Physiological Responses and Salt Tolerance Evaluation of Different Varieties of Bougainvillea under Salt Stress
Abstract
1. Introduction
2. Materials and Methods
2.1. Materials
2.2. Study Location
2.3. Experiment Design
2.4. Experimental Indicators and Measurement Methods
2.4.1. Salinity Damage Level
2.4.2. Physiochemical Factors
2.5. Data Analysis
3. Results
3.1. Effects of Salt Stress on Growth of Bougainvillea
3.1.1. Salinity Damage Symptoms of Bougainvillea under Salt Stress
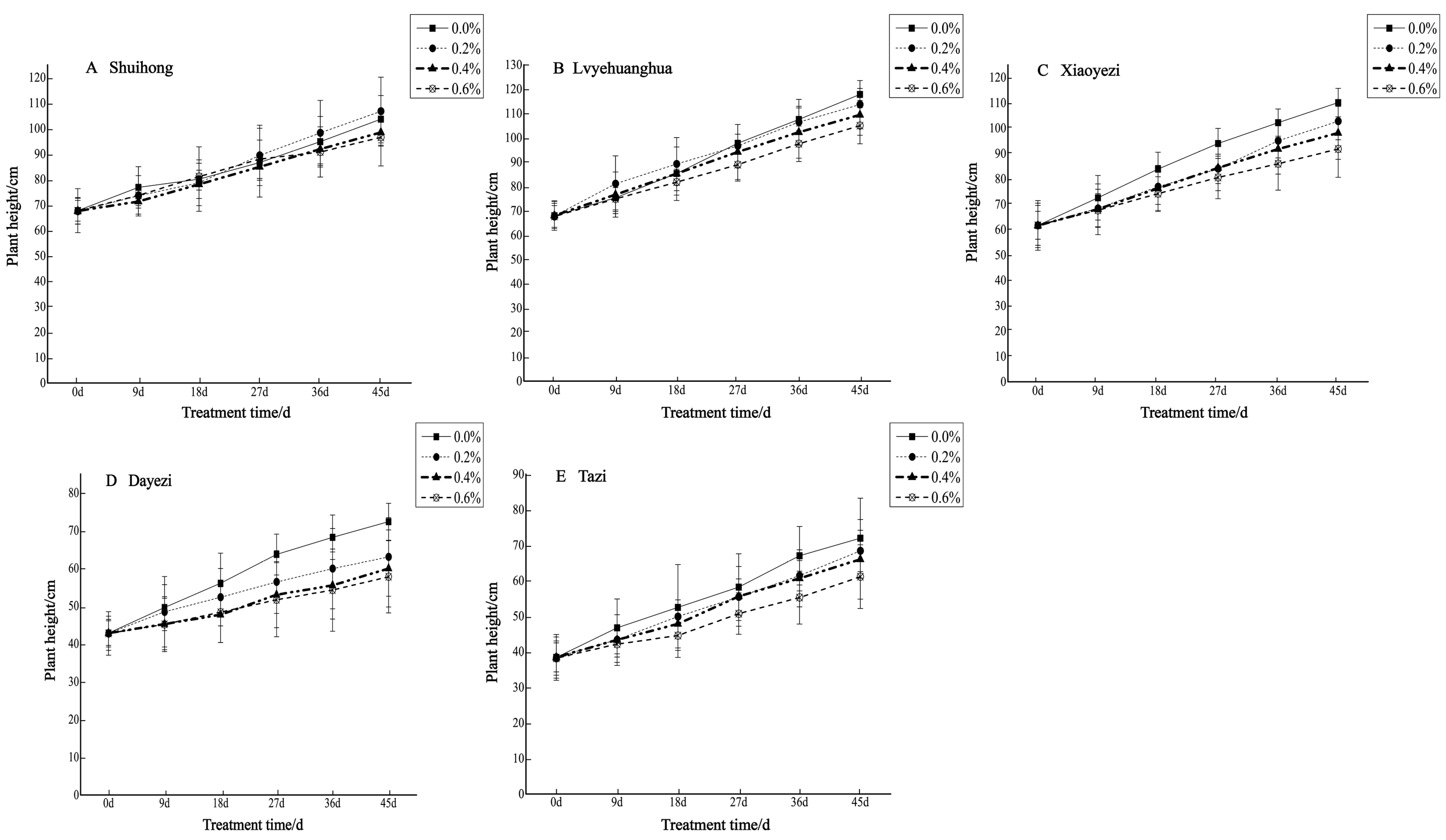
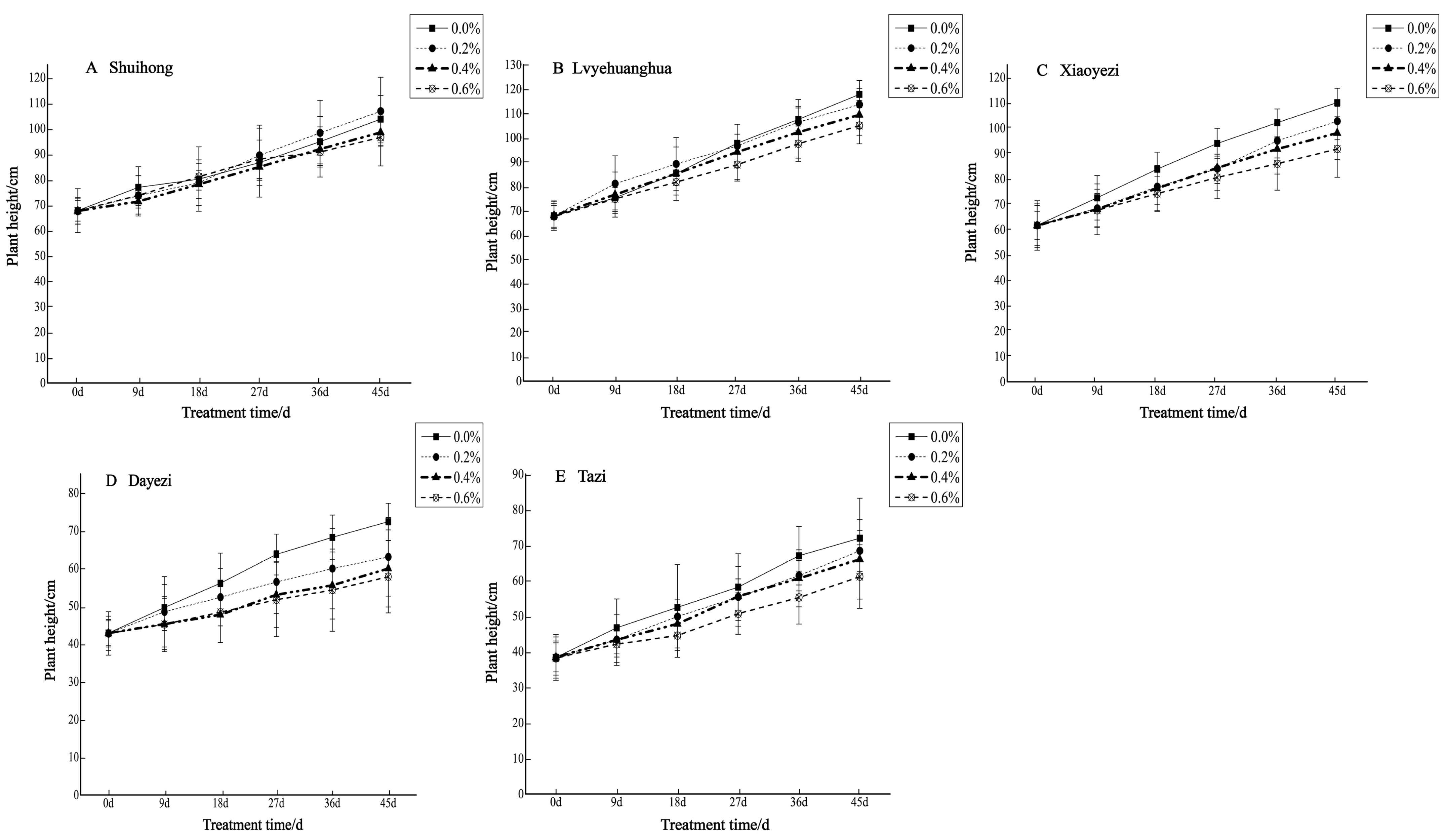
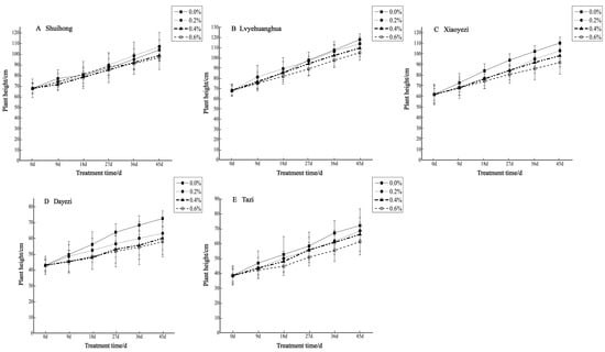
3.1.2. Effects of Salt Stress on the Height Growth and Relative Height Growth of Bougainvillea Seedlings
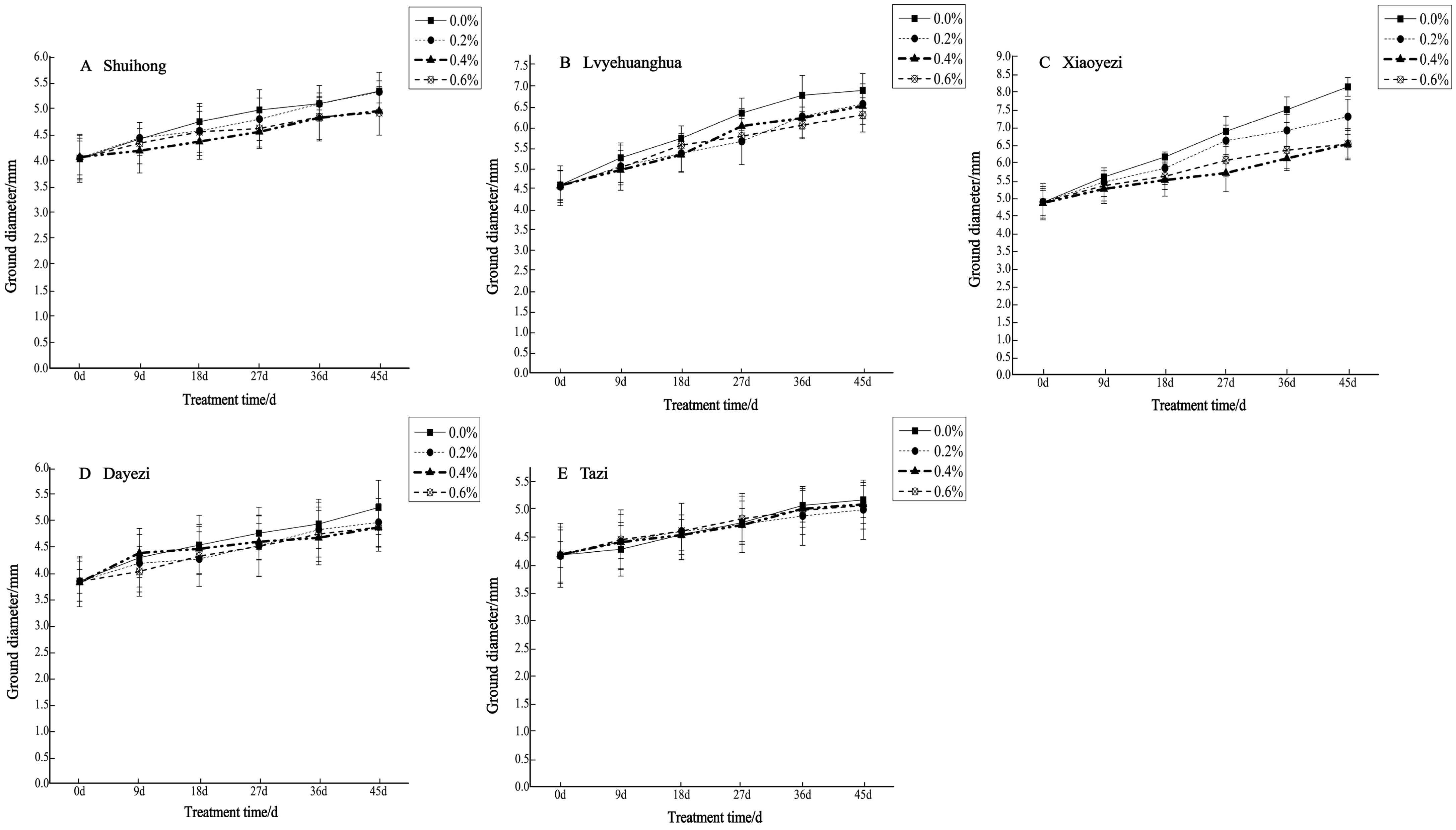
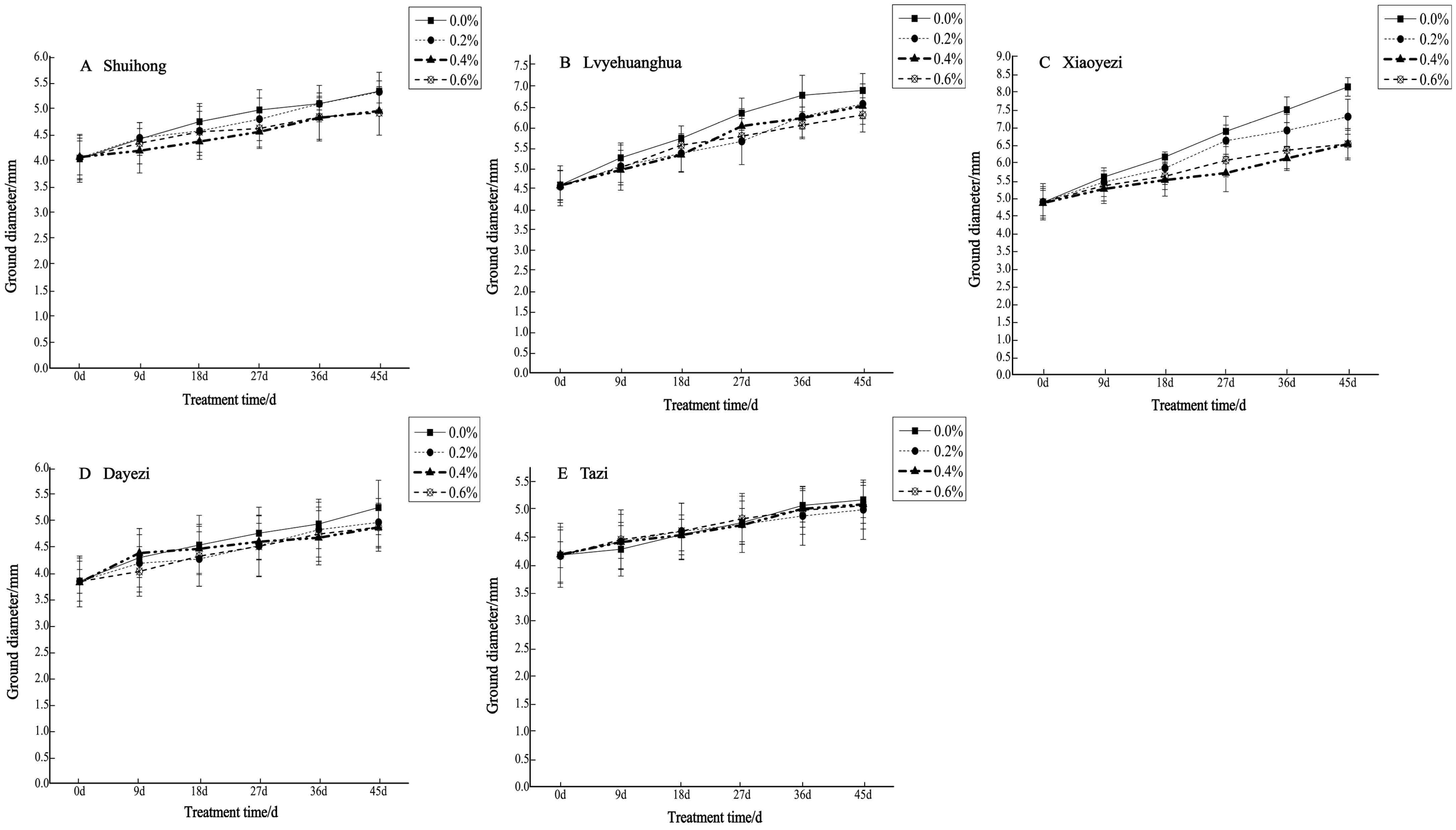
3.1.3. Effects of Salt Stress on the Stem Diameter Growth and Relative Ground Diameter of Bougainvillea
3.1.4. Effects of Salt Stress on the Biomass of Bougainvillea
3.2. The Impact of Salt Stress on the Physiological Characteristics of Bougainvillea
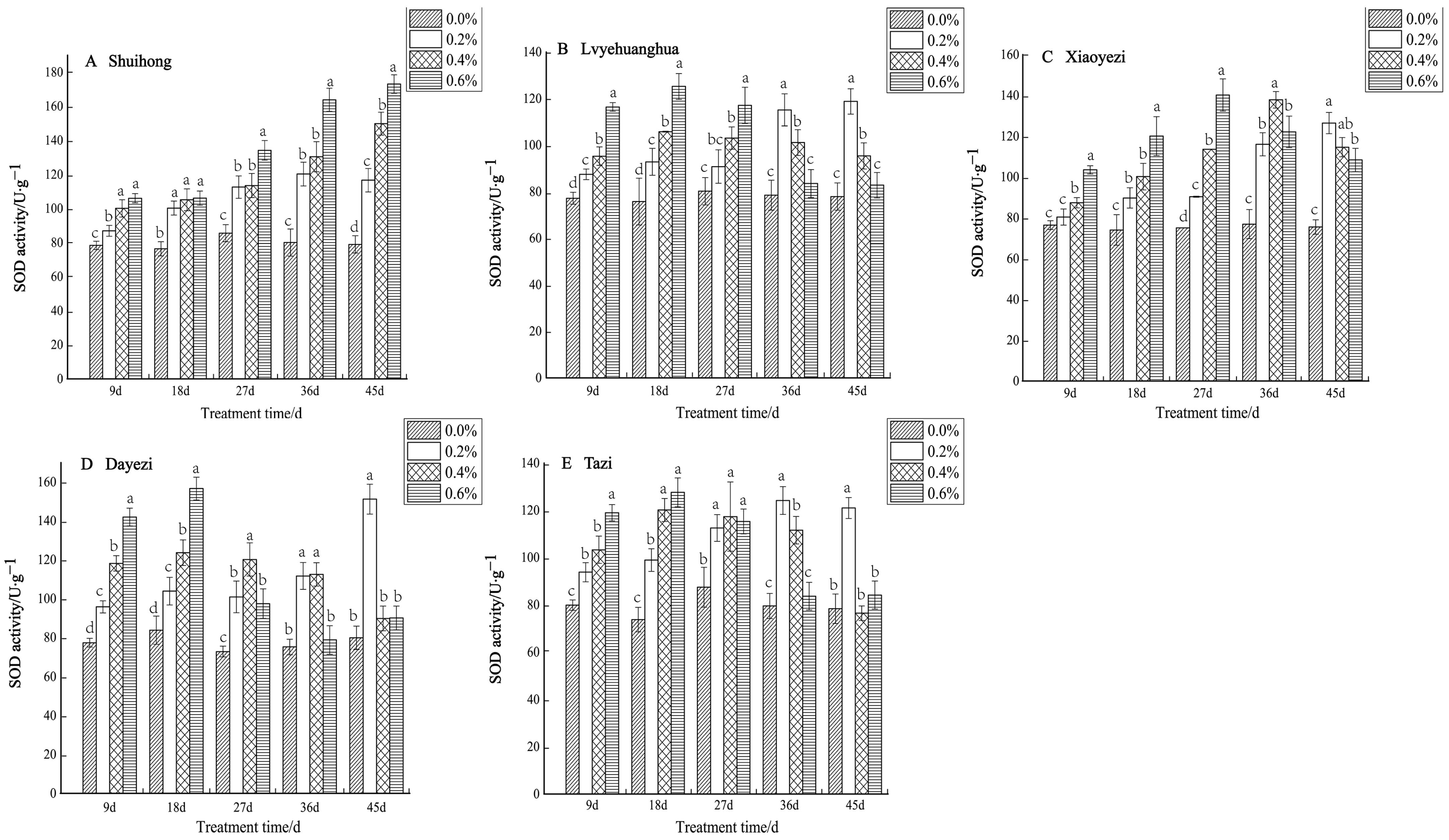
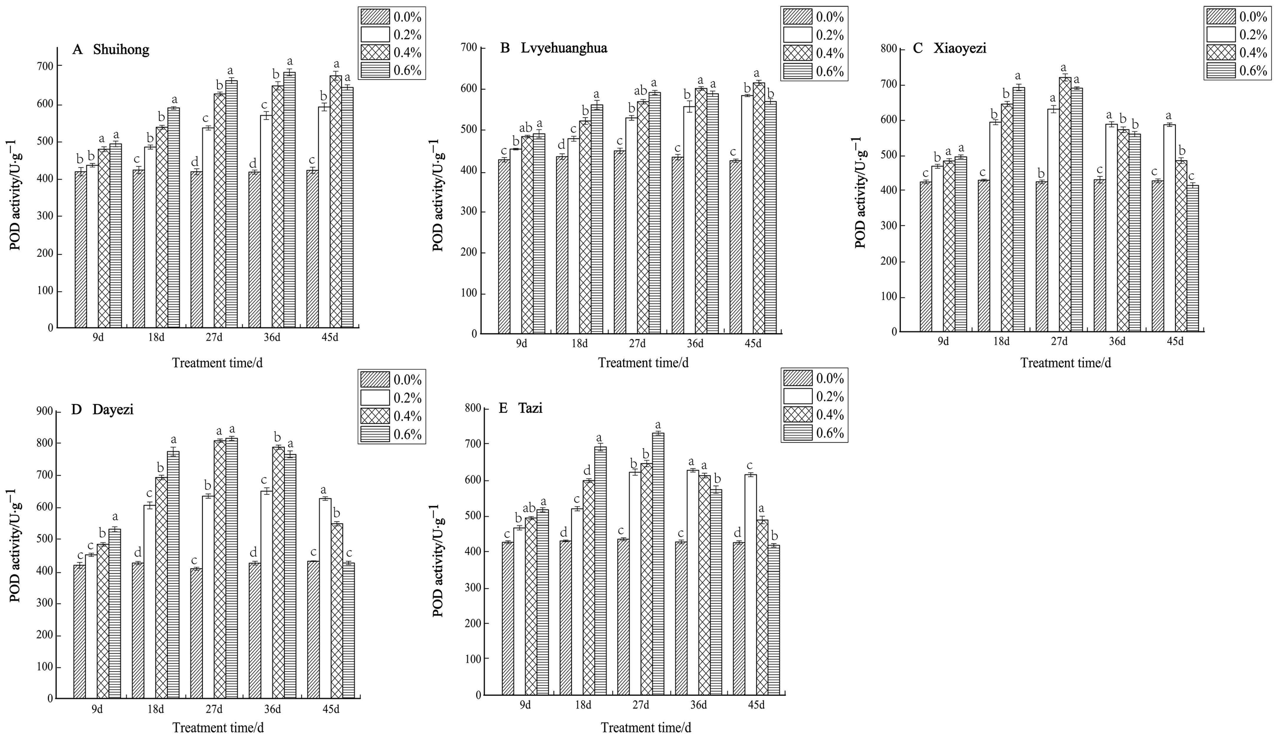
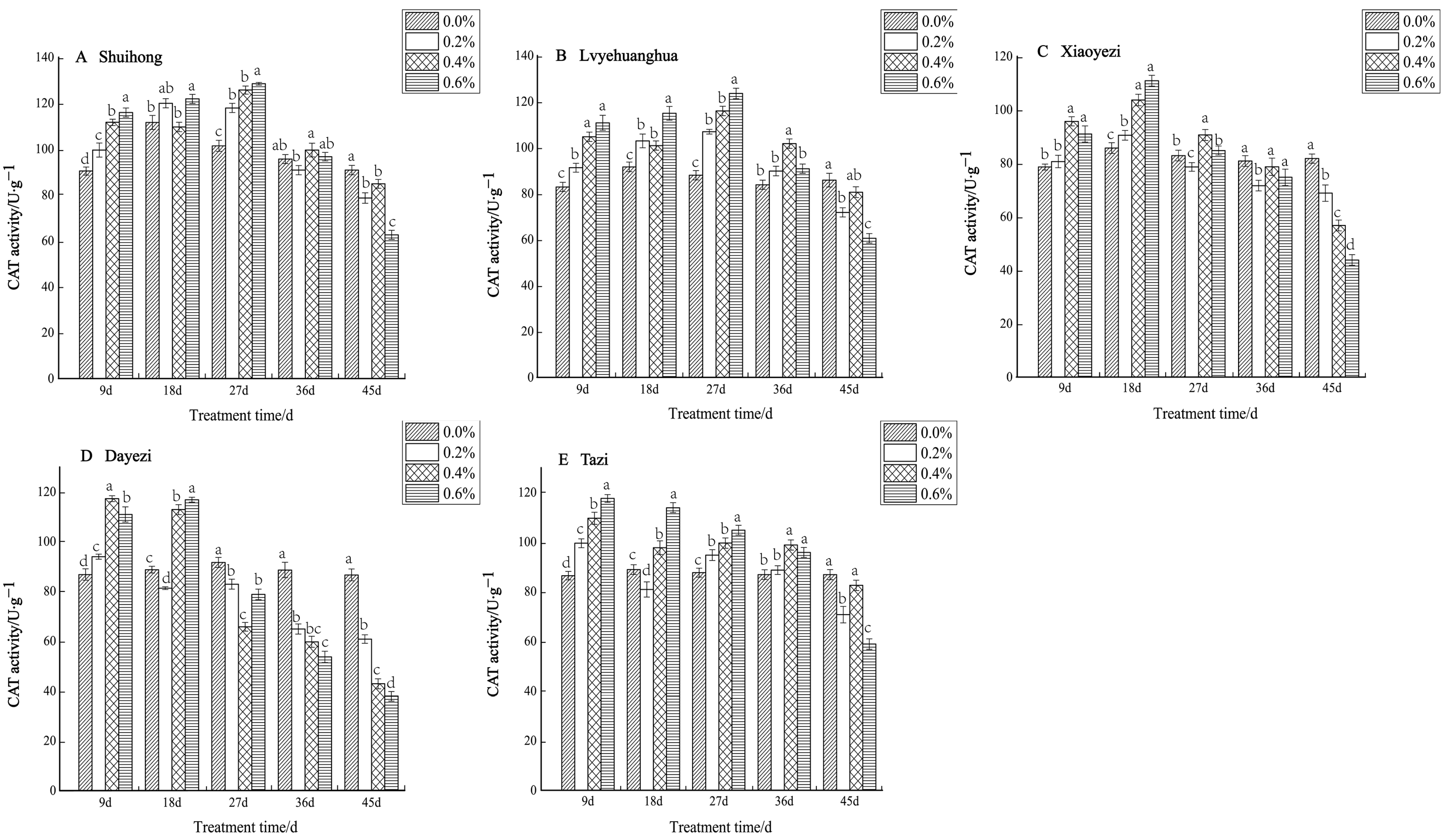
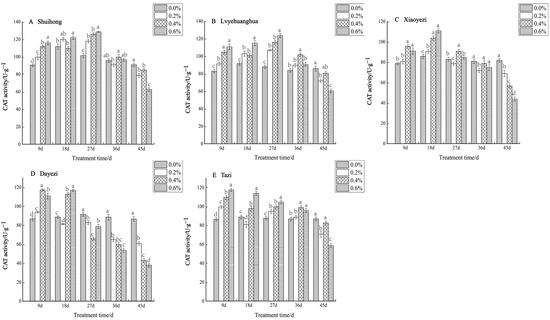
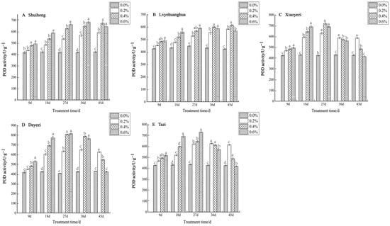
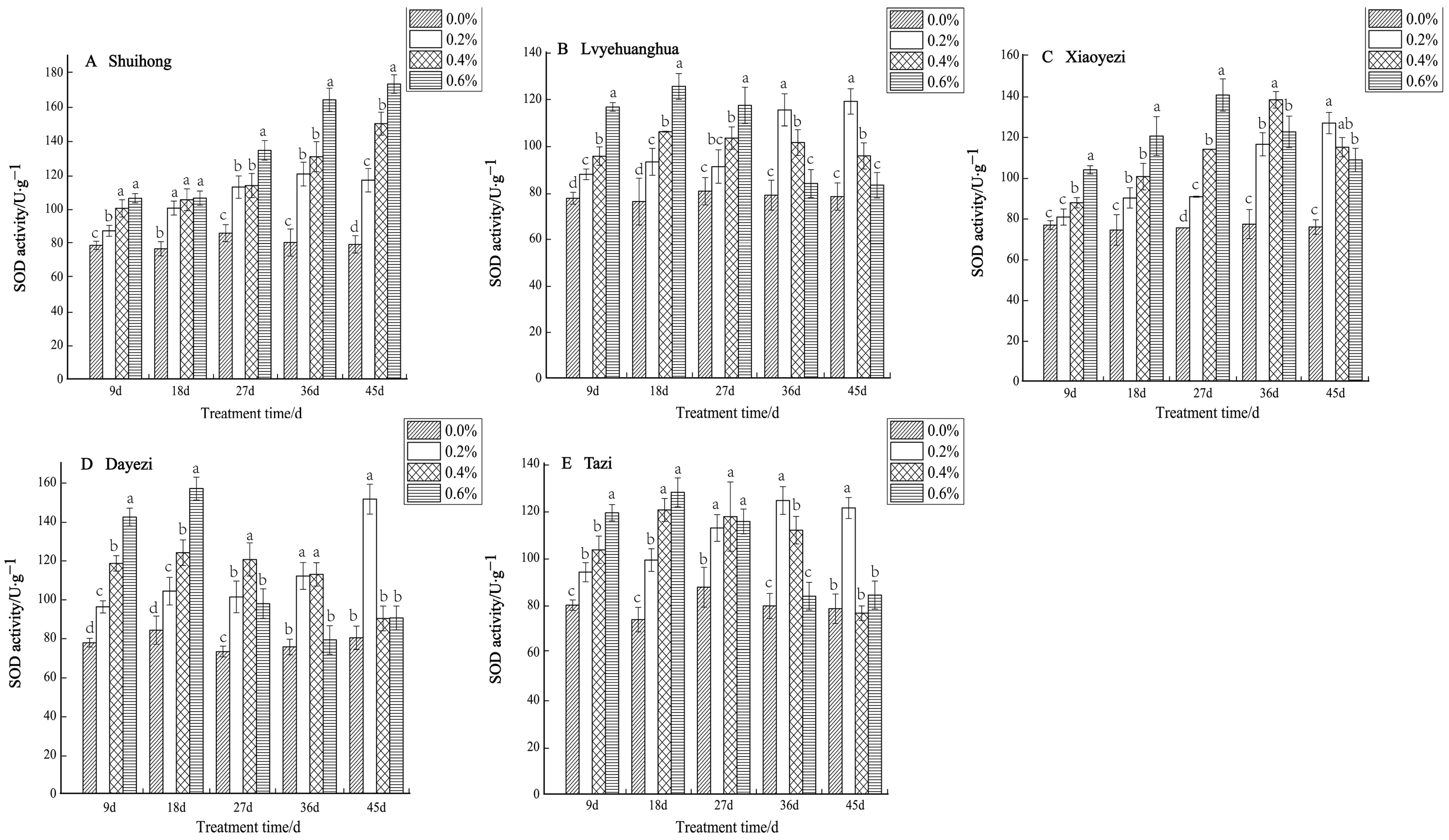
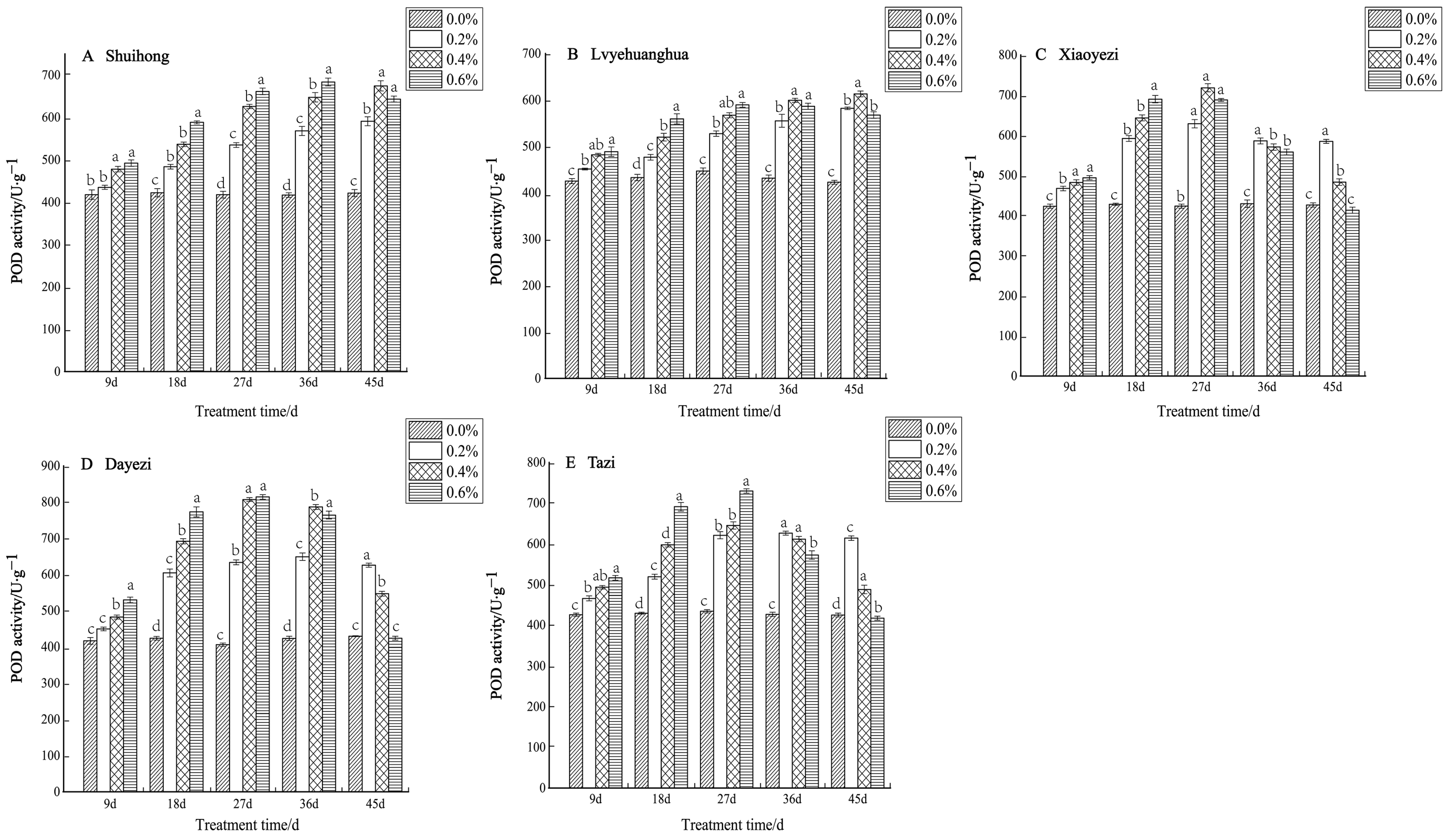
3.2.1. The Effect of Salt Stress on the Antioxidant Enzyme System in Bougainvillea Leaves
3.2.2. The Effect of Salt Stress on Membrane Permeability and Membrane Oxidative Products in Bougainvillea
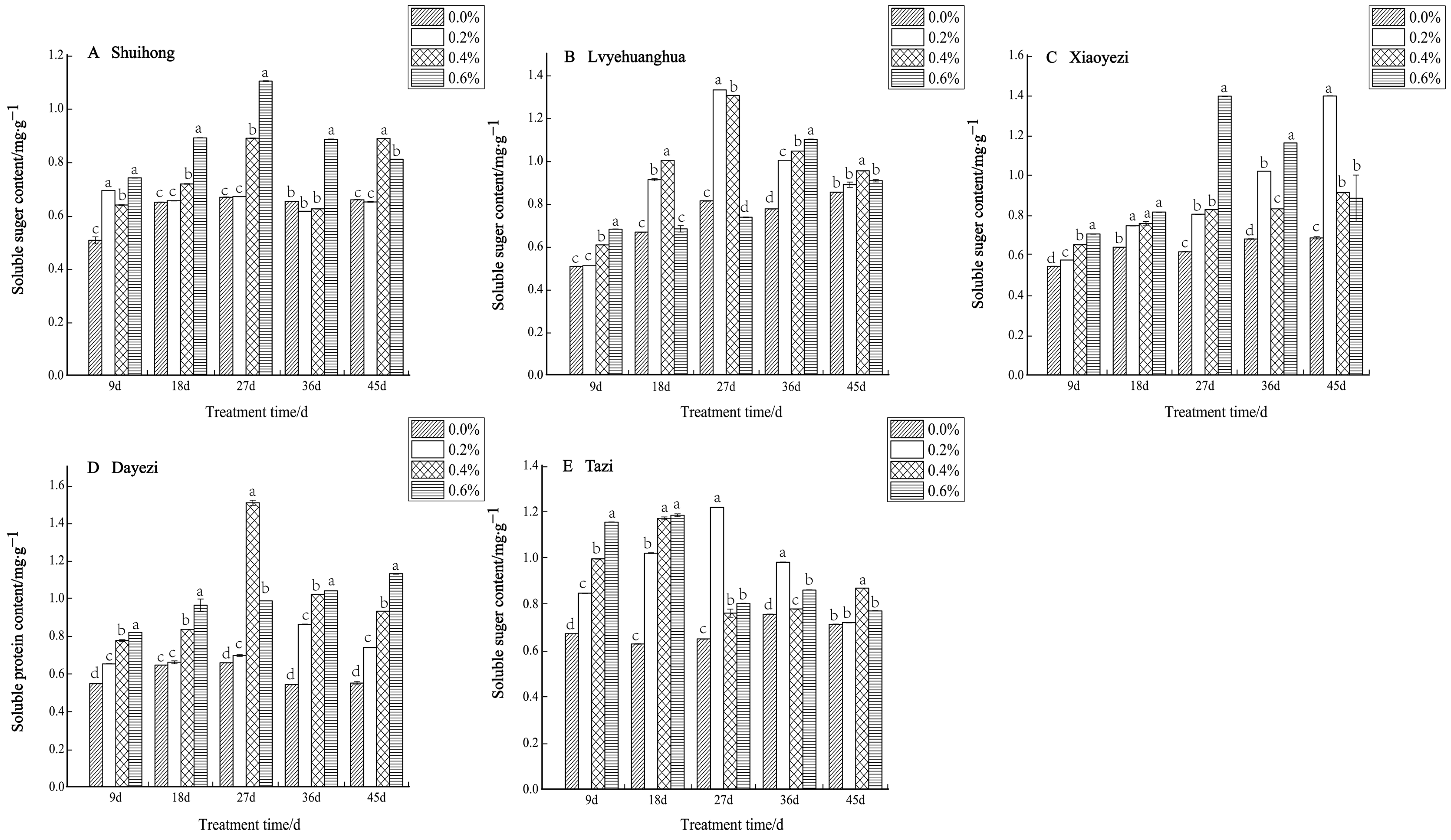
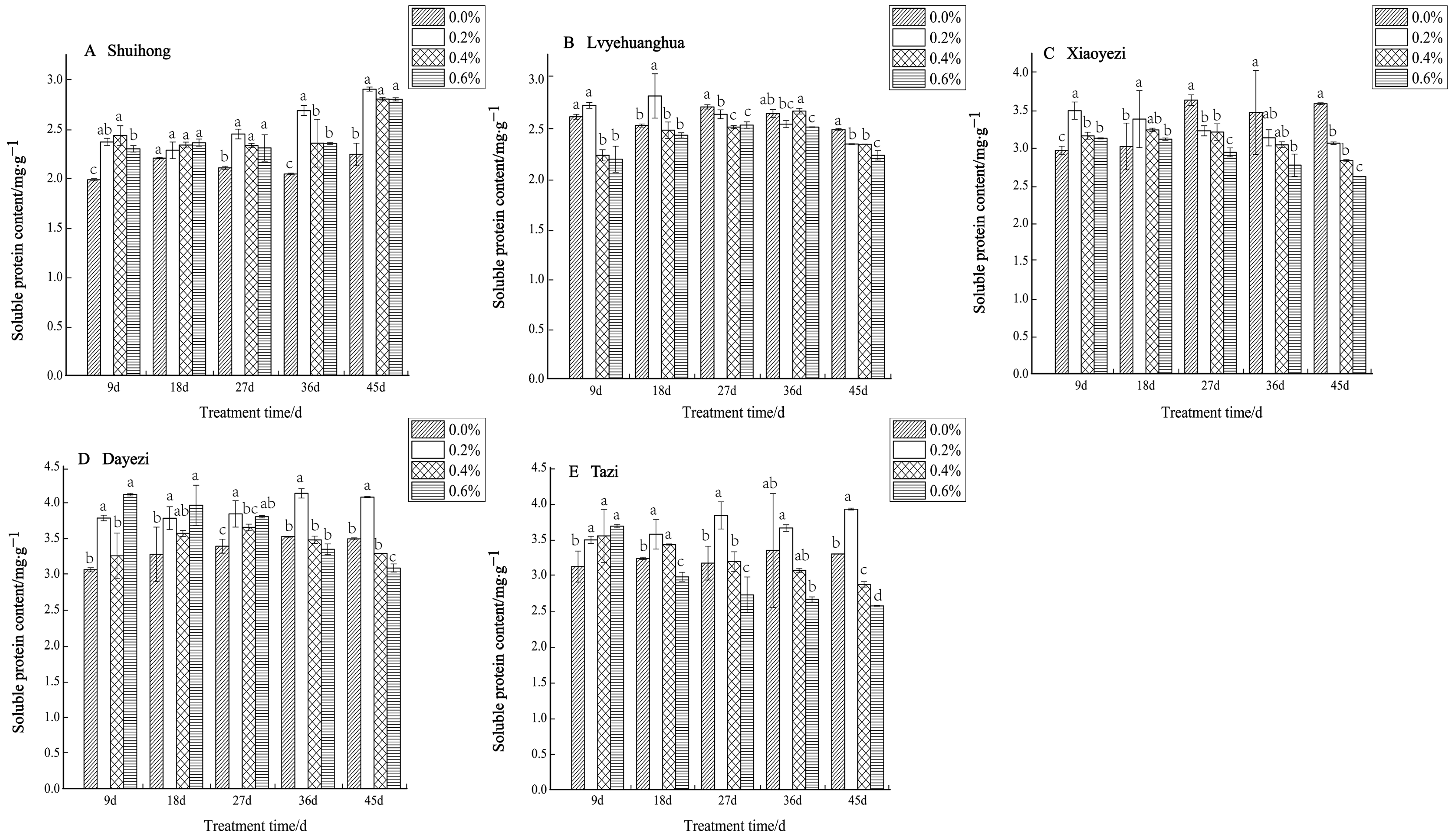
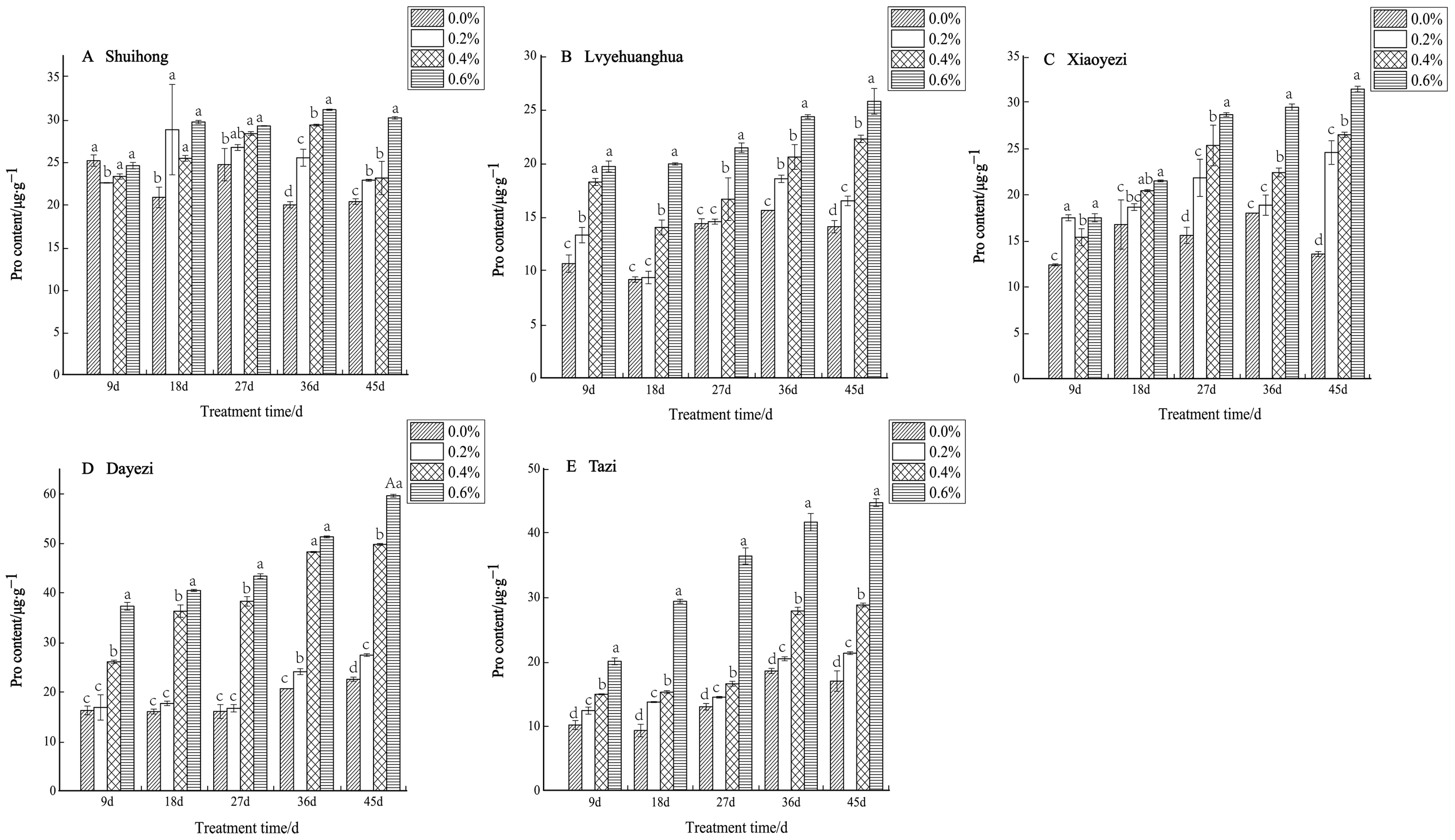
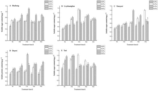
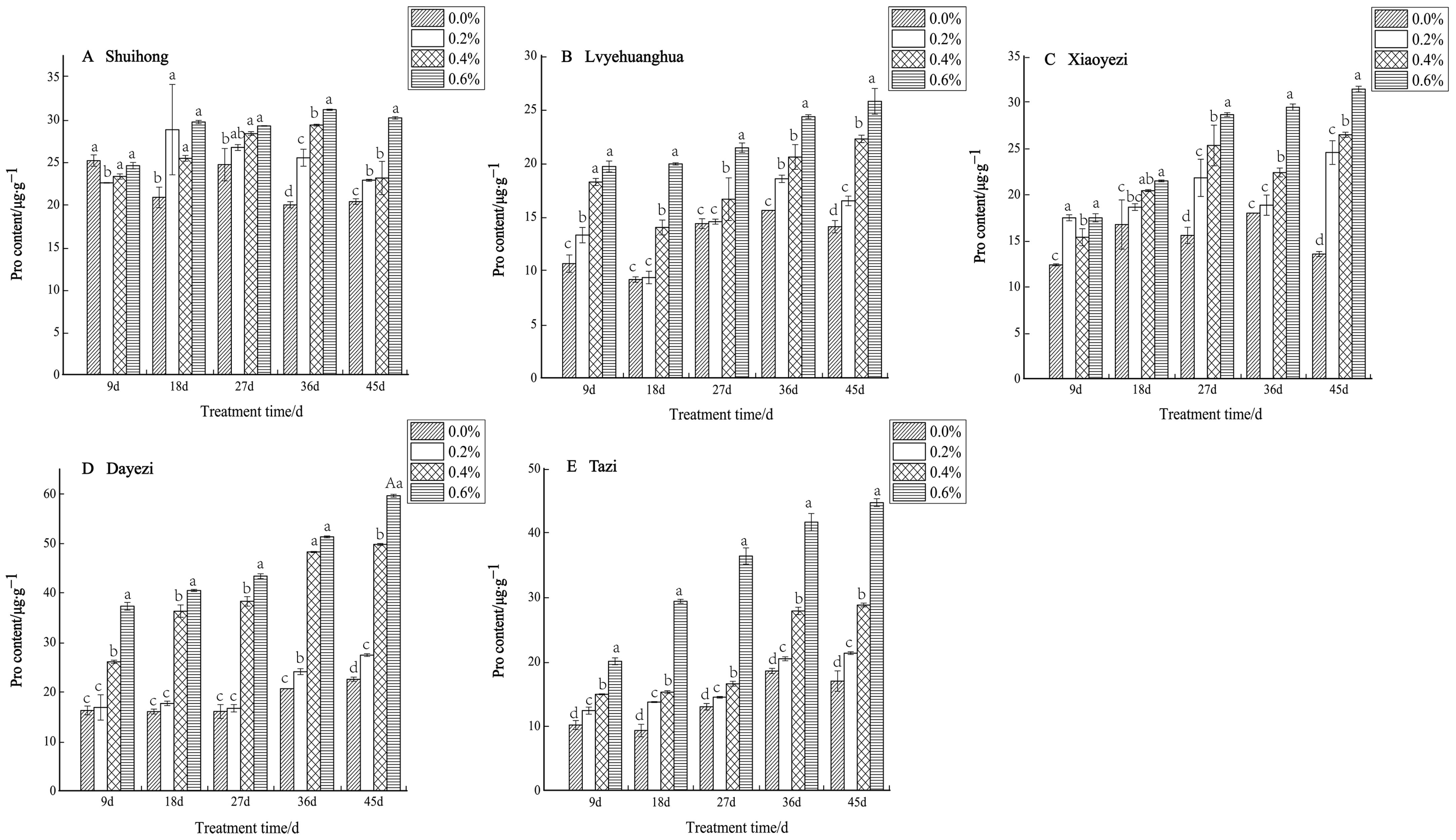
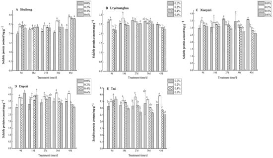
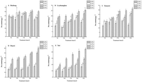
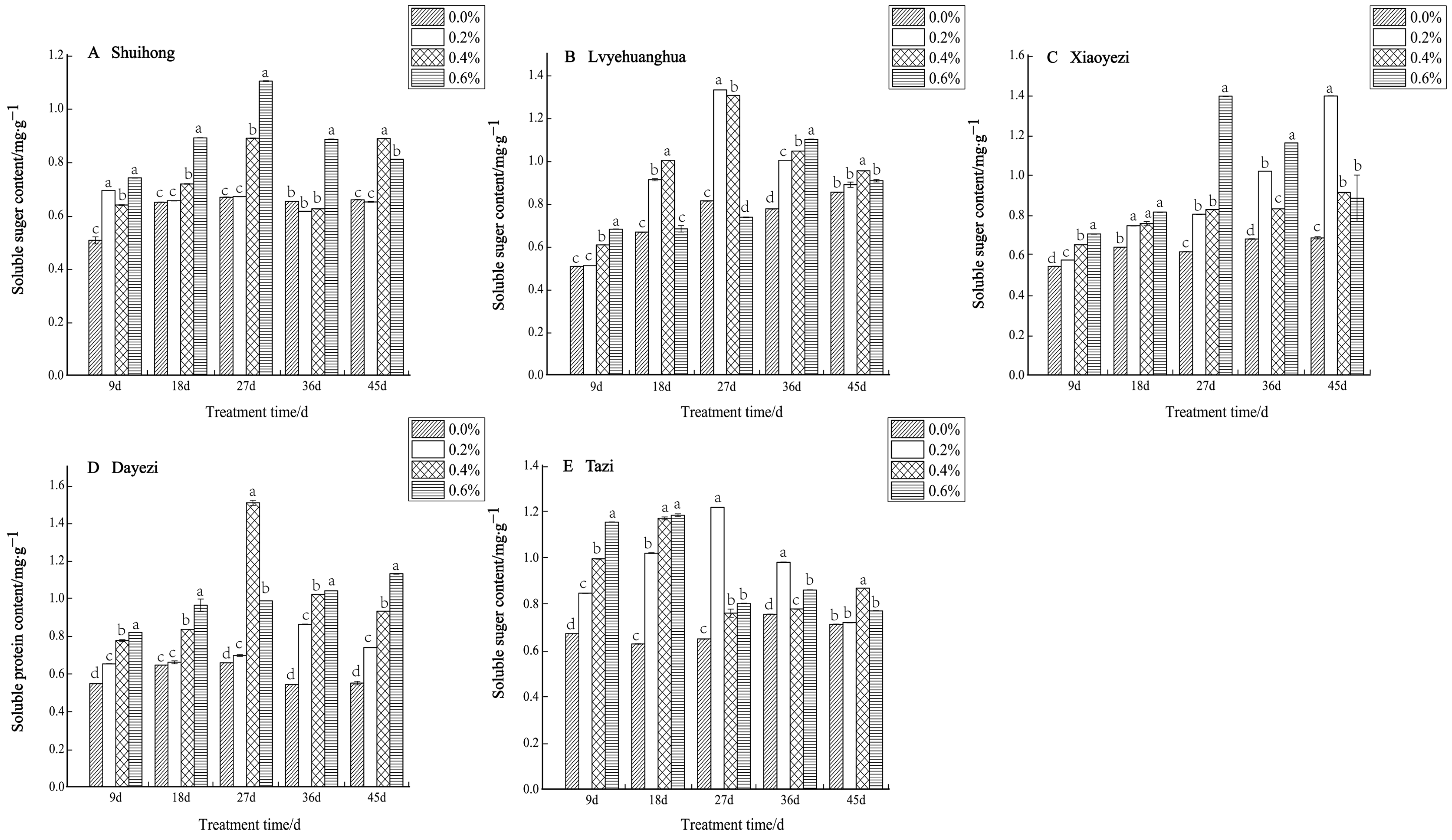
3.2.3. The Influence of Salt Stress on Osmoregulatory Substances in Bougainvillea
3.3. Comprehensive Analysis of Salt Tolerance in Five Varieties of Bougainvillea
3.3.1. Correlation Analysis of Indicators
3.3.2. Principal Component Analysis of Indicators
3.3.3. Comprehensive Evaluation
4. Discussion
4.1. Response of Bougainvillea to Salt Stress in Terms of Morphology and Growth
4.2. Responses of the Antioxidative Enzyme System and Membrane System of Bougainvillea under Salt Stress
4.3. Response of Bougainvillea to Osmoregulatory Substances under Salt Stress
5. Conclusions
Author Contributions
Funding
Data Availability Statement
Acknowledgments
Conflicts of Interest
References
