perspectives
4. Materials and Methods
4.1. Test Materials and Reagents
4.2. Experimental Design
4.2.1. Seed Germination Test
4.2.2. Seedling Growth Test
4.3. Measurement Items and Methods
4.3.1. Determination of Seed Germination Indicators
4.3.2. Determination of Physiological and Biochemical Indexes of Seedlings
4.4. Statistical Analysis
5. Conclusions
Supplementary Materials
Author Contributions
Funding
Data Availability Statement
Conflicts of Interest
References
- Dinkins, R.D.; Hancock, J.A.; Bickhart, D.M.; Sullivan, M.L.; Zhu, H. Expression and variation of the genes involved in rhizobium nodulation in red clover. Plants 2022, 11, 2888. [Google Scholar] [CrossRef] [PubMed]
- Thilakarathna, M.S.; Papadopoulos, Y.A.; Grimmett, M.; Fillmore, S.A.; Crouse, M.; Prithiviraj, B. Red clover varieties show nitrogen fixing advantage during the early. stages of seedling development. Can. J. Plant Sci. 2017, 98, 517–526. [Google Scholar] [CrossRef]
- McKenna, P.; Cannon, N.; Conway, J.; Dooley, J. The use of red clover (Trifolium pratense) in soil fertility-building: A Review. Field Crops Res. 2018, 221, 38–49. [Google Scholar] [CrossRef]
- Ma, D.; Cai, J.; Ma, Q.; Wang, W.; Zhao, L.; Li, J.; Su, L. Comparative time-course transcriptome analysis of two contrasting alfalfa (Medicago sativa L.) genotypes reveals tolerance mechanisms to salt stress. Front. Plant Sci. 2022, 13, 1070846. [Google Scholar] [CrossRef] [PubMed]
- Yang, Y.; Guo, Y. Elucidating the molecular mechanisms mediating plant salt-stress responses. New Phytol. 2018, 217, 523–539. [Google Scholar] [CrossRef]
- Wang, X.; Tang, H.; Lu, T.; Shen, P.; Chen, J.; Dong, W.; Song, Y. Novel underlying regulatory mechanism of the MsDAD2-mediated salt stress response in alfalfa. Biochem. Biophys. Res. Commun. 2024, 690, 149252. [Google Scholar] [CrossRef]
- Xia, J.; Ren, J.; Zhang, S.; Wang, Y.; Fang, Y. Forest and grass composite patterns improve the soil quality in the coastal saline-alkali land of the Yellow River Delta, China. Geoderma 2019, 349, 25–35. [Google Scholar] [CrossRef]
- Sukumaran, S.; Lethin, J.; Liu, X.; Pelc, J.; Zeng, P.; Hassan, S.; Aronsson, H. Genome-wide analysis of MYB transcription factors in the wheat genome and their roles in salt stress response. Cells 2023, 12, 1431. [Google Scholar] [CrossRef]
- Chen, Q.; Huang, S.; Wei, G.; Guo, X.; Zhang, J.; Lu, X.; Tang, Z. Metabolic differences of two constructive species in saline-alkali grassland in China. BMC Plant Biol. 2022, 22, 53. [Google Scholar] [CrossRef]
- Lu, J.; Qu, Z.; Li, M.; Wang, Q. Effects of ionized water irrigation on organic nitrogen mineralization in saline-alkali soil in China. Agronomy 2023, 13, 2285. [Google Scholar] [CrossRef]
- Huang, Q.; Briggs, B.R.; Dong, H.; Jiang, H.; Wu, G.; Edwardson, C.; Quake, S. Taxonomic and functional diversity provides insight into microbial pathways and stress responses in the saline Qinghai Lake, China. PLoS ONE 2014, 9, 111681. [Google Scholar] [CrossRef]
- Wang, X.; Jiang, P.; Ma, Y.; Geng, S.; Wang, S.; Shi, D. Physiological strategies of sunflower exposed to salt or alkali stresses: Restriction of ion transport in the cotyledon node zone and solute accumulation. Agron. J. 2015, 107, 2181–2192. [Google Scholar] [CrossRef]
- Gong, B.; Wang, X.; Wei, M.; Yang, F.; Li, Y.; Shi, Q. Overexpression of s-adenosylmethionine synthetase 1 enhances tomato callus tolerance to alkali stress through polyamine and hydrogen peroxide cross-linked networks. Plant Cell Tissue Organ Cult. 2016, 124, 377–391. [Google Scholar] [CrossRef]
