Analysis of Tamarix chinensis Forest Characteristics, Salt Ion Distribution, and Non-Structural Carbohydrate Levels in the Yellow River Delta: A Spatial Study Based on Proximity to the Shoreline
Abstract
1. Introduction
2. Results
2.1. Soil and Stand Characteristics of T. chinensis Forests with Increasing Distance to the Shoreline
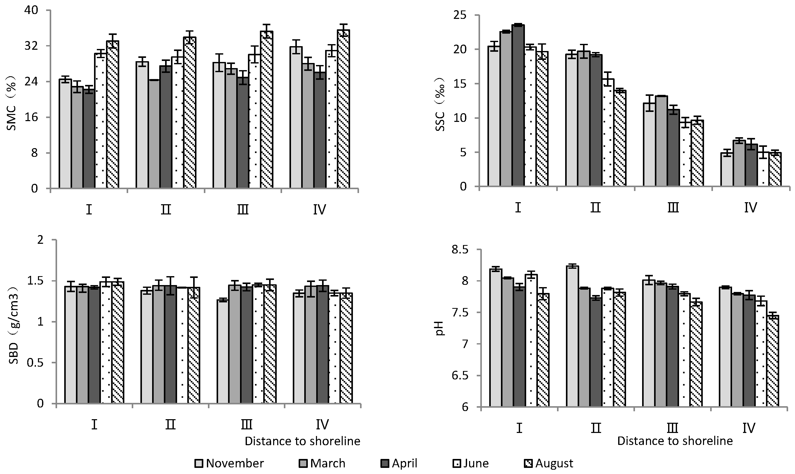
2.1.1. Soil Characteristics
2.1.2. Stand Characteristics
- Growth characteristics
- Mortality rate and growth potential
2.2. Differences in Physiological Adaptations of T. chinensis of Different Growth Potentials with Increasing Distance to the Shoreline
2.2.1. K+ and Na+ Contents in Roots, Stems, and Leaves
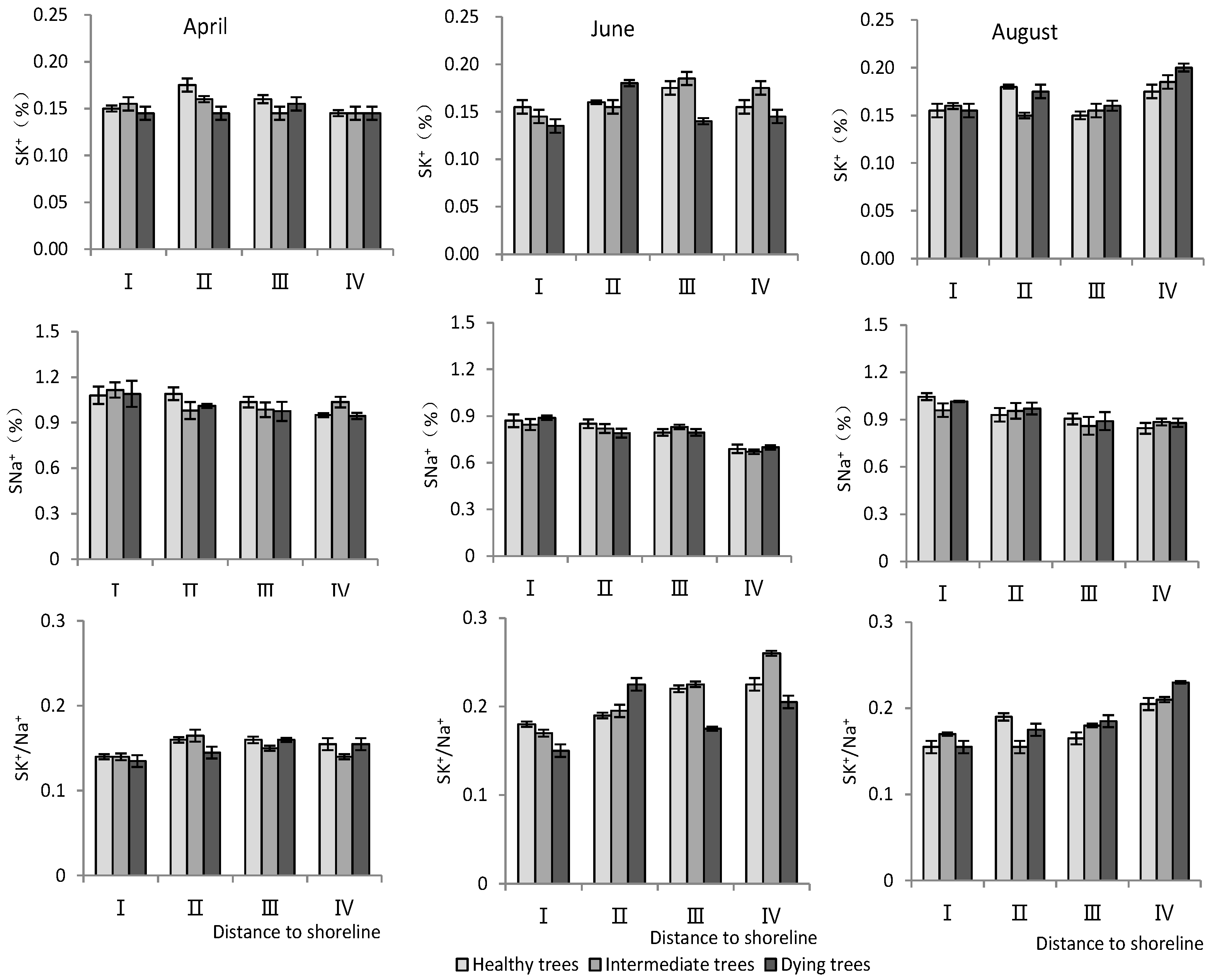
- K+ and Na+ content in root system
- K+ and Na+ content in stems
- K+ and Na+ content in leaves
2.2.2. NSC Content in Roots, Stems, and Leaves
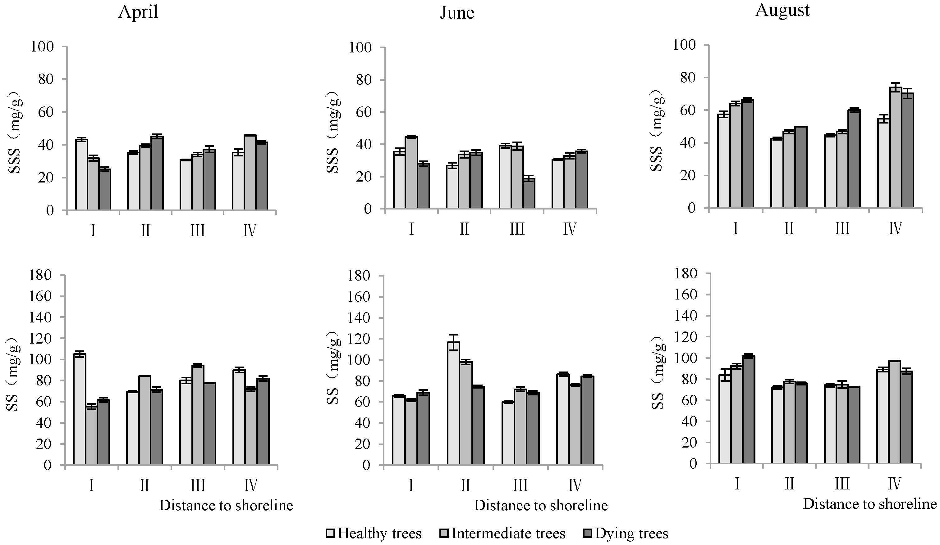
- Soluble sugar and starch content in roots
- Soluble sugar and starch content in stems
- Soluble sugar and starch content in leaves
2.3. The Correlation between Physiological Indicators, Stand Indicators, and Soil Indicators of T. chinensis
3. Discussion
4. Conclusions
5. Materials and Methods
5.1. Study Area
5.2. Test Site
5.3. Experimental Design
5.4. Indicator Measurement
5.4.1. Soil Indicators
5.4.2. Physiological Indicators
5.5. Data Analysis
Author Contributions
Funding
Data Availability Statement
Conflicts of Interest
References
- Pennings, S.C.; Grant, M.B.; Bertness, M.D. Plant zonation in low-latitude salt marshes: Disentangling the roles of flooding, salinity and competition. J. Ecol. 2005, 93, 159–167. [Google Scholar] [CrossRef]
- Xu, Y.; Wang, X.; Bai, J.; Wang, D.; Wang, W.; Guan, Y. Estimating the spatial distribution of soil total nitrogen and available potassium in coastal wetland soils in the Yellow River Delta by incorporating multi-source data. Ecol. Indic. 2020, 111, 106002. [Google Scholar] [CrossRef]
- Hui, R.; Tan, H.; Li, X.; Wang, B. Variation of soil physical-chemical characteristics in salt-affected soil in the Qarhan Salt Lake, Qaidam Basin. J. Arid Land 2022, 14, 341–355. [Google Scholar] [CrossRef]
- Zhao, Q.; Bai, J.; Lu, Q.; Zhang, G. Effects of salinity on dynamics of soil carbon in degraded coastal wetlands: Implications on wetland restoration. Phys. Chem. Earth 2017, 97, 12–18. [Google Scholar] [CrossRef]
- Singh, K. Microbial and enzyme activities of saline and sodic soils. Land Degrad. Dev. 2016, 27, 706–718. [Google Scholar] [CrossRef]
- Wong, V.N.L.; Dalal, R.C.; Greene, R.S.B. Salinity and sodicity effects on respiration and microbial biomass of soil. Biol. Fertil. Soils 2008, 44, 943–953. [Google Scholar] [CrossRef]
- Rietz, D.N.; Haynes, R.J. Effects of irrigation-induced salinity and sodicity on soil microbial activity. Soil Biol. Biochem. 2003, 35, 845–854. [Google Scholar] [CrossRef]
- Tejada, M.; Gonzalez, J.L. Beet vinasse applied to wheat under dryland conditions affects soil properties and yield. Eur. J. Agron. 2005, 23, 336–347. [Google Scholar] [CrossRef]
