Application of Silica Nanoparticles Improved the Growth, Yield, and Grain Quality of Two Salt-Tolerant Rice Varieties under Saline Irrigation
Abstract
1. Introduction
2. Materials and Methods
2.1. Experimental Details
2.2. Experimental Design and Treatments
2.3. Sampling and Data Collection
2.3.1. Agronomic Traits
2.3.2. Determination of Sodium (Na+) and Potassium Ions (K+)
2.3.3. Malondialdehyde Content and Antioxidant Enzyme Activity
2.3.4. Yield and Yield Attributes
2.3.5. Determination of Rice Quality
2.3.6. Amylopectin Chain Length and X-ray Diffraction Analysis
2.4. Data Analysis
3. Results
3.1. Effects of SiO2 NPs Application on Rice Yield and Yield Components
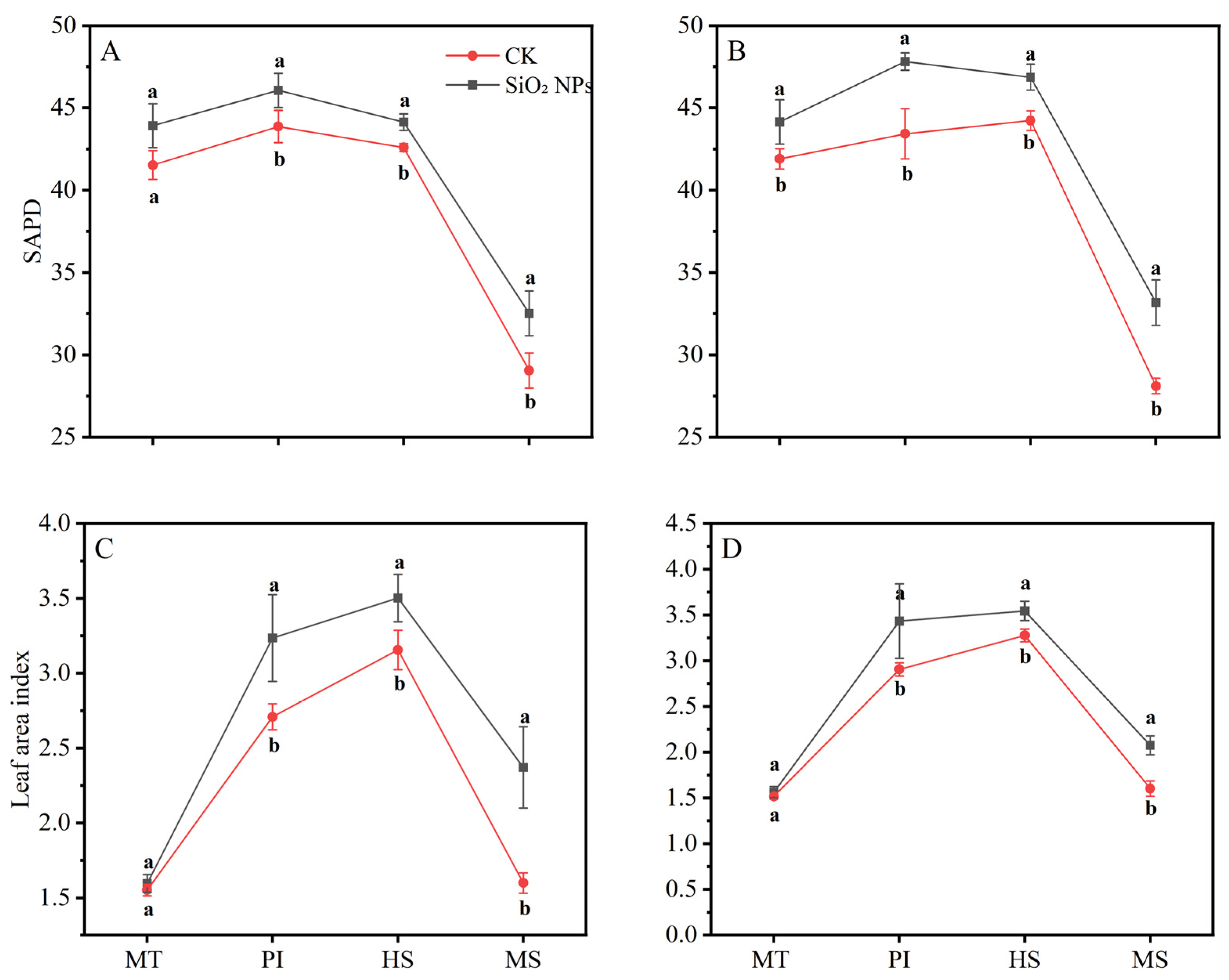
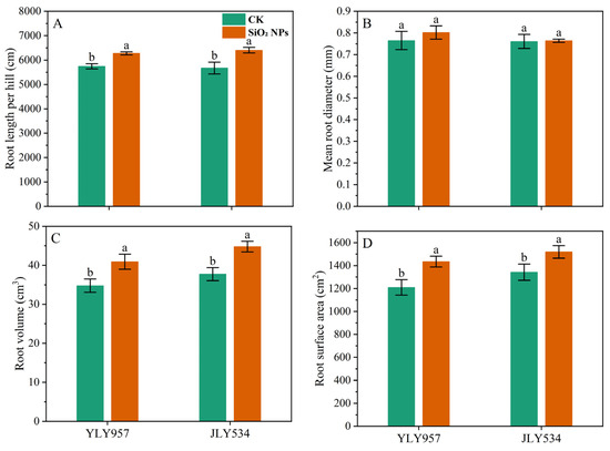
3.2. Effects of SiO2 NPs Application on Agronomic Traits
3.3. Effects of SiO2 NPs Application on Leaf Na+ and K+
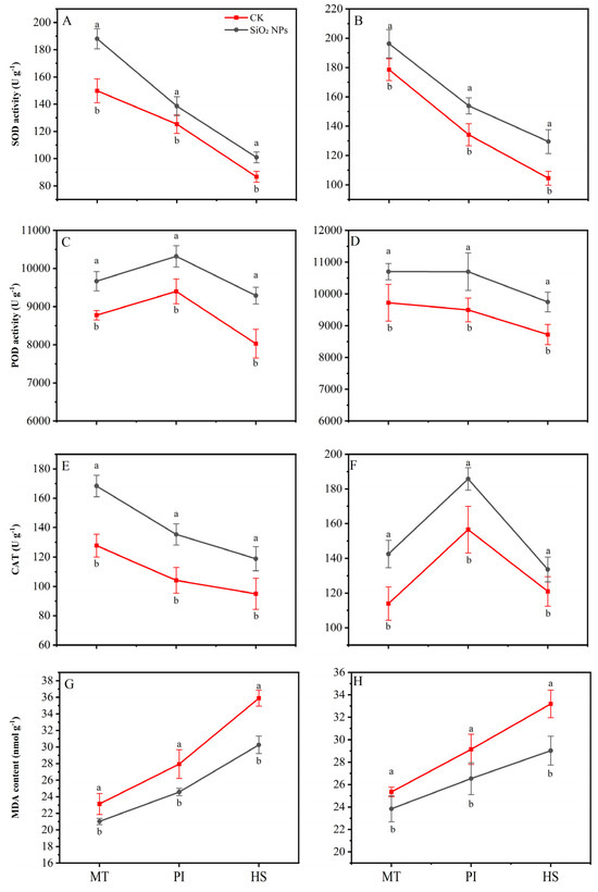
3.4. Effects of SiO2 NPs Application on Leaf Antioxidant Enzymes Activity and MDA Content
3.5. Effects of SiO2 NPs Application on Rice Quality
3.6. Effects of SiO2 NPs Application on RVA and Gelatinization Characteristics
3.7. Effects of SiO2 NPs Application on Distribution of Amylopectin Chain Lengths
4. Discussion
5. Conclusions
Author Contributions
Funding
Data Availability Statement
Acknowledgments
Conflicts of Interest
References
- Chen, T.; Shabala, S.; Niu, Y.; Chen, Z.; Shabala, L.; Meinke, H.; Venkataraman, G.; Pareek, A.; Xu, J.; Zhou, M. Molecular mechanisms of salinity tolerance in rice. Crop J. 2021, 9, 506–520. [Google Scholar] [CrossRef]
- Jin, W.; Li, L.; Ma, G.; Wei, Z. Halotolerant Microorganism-Based Soil Conditioner Application Improved the Soil Properties, Yield, Quality and Starch Characteristics of Hybrid Rice under Higher Saline Conditions. Plants 2024, 13, 2325. [Google Scholar] [CrossRef]
- Liu, C.; Mao, B.; Yuan, D.; Chu, C.; Duan, M. Salt tolerance in rice: Physiological responses and molecular mechanisms. Crop J. 2022, 10, 13–25. [Google Scholar] [CrossRef]
- Jia, M.; Luo, N.; Meng, X.; Song, X.; Jing, Y.; Kou, L.; Liu, G.; Huang, X.; Wang, Y.; Li, J.; et al. OsMPK4 promotes phosphorylation and degradation of IPA1 in response to salt stress to confer salt tolerance in rice. J. Genet. Genom. 2022, 49, 766–775. [Google Scholar] [CrossRef]
- Guo, L.; Lu, Y.; Bao, S.; Zhang, Q.; Geng, Y.; Shao, X. Carbon and nitrogen metabolism in rice cultivars affected by salt-alkaline stress. Crop Pasture Sci. 2021, 72, 372–382. [Google Scholar] [CrossRef]