- Khan, T.A.; Saleem, M.; Fariduddin, Q. Recent advances and mechanistic insights on melatonin-mediated salt stress signaling in plants. Plant Physiol. Biochem. 2022, 188, 97–107. [Google Scholar] [CrossRef] [PubMed]
- Farhat, S.; Jain, N.; Singh, N.; Sreevathsa, R.; Dash, P.K.; Rai, R.; Rai, V. CRISPR-Cas9 directed genome engineering for enhancing salt stress tolerance in rice. Semin. Cell Dev. Biol. 2019, 96, 91–99. [Google Scholar] [CrossRef] [PubMed]
- Zhan, C.; Zhu, P.; Chen, Y.; Chen, X.; Liu, K.; Chen, S.; Cheng, J. Identification of a key locus, qNL3.1, associated with seed germination under salt stress via a genome-wide association study in rice. Theor. Appl. Genet. 2023, 136, 58. [Google Scholar] [CrossRef]
- Wang, J.; Lv, P.; Yan, D.; Zhang, Z.; Xu, X.; Wang, T.; Li, R. Exogenous melatonin improves seed germination of wheat (Triticum aestivum L.) under salt stress. Int. J. Mol. Sci. 2022, 23, 8436. [Google Scholar] [CrossRef]
- Hua, D.; Chen, W.S.; Rao, R.Y.; Chen, X.F.; Chen, H.H.; Lai, N.W.; Chen, L.S. Nitrogen-deficient leaves and roots can keep high abilities to scavenge reactive oxygen species and methylglyoxal and protect them against oxidative damage in Citrus sinensis seedlings. Sci. Hortic. 2024, 325, 112709. [Google Scholar] [CrossRef]
- Zhao, Y.; He, J.; Liu, M.; Miao, J.; Ma, C.; Feng, Y.; Liu, W. The SPL transcription factor TaSPL6 negatively regulates drought stress response in wheat. Plant Physiol. Biochem. 2024, 206, 108264. [Google Scholar] [CrossRef]
- Song, Y.; Lv, D.; Jiang, M.; Zhiying, E.; Han, Y.; Sun, Y.; Zhao, T. Exogenous strigolactones enhance salinity tolerance in cotton (Gossypium hirsutum L.) seedlings. Plant Stress 2023, 10, 100235. [Google Scholar] [CrossRef]
- Wang, H.; Ye, L.; Zhou, L.; Yu, J.; Pang, B.; Zuo, D.; Wang, H. Co-expression network analysis of the transcriptome identified hub genes and pathways responding to saline-alkaline stress in Sorghum bicolor L. Int. J. Mol. Sci. 2023, 24, 16831. [Google Scholar] [CrossRef] [PubMed]
- Zhou, X.; Li, R.; Shen, H.; Yang, L. Effect of exogenous plant growth regulators and rejuvenation measures on the endogenous hormone and enzyme activity responses of Acer mono maxim in cuttage rooting. Int. J. Mol. Sci. 2023, 24, 11883. [Google Scholar] [CrossRef] [PubMed]
- Fan, J.; Xie, Y.; Zhang, Z.; Chen, L. Melatonin: A multifunctional factor in plants. Int. J. Mol. Sci. 2018, 19, 1528. [Google Scholar] [CrossRef]
- Brussell, D.E. Medicinal plants of Mt. Pelion, Greece. Econ. Bot. 2004, 58, 174–202. [Google Scholar] [CrossRef]
- Hernández-Ruiz, J.; Cano, A.; Arnao, M.B. Melatonin acts as a growth-stimulating compound in some monocot species. J. Pineal Res. 2005, 39, 137–142. [Google Scholar] [CrossRef]
- Dehdari Ebrahimi, N.; Parsa, S.; Nozari, F.; Shahlaee, M.A.; Maktabi, A. Protective effects of melatonin against the toxic effects of environmental pollutants and heavy metals on testicular tissue: A systematic review and meta-analysis of animal studies. Front. Endocrinol. 2023, 14, 1119553. [Google Scholar] [CrossRef] [PubMed]
- Mandal, M.K.; Suren, H.; Ward, B.; Boroujerdi, A.; Kousik, C. Differential roles of melatonin in plant-host resistance and pathogen suppression in cucurbits. J. Pineal Res. 2018, 65, 12505. [Google Scholar] [CrossRef] [PubMed]
- Lee, H.Y.; Byeon, Y.; Back, K. Melatonin as a signal molecule triggering defense responses against pathogen attack in Arabidopsis and tobacco. J. Pineal Res. 2014, 57, 262–268. [Google Scholar] [CrossRef]
- Ramsay, S.; Zagorodnyuk, V. Role of circadian rhythms and melatonin in bladder function in health and diseases. Auton. Neurosci. 2023, 246, 103083. [Google Scholar] [CrossRef]