- Hou, W.; Zhang, R.; Xi, Y.; Liang, S.; Sun, Z. The role of waterlogging stress on the distribution of salt marsh plants in the Liao River estuary wetland. Glob. Ecol. Conserv. 2020, 23, e01100. [Google Scholar] [CrossRef]
- Liu, S.; Hou, X.; Yang, M.; Cheng, F.; Coxixo, A.; Wu, X.; Zhang, Y. Factors driving the relationships between vegetation and soil properties in the Yellow River Delta, China. Catena 2018, 165, 279–285. [Google Scholar] [CrossRef]
- Liang, W.; Ma, X.; Wan, P.; Liu, L. Plant salt-tolerance mechanism: A review. Biochem. Biophys. Res. Commun. 2018, 495, 286–291. [Google Scholar] [CrossRef]
- Pushpalatha, G.; Subrahmanyam, D.; Sreenu, K.; Ram, T.; Subbarao, L.V.; Parmar, B.; Giri, A.; Sarla, N.; Rai, V. Effect of salt stress on seedling growth and antioxidant enzymes in two contrasting rice introgression lines. Indian J. Plant Physiol. 2013, 18, 360–366. [Google Scholar] [CrossRef]
- Liang, W.; Cui, W.; Ma, X.; Wang, G.; Huang, Z. Function of wheat Ta-UnP gene in enhancing salt tolerance in transgenic Arabidopsis and rice. Biochem. Biophys. Res. Commun. 2014, 450, 794–801. [Google Scholar] [CrossRef] [PubMed]
- Abbas, A.; Siddiq, Z.; Hayyat, M.U.; Zhang, Y.; Ghaffar, R.; Gatasheh, M.K. Na+ and K+ compartmentalization in Spinacea oleracea and their effects on growth, water relations, endogenous melatonin, and non-structural carbohydrates. Sci. Hortic. Amsterdam 2024, 323, 112467. [Google Scholar] [CrossRef]
- Wangsawang, T.; Chuamnakthong, S.; Kohnishi, E.; Sripichitt, P.; Sreewongchai, T.; Ueda, A. A salinity-tolerant japonica cultivar has Na+ exclusion mechanism at leaf sheaths through the function of a Na+ transporter OsHKT1;4 under salinity stress. J. Agron. Crop Sci. 2018, 204, 274–284. [Google Scholar] [CrossRef]
- Mäser, P.; Eckelman, B.; Vaidyanathan, R.; Horie, T.; Fairbairn, D.J.; Kubo, M.; Yamagami, M.; Yamaguchi, K.; Nishimura, M.; Uozumi, N.; et al. Altered shoot/root Na+ distribution and bifurcating salt sensitivity in Arabidopsis by genetic disruption of the Na+ transporter AtHKT1. FEBS Lett. 2002, 531, 157–161. [Google Scholar] [CrossRef] [PubMed]
- Imada, S.; Matsuo, N.; Acharya, K.; Yamanaka, N. Effects of salinity on fine root distribution and whole plant biomass of Tamarix ramosissima cuttings. J. Arid Environ. 2015, 114, 84–90. [Google Scholar] [CrossRef]
- Flowers, T.J. Improving crop salt tolerance. J. Exp. Bot. 2004, 55, 307–319. [Google Scholar] [CrossRef]
- Munns, R.; Tester, M. Mechanisms of salinity tolerance. Annu. Rev. Plant Biol. 2008, 59, 651–681. [Google Scholar] [CrossRef]
- Hao, H.P.; Li, H.; Jiang, C.; Tang, Y.; Shi, L. Ion micro-distribution in varying aged leaves in salt-treated cucumber seedlings. Plant Physiol. Biochem. 2018, 129, 71–76. [Google Scholar] [CrossRef]
