Long-Term Monitored Norway Spruce Plots in the Ore Mountains—30 Years of Changes in Forest Health, Soil Chemistry and Tree Nutrition after Air Pollution Calamity
Abstract
1. Introduction
2. Results
2.1. Atmospheric Deposition
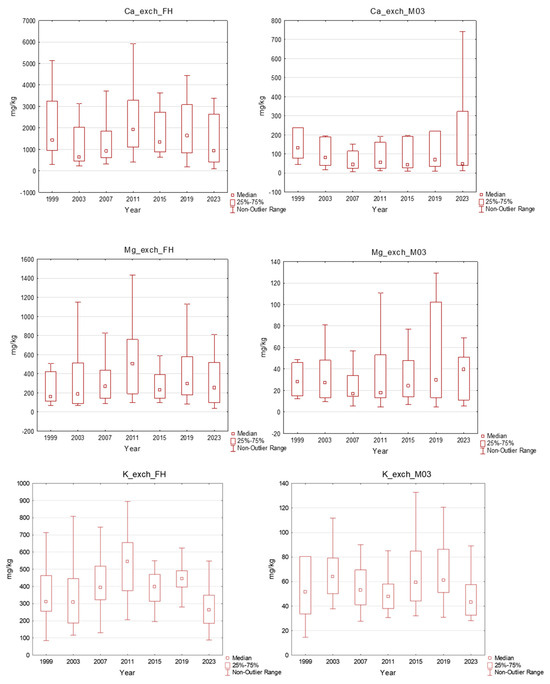
2.2. Soil Chemistry
2.3. Foliage Chemistry
2.4. Forest Health—Defoliation and Height Increment
3. Discussion
4. Materials and Methods
4.1. Study Area
4.2. Research Plots
4.3. Crown Condition and Growth Assessment
4.4. Foliage and Soil Sampling
4.5. Deposition Measurement
4.6. Laboratory Analyses
4.7. Data Analyses
5. Conclusions
Author Contributions
Funding
Data Availability Statement
Acknowledgments
Conflicts of Interest
References
- Zimmermann, F.; Lux, H.; Reuter, F.; Wienhaus, O. SO2 pollution and forest decline in the Ore Mountains—Historical aspects, scientific analysis, future developments. In SO2-Pollution and Forests Decline in the Ore Mountains; Lomský, B., Materna, J., Pfanz, H., Eds.; Jíloviště-Strnady, VÚLHM: Jíloviště, Czech Republic, 2002; pp. 86–116. [Google Scholar]
- Vacek, S. (Ed.) Mountain Forests of the Czech Republic; Ministry of Agriculture of the Czech Republic: Prague, Czech Republic, 2003; 320 s.
- Schulze, E.D.; Lange, O.L.; Oren, R. Forest Decline and Air Pollution: A Study of Spruce (Picea abies) on Acid Soils; Springer: Berlin, Germany, 1989; 475 s. [Google Scholar]
- Schöpp, W.; Posch, M.; Mylona, S.; Johansson, M. Long-term development of acid deposition (1880–2030) in sensitive freshwater regions in Europe. Hydrol. Earth Syst. Sci. 2003, 7, 436–446. [Google Scholar] [CrossRef]
- Zapletal, M. Historical Development of Atmospheric Deposition of Sulphur and Nitrogen in the Czech Republic; Institute of Historical Science, Faculty of Philosophy and Science, Silesian University in Opava: Opava, Czech Republic, 2014; 136p. [Google Scholar]
- Erisman, J.W.; Draaijers, G.P.J. Atmospheric Deposition in Relation to Acidification and Eutrophication; Studies in Environmental Science, 63; Elsevier: Amsterdam, The Netherlands, 1995; pp. 1–405. [Google Scholar]
- Mylona, S. Sulphur Dioxide Emissions in Europe 1880–1991 and Their Effect on Sulphur Concentrations and Depositions; Tellus, 48B: Vancouver, BC, Canada, 1996; pp. 662–689. [Google Scholar]
- Erkenberg, A. Schwefelausstattung Europäischer Waldböden unter Besonderer Berücksichtigung der Adsorptionskapazität von Sulfat. Ph.D. Thesis, University of München, München, Germany, 1991. [Google Scholar]
- Lomský, B.; Materna, J.; Pfanz, H. (Eds.) SO2-Pollution and Forests Decline in the Ore Mountains; Jíloviště-Strnady, VÚLHM: Jíloviště, Czech Republic, 2002; 342 p. [Google Scholar]
- Materna, J. Beziehungen zwischen der SO2 Konzentration und der Reaktion der Fichtenbestände. Aquil. Ser. Bot. 1983, 19, 147–156. [Google Scholar]
- Pfanz, H.; Vollrath, B.; Lomský, B.; Oppmann, B.; Hynek, V.; Beyschlag, W.; Bilger, W.; White, M.V.; Materna, J. Life Expectancy of Spruce Needles under Extremely High Air Pollution Stress: Performance of Trees in the Ore Mts. Trees 1994, 8, 213–222. [Google Scholar] [CrossRef]