- Li, J.; Lv, K.; Wu, J.; Xie, Y.; Zhang, J.; Zhang, N.; Xu, W. Exogenous melatonin promotes cold tolerance in grape seedlings: Physiological, transcriptomic, and functional evidence. J. Agric. Food Chem. 2023, 71, 19970–19985. [Google Scholar] [CrossRef]
- Li, C.; Wang, P.; Wei, Z.; Liang, D.; Liu, C.; Yin, L.; Ma, F. The mitigation effects of exogenous melatonin on salinity-induced stress in Malus hupehensis. J. Pineal Res. 2012, 53, 298–306. [Google Scholar] [CrossRef] [PubMed]
- Posmyk, M.M.; Kuran, H.; Marciniak, K.; Janas, K.M. Presowing seed treatment with melatonin protects red cabbage seedlings against toxic copper ion concentrations. J. Pineal Res. 2008, 45, 24–31. [Google Scholar] [CrossRef] [PubMed]
- Awan, S.A.; Khan, I.; Wang, Q.; Gao, J.; Tan, X.; Yang, F. Pre-treatment of melatonin enhances the seed germination responses and physiological mechanisms of soybean (Glycine max L.) under abiotic stresses. Front. Plant Sci. 2023, 14, 1149873. [Google Scholar] [CrossRef]
- Zhang, L.; Fang, X.; Yu, N.; Chen, J.; Wang, H.; Shen, Q.; Wang, Y. Melatonin promotes rice seed germination under drought stress by regulating antioxidant capacity. Phyton 2023, 92, 1571–1587. [Google Scholar] [CrossRef]
- Muhammad, I.; Yang, L.; Ahmad, S.; Farooq, S.; Khan, A.; Muhammad, N.; Zhou, X.B. Melatonin-priming enhances maize seedling drought tolerance by regulating the antioxidant defense system. Plant Physiol. 2023, 19, 2301–2315. [Google Scholar] [CrossRef] [PubMed]
- Fu, Y.; Xin, L.; Mounkaila Hamani, A.K.; Sun, W.; Wang, H.; Amin, A.S.; Gao, Y. Foliar Application of melatonin positively affects the physio-Biochemical characteristics of cotton (Gossypium hirsutum L.) under the combined effects of low temperature and salinity stress. Plants 2023, 12, 3730. [Google Scholar] [CrossRef]
- Jouyban, Z. The effects of salt stress on plant growth. Tech. J. Eng. Appl. Sci. 2012, 2, 7–10. [Google Scholar]
- Shahid, M.A.; Sarkhosh, A.; Khan, N.; Balal, R.M.; Ali, S.; Garcia-Sanchez, F. Insights into the physiological and biochemical impacts of salt stress on plant growth and development. Agronomy 2020, 10, 938. [Google Scholar] [CrossRef]
- Moud, A.M.; Maghsoudi, K. Salt stress effects on respiration and growth of germinated seeds of different wheat (Triticum aestivum L.) cultivars. World J. Agric. Sci. 2008, 4, 351–358. [Google Scholar]
- Chen, X.; Zhang, R.; Li, B.; Cui, T.; Liu, C.; Liu, C.; Zhou, Y. Alleviation of oxidative damage induced by CaCl2 priming is related to osmotic and ion stress reduction rather than enhanced antioxidant capacity during germination under salt stress in sorghum. Front. Plant Sci. 2022, 13, 881039. [Google Scholar] [CrossRef]
- de Oliveira, A.B.; Alencar, N.L.M.; Gomes-Filho, E. Comparison between the water and salt stress effects on plant growth and development. Responses Org. Water Stress 2013, 4, 67–94. [Google Scholar]
- Guo, R.; Shi, L.; Yang, Y. Germination, growth, osmotic adjustment and ionic balance of wheat in response to saline and alkaline stresses. Soil Sci. Plant Nutr. 2009, 55, 667–679. [Google Scholar] [CrossRef]
- Sachdev, S.; Ansari, S.A.; Ansari, M.I.; Fujita, M.; Hasanuzzaman, M. Abiotic stress and reactive oxygen species: Generation, signaling, and defense mechanisms. Antioxidants 2021, 10, 277. [Google Scholar] [CrossRef]
- Mandal, M.; Sarkar, M.; Khan, A.; Biswas, M.; Masi, A.; Rakwal, R.; Sarkar, A. Reactive Oxygen Species (ROS) and Reactive Nitrogen Species (RNS) in plants–maintenance of structural individuality and functional blend. Adv. Redox Res. 2022, 5, 100039. [Google Scholar] [CrossRef]