- Ju, F.; Pang, J.; Huo, Y.; Zhu, J.; Yu, K.; Sun, L.; Loka, D.; Hu, W.; Zhou, Z.; Wang, S.; et al. Potassium application alleviates the negative effects of salt stress on cotton (Gossypium hirsutum L.) yield by improving the ionic homeostasis, photosynthetic capacity and carbohydrate metabolism of the leaf subtending the cotton boll. Field Crops Res. 2021, 272, 108288. [Google Scholar] [CrossRef]
- Zhao, D.; Gao, S.; Zhang, X.; Zhang, Z.; Zheng, H.; Rong, K.; Zhao, W.; Ali, K.S. Impact of saline stress on the uptake of various macro and micronutrients and their associations with plant biomass and root traits in wheat. Plant Soil Environ. 2021, 67, 61–70. [Google Scholar] [CrossRef]
- Rodrigues, C.R.F.; Silva, E.N.; Moura, R.D.M.; Anjos, D.C.D.; Hernandez, F.F.F.; Viegas, R.A. Physiological adjustment to salt stress in R. communis seedlings is associated with a probable mechanism of osmotic adjustment and a reduction in water lost by transpiration. Ind. Crop Prod. 2014, 54, 233–239. [Google Scholar] [CrossRef]
- Liu, M.; Wang, T.Z.; Zhang, W.H. Sodium extrusion associated with enhanced expression of SOS1 underlies different salt tolerance between Medicago falcate and Medicago truncatula seedlings. Environ. Exp. Bot. 2015, 110, 46–55. [Google Scholar] [CrossRef]
- Plett, D.C.; Møller, I.S. Na+ transport in plants: What we know and would like to know. Plant Cell Environ. 2010, 33, 612–626. [Google Scholar] [CrossRef] [PubMed]
- Acosta-Motos, J.R.; Álvarez, S.; Barba-Espín, G.; Hernández, J.A.; Sánchez-Blanco, M.J. Salt sand nutrients present in regenerated waters induce changes in water relations, antioxidative metabolism, ion accumulation and restricted ion uptake in Myrtus communis L. plants. Plant Physiol. Biochem. 2014, 85, 41–50. [Google Scholar] [CrossRef]
- Shabala, S.; Shabala, S.; Cuin, T.A.; Pang, J.Y.; Percey, W.; Chen, Z.H.; Conn, S.; Eing, C.; Wegner, L. Xylem ionic relations and salinity tolerance in barley. Plant J. 2010, 61, 839–853. [Google Scholar] [CrossRef]
- Jaarsma, R.; de Vries, R.S.M.; de Boer, A.H. Effect of salt stress on growth, Na+ accumulation and proline metabolism in potato (Solanum tuberosum) cultivars. PLoS ONE 2013, 8, e60183. [Google Scholar] [CrossRef]
- Chapin, S., III; Schulze, E.-D.; Mooney, H.A. The ecology and economics of storage in plants. Annu. Rev. Ecol. Syst. 1990, 21, 423–447. [Google Scholar] [CrossRef]
- Hartmann, H.; Trumbore, S. Understanding the roles of nonstructural carbohydrates in forest trees-from what we can measure to what we want to know. New Phytol. 2016, 211, 386–403. [Google Scholar] [CrossRef]
- Jiao, L.; Zhou, Y.; Liu, X.; Wang, S.; Li, F. Driving forces analysis of non-structural carbohydrates for Phragmites australis in different habitats of Inland River Wetland. Water 2020, 12, 1700. [Google Scholar] [CrossRef]
- Pellegrini, E.; Forlani, G.; Boscutti, F.; Casolo, V. Evidence of non-structural carbohydrates-mediated response to flooding and salinity in Limonium narbonense and Salicornia fruticose. Aquat. Bot. 2020, 166, 103265. [Google Scholar] [CrossRef]
- Zhang, T.; Cao, Y.; Chen, Y.; Liu, G. Non-structural carbohydrate dynamics in Robinia pseudoacacia saplings under three levels of continuous drought stress. Trees 2015, 29, 1837–1849. [Google Scholar] [CrossRef]