- Ulrich, B. An ecosystem approach to soil acidification. In Soil Acidity; Ulrich, B., Summer, M.E., Eds.; Springer: Berlin/Heidelberg, Germany; New York, NY, USA, 1991; pp. 28–79. [Google Scholar]
- Verstraeten, A.; Vos, B.; de Neirynck, J.; Roskams, P.; Hens, M. Impact of Air-Borne or Canopy-Derived Dissolved Organic Carbon (DOC) on Forest Soil Solution DOC in Flanders, Belgium. Atmos. Environ. 2014, 83, 155–165. [Google Scholar] [CrossRef]
- Vries, W.; de Dobbertin, M.H.; Solberg, S.; Dobben, H.F.; Schaub, M. Impacts of acid deposition, ozone exposure and weather conditions on forest ecosystem in Europe: An overview. Plant Soil. 2014, 380, 1–45. [Google Scholar] [CrossRef]
- Fiala, J.; Bretschneider, B.; Materna, J. Development of the Atmospheric Pollution and Forest Decline in the Czech Part of the Ore Mts. In SO2-Pollution and Forest Decline in the Ore Mountains; Lomský, B., Materna, J., Pfanz, H., Eds.; Jíloviště-Strnady, VÚLHM: Jíloviště, Czech Republic, 2002; pp. 50–85. [Google Scholar]
- Augustin, S.; Evers, J.; Dietrich, H.P.; Eichhorn, J.; Haussmann, T.; Icke, R.; Wolff, B. Concept and feasibility study for the integrated evaluation of environmental monitoring data in forests. Eur. J. For. Res. 2005, 124, 251–260. [Google Scholar] [CrossRef]
- Lomský, B.; Pasuthová, J. Pollutant load of young spruce stands. Lesnictví-Forestry 1996, 42, 449–459. [Google Scholar]
- Šrámek, V.; Jurkovská, L.; Fadrhonsová, V.; Hellebrandová Neudertová, K. Forest soil chemistry in relation to the forest site classification categories used in the Czech Republic—results of the EU “BioSoil” forest soil monitoring project. Rep. For. Res. 2016, 58, 314–323. [Google Scholar]
- Materna, J. Development and causes of forest damage in the Ore Mts. J. For. Sci. 1999, 45, 147–152. [Google Scholar]
- Šrámek, V.; Slodičák, M.; Lomský, B.; Balcar, V.; Kulhavý, J.; Hadaš, P.; Půlkráb, K.; Šišák, L.; Pěnička, L.; Sloup, M. The Ore Mountains: Will successive recovery of forests from lethal disease be successful? Mt. Res. Dev. 2008, 28, 216–221. [Google Scholar] [CrossRef]
- Kopáček, J.; Veselý, J. Sulfur and nitrogen emissions in the Czech Republic and Slovakia from 1850 till 2000. Atmos. Environ. 2005, 39, 2179–2188. [Google Scholar] [CrossRef]
- Hůnová, I.; Šantroch, J.; Ostatnická, J. Ambient air quality and deposition trends at rural stations in the Czech Republic during 1993–2001. Atmos. Environ. 2004, 38, 887–898. [Google Scholar] [CrossRef]
- Lochman, V.; Maxa, M.; Bíba, M. Development of soil chemistry on FGMRI research plots during reduction of air pollution fallout. Rep. For. Res. 2006, 51, 106–120. [Google Scholar]
- Waldner, P.; Marchetto, A.; Thimonier, A.; Schmitt, M.; Rogora, M.; Granke, O.; Mues, V.; Hansen, K.; Karlsson, G.P.; Žlindra, D.; et al. Detection of temporal trends in atmospheric deposition of inorganic nitrogen and sulphate to forest in Europe. Atmos. Environ. 2014, 95, 363–374. [Google Scholar] [CrossRef]