- Wei, J.Y.; Liang, J.H.; Liu, D.B.; Liu, Y.W.; Liu, G.Y.; Wei, S.X. Melatonin-induced physiology and transcriptome changes in banana seedlings under salt stress conditions. Front. Plant Sci. 2022, 13, 938262. [Google Scholar] [CrossRef]
- Li, J.G.; Pu, L.J.; Han, M.F.; Zhu, M.; Zhang, R.S.; Xiang, Y.Z. Soil salinization research in China: Advances and prospects. J. Geogr. Sci. 2014, 24, 943–960. [Google Scholar] [CrossRef]
- Qadir, M.; Quillérou, E.; Nangia, V.; Murtaza, G.; Singh, M.; Thomas, R.J.; Drechsel, P.; Noble, A.D. Economics of salt-induced land degradation and restoration. Nat. Resour. Forum 2014, 38, 282–295. [Google Scholar] [CrossRef]
- Jiang, H.F.; Okoye, C.O.; Chen, X.F.; Zhang, F.S.; Jiang, J.X. High-throughput 16S rRNA gene-based amplicon sequencing reveals the functional divergence of halophilic bacterial communities in the Suaeda salsa root compartments on the Eastern Coast of China. Sci. Total Environ. 2024, 942, 173775. [Google Scholar] [CrossRef]
- Fu, H.; Yang, Y. How Plants Tolerate Salt Stress. Curr. Issues Mol. Biol. 2023, 45, 5914–5934. [Google Scholar] [CrossRef]
- Hasan, M.M.; Rahman, M.A.; Corpas, F.J.; Rahman, M.M.; Jahan, M.S.; Liu, X.D.; Ghimire, S.; Alabdallah, N.M.; Wassem, M.; Alharbi, B.M.; et al. Salt stress tolerance in rice (Oryza sativa L.): A proteomic overview of recent advances and future prospects. Plant Stress 2023, 942, 100307. [Google Scholar] [CrossRef]
- Laffray, X.; Alaoui-Sehmer, L.; Bourioug, M.; Bourgeade, P.; Alaoui-Sossé, B.; Aleya, L. Effects of sodium chloride salinity on ecophysiological and biochemical parameters of oak seedlings (Quercus robur L.) from use of de-icing salts for winter road maintenance. Environ. Monit. Assess. 2018, 190, 266. [Google Scholar] [CrossRef]
- Liu, B.; Kang, C.; Wang, X.; Bao, G. Physiological and morphological responses of Leymus chinensis to saline-alkali stress. Grassl. Sci. 2015, 61, 217–226. [Google Scholar] [CrossRef]
- Zhou, Q.; Zhu, Z.; Shi, M.; Cheng, L. Growth and Physicochemical Changes of Carpinus betulus L. Influenced by Salinity Treatments. Forests 2018, 9, 354. [Google Scholar] [CrossRef]
- Chen, X.J.; Xu, Z.S.; Zhao, B.P.; Mi, J.Z.; Yan, K.W.; Liu, J.H. Effects of salt stress on root respiratory metabolism, antioxidant enzyme activities, and yield of oats. Chin. J. Ecol. 2021, 40, 2773–2782. [Google Scholar]
- Atta, K.; Mondal, S.; Gorai, S.; Singh, A.P.; Kumari, A.; Ghosh, T.; Roy, A.; Hembram, S.; Gaikwad, D.J.; Mondal, S.; et al. Impacts of salinity stress on crop plants: Improving salt tolerance through genetic and molecular dissection. Front. Plant Sci. 2023, 14, 1241736. [Google Scholar] [CrossRef] [PubMed]