- Zhao, Q.; Ou, Y.Z.; Hu, S.Q.; Zhou, Y.Y.; Guo, L.B.; Hao, Z.; Meng, L.J.; Liu, C.H. Physiological Response and Molecular Mechanism of Salt Tolerance in Rice: A Review. Chin. Agric. Sci. Bull. 2024, 40, 94–103. [Google Scholar]
- Li, Z.; Zhou, T.; Zhu, K.; Wang, W.; Zhang, W.; Zhang, H.; Liu, L.; Zhang, Z.; Wang, Z.; Wang, B.; et al. Effects of Salt Stress on Grain Yield and Quality Parameters in Rice Cultivars with Differing Salt Tolerance. Plants 2023, 12, 3243. [Google Scholar] [CrossRef]
- Cheng, S.H.; He, A.B.; Guo, X.Y.; Li, R.Y.; Wang, J.B.; Qi, Y.C.; Zhang, P.F.; Tao, W.X.; Ji, J.C.; Zhao, T.C.; et al. Rational Utilization of Sediment Resources Improves Rice Yield and Nitrogen Use Efficiency under Salt Stress. Agriculture 2024, 14, 283. [Google Scholar] [CrossRef]
- Zheng, C.; Dai, N.; Zhou, G.; Peng, Y.; Xie, L.; Sun, W.; Zhou, J.; Zhang, X.; Zhao, X.; Xie, X. Effects of Brackish Water Irrigation on Rice Yield in Yellow River Delta. Water Sav. Irrig. 2023, 3, 17–23. [Google Scholar]
- Li, Y.; Ai, Z.; Mu, Y.; Zhao, T.; Zhang, Y.; Li, L.; Huang, Z.; Nie, L.; Khan, M.N. Rice yield penalty and quality deterioration is associated with failure of nitrogen uptake from regreening to panicle initiation stage under salinity. Front. Plant Sci. 2023, 14, 1120755. [Google Scholar] [CrossRef] [PubMed]
- Badawy, S.A.; Zayed, B.A.; Bassiouni, S.; Mahdi, A.; Majrashi, A.; Ali, E.F.; Seleiman, M.F. Influence of Nano Silicon and Nano Selenium on Root Characters, Growth, Ion Selectivity, Yield, and Yield Components of Rice (Oryza sativa L.) under Salinity Conditions. Plants 2021, 10, 1657. [Google Scholar] [CrossRef]
- Deng, Q.; Yu, T.; Zeng, Z.; Ashraf, U.; Shi, Q.; Huang, S.; Lian, T.; Chen, J.; Muzaffar, W.; Shen, W. Silicon Application Modulates the Growth, Rhizosphere Soil Characteristics, and Bacterial Community Structure in Sugarcane. Front. Plant Sci. 2021, 12, 710139. [Google Scholar] [CrossRef]
- Mahdieh, M.; Habibollahi, N.; Amirjani, M.R.; Abnosi, M.H.; Ghorbanpour, M. Exogenous silicon nutrition ameliorates salt-induced stress by improving growth and efficiency of PSII in Oryza sativa L. cultivars. J. Soil Sci. Plant Nutr. 2015, 15, 1050–1060. [Google Scholar] [CrossRef][Green Version]