- Mao, P.; Lin, Q.; Pang, Y.; Wang, K.; Ni, R.; Han, X.; Cao, B. Eco-physiological response mechanism of Tamarix chinensis to soil water changes in coastal wetlands of the Yellow River Delta. Front. Mar. Sci. 2023, 10, 1231928. [Google Scholar] [CrossRef]
- Yang, B.; Peng, C.; Zhu, Q.; Zhou, X.; Liu, W.; Duan, M.; Wang, H.; Liu, Z.; Guo, X.; Wang, M. The effects of persistent drought and waterlogging on the dynamics of nonstructural carbohydrates of Robinia pseudoacacia L. seedlings in Northwest China. For. Ecosyst. 2019, 6, 23. [Google Scholar] [CrossRef]
- Noiraud, N.; Delrot, S.; Lemoine, R. The sucrose transporter of celery. Identification and expression during salt stress. Plant Physiol. 2000, 122, 1447–1455. [Google Scholar] [CrossRef]
- Wang, X.; Chang, L.; Wang, B.; Wang, D.; Li, P.; Wang, L.; Yi, X.; Huang, Q.; Peng, M.; Guo, A. Comparative proteomics of Thellungiella halophila leaves from plants subjected to salinity reveals the importance of chloroplastic starch and soluble sugars in halophyte salt tolerance. Mol. Cell. Proteom. 2013, 12, 2174–2195. [Google Scholar] [CrossRef]
- Xia, J.; Zhang, S.Y.; Zhang, G.C.; Xu, J.W.; Liu, J.T.; Li, C.R. Growth dynamics and soil water ecological characteristics of Tamarix chinensis Lour. forests with two site types in coastal wetland of Bohai golf. J. Food Agric. Environ. 2013, 11, 1492–1498. [Google Scholar]
- Yang, H.; Xia, J.; Cui, Q.; Liu, J.; Wei, S.; Feng, L.; Dong, K. Effects of different Tamarix chinensis-grass patterns on the soil quality of coastal saline soil in the Yellow River Delta, China. Sci. Total Environ. 2021, 772, 145501. [Google Scholar] [CrossRef]
- Jiao, L.; Zhang, Y.; Sun, T.; Yang, W.; Shao, D.; Zhang, P.; Liu, Q. Spatial analysis as a tool for plant population conservation: A case study of Tamarix chinensis in the Yellow River Delta, China. Sustainability 2021, 13, 8291. [Google Scholar] [CrossRef]
- Liu, J.; Xia, J.; Fang, Y.; Li, T.; Liu, J.T. Effects of salt-drought stress on growth and physiobiochemical characteristics of Tamarix chinensis seedlings. Sci. World J. 2014, 6, 765–840. [Google Scholar]
- Gao, Y.; Xia, J.; Chen, Y.; Zhao, Y.; Kong, Q.; Lang, Y. Effects of extreme soil water stress on photosynthetic efficiency and water consumption characteristics of Tamarix chinensis in China’s Yellow River Delta. J. For. Res. 2017, 28, 491–501. [Google Scholar] [CrossRef]
- Xia, J.; Zhao, X.; Ren, J.; Lang, Y.; Qu, F.; Xu, H. Photosynthetic and water physiological characteristics of Tamarix chinensis under different groundwater salinity conditions. Environ. Exp. Bot. 2017, 138, 173–183. [Google Scholar] [CrossRef]
- Wu, C.S.; Liu, G.H.; Chong, H. Prediction of soil salinity in the Yellow River Delta using geographically weighted regression. Arch. Agron. Soil Sci. 2017, 63, 928–941. [Google Scholar] [CrossRef]