- Zhang, H.H.; Huang, T.; Zhou, Q.; Sheng, Q.Q.; Zhu, z.l. Complete Chloroplast Genomes and Phylogenetic Relationships of Bougainvillea spectabilis and Bougainvillea glabra (Nyctaginaceae). Int. J. Mol. Sci. 2023, 24, 13044. [Google Scholar] [CrossRef]
- Kent, D.K.; James, M.C.; John, G. Bougainvillea . Ornam. Flowers 2007, 38, 1–12. [Google Scholar]
- Huang, T.; Zhu, Z.L. Research Progress on Resources and Application of Bougainvillea. Mol. Plant Breed. 2023, 21, 3439–3449. [Google Scholar]
- Chang, S.; Li, C.; Jiang, Y.; Long, Y.; Li, Y.; Yin, J. Characteristics of the pollen morphology and viability of Bougainvillea (Nyctaginaceae). Sci. Hor. 2021, 277, 109732. [Google Scholar] [CrossRef]
- Guo, H.P. Research of the Physiological Changes of Bougainvillea under Salt Stress and Cloning of SOD Genes from Bougainvillea; Fujian Agriculture and Forestry University: Fuzhou, China, 2015. [Google Scholar]
- Jin, H.X.; Shen, X.Y.; Chen, R.R.; Wu, Z.; Shen, Y.M.; Zhang, D.M. Effects of NaCl Stress on Morphological and Physiological Characteristics of Magnolia denudata Desr. Bull. Bot. Res. 2021, 41, 596–603. [Google Scholar]
- Chen, B.S.; Miao, L.F.; Li, D.D.; Tian, M.J.; Zhou, J.J.; Yang, F. Differential eco-physiological responses to waterlogging and salinity stresses between Cleistocalyx operculatus (Roxb.) Merr. et Perry and Syzygium cumini (L.) Skeels seedlings. Plant Sci. J. 2023, 41, 677–686. [Google Scholar]
- Hu, H.; He, S.L.; Zhang, R.J.; Jia, W.Q.; Zhang, X.Y.; Qiu, Y.J. Allelopathic Effects of Aqueous Extract from Conyza canadensis on Seed Germination and Seedling Growth of Two Herbaceous Flower Species. Acta Bot. Boreali-Occident. Sin. 2023, 43, 1528–1536. [Google Scholar]
- Wang, M.M.; Xiao, Y.X.; Zhuang, W.W. Effects of Pb stress on physiology and biochemistry of three moss species in Northwest China. Chin. J. Ecol. 2023, 42, 1618–1626. [Google Scholar]
- Zhao, W.W.; Huang, L.J.; Zhao, L.L.; Wang, L.T.; Xie, W.H. Effects of low temperature stress on growth and development and physiological characteristics of Pueraria lobata seedlings. J. South. Agric. 2022, 53, 3068–3078. [Google Scholar]
- Huang, X.L.; Li, J.; Liu, S.L.; Ma, Y.H. Physiological Response of the Seedlings of Lycium ruthenicum Murr. To Exogenous Strigolactone under Salt Stress. Acta Agrest. Sin. 2023, 31, 3007–3017. [Google Scholar]
- Lin, H.S. Experimental Principles and Techniques of Plant Physiology and Biochemistry; Higher Education Press: Beijing, China, 2000. [Google Scholar]