- Alharbi, K.; Osman, H.S.; Rashwan, E.; Hafez, E.M.; Omara, A.E. Stimulating the Growth, Anabolism, Antioxidants, and Yield of Rice Plants Grown under Salt Stress by Combined Application of Bacterial Inoculants and Nano-Silicon. Plants 2022, 11, 3431. [Google Scholar] [CrossRef]
- Ismail, L.M.; Soliman, M.I.; Abd, E.M.; Abdel-Aziz, H. Impact of Silica Ions and Nano Silica on Growth and Productivity of Pea Plants under Salinity Stress. Plants 2022, 11, 494. [Google Scholar] [CrossRef] [PubMed]
- Larkunthod, P.; Boonlakhorn, J.; Pansarakham, P.; Pongdontri, P.; Thongbai, P.; Theerakulpisut, P. Synthesis and characterization of silica nanoparticles from rice husk and their effects on physiology of rice under salt stress. Chil. J. Agric. Res. 2022, 82, 412–425. [Google Scholar] [CrossRef]
- Ganapati, R.K.; Naveed, S.A.; Zafar, S.; Wang, W.; Xu, J. Saline-Alkali Tolerance in Rice: Physiological Response, Molecular Mechanism, and QTL Identification and Application to Breeding. Rice Sci. 2022, 29, 412–434. [Google Scholar] [CrossRef]
- Jin, W.; Wei, Z.; Li, L.; Ashraf, U.; He, W.; Zhang, Y.; Qi, S. Grain quality deterioration of hybrid rice is associated with alterations in physicochemical and structural properties of starch under saline conditions. Crop Sci. 2024, 64, 956–967. [Google Scholar] [CrossRef]
- Li, L.; Zhang, Z.; Tian, H.; Ashraf, U.; Mo, Z.; Tang, X.; Duan, M.; Wang, Z.; Wu, T.; Pan, S. Productivity and profitability of mechanized deep nitrogen fertilization in mechanical pot-seedling transplanting rice in South China. Agron. J. 2021, 113, 1664–1680. [Google Scholar] [CrossRef]
- Li, L.; Tian, H.; Zhang, M.; Fan, P.; Ashraf, U.; Liu, H.; Chen, X.; Duan, M.; Tang, X.; Wang, Z.; et al. Deep placement of nitrogen fertilizer increases rice yield and nitrogen use efficiency with fewer greenhouse gas emissions in a mechanical direct-seeded cropping system. Crop J. 2021, 9, 1386–1396. [Google Scholar] [CrossRef]
- Li, L.; Li, Q.; Lin, Z.; Zhang, Z.; Tian, H.; Ashraf, U.; Alhaj Hamoud, Y.; Duan, M.; Tang, X.; Pan, S. Effects of nitrogen deep placement coupled with straw incorporation on grain quality and root traits from paddy fields. Crop Sci. 2021, 61, 3675–3686. [Google Scholar] [CrossRef]
- Yao, D.; Wu, J.; Luo, Q.; Zhang, D.; Zhuang, W.; Xiao, G.; Deng, Q.; Bai, B. Effects of Salinity Stress at Reproductive Growth Stage on Rice (Oryza sativa L.) Composition, Starch Structure, and Physicochemical Properties. Front. Nutr. 2022, 9, 926217. [Google Scholar] [CrossRef]