- Thimonier, A.; Schmitt, M.; Waldner, P.; Rihm, B. Atmospheric deposition on Swiss long-term forest ecosystem research (LWF) plots. Environ. Monit. Assess. 2005, 104, 81–118. [Google Scholar] [CrossRef] [PubMed]
- Karlsson, P.E.; Akselsson, C.; Hellsten, S.; Pihl Karlsson, G. Twenty years of nitrogen deposition to Norway spruce forests in Sweden. Sci. Total Environ. 2022, 809, 152192. [Google Scholar] [CrossRef]
- Graf Panatier, E.; Thimonier, A.; Schmitt, M.; Waldner, P. A decade of monitoring at Swiss Long-Term Forest Ecosystem Research (LWF) sites: Can we observe trends in atmospheric acid deposition and in soil solution acidity? Environ. Monit. Assess. 2011, 174, 3–30. [Google Scholar] [CrossRef]
- Šrámek, V.; Hadaš, P.; Lachmanová, Z.; Fadrhonsová, V.; Vortelová, L.; Lomský, B.; Kulhavý, J. Air pollution in the Krušné hory Mts. In Forestry Management in the Krušné Hory Mts; Slodičák, M., Balcar, V., Novák, J., Šrámek, V., Eds.; LČR. VÚLHM, Strnady: Hradec Králové, Czech Republic, 2008; pp. 45–70. [Google Scholar]
- Šrámek, V. SO2 air pollution and forest health status in Northwestern Czech Republic. Chemosphere 1998, 36, 1067–1072. [Google Scholar] [CrossRef]
- Lomský, B.; Šrámek, V. Different types of damage in mountain forest stands of the Czech Republic. J. For. Sci. 2004, 50, 533–537. [Google Scholar] [CrossRef]
- Vejpustková, M. (Ed.) Monitoring of Forest Condition in the Czech Republic in Frame of ICP Forests Programme and Follow-Up Projects. Data to 2018; Výzkumný ústav lesního hospodářství a myslivosti, v. v. i.: Strnady, Czech Republic, 2019; 92 s. [Google Scholar]
- Šrámek, V.; Fadrhonsová, V.; Vortelová, L.; Lomský, B. Development of chemical soil properties in the western Ore Mts. 10 years after liming. J. For. Sci. 2012, 58, 57–66. [Google Scholar] [CrossRef]
- Ahrends, B.; Fortmann, H.; Meesenburg, H. The Influence of Tree Species on the Recovery of Forest Soils from Acidification in Lower Saxony, Germany. Soil Syst. 2022, 6, 40. [Google Scholar] [CrossRef]
- Schaaf, W.; Wecker, B.; Pan, T.; Hüttl, R.F. Changes in top soil properties of forest soil in north-eastern Gemany due to long-term element accumulation. Plant Soil 2004, 264, 85–95. [Google Scholar] [CrossRef]
- Berger, T.W.; Türtscher, S.; Berger, P.; Lindebner, L. A slight recovery of soils from Acid Rain over the last three decades is not reflected in the macro nutrition of beech (Fagus sylvatica) at 97 forest stands of the Vienna Woods. Environ. Pollut. 2016, 216, 624–635. [Google Scholar] [CrossRef] [PubMed]
- Lomský, B.; Šrámek, V.; Novotný, R. The health and nutritional status of Norway spruce stands in the Krušné hory Mts. 15 years subsequent to the extreme winter of 1995/96. J. For. Sci. 2013, 59, 359–369. [Google Scholar] [CrossRef]
- Lochman, V.; Šrámek, V.; Fadrhonsová, V.; Lachmanová, Z. Změny zásoby sledovaných prvků v lesních půdách na plochách Moldava v Krušných horách [Changes in pools of observed elements in forest soils on plot Moldava in the Ore Mts]. Zprávy Lesn. Výzkumu 2008, 53, 165–178. [Google Scholar]