- Cui, B.; Yang, Q.; Yang, Z.; Zhang, K. Evaluating the ecological performance of wetland restoration in the Yellow River Delta, China. Ecol. Eng. 2009, 35, 1090–1103. [Google Scholar] [CrossRef]
- Khan, M.A.; Ungar, I.A. Life history and population dynamics of Atriplex triangularis. Vegetatio 1986, 66, 17–25. [Google Scholar] [CrossRef]
- Torstensson, P. The demography of the annual Spergularia marina on a baltic seashore meadow. Vegetatio 1987, 68, 157–168. [Google Scholar] [CrossRef]
- Schönbeck, L.; Grossiord, C.; Gessler, A.; Gisler, J.; Meusburger, K.; D’Odorico, P.; Rigling, A.; Salmon, Y.Y.; Stocker, B.D.; Zweifel, R. Photosynthetic acclimation and sensitivity to short- and long-term environmental changes in a drought-prone forest. J. Exp. Bot. 2022, 73, 2576–2588. [Google Scholar] [CrossRef]
- Gao, Y.; Sun, Y.; Ou, Y.; Zheng, X.; Feng, Q.; Zhang, H.; Fei, Y.; Luo, J.; Dios, V.R.D.; Yao, Y. Pretreating poplar cuttings with low nitrogen ameliorates salt stress responses by increasing stored carbohydrates and priming stress signaling pathways. Ecotoxicol. Environ. Safe 2021, 225, 112801. [Google Scholar] [CrossRef]
- Fahad, S.; Bano, A. Effect of salicylic acid on physiological and biochemical characterization of maize grown in saline, area. Pak. J. Bot. 2012, 44, 1433–1438. [Google Scholar]
- Flowers, T.J.; Hajibagheri, M.A.; Clipson, N.J.W. Halophytes. Q. Rev. Biol. 1986, 61, 313–337. [Google Scholar] [CrossRef]
- Tomasella, M.; Casolo, V.; Aichner, N.; Petruzzellis, F.; Savi, T.; Trifilo, P.; Nardini, A. Non-structural carbohydrate and hydraulic dynamics during drought and recovery in Fraxinus ornus and Ostrya carpinifolia saplings. Plant Physiol. Biochem. 2019, 145, 1–9. [Google Scholar] [CrossRef] [PubMed]
- Tixier, A.; Guzmán-Delgado, P.; Sperling, O.; Roxas, A.A.; Laca, E.; Zwieniecki, M.A. Comparison of phenological traits, growth patterns, and seasonal dynamics of non-structural carbohydrate in Mediterranean tree crop species. Sci. Rep. UK 2020, 10, 347. [Google Scholar] [CrossRef] [PubMed]
- Newell, E.A.; Mulkey, S.S.; Wright, S.J. Seasonal patterns of carbohydrate storage in four tropical tree species. Oecologia 2002, 131, 333–342. [Google Scholar] [CrossRef]
- Arbelet-Bonnin, D.; Blasselle, C.; Palm, E.R.; Redwan, M.; Bouteau, F. Metabolism regulation during salt exposure in the halophyte Cakile maritima. Environ. Exp. Bot. 2020, 177, 104075. [Google Scholar] [CrossRef]
- Sala, A.; Woodruff, D.R.; Meinzer, F.C. Carbon dynamics in trees: Feast or famine. Tree Physiol. 2012, 32, 764–775. [Google Scholar] [CrossRef]
- Lima, L.L.; Frosi, G.; Lopes, R.; Santos, M.G. Remobilization of leaf Na+ content and use of nonstructural carbohydrates vary depending on the time when salt stress begins in woody species. Plant Physiol. Biochem. 2021, 158, 385–395. [Google Scholar] [CrossRef]
- Hoch, G.; Richter, A.; Korner, C. Non-structural carbon compounds in temperate forest trees. Plant Cell Environ. 2023, 26, 1067–1081. [Google Scholar] [CrossRef]