- Shrivastava, P.; Kumar, R. Soil salinity: A serious environmental issue and plant growth promoting bacteria as one of the tools for its alleviation. Saudi J. Biol. Sci. 2015, 22, 123–131. [Google Scholar] [CrossRef] [PubMed]
- Zhang, R.; Wang, Y.; Hussain, S.; Yang, S.; Li, R.; Liu, S.; Chen, Y.; Wei, H.; Dai, Q.; Hou, H. Study on the Effect of Salt Stress on Yield and Grain Quality Among Different Rice Varieties. Front. Plant Sci. 2022, 13, 918460. [Google Scholar] [CrossRef]
- Fan, W.C.; Wei, Z.W.; Jin, W.Y.; Qi, S.W. Yield Formation and Physiological Response of Hybrid Rice Under Different Salt Concentrations. Hybrid Rice, 2024; online first. [Google Scholar]
- Yan, G.C.; Fan, X.P.; Peng, M.; Yin, C.; Xiao, Z.X.; Liang, Y.C. Silicon Improves Rice Salinity Resistance by Alleviating Ionic Toxicity and Osmotic Constraint in an Organ-Specific Pattern. Front. Plant Sci. 2020, 11, 260. [Google Scholar] [CrossRef] [PubMed]
- Maghsoudi, K.; Emam, Y.; Ashraf, M. Influence of foliar application of silicon on chlorophyll fluorescence, photosynthetic pigments, and growth in water-stressed wheat cultivars differing in drought tolerance. Turk. J. Bot. 2015, 39, 625–634. [Google Scholar] [CrossRef]
- Yan, G.; Fan, X.; Zheng, W.; Gao, Z.; Yin, C.; Li, T.; Liang, Y. Silicon alleviates salt stress-induced potassium deficiency by promoting potassium uptake and translocation in rice (Oryza sativa L.). J. Plant Physiol. 2021, 258, 153379. [Google Scholar] [CrossRef]
- Khan, Z.S.; Rizwan, M.; Hafeez, M.; Ali, S.; Adrees, M.; Qayyum, M.F.; Khalid, S.; Ur, R.M.; Sarwar, M.A. Effects of silicon nanoparticles on growth and physiology of wheat in cadmium contaminated soil under different soil moisture levels. Environ. Sci. Pollut. Res. Int. 2020, 27, 4958–4968. [Google Scholar] [CrossRef]
- Ma, J.F.; Yamaji, N. Silicon uptake and accumulation in higher plants. Trends Plant Sci. 2006, 11, 392–397. [Google Scholar] [CrossRef]
- Yan, G.C.; Fan, X.P.; Peng, M.; Yin, C.; Xiao, Z.X.; Liang, Y.C. Exogenous silicon effectively enhances salt stress resistance of rice by upregulating antioxidant enzymes activities and expression of genes related to Na/K homeostasis. J. Plant Nutr. Fertil. 2020, 26, 1935–1943. [Google Scholar]
- Gong, H.J.; Randall, D.P.; Flowers, T.J. Silicon deposition in the root reduces sodium uptake in rice (Oryza sativa L.) seedlings by reducing bypass flow. Plant Cell Environ. 2006, 29, 1970–1979. [Google Scholar] [CrossRef] [PubMed]