- Jiao, D.Z.; Zhao, Z.L. Research progress on influences of saline-alkali stress on plant morphology, physiology and biochemistry and response of plants to saline-alkali stress. Jiangsu Agric. Sci. 2019, 47, 1–4. [Google Scholar]
- Chavarria, M.R.; Wherley, B.; Jessup, R.; Chandra, A. Leaf anatomical responses and chemical composition of warm-season turfgrasses to increasing salinity. Curr. Plant Biol. 2020, 22, 100147. [Google Scholar] [CrossRef]
- Wang, L.; Zhao, P.F.; Lu, J.X.; Zhang, K.M.; Li, Y.H. The Salt-tolerance Mechanism of Chrysanthemum Cultivar Jinsihuangju. J. Henan Agric. Sci. 2019, 48, 112–119. [Google Scholar]
- Yan, L.P.; Wu, D.J.; Wang, Y.H.; Liu, C.L.; Shu, D.F.; Ren, F. Salt Tolerance Response and Comprehensive Evaluation for Four Kinds of Fraxinus. Acta Bot. Boreali-Occident. Sin. 2019, 39, 1270–1278. [Google Scholar]
- Jahan, M.S.; Li, G.; Xie, D.S.; Farag, R.; Hasan, M.M.; Alabdallah, N.M.; Al-Harbi, N.A.; Al-Qahtani, S.M.; Zeeshan, M.; Nasar, J.; et al. Melatonin mitigates salt-induced growth inhibition through the regulation of carbohydrate and nitrogen metabolism in tomato seedlings. J. Soil Sci. Plant Nutr. 2023, 23, 4290–4308. [Google Scholar] [CrossRef]
- Cheng, J.; Zhang, X.P.; Fang, Y.M. Effects of Different NaCl Stress on Several Physicologica Characteristics and Seedling Growth of Alnus rubrat. Chin. Agric. Sci. Bull. 2010, 26, 142–145. [Google Scholar]
- Cai, Q.Q.; Wang, G.; Dong, Y.Z.; Yu, L.H.; Wang, Y.G.; Geng, G. Effects of Different Neutral Salt Stress on Photosynthesis and Antioxidant Enzyme System of Sugar Beet Seedlings. Crops 2022, 1, 130–136. [Google Scholar]
- Huang, L.; Wu, D.Z.; Zhang, G.P. Advances in studies on ion transporters involved in salt tolerance and breeding crop cultivars with high salt tolerance. J. Zhejiang Univ. Sci. B 2020, 21, 426–441. [Google Scholar] [CrossRef]
- Akrami, M.; Arzani, A. Physiological alterations due to field salinity stress in melon (Cucumis melo L.). Acta Physiol. Plant. 2018, 40, 91. [Google Scholar] [CrossRef]
- Jouyban, Z. The effects of salt stress on plant growth. TJ Eng. Appl. Sci. 2012, 2, 7–10. [Google Scholar]
- Dai, Q.L.; Chen, C.; Feng, B.; Liu, T.T.; Tian, X.; Gong, Y.Y.; Sun, Y.K.; Wang, J.; Du, S.Z. Effects of different NaCl concentration on the antioxidant enzymes in oilseed rape (Brassica napus L.) seedlings. Plant Growth Regul. 2009, 59, 273–278. [Google Scholar] [CrossRef]
