Machine Learning-Based Tomato Fruit Shape Classification System
Abstract
1. Introduction
Machine-Learning Models and Classification Systems
2. Materials and Methods
- Datasets
- SolNet dataset: This publicly available dataset from SolGenomics (https://solgenomics.net/, accessed on 8 August 2024) includes 1424 images representing 368 tomato accessions, along with 41 morphological traits and 4 categorical shape features, corresponding to each shape classification system.
- Nankar dataset: This dataset contains 145 images of 60 tomato accessions. These images are a subset of the original data from Nankar et al. (2020) [35].
2.1. Dataset Pre-Processing
2.2. Algorithm Configuration and Parameter Tuning
2.3. Proposal of a New Classification System
2.4. Performance of New Classification Systems
3. Results
3.1. Dataset Pre-Processing
3.2. Algorithm Configuration and Parameter Tuning
3.3. Proposal of a New Classification System
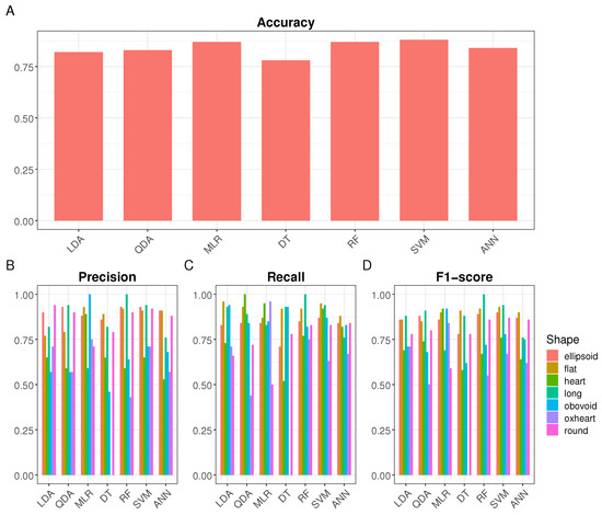
3.4. Performance of New Classification Systems
4. Discussion
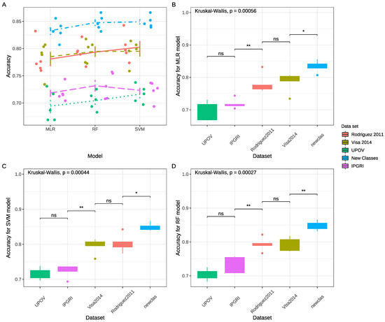
4.1. Comparison of Existing Classification Systems and Performance of Machine Learning Models
4.2. Challenges in Class-Specific Classification
4.3. Proposal of a New Classification System
5. Conclusions
Supplementary Materials
Author Contributions
Funding
Data Availability Statement
Acknowledgments
Conflicts of Interest
References
- Simonne, A.H.; Behe, B.K.; Marshall, M.M. Consumers Prefer Low-priced and Highlycopene-content Fresh-market Tomatoes. HortTechnol. Horttech 2006, 16, 674–681. [Google Scholar] [CrossRef]
- Casals, J.; Rivera, A.; Sabaté, J.; Romero del Castillo, R.; Simó, J. Cherry and Fresh Market Tomatoes: Differences in Chemical, Morphological, and Sensory Traits and Their Implications for Consumer Acceptance. Agronomy 2019, 9, 9. [Google Scholar] [CrossRef]
- Rodríguez, G.R.; Kim, H.J.; van der Knaap, E. Mapping of two suppressors of OVATE (sov) loci in tomato. Heredity 2013, 111, 256–264. [Google Scholar] [CrossRef]
- Zhu, Q.; Deng, L.; Chen, J.; Rodríguez, G.R.; Sun, C.; Chang, Z.; Yang, T.; Zhai, H.; Jiang, H.; Topcu, Y.; et al. Redesigning the tomato fruit shape for mechanized production. Nat. Plants 2023, 9, 1659–1674. [Google Scholar] [CrossRef] [PubMed]
- Razifard, H.; Ramos, A.; Della Valle, A.L.; Bodary, C.; Goetz, E.; Manser, E.J.; Li, X.; Zhang, L.; Visa, S.; Tieman, D.; et al. Genomic Evidence for Complex Domestication History of the Cultivated Tomato in Latin America. Mol. Biol. Evol. 2020, 37, 1118–1132. [Google Scholar] [CrossRef]
- Blanca, J.; Sanchez-Matarredona, D.; Ziarsolo, P.; Montero-Pau, J.; van der Knaap, E.; Díez, M.J.; Cañizares, J. Haplotype analyses reveal novel insights into tomato history and domestication driven by long-distance migrations and latitudinal adaptations. Hortic. Res. 2022, 9, uhac030. [Google Scholar] [CrossRef]
- Sierra-Orozco, E.; Shekasteband, R.; Illa-Berenguer, E.; Snouffer, A.; van der Knaap, E.; Lee, T.G.; Hutton, S.F. Identification and characterization of GLOBE, a major gene controlling fruit shape and impacting fruit size and marketability in tomato. Hortic. Res. 2021, 8, 138. [Google Scholar] [CrossRef] [PubMed]
- Dhondt, S.; Wuyts, N.; Inzé, D. Cell to whole-plant phenotyping: The best is yet to come. Trends Plant Sci. 2013, 18, 428–439. [Google Scholar] [CrossRef] [PubMed]
- Yang, W.; Feng, H.; Zhang, X.; Zhang, J.; Doonan, J.H.; Batchelor, W.D.; Xiong, L.; Yan, J. Crop Phenomics and High-Throughput Phenotyping: Past Decades, Current Challenges, and Future Perspectives. Mol. Plant 2020, 13, 187–214. [Google Scholar] [CrossRef]
- Tian, H.; Wang, T.; Liu, Y.; Qiao, X.; Li, Y. Computer Vision Technology in Agricultural Automation—A review. Inf. Process. Agric. 2019, 7, 1–9. [Google Scholar] [CrossRef]