- Flam-Shepherd, R.; Huynh, W.Q.; Coskun, D.; Hamam, A.M.; Britto, D.T.; Kronzucker, H.J. Membrane fluxes, bypass flows, and sodium stress in rice: The influence of silicon. J. Exp. Bot. 2018, 69, 1679–1692. [Google Scholar] [CrossRef] [PubMed]
- Akhtar, N.; Ilyas, N.; Mashwani, Z.U.; Hayat, R.; Yasmin, H.; Noureldeen, A.; Ahmad, P. Synergistic effects of plant growth promoting rhizobacteria and silicon dioxide nano-particles for amelioration of drought stress in wheat. Plant Physiol. Biochem. 2021, 166, 160–176. [Google Scholar] [CrossRef] [PubMed]
- Ma, J.; Takahashi, E. Effect of silicon on the growth and phosphorus uptake of rice. Plant Soil 1990, 126, 115–119. [Google Scholar] [CrossRef]
- Neu, S.; Schaller, J.; Dudel, E.G. Silicon availability modifies nutrient use efficiency and content, C:N:P stoichiometry, and productivity of winter wheat (Triticum aestivum L.). Sci. Rep. 2017, 7, 40829. [Google Scholar] [CrossRef]
- Taskin, M.B.; Akca, H.; Babar, S.K.; Kadioglu, Y.K.; Deniz, K.; Kan, S.; Gunes, A. Evaluating the comparative effects of acid modified rice husk and nano-silicon derived from rice husk on phosphorus use efficiency in wheat and lettuce plants with differing silicon contents. J. Plant Nutr. 2023, 46, 2329–2341. [Google Scholar] [CrossRef]
- Kostic, L.; Nikolic, N.; Bosnic, D.; Samardzic, J.; Nikolic, M. Silicon increases phosphorus (P) uptake by wheat under low P acid soil conditions. Plant Soil 2017, 419, 447–455. [Google Scholar] [CrossRef]
- Jan, S.; Alyemeni, M.N.; Wijaya, L.; Alam, P.; Siddique, K.H.; Ahmad, P. Interactive effect of 24-epibrassinolide and silicon alleviates cadmium stress via the modulation of antioxidant defense and glyoxalase systems and macronutrient content in Pisum sativum L. seedlings. BMC Plant Biol. 2018, 18, 146. [Google Scholar] [CrossRef]
- Das, P.; Manna, I.; Sil, P.; Bandyopadhyay, M.; Biswas, A.K. Exogenous silicon alters organic acid production and enzymatic activity of TCA cycle in two NaCl stressed indica rice cultivars. Plant Physiol. Biochem. 2019, 136, 76–91. [Google Scholar] [CrossRef]
- Akca, H.; Taskin, M.B.; Gunes, A. Phosphorus Makes Silicon Fertilization Mandatory: Effect of Nano-Silicon on the One-Sided Antagonisms of Phosphorus Fertilization in Wheat-Maize and Maize-Maize Cropping System. J. Soil Sci. Plant Nutr. 2023, 23, 5070–5083. [Google Scholar] [CrossRef]