- Chen, Y.; Li, Y.; Sun, P.; Chen, G.; Xin, J. Interactive effects of salt and alkali stresses on growth, physiological responses and nutrient (N, P) removal performance of Ruppia maritima. Ecol. Eng. 2017, 104, 177–183. [Google Scholar] [CrossRef]
- Sheng, Q.Q.; Song, S.; Chen, W.J.; Zhu, Z.L. Morphological, anatomical structure and optimal light response model of Bougainvillea spectabilis leaves under NO2 stress. Acta Ecol. Sin. 2023, 43, 5110–5121. [Google Scholar]
- Ma, P.T.; Su, S.P.; Li, Y.; Zhong, P.F.; Hou, Y.L.; Wei, B. Effects of exogenous proline on osmotic adjustment and antioxidant enzymes in the leaves of Nitraria tangutorum under natural drought stress. J. Gansu Agric. Univ. 2020, 55, 121–127+136. [Google Scholar]
- Ganie, S.A.; Molla, K.A.; Henry, R.J.; Bhat, K.V.; Mondal, T.K. Advances in understanding salt tolerance in rice. Theor. Appl. Genet. 2019, 132, 851–870. [Google Scholar] [CrossRef]
- Xu, C.R.; Zhao, X.; Jia, X.W.; Wang, H.Z.; Zeng, C.Y.; Chen, H.G.; Du, T. Physiological and biochemical response of pinellia pinellia to salt stress and the mechanism of salt tolerance. J. Chin. Med. Mater. 2023, 7, 1617–1623. [Google Scholar]
- Chen, C.; Cheng, D.W.; Li, L.; Gu, H.; Guo, X.Z.; Li, M.; Chen, J.Y. Research Progress on Mechanism of Brassinosteroids Regulating Plant Salt Tolerance. J. Agric. Sci. Technol. 2024, 26, 2356. [Google Scholar]
- Xao, F.; Zhou, H. Plant salt response: Perception, signaling, and tolerance. Front. Plant Sci. 2023, 13, 1053699. [Google Scholar] [CrossRef]
- Martin, L.; Esbaugh, A.J. Osmoregulatory plasticity during hypersaline acclimation in red drum, Sciaenops ocellatus. J. Comp. Physiol. B 2021, 191, 731–740. [Google Scholar] [CrossRef]
- Zhang, L.T.; Bao, G.Z.; Zhang, M.Y.; Yu, Z.H.; Guan, T.; Li, J.W.; Su, Y.D.; Xi, J.H. Physiological effects of different stubble height and freeze-thaw stress on Secale cereale L. seedlings. BMC Plant Biol. 2021, 21, 451. [Google Scholar] [CrossRef] [PubMed]
- Zhang, S.; Tan, X.; Zhou, Y.; Liu, N. Effects of a heavy metal (cadmium) on the responses of subtropical coastal tree species to drought stress. Environ. Sci. Pollut. Res. 2023, 30, 12682–12694. [Google Scholar] [CrossRef]
- Zhao, Y.; Zhao, K.L.; Zhu, Y.L.; Qiu, M.Y.; Ren, Q.; Wu, M. Effects of drought stress and re-watering on growth and physiology characteristics of Alchornea trewioides in Karst areas. J. Northwest A F Univ. 2023, 51, 59–68. [Google Scholar]
- Yan, L.; Chen, M.X.; Liu, Y.N.; Qin, W.M.; Huang, Q.L. Effect of Salt Stress on Growth of Michelia maudiae Seedlings and Related Physiological Indices. For. Sci. Technol. 2013, 4, 14–17. [Google Scholar]