- Zhang, Y.; Yang, C.; Liu, S.; Xie, Z.L.; Zhang, J.; Ji, F. Alleviation of salt toxicity by melatonin supplementation in eggplant involves the up-regulation of ascorbate–glutathione and glyoxalase system. Sci. Hortic. 2024, 326, 112720. [Google Scholar] [CrossRef]
- Huangfu, L.; Zhang, Z.; Zhou, Y.; Zhang, E.; Chen, R.; Fang, H.; Yang, Z. Integrated physiological, metabolomic and transcriptomic analyses provide insights into the roles of exogenous melatonin in promoting rice seed germination under salt stress. Plant Growth Regul. 2021, 95, 19–31. [Google Scholar] [CrossRef]
- Lv, Y.; Pan, J.; Wang, H.; Reiter, R.J.; Li, X.; Mou, Z.; Yu, D. Melatonin inhibits seed germination by crosstalk with abscisic acid, gibberellin, and auxin in Arabidopsis. J. Pineal Res. 2021, 70, 12736. [Google Scholar] [CrossRef]
- Li, J.; Zhao, C.; Zhang, M.; Yuan, F.; Chen, M. Exogenous melatonin improves seed germination in Limonium bicolor under salt stress. Plant Signal. Behav. 2019, 14, 1659705. [Google Scholar] [CrossRef]
- Chen, Q. Melatonin promotes seed germination under abiotic stress through the regulation of stress-related genes and plant hormone signaling. J. Exp. Bot. 2020, 71, 4251–4265. [Google Scholar]
- Liu, Y. Melatonin improves seed germination under abiotic stress by regulating antioxidant systems and plant hormone homeostasis. Plant Cell Environ. 2021, 44, 1625–1640. [Google Scholar]
- Wang, Q.; Xu, W.; Ren, C.; Zhan, C.; Wang, C.; Li, J.; Guo, L. Physiological and Biochemical Mechanisms of Exogenous Melatonin Regulation of Saline–Alkali Tolerance in Oats. Agronomy. 2023, 13, 1327. [Google Scholar] [CrossRef]
- Anwar, Z.; Ijaz, A.; Ditta, A.; Wang, B.; Liu, F.; Khan, S.M.-U.-D.; Khan, M.K.R. Genomic Dynamics and Functional Insights under Salt Stress in Gossypium hirsutum L. Genes 2023, 14, 1103. [Google Scholar] [CrossRef] [PubMed]
- Askari, M.; Hamid, N.; Abideen, Z.; Zulfiqar, F.; Moosa, A.; Nafees, M.; El-Keblawy, A. Exogenous melatonin application stimulates growth, photosynthetic pigments and antioxidant potential of white beans under salinity stress. S. Afr. J. Bot. 2023, 160, 219–228. [Google Scholar] [CrossRef]
- Iwaniuk, P.; Łuniewski, S.; Kaczyński, P.; Łozowicka, B. The influence of humic acids and nitrophenols on metabolic compounds and pesticide behavior in wheat under biotic stress. Agronomy 2023, 13, 1378. [Google Scholar] [CrossRef]
- Iwaniuk, P.; Kaczyński, P.; Pietkun, M.; Łozowicka, B. Evaluation of titanium and silicon role in mitigation of fungicides toxicity in wheat expressed at the level of biochemical and antioxidant profile. Chemospher 2022, 308, 136284. [Google Scholar] [CrossRef] [PubMed]
- Xu, H.; An, J.; Wang, Y. Melatonin enhances salt tolerance in Arabidopsis by improving oxidative stress defense and regulating stress-related genes. J. Pineal Res. 2016, 61, 322–331. [Google Scholar]
- Manzoor, M.A.; Xu, Y.; Xu, J.; Wang, Y.; Sun, W.; Liu, X.; Zhang, C. Melatonin: A multi-functional regulator of fruit crop development and abiotic stress response. Sci. Hortic. 2023, 321, 112282. [Google Scholar] [CrossRef]
- Lu, K.; Yan, L.; Riaz, M.; Babar, S.; Hou, J.; Zhang, Y.; Jiang, C. Exogenous boron alleviates salt stress in cotton by maintaining cell wall structure and ion homeostasis. Plant Physiol. Biochem. 2023, 201, 107858. [Google Scholar] [CrossRef]
- Sun, M.; Liu, X.; Gao, H.; Zhang, B.; Peng, F.; Yao, Y. Phosphatidylcholine enhances homeostasis in peach seedling cell membrane and increases its salt stress tolerance by phosphatidic acid. Int. J. Mol. Sci. 2022, 23, 2585. [Google Scholar] [CrossRef]