- Hassan, I.F.; Ajaj, R.; Gaballah, M.S.; Ogbaga, C.C.; Kalaji, H.M.; Hatterman-Valenti, H.M.; Alam-Eldein, S.M. Foliar Application of Nano-Silicon Improves the Physiological and Biochemical Characteristics of ‘Kalamata’ Olive Subjected to Deficit Irrigation in a Semi-Arid Climate. Plants 2022, 11, 1561. [Google Scholar] [CrossRef] [PubMed]
- Liu, X.; Huang, Z.; Li, Y.; Xie, W.; Li, W.; Tang, X.; Ashraf, U.; Kong, L.; Wu, L.; Wang, S.; et al. Selenium-silicon (Se-Si) induced modulations in physio-biochemical responses, grain yield, quality, aroma formation and lodging in fragrant rice. Ecotoxicol. Environ. Saf. 2020, 196, 110525. [Google Scholar] [CrossRef] [PubMed]
- Yuan, S.; Han, Y.; Cui, C.; Chen, P.; Tu, N.; Rang, Z.; Yi, Z. Silicon-calcium fertilizer increased rice yield and quality by improving soil health. Sci. Rep. 2024, 14, 13088. [Google Scholar] [CrossRef] [PubMed]
- Chan-In, P.; Jamjod, S.; Prom-U-Thai, C.; Rerkasem, B.; Russell, J.; Pusadee, T. Application of Silicon Influencing Grain Yield and Some Grain Quality Features in Thai Fragrant Rice. Plants 2024, 13, 1336. [Google Scholar] [CrossRef] [PubMed]
- Castaldi, S.; Valkov, V.T.; Ricca, E.; Chiurazzi, M.; Isticato, R. Use of halotolerant Bacillus amyloliquefaciens RHF6 as a bio-based strategy for alleviating salinity stress in Lotus japonicus cv Gifu. Microbiol. Res. 2023, 268, 127274. [Google Scholar] [CrossRef] [PubMed]
- Zhou, T.; Chen, L.; Wang, W.; Xu, Y.; Zhang, W.; Zhang, H.; Liu, L.; Wang, Z.; Gu, J.; Yang, J. Effects of application of rapeseed cake as organic fertilizer on rice quality at high yield level. J. Sci. Food Agric. 2022, 102, 1832–1841. [Google Scholar] [CrossRef] [PubMed]
- Lanning, S.B.; Siebenmorgen, T.J.; Counce, P.A.; Ambardekar, A.A.; Mauromoustakos, A. Extreme nighttime air temperatures in 2010 impact rice chalkiness and milling quality. Field Crop. Res. 2011, 124, 132–136. [Google Scholar] [CrossRef]
- Peng, Y.; Mao, B.; Zhang, C.; Shao, Y.; Wu, T.; Hu, L.; Hu, Y.; Tang, L.; Li, Y.; Zhao, B.; et al. Correlations Between Parental Lines and Indica Hybrid Rice in Terms of Eating Quality Traits. Front. Nutr. 2021, 7, 663504. [Google Scholar] [CrossRef]





| Varieties | Treatments | Productive | Grains | Grain | Thousand-Grain | Grain |
|---|---|---|---|---|---|---|
| Panicle | per | Filling | Weight | Yield | ||
| (m−2) | Panicle | (%) | (g) | (t ha−1) | ||