- Per, T.S.; Khan, N.A.; Reddy, P.S.; Masood, A.; Hasanuzzaman, M.; Khan, M.I.R.; Anjum, N.A. Approaches in modulating proline metabolism in plants for salt and drought stress tolerance: Phytohormones, mineral nutrients and transgenics. Plant Physiol. Biochem. 2017, 115, 126–140. [Google Scholar] [CrossRef]
- Pan, L.; Zou, X.; Zhang, W.X.; Peng, Z. Effects of Salt Stress on Growth and Physiological Characteristics of two Malus Species. J. Northeast For. Univ. 2020, 48, 25–31. [Google Scholar]
- Hu, Y.P.; Liu, W.D.; Pang, W.S.; Zhang, M.; Liu, M.J.; Wu, Q.J.; Huang, M.J.; Zhang, D.; Li, D.R. Effects of water stress on the growth, physiological and biochemical characteristics of Sapium discolor seedlings. J. Cent. South Univ. For. Technol. 2023, 43, 62–72. [Google Scholar]
- Huang, Z.; Zhao, N.; Qin, M.; Xu, A. Map of quantitative trait loci related to cold resistance in Brassica napus L. J. Plant Physiol. 2018, 231, 147–154. [Google Scholar] [CrossRef]
- Liu, Y.P.; Zhang, Y.Q.; Su, S.W. Evaluation of salt-alkali tolerance of different lotus varieties and screening ofidentification indexes. Acta Agric. Zhejiangensis 2023, 35, 103–111. [Google Scholar]













| Salinity Damage Levels | Characteristics |
|---|---|
| 0 | No obvious symptoms of salinity damage |
| 1 | A very small number of leaf tips and edges turn yellow |
| 2 | Some leaf tips and edges turn yellow, and a few leaves have yellow spots |
| 3 | A small portion of the leaf tips and edges turn black and wither |
| 4 | Some leaf tips and edges curl and wither, and the leaves fall off |
| 5 | Most of the leaves have burnt and curled leaf tips and edges, and some leaves have fallen off |
| 6 | Some branches wither, leaves fall off, and a few die |
| 7 | Most branches wither, leaves fall off, and some die |
| Types | NaCl Concentration | Investigation Time and Plant Stress Symptoms | ||
|---|---|---|---|---|
| 15 d | 30 d | 45 d | ||
| Shuihong | 0.0% | 0 | 0 | 0 |
| 0.2% | 0 | 0 | 1 | |
| 0.4% | 0 | 1 | 2 | |
| 0.6% | 1 | 2 | 4 | |
| Lvyehuanghua | 0.0% | 0 | 0 | 0 |
| 0.2% | 0 | 0 | 1 | |
| 0.4% | 1 | 3 | 4 | |
| 0.6% | 1 | 4 | 5 | |
| Xiaoyezi | 0.0% | 0 | 0 | 0 |
| 0.2% | 0 | 1 | 2 | |
| 0.4% | 1 | 2 | 4 | |
| 0.6% | 1 | 3 | 5 | |
| Dayezi | 0.0% | 0 | 0 | 0 |
| 0.2% | 1 | 2 | 5 | |
| 0.4% | 2 | 5 | 6 | |
| 0.6% | 3 | 6 | 7 | |
| Tazi | 0.0% | 0 | 0 | 0 |
| 0.2% | 0 | 1 | 2 | |
| 0.4% | 0 | 2 | 5 | |
| 0.6% | 1 | 3 | 6 | |
| Measurement Indicators | F Value | ||
|---|---|---|---|
| Varieties | Salt Concentration | Interaction Effect | |