- Li, M.; Yu, A.; Sun, Y.; Hu, Q.; Kang, J.; Chen, L.; Long, R. Lipid composition remodeling and storage lipid conversion play a critical role in salt tolerance in alfalfa (Medicago sativa L.) leaves. Environ. Exp. Bot. 2023, 205, 105144. [Google Scholar] [CrossRef]
- Ke, Q.; Ye, J.; Wang, B.; Ren, J.; Yin, L.; Deng, X.; Wang, S. Melatonin mitigates salt stress in wheat seedlings by modulating polyamine metabolism. Front. Plant Sci. 2018, 9, 914. [Google Scholar] [CrossRef] [PubMed]
- Bewley, J.D. Seed germination and dormancy. Plant Cell 1997, 9, 1055. [Google Scholar] [CrossRef] [PubMed]
- El-Beltagi, H.S.; El-Yazied, A.A.; El-Gawad, H.G.A.; Kandeel, M.; Mansour, A.T.; Ibrahim, M.F. Synergistic impact of melatonin and putrescine interaction in mitigating salinity stress in snap bean seedlings: Reduction of oxidative damage and inhibition of polyamine catabolism. Horticulture 2023, 9, 285. [Google Scholar] [CrossRef]
- Chen, L.; Liu, L.; Lu, B.; Ma, T.; Jiang, D.; Li, J.; Li, C. Exogenous melatonin promotes seed germination and osmotic regulation under salt stress in cotton (Gossypium hirsutum L.). PLoS ONE 2020, 15, 0228241. [Google Scholar] [CrossRef]
- Eisa, E.A.; Honfi, P.; Tilly-Mándy, A.; Mirmazloum, I. Exogenous Melatonin Application Induced Morpho-Physiological and Biochemical Regulations Conferring Salt Tolerance in Ranunculus asiaticus L. Horticulturae 2023, 9, 228. [Google Scholar] [CrossRef]
- Karle, S.B.; Kumar, K. Rice tonoplast intrinsic protein member OsTIP1; 2 confers tolerance to arsenite stress. J. Hazard. Mater. 2024, 465, 133078. [Google Scholar] [CrossRef]
- Liu, T.; Xing, G.; Chen, Z.; Zhai, X.; Wei, X.; Wang, C.; Zheng, S. Effect of exogenous melatonin on salt stress in cucumber: Alleviating effect and molecular basis. Biotechnol. Biotechnol. Equip. 2022, 36, 818–827. [Google Scholar] [CrossRef]
- Hao, S.; Wang, Y.; Yan, Y.; Liu, Y.; Wang, J.; Chen, S. A review on plant responses to salt stress and their mechanisms of salt resistance. Horticulture 2021, 7, 132. [Google Scholar] [CrossRef]
- Alnusairi, G.S.; Mazrou, Y.S.; Qari, S.H.; Elkelish, A.A.; Soliman, M.H.; Eweis, M.; ElNahhas, N. Exogenous nitric oxide reinforces photosynthetic efficiency, osmolyte, mineral uptake, antioxidant, expression of stress-responsive genes and ameliorates the effects of salinity stress in wheat. Plants 2021, 10, 1693. [Google Scholar] [CrossRef]
- Li, Y.; Zhang, L.; Yu, Y.; Zeng, H.; Deng, L.; Zhu, L.; Wang, Y. Melatonin-induced resilience strategies against the damaging impacts of drought stress in rice. Agronomy 2022, 12, 813. [Google Scholar] [CrossRef]
- Thabet, S.G.; Alqudah, A.M. New genetic insights into improving barley cope with salt stress via regulating mineral accumulation, cellular ion homeostasis, and membrane trafficking. Environ. Exp. Bot. 2023, 208, 105252. [Google Scholar] [CrossRef]
- Shabaan, M.; Asghar, H.N.; Akhtar, M.J.; Saleem, M.F. Assessment of cumulative microbial respiration and their ameliorative role in sustaining maize growth under salt stress. Plant Physiol. Biochem. 2023, 196, 33–42. [Google Scholar] [CrossRef] [PubMed]
- Thompson, S.; Clinton, M.; Miller, B.; Fu, Z. Methods for viewing plant stomata responses. Am. Biol. Teach. 2023, 85, 33–37. [Google Scholar] [CrossRef]
- Liu, H.; Song, S.; Zhang, H.; Li, Y.; Niu, L.; Zhang, J.; Wang, W. Signaling transduction of ABA, ROS, and Ca2+ in plant stomatal closure in response to drought. Int. J. Mol. Sci. 2022, 3, 14824. [Google Scholar] [CrossRef] [PubMed]