| YLY957 | CK | 175.1 ± 10.3 a | 135.2 ± 7.7 b | 62.5 ± 1.4 b | 15.9 ± 0.1 a | 2.4 ± 0.3 b |
| SiO2 NPs | 180.3 ± 12.0 a | 149.5 ± 3.8 a | 67.6 ± 3.2 a | 16.1 ± 0.1 a | 3.2 ± 0.4 a | |
| JLY534 | CK | 182.7 ± 6.6 a | 143.0 ± 7.7 b | 64.9 ± 1.6 b | 16.1 ± 0.2 a | 3.0 ± 0.4 b |
| SiO2 NPs | 189.6 ± 14.2 a | 158.9 ± 4.8 a | 69.8 ± 4.8 a | 16.2 ± 0.2 a | 3.7 ± 0.4 a |
| Varieties | Treatment | Brown | Milled | Head | Chalkiness | Chalky | Length/ |
|---|---|---|---|---|---|---|---|
| Rice | Rice | Rice | Grain | Width | |||
| Rate (%) | Rate (%) | Rate (%) | Rate (%) | Rate (%) | Ratio | ||
| YLY957 | CK | 77.6 ± 0.4 b | 68.4 ± 0.8 b | 54.9 ± 1.1 b | 5.9 ± 0.6 a | 15.0 ± 1.7 a | 2.9 ± 0.2 a |
| SiO2 NPs | 79.3 ± 0.3 a | 70.1 ± 0.3 a | 56.2 ± 0.9 a | 5.5 ± 0.7 a | 13.7 ± 1.2 a | 3.0 ± 0.2 a | |
| JLY534 | CK | 78.4 ± 1.4 a | 70.6 ± 0.6 b | 57.3 ± 1.2 b | 5.9 ± 0.5 a | 13.7 ± 0.6 a | 2.8 ± 0.1 a |
| SiO2 NPs | 79.2 ± 0.3 a | 72.1 ± 0.5 a | 59.1 ± 1.2 a | 5.5 ± 0.3 a | 13.3 ± 0.6 a | 3.0 ± 0.2 a |
| Varieties | Treatment | Total Starch | Amylose | Protein | Gel | Alkali | Taste |
|---|---|---|---|---|---|---|---|
| Content | Content | Content | Consistency | Spreading | Value | ||
| (%) | (%) | (%) | (mm) | Value | |||
| YLY957 | CK | 70.4 ± 0.5 b | 12.8 ± 0.6 b | 10.8 ± 0.1 a | 66.7 ± 5.9 b | 4.1 ± 0.3 b | 59.0 ± 1.0 b |
| SiO2 NPs | 72.7 ± 0.8 a | 14.7 ± 0.4 a | 9.9 ± 0.4 b | 73.0 ± 6.2 a | 4.8 ± 1.0 a | 67.6 ± 1.7 a | |
| JLY534 | CK | 70.5 ± 1.0 b | 13.6 ± 0.2 b | 10.8 ± 0.1 a | 67.7 ± 0.6 b | 6.6 ± 0.3 b | 59.2 ± 0.4 b |
| SiO2 NPs | 74.2 ± 1.0 a | 17.3 ± 0.6 a | 9.5 ± 0.6 b | 72.3 ± 2.1 a | 6.6 ± 0.3 a | 64.6 ± 0.2 a |
| Varieties | Treatment | PV (cP) | TV (cP) | CPV (cP) | BD (cP) | CSV (cP) | SB (cP) | PT (°C) |
|---|---|---|---|---|---|---|---|---|
| YLY957 | CK | 2538.3 b | 1737.3 b | 2804.0 a | 801.0 b | 1066.7 a | 265.7 b | 88.1 a |
| SiO2 NPs | 2878.5 a | 1912.0 a | 2753.5 b | 966.5 a | 841.5 b | −125.0 a | 87.9 a | |
| JLY534 | CK | 2872.3 b | 1928.3 b | 3222.3 a | 798.0 a | 1294.0 a | 350.0 b | 87.8 b |
| SiO2 NPs | 2902.3 a | 2104.3 a | 3234.3 a | 944.0 b | 1130.0 b | 332.0 a | 89.6 a |
| Varieties | Treatment | Onset | Peak | Conclusion | Enthalpy |
|---|---|---|---|---|---|
| Temperature | Temperature | Temperature | (J/g) | ||
| (°C) | (°C) | (°C) | |||
| YLY957 | CK | 78.2 ± 0.8 a | 84.9 ± 0.2 a | 89.1 ± 0.2 a | 7.7 ± 0.9 a |