- Navrátil, T.; Kurz, D.; Krám, P.; Hofmeister, J.; Hruška, J. Acidification and recovery of soil at a heavily impacted forest catchment SAFE modeling and field results. Ecol. Model. 2007, 205, 464–474. [Google Scholar] [CrossRef]
- Thai, S.; Pavlů, L.; Tejnecký, V.; Chovancová, S.; Hin, L.; Thet, B.; Němeček, K.; Drábek, O. Temporal changes in soil chemical compositions in acidified mountain forest soils of Czech Republic. Eur. J. For. Res. 2023, 142, 883–897. [Google Scholar] [CrossRef]
- Fiala, P.; Reininger, D.; Samek, T. Chemistry of soil environment and Norway spruce needles (Picea abies (L.) Karst.) on limed and control forest sites in the Ore Mountains. Zprávy Lesn. Výzkumu. 2017, 62, 23–32. [Google Scholar]
- Šrámek, V.; Novotný, R.; Fiala, P. (Eds.) Vápnění Lesů v České Republice; Ministerstvo zemědělství ve spolupráci s Výzkumným ústavem lesního hospodářství, v. v. i.: Praha, Czech Republic, 2014; 91 s, ISBN 978-80-7434-150-2. [Google Scholar]
- Lomský, B.; Šrámek, V.; Novotný, R. The health status and nutrition of Norway spruce stands in the Ore Mts. in 2006. In Fo-restry Research in the Ore Mts., Reviewed Proceedings from the National Scientific Workshop; ES MZLU v Brně: Teplice, Czech Republic, 2007; pp. 37–49. [Google Scholar]
- Šrámek, V.; Materna, J.; Novotný, R.; Fadrhonsová, V. Effect of forest liming in the Western Krušné hory Mts. J. For. Sci. 2006, 52, 45–51. [Google Scholar] [CrossRef]
- Novotný, R.; Buriánek, V.; Šrámek, V.; Hůnová, I.; Skořepová, I.; Zapletal, M.; Lomský, B. Nitrogen deposition and its impact on forest ecosystems in the Czech Republic—change in soil chemistry and ground vegetation. iForest 2016, 10, 48–54. [Google Scholar] [CrossRef]
- Braun, S.; Schindler, C.; Rihm, B. Foliar Nutrient Concentrations of European Beech in Switzerland: Relations With Nitrogen Deposition, Ozone, Climate and Soil Chemistry. Front. For. Glob. Chang. 2003, 3, 33. [Google Scholar] [CrossRef]
- Li, Y.; Niu, S.L.; Yu, G.R. Aggravated phosphorus limitation on biomass production under increasing nitrogen loading: A meta-analysis. Glob. Chang. Biol. 2016, 22, 934–943. [Google Scholar] [CrossRef] [PubMed]
- Materna, J. Vliv imisí na minerální výživu lesních dřevin [The influence of pollution on the mineral nutrition of tree species]. Lesnictví-Forestry 1986, 32, 569–580. [Google Scholar]
- Materna, J. Souhrnné výsledky průzkumu stavu povrchových vrstev lesních půd v období 1993–1999. In Summary Results of the Survey of Surface Layers of Forest Soils in the Period 1993–1999; Ústřední kontrolní a zkušební ústav zemědělský: Brno, Czech Republic, 2002; p. 98. [Google Scholar]
- Kubelka, L.; Karásek, A.; Rybář, V.; Badalík, V.; Slodičák, M. Forest Regeneration in the Heavily Polluted NE “Krušné hory” Mountains; Ministry of Agriculture of the Czech Republic: Prague, Czech Republic, 1993; p. 131.