- Guo, L.; Pang, Y.; Cao, B.; Fan, Z.; Mao, P.; Li, Z.; Liu, W.; Li, P. Robinia pseudoacacia decline and fine root dynamics in a plantation chronosequence in the Yellow River Delta, China. For. Sci. 2022, 68, 425–433. [Google Scholar] [CrossRef]
- Zhu, X.; Liu, W.; Jiang, X.; Wang, P.; Li, W. Effects of land-use changes on runoff and sediment yield: Implications for soil conservation and forest management in Xishuangbanna, Southwest China. Land Degrad. Dev. 2018, 29, 2962–2974. [Google Scholar] [CrossRef]
- Wu, Q. Experimental Guidelines in Plant Physiology; China Agriculture Press: Beijing, China, 2018. [Google Scholar]
- Ou, C.; Zhang, M.; Yao, X.; Yang, L.; Liu, Y.; Qu, C. Effects of melatonin on growth, ion absorption and photosynthesis of Toona sinensis seedlings under salt stress. Acta Bot. Boreal.–Occident. Sin. 2019, 39, 2226–2234. [Google Scholar]










| Indexes | Investigation Time (A) | Distance to Shoreline (B) | A × B | |||
|---|---|---|---|---|---|---|
| F Value | p Value | F Value | p value | F Value | p Value | |
| SMC | 7.46 | <0.01 | 9.68 | <0.01 | 1.89 | 0.07 |
| SSC | 100.65 | <0.01 | 30.24 | <0.01 | 13.97 | <0.01 |
| SBD | 1.64 | 0.18 | 1.40 | 0.26 | 0.71 | 0.73 |
| pH | 11.40 | <0.01 | 9.41 | <0.01 | 1.10 | 0.39 |
| Indexes | Investigation Time (A) | Distance to Shoreline (B) | A × B | |||
|---|---|---|---|---|---|---|
| F Value | p Value | F Value | p Value | F Value | p Value | |
| Height | 7.40 | <0.01 | 36.04 | <0.01 | 1.47 | 0.20 |
| Ground diameter | 3.84 | <0.05 | 8.93 | <0.01 | 0.70 | 0.70 |
| Mortality rate | 2.63 | 0.05 | 74.47 | <0.01 | 5.62 | <0.01 |
| Healthy trees ratio | 0.47 | 0.70 | 58.78 | <0.01 | 1.29 | 0.28 |
| Intermediate trees ratio | 0.52 | 0.68 | 8.29 | <0.01 | 0.87 | 0.56 |
| Dying trees ratio | 2.55 | 0.06 | 55.51 | <0.01 | 1.12 | 0.35 |
| Indexes | Investigation Time (A) | Distance from Sea (B) | Growth Potential (C) | A × B | A × C | B × C | A × B × C | |||||||
|---|---|---|---|---|---|---|---|---|---|---|---|---|---|---|
| F Value | p Value | F Value | p Value | F Value | p Value | F Value | p Value | F Value | p Value | F Value | p Value | F Value | p Value | |
| RK+ | 55.84 | <0.01 | 11.30 | <0.01 | 4.74 | <0.05 | 11.75 | <0.01 | 10.21 | <0.01 | 5.56 | <0.01 | 7.03 | <0.01 |
| RNa+ | 238.14 | <0.01 | 93.69 | <0.01 | 4.31 | <0.05 | 6.79 | <0.01 | 3.62 | <0.05 | 11.71 | <0.01 | 0.30 | 0.56 |
| RK+/Na+ | 129.34 | <0.01 | 102.44 | <0.01 | 0.38 | 0.69 | 26.58 | <0.01 | 11.07 | <0.01 | 12.83 | <0.01 | 0.76 | 0.66 |
| SK+ | 38.38 | <0.01 | 21.61 | <0.01 | 3.88 | <0.05 | 20.65 | <0.01 | 11.69 | <0.01 | 7.99 | <0.01 | 9.72 | <0.01 |
| SNa+ | 185.24 | <0.01 | 39.49 | <0.01 | 0.64 | 0.53 | 2.36 | 0.05 | 0.79 | 0.54 | 1.11 | 0.38 | 1.51 | 0.17 |
| SK+/Na+ | 442.42 | <0.01 | 157.23 | <0.01 | 5.35 | <0.01 | 30.89 | <0.01 | 16.31 | <0.01 | 5.81 | <0.01 | 18.62 | <0.01 |
| LK+ | 15.28 | <0.01 | 4.13 | <0.05 | 51.47 | <0.01 | 7.16 | <0.01 | 40.31 | <0.01 | 9.34 | <0.01 | 8.44 | <0.01 |
| LNa+ | 0.05 | 0.95 | 9.05 | <0.01 | 5.47 | <0.01 | 7.47 | <0.01 | 5.82 | <0.01 | 9.64 | <0.01 | 9.35 | <0.01 |