| Relative height growth | 11.970 ** | 5.542 ** | 0.205 |
| Measurement Indicators | F Value and Its Significance | ||
|---|---|---|---|
| Varieties | Salt Concentration | Interaction Effect | |
| Relative stem growth | 14.347 ** | 3.954 * | 0.837 |
| Types | NaCl Concentration | Root (g) | Stem (g) | Leaf (g) | Total Dry Weight (g) | Root-to-Shoot Ratio |
|---|---|---|---|---|---|---|
| Shuihong | 0.0% | 0.566 ± 0.023 a | 18.060 ± 0.866 a | 15.824 ± 0.460 b | 34.450 ± 1.188 b | 0.017 ± 0.001 b |
| 0.2% | 0.571 ± 0.008 b | 18.501 ± 0.371 b | 12.891 ± 0.694 b | 31.962 ± 0.883 c | 0.018 ± 0.000 a | |
| 0.4% | 0.509 ± 0.006 c | 12.906 ± 0.358 c | 12.784 ± 0.760 c | 26.200 ± 1.010 d | 0.020 ± 0.001 a | |
| 0.6% | 0.437 ± 0.030 a | 10.869 ± 0.260 a | 11.071 ± 0.013 a | 22.376 ± 0.217 a | 0.020 ± 0.002 c | |
| Lvyehuanghua | 0.0% | 0.729 ± 0.028 a | 20.761 ± 0.167 b | 19.428 ± 0.310 a | 40.918 ± 0.384 a | 0.018 ± 0.001 c |
| 0.2% | 0.755 ± 0.038 a | 21.587 ± 0.059 a | 17.446 ± 0.325 b | 39.788 ± 0.338 a | 0.019 ± 0.001 bc | |
| 0.4% | 0.565 ± 0.067 b | 13.248 ± 0.128 c | 10.603 ± 0.392 c | 24.416 ± 0.271 b | 0.024 ± 0.003 ab | |
| 0.6% | 0.554 ± 0.040 b | 12.433 ± 0.289 d | 9.822 ± 0.364 d | 22.808 ± 0.449 c | 0.025 ± 0.002 a | |
| Xiaoyezi | 0.0% | 1.539 ± 0.029 a | 15.742 ± 0.495 a | 10.657 ± 0.412 b | 27.938 ± 0.856 b | 0.058 ± 0.002 a |
| 0.2% | 1.217 ± 0.038 b | 16.384 ± 0.131 a | 11.550 ± 0.108 a | 29.150 ± 0.264 a | 0.044 ± 0.001 b | |
| 0.4% | 0.944 ± 0.022 c | 13.532 ± 0.408 b | 9.661 ± 0.096 b | 24.137 ± 0.482 c | 0.041 ± 0.002 b | |
| 0.6% | 0.807 ± 0.014 d | 13.480 ± 0.033 b | 8.404 ± 0.310 c | 22.691 ± 0.329 d | 0.037 ± 0.001 c | |
| Dayezi | 0.0% | 0.732 ± 0.020 a | 9.601 ± 0.290 a | 7.152 ± 0.162 a | 17.485 ± 0.354 a | 0.044 ± 0.001 a |
| 0.2% | 0.740 ± 0.051 a | 9.525 ± 0.071 a | 7.020 ± 0.426 a | 17.285 ± 0.390 a | 0.045 ± 0.004 a | |
| 0.4% | 0.524 ± 0.008 b | 6.726 ± 0.207 b | 4.442 ± 0.309 b | 11.691 ± 0.299 b | 0.047 ± 0.002 a | |
| 0.6% | 0.437 ± 0.031 c | 5.420 ± 0.094 c | 3.407 ± 0.192 c | 9.624 ± 0.254 c | 0.050 ± 0.005 a | |
| Tazi | 0.0% | 0.732 ± 0.022 a | 9.619 ± 0.094 a | 8.343 ± 0.325 a | 18.693 ± 0.364 a | 0.041 ± 0.002 c |
| 0.2% | 0.539 ± 0.017 bc | 5.168 ± 0.107 b | 5.669 ± 0.325 b | 11.376 ± 0.235 b | 0.050 ± 0.001 b | |
| 0.4% | 0.556 ± 0.030 b | 5.335 ± 0.161 b | 5.256 ± 0.438 bc | 11.146 ± 0.284 b | 0.052 ± 0.003 b | |
| 0.6% | 0.514 ± 0.010 c | 3.890 ± 0.076 c | 4.716 ± 0.140 c | 9.119 ± 0.073 c | 0.060 ± 0.001 a |
| Measurement Indicators | F Value and Its Significance | ||
|---|---|---|---|