- Jirgle, J. Zhodnocení Starších Poznatků o Vlivu Imisí a Půdních Faktorů na Výživu a Zdravotní Stav Porostů–Část krušné hory [Evaluation of Older Findings on the Air Pollution Impact and Soil Factors on the Nutrition and Health Status of Forest Stands -Part of the Ore Mountains]; Jíloviště-Strnady, VÚLHM: Jíloviště, Czech Republic, 1995; p. 135. [Google Scholar]
- Lochman, V. Vliv imisních spadů do lesních ekosystémů u Moldavy v Krušných horách na chemismus vody, odtékající do zdrojů [The Effect of Air Pollutants in Forest Ecosystems near Moldava in the Krušné Hory Mts on the Chemistry of Water Running to the Springs Element Dynamics]. Lesnictví-Forestry 1996, 42, 437–448. [Google Scholar]
- Lomský, B.; Šrámek, V. Damage of the forest stands in 1990s. In SO2-Pollutiom and Forests Decline in the Ore Mountains; Lomský, B., Materna, J., Pfanz, H., Eds.; Jíloviště-Strnady, VÚLHM: Jíloviště, Czech Republic, 2002; pp. 139–155. [Google Scholar]
- Němeček, J.; Muhlhanselová, M.; Macků, J.; Vokoun, J.; Vavříček, D.; Novák, P. Taxonomický Klasifikační Systém Půd České Republiky; Česká zemědělská univerzita: Praha, Czech Republic, 2011; 24 s. [Google Scholar]
- Kozák, J. Soil Atlas of the Czech Republic, 1st ed.; Czech University of Life Sciences: Prague, Czech Republic, 2010; 150p. [Google Scholar]
- Kulhavý, J.; Šrámek, V.; Lomský, B.; Fiala, P.; Matějka, K.; Borůvka, L.; Menšík, L. Stav lesních půd v zájmové oblasti [Condition of forest soils in the Krušné hory Mts]. In Lesnické Hospodaření v Krušných Horách [Forestry Management in the Krušné hory Mts]; Slodičák, M., Balcar, V., Novák, J., Šrámek, V., Eds.; Jíloviště-Strnady, VÚLHM: Jíloviště, Czech Republic, 2008; pp. 71–98. [Google Scholar]
- ČHMÚ. Znečištění Ovzduší na Území České Republiky v Roce 2000. Český hydrometeorologický ústav—Úsek ochrany čistoty ovzduší; Air Pollution in the Czech Republic, Czech Hydrometeorological Institute, Air Quality Division: Prague, Czech Republic, 2001.
- Lomský, B.; Uhlířová, H. Evaluation of the experiment with fertilization and liming of young-growth spruce stands in the Jizerské hory Mts. Lesn. For. 1993, 39, 80–86. [Google Scholar]
- Lomský, B. Zdravotní stav a výživa smrkových porostů 10 let po zimě 1995/1996. [Health condition and nutrition of Norway spruce stands 10 years after winter 1995/1996]. In Lesnický Výzkum v Krušných Horách. Sborník z Celostátní Conference; Slodičák, M., Novák, J., Eds.; Teplice, 20. 4; Jíloviště-Strnady, VÚLHM: Jíloviště, Czech Republic, 2006; pp. 181–196. [Google Scholar]
- Eichhorn, J.; Roskams, P.; Potočić, N.; Timmermann, V.; Ferretti, M.; Mues, V.; Szepesi, A.; Durrant, D.; Seletković, I.; Schröck, H.-W.; et al. Part IV: Visual Assessment of Crown Condition and Damaging Agents. Version 2020-3. In Manual on Methods and Criteria for Harmonized Sampling, Assessment, Monitoring and Analysis of the Effects of Air Pollution on Forests; UNECE ICP Forests Programme Co-ordinating Centre, Ed.; Thünen Institute of Forest Ecosystems: Eberswalde, Germany, 2020; 49p, Available online: http://icp-forests.net/page/icp-forests-manual (accessed on 11 July 2024)ISBN 978-3-86576-162-0.
- Rautio, P.; Fürst, A.; Stefan, K.; Raitio, H.; Bartels, U. Part XII: Sampling and Analysis of Needles and Leaves. Version 2020-3. In Manual on Methods and Criteria for Harmonized Sampling, Assessment, Monitoring and Analysis of the Effects of Air Pollution on Forests; UNECE ICP Forests Programme Co-ordinating Centre, Ed.; Thünen Institute of Forest Ecosystems: Eberswalde, Germany, 2020; 16p, Available online: http://icp-forests.net/page/icp-forests-manual (accessed on 11 July 2024)ISBN 978-3-86576-162-0.