| SiO2 NPs | 77.6 ± 0.6 a | 83.8 ± 1.5 a | 89.4 ± 0.5 a | 7.1 ± 0.4 a | |
| JLY534 | CK | 71.1 ± 0.4 a | 76.5 ± 0.6 a | 81.5 ± 0.6 a | 8.1 ± 0.3 a |
| SiO2 NPs | 69.4 ± 0.5 b | 75.2 ± 0.5 b | 77.4 ± 6.4 b | 7.1 ± 0.2 b |
| Varieties | Treatment | Relative | Crystal | DP 6–12 | DP 13–24 | DP 25–36 | DP ≥ 37 |
|---|---|---|---|---|---|---|---|
| Crystallinity (%) | Pattern | (%) | (%) | (%) | (%) | ||
| YLY957 | CK | 21.5 ± 0.4 a | A | 25.4 ± 3.6 b | 48.6 ± 3.3 a | 12.7 ± 0.2 a | 13.2 ± 0.7 a |
| SiO2 NPs | 19.7 ± 1.9 b | A | 27.6 ± 0.9 a | 49.6 ± 0.9 a | 11.3 ± 0.1 b | 11.5 ± 0.1 b | |
| JLY534 | CK | 21.2 ± 0.1 a | A | 26.4 ± 2.6 a | 48.0 ± 1.9 a | 12.6 ± 0.4 a | 13.0 ± 0.4 a |
| SiO2 NPs | 19.6 ± 0.9 b | A | 27.4 ± 0.4 a | 49.6 ± 0.3 a | 11.2 ± 0.4 b | 11.8 ± 0.2 b |
Disclaimer/Publisher’s Note: The statements, opinions and data contained in all publications are solely those of the individual author(s) and contributor(s) and not of MDPI and/or the editor(s). MDPI and/or the editor(s) disclaim responsibility for any injury to people or property resulting from any ideas, methods, instructions or products referred to in the content. |
© 2024 by the authors. Licensee MDPI, Basel, Switzerland. This article is an open access article distributed under the terms and conditions of the Creative Commons Attribution (CC BY) license (https://creativecommons.org/licenses/by/4.0/).
Share and Cite
Jin, W.; Li, L.; He, W.; Wei, Z. Application of Silica Nanoparticles Improved the Growth, Yield, and Grain Quality of Two Salt-Tolerant Rice Varieties under Saline Irrigation. Plants 2024, 13, 2452. https://doi.org/10.3390/plants13172452
Jin W, Li L, He W, Wei Z. Application of Silica Nanoparticles Improved the Growth, Yield, and Grain Quality of Two Salt-Tolerant Rice Varieties under Saline Irrigation. Plants. 2024; 13(17):2452. https://doi.org/10.3390/plants13172452
Chicago/Turabian StyleJin, Wenyu, Lin Li, Wenli He, and Zhongwei Wei. 2024. "Application of Silica Nanoparticles Improved the Growth, Yield, and Grain Quality of Two Salt-Tolerant Rice Varieties under Saline Irrigation" Plants 13, no. 17: 2452. https://doi.org/10.3390/plants13172452
APA StyleJin, W., Li, L., He, W., & Wei, Z. (2024). Application of Silica Nanoparticles Improved the Growth, Yield, and Grain Quality of Two Salt-Tolerant Rice Varieties under Saline Irrigation. Plants, 13(17), 2452. https://doi.org/10.3390/plants13172452