- Zahra, N.; Al Hinai, M.S.; Hafeez, M.B.; Rehman, A.; Wahid, A.; Siddique, K.H.; Farooq, M. Regulation of photosynthesis under salt stress and associated tolerance mechanisms. Plant Physiol. Biochem. 2022, 178, 55–69. [Google Scholar] [CrossRef]
- Wang, X.; Wang, W.; Huang, J.; Peng, S. Diffusional conductance to CO2 is the key limitation to photosynthesis in salt-stressed leaves of rice (Oryza sativa). Physiol. Plant. 2018, 163, 45–58. [Google Scholar] [CrossRef]
- Trușcă, M.; Gâdea, Ș.; Vidican, R.; Stoian, V.; Vâtcă, A.; Balint, C.; Vâtcă, S. Exploring the research challenges and perspectives in ecophysiology of plants affected by salinity stress. Agriculture 2023, 13, 734. [Google Scholar] [CrossRef]
- Najar, R.; Aydi, S.; Sassi-Aydi, S.; Zarai, A.; Abdelly, C. Effect of salt stress on photosynthesis and chlorophyll fluorescence in Medicago truncatula. Plant Biosyst. 2019, 153, 88–97. [Google Scholar] [CrossRef]
- Nandy, P.; Das, S.; Ghose, M.; Spooner-Hart, R. Effects of salinity on photosynthesis, leaf anatomy, ion accumulation and photosynthetic nitrogen use efficiency in five Indian mangroves. Wetl. Ecol. Manag. 2007, 15, 347–357. [Google Scholar] [CrossRef]
- Arnao, M.B.; Hernández-Ruiz, J. Melatonin: A debt collector from plant cells under stress? J. Pineal Res. 2015, 5, 259–265. [Google Scholar]
- Zhang, H. Melatonin improves photosynthesis and antioxidant system in cucumber seedlings under salt stress. J. Plant Growth Regul. 2016, 35, 905–917. [Google Scholar]
- Lee, H.J. Melatonin protects against photoinhibition in Arabidopsis by regulating the expression of genes related to redox homeostasis. J. Pineal Res. 2014, 57, 345–355. [Google Scholar]
- Xu, J. Melatonin enhances seed germination under salt stress by regulating antioxidant defense and plant hormone balance. Plant Physiol. Biochem. 2022, 169, 105–113. [Google Scholar]
- Zhang, L.; Li, Q.; Zhang, Y.; Liu, H. Melatonin improves salt tolerance by regulating antioxidant defense and osmotic adjustment in maize seed germination. Plant Growth Regul. 2018, 85, 345–357. [Google Scholar]
- Wang, J.; Yan, D.; Liu, R.; Wang, T.; Li, R. The Physiological and Molecular Mechanisms of Exogenous Melatonin Promote the Seed Germination of Maize (Zea mays L.) under Salt Stress. Plants 2024, 13, 2142. [Google Scholar] [CrossRef] [PubMed]
- Zhang, H.J.; Zhang, N.A.; Yang, R.C.; Wang, L.; Sun, Q.Q.; Guo, Y.D. Melatonin promotes seed germination under high salinity by regulating antioxidant systems, ABA and GA4 interaction in cucumber (Cucumis sativus L.). J. Pineal Res. 2014, 57, 269–279. [Google Scholar] [CrossRef]
- Hardeland, R. Melatonin in plants–diversity of levels and multiplicity of functions. Front. Plant Sci. 2016, 7, 198. [Google Scholar] [CrossRef]
- Checker, V.G.; Kushwaha, H.R.; Kumari, P.; Yadav, S. Role of phytohormones in plant defense: Signaling and cross talk. Mol. Asp. Plant Pathog. Interact. 2018, 159–184. [Google Scholar] [CrossRef]
- Zhao, B.; Liu, Q.; Wang, B.; Yuan, F. Roles of phytohormones and their signaling pathways in leaf development and stress responses. J. Agric. Food Chem. 2021, 69, 3566–3584. [Google Scholar] [CrossRef]
- Giannopolitis, C.N.; Ries, S.K. Superoxide dismutases: I. Occurrence in higher plants. Plant Physiol. 1977, 59, 309–314. [Google Scholar] [CrossRef]
- Kochba, J.; Lavee, S.; Spiegel-Roy, P. Differences in peroxidase activity and isoenzymes in embryogenic and non-embryogenic ‘Shamouti’orange ovular callus lines. Plant Cell Physiol. 1977, 18, 463–467. [Google Scholar] [CrossRef]