| LK+/Na+ | 15.32 | <0.01 | 4.70 | <0.01 | 18.97 | <0.01 | 16.42 | <0.01 | 35.98 | <0.01 | 9.75 | <0.01 | 25.47 | <0.01 |
| RSS | 50.71 | <0.01 | 59.82 | <0.01 | 60.44 | <0.01 | 88.47 | <0.01 | 23.46 | <0.01 | 38.97 | <0.01 | 43.37 | <0.01 |
| RS | 21.57 | <0.01 | 66.13 | <0.01 | 7.65 | <0.01 | 79.98 | <0.01 | 41.29 | <0.01 | 20.98 | <0.01 | 20.81 | <0.01 |
| SSS | 1560.38 | <0.01 | 107.31 | <0.01 | 56.77 | <0.01 | 83.38 | <0.01 | 60.62 | <0.01 | 35.25 | <0.01 | 34.17 | <0.01 |
| SS | 847.16 | <0.01 | 577.65 | <0.01 | 31.24 | <0.01 | 852.63 | <0.01 | 33.12 | <0.01 | 38.37 | <0.01 | 55.93 | <0.01 |
| LSS | 5.03 | <0.05 | 0.94 | 0.43 | 1.04 | 0.37 | 0.97 | 0.46 | 0.92 | 0.46 | 1.19 | 0.33 | 0.97 | 0.49 |
| LS | 1358.82 | <0.01 | 125.37 | <0.01 | 35.13 | <0.01 | 370.30 | <0.01 | 57.11 | <0.01 | 182.44 | <0.01 | 138.72 | <0.01 |
| H | D | MR | LK+ | LNa+ | LK+/Na+ | SK+ | SNa+ | SK+/Na+ | RK+ | RNa+ | RK+/Na+ | LSS | LS | SSS | SS | RSS | RS | SMC | SSC | SBD | |
|---|---|---|---|---|---|---|---|---|---|---|---|---|---|---|---|---|---|---|---|---|---|
| H | 1.00 | ||||||||||||||||||||
| D | 0.77 ** | 1.00 | |||||||||||||||||||
| MR | −0.46 | −0.79 ** | 1.00 | ||||||||||||||||||
| LK+ | −0.15 | −0.28 | 0.31 | 1.00 | |||||||||||||||||
| LNa+ | −0.25 | −0.34 | 0.16 | 0.15 | 1.00 | ||||||||||||||||
| LK+/Na+ | 0.17 | 0.10 | 0.10 | 0.39 | −0.81 ** | 1.00 | |||||||||||||||
| SK+ | −0.19 | −0.18 | −0.16 | 0.26 | −0.02 | 0.30 | 1.00 | ||||||||||||||
| SNa+ | −0.56 | −0.53 | 0.28 | 0.49 | 0.22 | 0.17 | 0.71 * | 1.00 | |||||||||||||
| SK+/Na+ | 0.63 * | 0.63 * | −0.41 | −0.60 * | −0.06 | −0.35 | −0.66 * | −0.91 ** | 1.00 | ||||||||||||
| RK+ | 0.22 | 0.56 | −0.41 | 0.02 | −0.42 | 0.32 | −0.18 | −0.03 | 0.11 | 1.00 | |||||||||||
| RNa+ | −0.44 | −0.48 | 0.46 | 0.65 * | 0.26 | 0.21 | 0.44 | 0.90 ** | −0.84 ** | 0.05 | 1.00 | ||||||||||
| RK+/Na+ | 0.48 | 0.65 * | −0.55 | −0.69 * | −0.37 | −0.13 | −0.47 | −0.86 ** | 0.84 ** | 0.29 | −0.92 ** | 1.00 | |||||||||
| LSS | 0.17 | 0.33 | −0.08 | −0.12 | 0.05 | −0.25 | −0.74 ** | −0.30 | 0.47 | 0.53 | −0.07 | 0.21 | 1.00 | ||||||||
| LS | −0.01 | 0.17 | −0.01 | 0.20 | −0.05 | 0.02 | −0.51 | −0.01 | 0.11 | 0.75 ** | 0.19 | 0.03 | 0.84 ** | 1.00 | |||||||
| SSS | 0.29 | 0.11 | 0.12 | 0.26 | 0.17 | −0.02 | −0.29 | 0.17 | 0.06 | 0.45 | 0.39 | −0.26 | 0.69 * | 0.74 ** | 1.00 | ||||||
| SS | 0.37 | 0.32 | −0.27 | −0.05 | 0.31 | −0.25 | −0.08 | −0.05 | 0.21 | 0.35 | 0.03 | 0.09 | 0.20 | 0.21 | 0.40 | 1.00 | |||||
| RSS | −0.10 | 0.03 | −0.20 | 0.49 | −0.02 | 0.33 | 0.68 * | 0.73 ** | −0.54 | 0.19 | 0.65 * | −0.58 * | −0.08 | 0.09 | 0.26 | −0.14 | 1.00 | ||||
| RS | −0.10 | 0.01 | −0.17 | −0.06 | −0.69 * | 0.64 * | 0.57 | 0.36 | −0.43 | 0.25 | 0.11 | −0.04 | −0.43 | −0.21 | −0.29 | −0.29 | 0.35 | 1.00 | |||
| SMC | 0.33 | 0.29 | 0.01 | 0.05 | 0.02 | −0.15 | −0.83 ** | −0.48 | 0.55 | 0.44 | −0.22 | 0.29 | 0.88 ** | 0.80 ** | 0.68 * | 0.16 | −0.26 | −0.51 | 1.00 | ||
| SSC | −0.84 ** | −0.84 ** | 0.72 ** | 0.30 | 0.47 | −0.19 | 0.20 | 0.59 * | −0.63 * | −0.42 | 0.60 * | −0.66 * | −0.25 | −0.12 | −0.15 | −0.19 | 0.06 | −0.17 | −0.36 | 1.00 | |