| Varieties | Salt Concentration | Interaction Effect | |
| SOD | 2.017 | 23.326 ** | 0.739 |
| POD | 1.812 | 23.480 ** | 0.501 |
| CAT | 10.016 ** | 23.772 ** | 1.333 |
| Measurement Indicators | F Value and Its Significance | ||
|---|---|---|---|
| Varieties | Salt Concentration | Interaction Effect | |
| Relative conductivity | 20.699 ** | 155.190 ** | 4.642 ** |
| MDA | 3.867 ** | 14.151 ** | 0.627 |
| Measurement Indicators | F Value and Its Significance | ||
|---|---|---|---|
| Varieties | Salt Concentration | Interaction Effect | |
| Soluble sugar content | 2.072 | 11.690 ** | 1.351 |
| Soluble protein content | 98.189 ** | 11.053 ** | 3.072 ** |
| Pro | 22.679 ** | 42.808 ** | 4.768 ** |
| Varieties | Scores | Ranking |
|---|---|---|
| Shuihong | 3.370 | 1 |
| Lvyehuanghua | 2.282 | 2 |
| Xiaoyezi | 1.058 | 3 |
| Tazi | −1.478 | 4 |
| Dayezi | −2.707 | 5 |
Disclaimer/Publisher’s Note: The statements, opinions and data contained in all publications are solely those of the individual author(s) and contributor(s) and not of MDPI and/or the editor(s). MDPI and/or the editor(s) disclaim responsibility for any injury to people or property resulting from any ideas, methods, instructions or products referred to in the content. |
© 2024 by the authors. Licensee MDPI, Basel, Switzerland. This article is an open access article distributed under the terms and conditions of the Creative Commons Attribution (CC BY) license (https://creativecommons.org/licenses/by/4.0/).
Share and Cite
Zhang, D.; Xue, Y.; Feng, N.; Bai, J.; Ma, D.; Sheng, Q.; Cao, F.; Zhu, Z. Physiological Responses and Salt Tolerance Evaluation of Different Varieties of Bougainvillea under Salt Stress. Plants 2024, 13, 2409. https://doi.org/10.3390/plants13172409
Zhang D, Xue Y, Feng N, Bai J, Ma D, Sheng Q, Cao F, Zhu Z. Physiological Responses and Salt Tolerance Evaluation of Different Varieties of Bougainvillea under Salt Stress. Plants. 2024; 13(17):2409. https://doi.org/10.3390/plants13172409
Chicago/Turabian StyleZhang, Di, Yuan Xue, Ning Feng, Jing Bai, Dexing Ma, Qianqian Sheng, Fuliang Cao, and Zunling Zhu. 2024. "Physiological Responses and Salt Tolerance Evaluation of Different Varieties of Bougainvillea under Salt Stress" Plants 13, no. 17: 2409. https://doi.org/10.3390/plants13172409
APA StyleZhang, D., Xue, Y., Feng, N., Bai, J., Ma, D., Sheng, Q., Cao, F., & Zhu, Z. (2024). Physiological Responses and Salt Tolerance Evaluation of Different Varieties of Bougainvillea under Salt Stress. Plants, 13(17), 2409. https://doi.org/10.3390/plants13172409