- Hodges, D.M.; DeLong, J.M.; Forney, C.F.; Prange, R.K. Improving the thiobarbituric acid-reactive-substances assay for estimating lipid peroxidation in plant tissues containing anthocyanin and other interfering compounds. Planta 1999, 207, 604–611. [Google Scholar] [CrossRef]
- Amirjani, M.R. Effect of salinity stress on growth, mineral composition, proline content, antioxidant enzymes of soybean. Am. J. Plant Physiol. 2010, 5, 350–360. [Google Scholar] [CrossRef]
- Prášil, I.; Zámečník, J. The use of a conductivity measurement method for assessing freezing injury: I. Influence of leakage time, segment number, size and shape in a sample on evaluation of the degree of injury. Environ. Exp. Bot. 1998, 40, 1–10. [Google Scholar] [CrossRef]







| Type | Variety | Treatment | GR/% | GP/% | MGT/d | GI | RL/cm | VI |
|---|---|---|---|---|---|---|---|---|
| NaCl (150 mM) | H1 | CK | 93 ± 3 a | 62 ± 2 a | 1.4 ± 0.1 b | 38.3 ± 0.9 a | 5.4 ± 0.1 a | 207.8 ± 3.2 a |
| S | 34 ± 3 c | 5 ± 1 c | 1.6 ± 0.1 b | 13.3 ± 0.8 c | 1.4 ± 0.1 c | 19.0 ± 0.6 c | ||
| SM | 62 ± 2 b | 22 ± 3 b | 2.1 ± 0.2 a | 19.3 ± 1.5 b | 2.7 ± 0.2 b | 51.6 ± 7.4 b | ||
| H2 | CK | 92 ± 2 a | 62 ± 2 a | 1.5 ± 0.1 b | 37.4 ± 0.5 a | 5.4 ± 0.3 a | 201.4 ± 14.6 a | |
| S | 47 ± 2 c | 11 ± 1 b | 2.0 ± 0.2 a | 15.8 ± 0.8 c | 1.2 ± 0.0 c | 19.2 ± 1.4 c | ||
| SM | 62 ± 2 b | 17 ± 3 b | 2.0 ± 0.1 a | 21.2 ± 0.4 b | 2.1 ± 0.1 b | 43.9 ± 0.6 b | ||
| H3 | CK | 88 ± 2 a | 61 ± 4 a | 1.4 ± 0.0 a | 36.8 ± 1.4 a | 5.2 ± 0.2 a | 192.0 ± 12.6 a | |
| S | 40 ± 6 c | 18 ± 2 c | 2.0 ± 0.3 a | 12.6 ± 1.4 c | 1.3 ± 0.0 c | 16.2 ± 2.5 c | ||
| SM | 61 ± 4 b | 32 ± 2 b | 2.0 ± 0.3 a | 18.8 ± 1.2 b | 2.0 ± 0.1 b | 36.6 ± 2.0 b | ||
| H4 | CK | 93 ± 2 a | 68 ± 2 a | 1.3 ± 0.0 b | 39.8 ± 0.3 a | 5.1 ± 0.2 a | 202.2 ± 5.0 a | |
| S | 64 ± 6 b | 24 ± 3 c | 1.9 ± 0.2 a | 21.5 ± 2.7 c | 1.4 ± 0.1 c | 29.5 ± 5.3 c | ||
| SM | 80 ± 4 a | 36 ± 2 b | 1.9 ± 0.1 a | 26.6 ± 1.1 b | 1.8 ± 0.1 b | 48.3 ± 2.4 b | ||
| Na2SO4 (100 mM) | H1 | CK | 93 ± 3 a | 62 ± 2 a | 1.4 ± 0.1 b | 38.3 ± 0.9 a | 5.4 ± 0.1 a | 207.8 ± 3.2 a |
| S | 31 ± 1 c | 10 ± 2 c | 2.2 ± 0.1 a | 9.3 ± 0.5 b | 0.7 ± 0.0 c | 6.2 ± 0.7 c | ||
| SM | 46 ± 7 b | 18 ± 2 b | 1.9 ± 0.2 a | 15.4 ± 2.7 b | 0.9 ± 0.1 b | 14.1 ± 2.5 b | ||
| H2 | CK | 92 ± 2 a | 62 ± 2 a | 1.5 ± 0.1 b | 37.4 ± 0.5 a | 5.4 ± 0.3 a | 201.4 ± 14.6 a | |
| S | 30 ± 2 c | 6 ± 3 c | 2.3 ± 0.2 a | 8.8 ± 1.4 c | 0.6 ± 0.0 b | 5.4 ± 0.8 b | ||
| SM | 47 ± 2 b | 15 ± 3 b | 1.8 ± 0.2 ab | 16.2 ± 2.1 b | 1.1 ± 0.0 b | 17.0 ± 1.6 b | ||
| H3 | CK | 88 ± 2 a | 61 ± 4 a | 1.4 ± 0.0 b | 36.8 ± 1.4 a | 5.2 ± 0.2 a | 192.0 ± 12.6 a | |
| S | 32 ± 3 c | 15 ± 2 c | 2.1 ± 0.1 a | 9.4 ± 0.6 c | 0.6 ± 0.0 c | 5.8 ± 0.2 b | ||
| SM | 57 ± 1 b | 31 ± 1 b | 2.1 ± 0.0 a | 16.2 ± 0.8 b | 1.1 ± 0.0 b | 17.8 ± 0.3 b | ||
| H4 | CK | 93 ± 2 a | 68 ± 2 a | 1.5 ± 0.0 c | 39.8 ± 0.3 a | 5.1 ± 0.2 a | 202.2 ± 5.0 a | |
| S | 38 ± 3 c | 23 ± 1 c | 2.2 ± 0.0 a | 9.9 ± 1.2 c | 0.6 ± 0.1 c | 5.7 ± 1.2 c | ||
| SM | 67 ± 1 b | 31 ± 1 b | 1.9 ± 0.1 b | 22.2 ± 0.6 b | 1.2 ± 0.0 b | 25.5 ± 1.6 b | ||
| NaHCO3 (75 mM) | H1 | CK | 93 ± 3 a | 62 ± 2 a | 1.4 ± 0.1 b | 38.3 ± 0.9 a | 5.4 ± 0.1 a | 207.8 ± 3.2 a |
| S | 19 ± 2 c | 9 ± 2 c | 2.2 ± 0.3 a | 5.3 ± 0.6 c | 0.5 ± 0.1 c | 2.8 ± 0.2 c | ||
| SM | 37 ± 1 b | 15 ± 2 b | 1.9 ± 0.2 ab | 12.4 ± 0.7 b | 0.7 ± 0.0 b | 9.1 ± 0.7 b | ||
| H2 | CK | 92 ± 2 a | 62 ± 2 a | 1.5 ± 0.1 c | 37.4 ± 0.5 a | 5.4 ± 0.3 a | 201.4 ± 14.6 a | |
| S | 21 ± 1 c | 9 ± 2 c | 2.2 ± 0.1 a | 6.0 ± 0.1 c | 0.5 ± 0.0 b | 2.7 ± 0.3 b | ||
| SM | 39 ± 2 b | 17 ± 2 b | 2.0 ± 0.1 b | 12.5 ± 0.6 b | 0.7 ± 0.0 b | 8.7 ± 0.3 b | ||