- Cools, N.; De Vos, B. Part X: Sampling and Analysis of Soil. Version 2020-1. In Manual on Methods and Criteria for Harmonized Sampling, Assessment, Monitoring and Analysis of the Effects of Air Pollution on Forests; UNECE ICP Forests Programme Co-ordinating Centre, Ed.; Thünen Institute of Forest Ecosystems: Eberswalde, Germany, 2020; 29p, Available online: http://icp-forests.net/page/icp-forests-manual (accessed on 11 July 2024)ISBN 978-3-86576-162-0.
- Clarke, N.; Žlindra, D.; Ulrich, E.; Mosello, R.; Derome, J.; Derome, K.; König, N.; Geppert, F.; Lövblad, G.; Draaijers, G.P.J.; et al. Part XIV: Sampling and Analysis of Deposition. In Manual on Methods and Criteria for Harmonized Sampling, Assessment, Monitoring and Analysis of the Effects of Air Pollution on Forests, Version 2022-1; UNECE ICP Forests Programme Co-ordinating Centre, Ed.; Thünen Institute of Forest Ecosystems: Eberswalde, Germany, 2022; 34p, Available online: http://icp-forests.net/page/icp-forests-manual (accessed on 11 July 2024).
- Tomíček, O. Kvantitativní Analysa [Quantitative Analysis]. SZN: Praha, Czech Republic, 1958; p. 426. [Google Scholar]
- Bergmann, W. Ernährungsstörengen bei Kulturpflanzen; Gustav Fischer Verlag: Stuttgart, Germany, 1993; p. 835. [Google Scholar]
- Šrámek, V.; Lomský, B.; Novotný, R. Hodnocení obsahu a zásoby živin v lesních porostech – literární přehled. Zprávy Lesn. Výzkumu 2009, 54, 307–315. [Google Scholar]
- Meloun, M.; Militký, J. Kompendium Statistického Zpracování Dat. [Statistical Compendium of Data Processing]; Academia: Praha, Czech Republic, 2002; p. 953. [Google Scholar]
















Disclaimer/Publisher’s Note: The statements, opinions and data contained in all publications are solely those of the individual author(s) and contributor(s) and not of MDPI and/or the editor(s). MDPI and/or the editor(s) disclaim responsibility for any injury to people or property resulting from any ideas, methods, instructions or products referred to in the content. |
© 2024 by the authors. Licensee MDPI, Basel, Switzerland. This article is an open access article distributed under the terms and conditions of the Creative Commons Attribution (CC BY) license (https://creativecommons.org/licenses/by/4.0/).
Share and Cite
Novotný, R.; Fadrhonsová, V.; Šrámek, V. Long-Term Monitored Norway Spruce Plots in the Ore Mountains—30 Years of Changes in Forest Health, Soil Chemistry and Tree Nutrition after Air Pollution Calamity. Plants 2024, 13, 2379. https://doi.org/10.3390/plants13172379
Novotný R, Fadrhonsová V, Šrámek V. Long-Term Monitored Norway Spruce Plots in the Ore Mountains—30 Years of Changes in Forest Health, Soil Chemistry and Tree Nutrition after Air Pollution Calamity. Plants. 2024; 13(17):2379. https://doi.org/10.3390/plants13172379
Chicago/Turabian StyleNovotný, Radek, Věra Fadrhonsová, and Vít Šrámek. 2024. "Long-Term Monitored Norway Spruce Plots in the Ore Mountains—30 Years of Changes in Forest Health, Soil Chemistry and Tree Nutrition after Air Pollution Calamity" Plants 13, no. 17: 2379. https://doi.org/10.3390/plants13172379
APA StyleNovotný, R., Fadrhonsová, V., & Šrámek, V. (2024). Long-Term Monitored Norway Spruce Plots in the Ore Mountains—30 Years of Changes in Forest Health, Soil Chemistry and Tree Nutrition after Air Pollution Calamity. Plants, 13(17), 2379. https://doi.org/10.3390/plants13172379