| SBD | −0.70 * | −0.85 ** | 0.64 * | 0.29 | 0.15 | −0.02 | −0.01 | 0.39 | −0.60 * | −0.33 | 0.39 | −0.51 | −0.16 | 0.05 | −0.03 | −0.36 | −0.13 | 0.06 | −0.09 | 0.59 * | 1.00 |
| pH | −0.65 * | −0.69 * | 0.59 * | 0.14 | 0.01 | 0.09 | 0.12 | 0.22 | −0.51 | −0.53 | 0.19 | −0.34 | −0.52 | −0.47 | −0.61 * | −0.37 | −0.28 | 0.20 | −0.51 | 0.64 * | 0.64 * |
| Sample Plot | Longitude and Latitude Coordinates | Distance to Shoreline (km) | Mixed Plant | Dominant Plant | Coverage |
|---|---|---|---|---|---|
| I | 119.156674 E, 37.773742 N | 3.1 | None | T. chinensis | 0.25 |
| II | 119.156501 E, 37.772322 N | 3.5 | None | T. chinensis | 0.47 |
| III | 119.156163 E, 37.769495 N | 4.0 | S. salsa | T. chinensis | 0.24 |
| IV | 119.154998 E, 37.763511 N | 4.9 | S. salsa, Phragmites australis, Artemisia | T. chinensis | 0.51 |
Disclaimer/Publisher’s Note: The statements, opinions and data contained in all publications are solely those of the individual author(s) and contributor(s) and not of MDPI and/or the editor(s). MDPI and/or the editor(s) disclaim responsibility for any injury to people or property resulting from any ideas, methods, instructions or products referred to in the content. |
© 2024 by the authors. Licensee MDPI, Basel, Switzerland. This article is an open access article distributed under the terms and conditions of the Creative Commons Attribution (CC BY) license (https://creativecommons.org/licenses/by/4.0/).
Share and Cite
Mao, P.; Lin, Q.; Cao, B.; Qiao, J.; Wang, K.; Han, X.; Pang, Y.; Cao, X.; Jia, B.; Yang, Q. Analysis of Tamarix chinensis Forest Characteristics, Salt Ion Distribution, and Non-Structural Carbohydrate Levels in the Yellow River Delta: A Spatial Study Based on Proximity to the Shoreline. Plants 2024, 13, 2372. https://doi.org/10.3390/plants13172372
Mao P, Lin Q, Cao B, Qiao J, Wang K, Han X, Pang Y, Cao X, Jia B, Yang Q. Analysis of Tamarix chinensis Forest Characteristics, Salt Ion Distribution, and Non-Structural Carbohydrate Levels in the Yellow River Delta: A Spatial Study Based on Proximity to the Shoreline. Plants. 2024; 13(17):2372. https://doi.org/10.3390/plants13172372
Chicago/Turabian StyleMao, Peili, Qingzhi Lin, Banghua Cao, Jiabao Qiao, Kexin Wang, Xin Han, Yuanxiang Pang, Xiaonan Cao, Bo Jia, and Qingshan Yang. 2024. "Analysis of Tamarix chinensis Forest Characteristics, Salt Ion Distribution, and Non-Structural Carbohydrate Levels in the Yellow River Delta: A Spatial Study Based on Proximity to the Shoreline" Plants 13, no. 17: 2372. https://doi.org/10.3390/plants13172372
APA StyleMao, P., Lin, Q., Cao, B., Qiao, J., Wang, K., Han, X., Pang, Y., Cao, X., Jia, B., & Yang, Q. (2024). Analysis of Tamarix chinensis Forest Characteristics, Salt Ion Distribution, and Non-Structural Carbohydrate Levels in the Yellow River Delta: A Spatial Study Based on Proximity to the Shoreline. Plants, 13(17), 2372. https://doi.org/10.3390/plants13172372