| H3 | CK | 88 ± 2 a | 61 ± 4 a | 1.4 ± 0.0 b | 36.8 ± 1.4 a | 5.2 ± 0.2 a | 192.0 ± 12.6 a | |
| S | 18 ± 2 c | 7 ± 2 b | 2.5 ± 0.1 a | 4.4 ± 0.5 c | 0.6 ± 0.0 b | 2.7 ± 0.4 b | ||
| SM | 29 ± 1 b | 12 ± 2 b | 2.2 ± 0.3 a | 8.6 ± 1.0 b | 0.7 ± 0.1 b | 6.3 ± 0.7 b | ||
| H4 | CK | 93 ± 2 a | 68 ± 2 a | 1.3 ± 0.0 b | 39.8 ± 0.3 a | 5.1 ± 0.2 a | 202.2 ± 5.0 a | |
| S | 37 ± 4 c | 13 ± 1 b | 2.0 ± 0.1 a | 11.9 ± 0.9 c | 0.6 ± 0.1 c | 6.7 ± 0.6 c | ||
| SM | 49 ± 1 b | 16 ± 2 b | 1.8 ± 0.1 a | 17.4 ± 0.9 b | 0.9 ± 0.0 b | 14.8 ± 1.0 b | ||
| Na2CO3 (30 mM) | H1 | CK | 93 ± 3 a | 62 ± 2 a | 1.4 ± 0.1 c | 38.3 ± 0.9 a | 5.4 ± 0.1 a | 207.8 ± 3.2 a |
| S | 35 ± 1 c | 19 ± 2 b | 2.3 ± 0.1 a | 9.4 ± 0.7 c | 0.5 ± 0.0 c | 4.4 ± 0.2 c | ||
| SM | 44 ± 3 b | 18 ± 2 b | 1.7 ± 0.1 b | 15.6 ± 0.6 b | 0.8 ± 0.1 b | 12.7 ± 0.7 b | ||
| H2 | CK | 92 ± 2 a | 62 ± 2 a | 1.5 ± 0.1 b | 37.4 ± 0.5 a | 5.4 ± 0.3 a | 201.4 ± 14.6 a | |
| S | 19 ± 1 c | 10 ± 2 c | 1.9 ± 0.1 a | 6.2 ± 0.5 c | 0.5 ± 0.1 b | 3.2 ± 0.3 b | ||
| SM | 55 ± 2 b | 27 ± 2 b | 1.9 ± 0.0 a | 17.1 ± 0.3 b | 0.7 ± 0.1 b | 12.3 ± 1.3 b | ||
| H3 | CK | 88 ± 2 a | 61 ± 4 a | 1.4 ± 0.0 b | 36.8 ± 1.4 a | 5.2 ± 0.2 a | 192.0 ± 12.6 a | |
| S | 31 ± 2 c | 9 ± 2 c | 1.9 ± 0.3 a | 10.4 ± 1.8 c | 0.6 ± 0.1 b | 5.6 ± 0.2 b | ||
| SM | 48 ± 2 b | 27 ± 2 b | 1.7 ± 0.1 ab | 16.4 ± 0.8 b | 0.8 ± 0.1 b | 13.6 ± 1.0 b | ||
| H4 | CK | 93 ± 2 a | 68 ± 2 a | 1.3 ± 0.0 c | 39.8 ± 0.3 a | 5.1 ± 0.2 a | 202.2 ± 5.0 a | |
| S | 41 ± 2 c | 22 ± 2 c | 2.1 ± 0.1 a | 11.9 ± 1.0 c | 0.6 ± 0.1 b | 7.5 ± 0.3 c | ||
| SM | 69 ± 3 b | 30 ± 2 b | 1.7 ± 0.1 b | 24.1 ± 1.2 b | 0.9 ± 0.0 b | 20.5 ± 0.3 b |
Disclaimer/Publisher’s Note: The statements, opinions and data contained in all publications are solely those of the individual author(s) and contributor(s) and not of MDPI and/or the editor(s). MDPI and/or the editor(s) disclaim responsibility for any injury to people or property resulting from any ideas, methods, instructions or products referred to in the content. |
© 2024 by the authors. Licensee MDPI, Basel, Switzerland. This article is an open access article distributed under the terms and conditions of the Creative Commons Attribution (CC BY) license (https://creativecommons.org/licenses/by/4.0/).
Share and Cite
Liu, R.; Wang, T.; Wang, J.; Yan, D.; Lian, Y.; Lu, Z.; Hong, Y.; Yuan, X.; Wang, Y.; Li, R. The Physiological Mechanism of Exogenous Melatonin on Improving Seed Germination and the Seedling Growth of Red Clover (Trifolium pretense L.) under Salt Stress. Plants 2024, 13, 2527. https://doi.org/10.3390/plants13172527
Liu R, Wang T, Wang J, Yan D, Lian Y, Lu Z, Hong Y, Yuan X, Wang Y, Li R. The Physiological Mechanism of Exogenous Melatonin on Improving Seed Germination and the Seedling Growth of Red Clover (Trifolium pretense L.) under Salt Stress. Plants. 2024; 13(17):2527. https://doi.org/10.3390/plants13172527
Chicago/Turabian StyleLiu, Rui, Ting Wang, Jiajie Wang, Di Yan, Yijia Lian, Zhengzong Lu, Yue Hong, Xue Yuan, Ye Wang, and Runzhi Li. 2024. "The Physiological Mechanism of Exogenous Melatonin on Improving Seed Germination and the Seedling Growth of Red Clover (Trifolium pretense L.) under Salt Stress" Plants 13, no. 17: 2527. https://doi.org/10.3390/plants13172527
APA StyleLiu, R., Wang, T., Wang, J., Yan, D., Lian, Y., Lu, Z., Hong, Y., Yuan, X., Wang, Y., & Li, R. (2024). The Physiological Mechanism of Exogenous Melatonin on Improving Seed Germination and the Seedling Growth of Red Clover (Trifolium pretense L.) under Salt Stress. Plants, 13(17), 2527. https://doi.org/10.3390/plants13172527