- Araus, J.L.; Kefauver, S.C.; Zaman-Allah, M.; Olsen, M.S.; Cairns, J.E. Translating High-Throughput Phenotyping into Genetic Gain. Trends Plant Sci. 2018, 23, 451–466. [Google Scholar] [CrossRef] [PubMed]
- Mochida, K.; Koda, S.; Inoue, K.; Hirayama, T.; Tanaka, S.; Nishii, R.; Melgani, F. Computer vision-based phenotyping for improvement of plant productivity: A machine learning perspective. GigaScience 2018, 8, giy153. [Google Scholar] [CrossRef] [PubMed]
- Brewer, M.T.; Lang, L.; Fujimura, K.; Dujmovic, N.; Gray, S.; van der Knaap, E. Development of a Controlled Vocabulary and Software Application to Analyze Fruit Shape Variation in Tomato and Other Plant Species. Plant Physiol. 2006, 141, 15–25. [Google Scholar] [CrossRef] [PubMed]
- Rodríguez, G.R.; Francis, D.M.; van der Knaap, E.; Strecker, J.; Njanji, I.; Thomas, J.; Jack, A. New features and many Improvements to analyze morphology and color of digitalized plant organs are available in Tomato Analyzer 3.0. In Proceedings of the Twenty-second Midwest Artificial Intelligence and Cognitive Science Conference, Cincinnati, OH, USA, 16–17 April 2011; Volume 710, pp. 160–163. [Google Scholar]
- Tardieu, F.; Cabrera-Bosquet, L.; Pridmore, T.; Bennett, M. Plant Phenomics, From Sensors to Knowledge. Curr. Biol. 2017, 27, R770–R783. [Google Scholar] [CrossRef]
- Fisher, R.A. The use of multiple measurements in taxonomic problems. Ann. Eugen. 1936, 7, 179–188. [Google Scholar] [CrossRef]
- Friedman, J.H. Regularized Discriminant Analysis. J. Am. Stat. Assoc. 1989, 84, 165–175. [Google Scholar] [CrossRef]
- Jobson, J.D. Multiple Linear Regression. In Applied Multivariate Data Analysis: Regression and Experimental Design; Springer: New York, NY, USA, 1991; pp. 219–398. [Google Scholar] [CrossRef]
- Cortes, C.; Vapnik, V. Support-vector networks. Mach. Learn. 1995, 20, 273–297. [Google Scholar] [CrossRef]
- Zurada, J. Introduction to Artificial Neural Systems; West: Eagan, MN, USA, 1992. [Google Scholar]
- Breiman, L. Random Forests. Mach. Learn. 2001, 45, 5–32. [Google Scholar] [CrossRef]
- Breiman, L.; Friedman, J.H.; Olshen, R.A.; Stone, C.J. Classification and Regression Trees. Biometrics 1984, 40, 874. [Google Scholar]
- Ishikawa, T.; Hayashi, A.; Nagamatsu, S.; Kyutoku, Y.; Dan, I.; Wada, T.; Oku, K.; Saeki, Y.; Uto, T.; Tanabata, T.; et al. Classification of strawberry fruit shape by machine learning. Int. Arch. Photogramm. Remote. Sens. Spat. Inf. Sci. 2018, 42, 463–470. [Google Scholar] [CrossRef]
- IPGRI. Descriptors for Tomato (Lycopersicon spp.); International Plant Genetic Resources Institute: Rome, Italy, 1996. [Google Scholar]
- UPOV. Guidelines for the Conduct of Tests for Distinctness, Uniformity and Stability (Tomato); UPOV: Geneva, Switzerland, 2001. [Google Scholar]
- Rodríguez, G.R.; Muños, S.; Anderson, C.; Sim, S.C.; Michel, A.; Causse, M.; Gardener, B.B.M.; Francis, D.; van der Knaap, E. Distribution of SUN, OVATE, LC, and FAS in the Tomato Germplasm and the Relationship to Fruit Shape Diversity. Plant Physiol. 2011, 156, 275–285. [Google Scholar] [CrossRef]
- Visa, S.; Cao, C.; Gardener, B.M.; van der Knaap, E. Modeling of tomato fruits into nine shape categories using elliptic fourier shape modeling and Bayesian classification of contour morphometric data. Euphytica 2014, 200, 429–439. [Google Scholar] [CrossRef]
- Sacco, A.; Ruggieri, V.; Parisi, M.; Festa, G.; Rigano, M.M.; Picarella, M.E.; Mazzucato, A.; Barone, A. Exploring a Tomato Landraces Collection for Fruit-Related Traits by the Aid of a High-Throughput Genomic Platform. PLoS ONE 2015, 10, e0137139. [Google Scholar] [CrossRef] [PubMed]
- Figàs, M.R.; Prohens, J.; Casanova, C.; de Córdova, P.F.; Soler, S. Variation of morphological descriptors for the evaluation of tomato germplasm and their stability across different growing conditions. Sci. Hortic. 2018, 238, 107–115. [Google Scholar] [CrossRef]
- Lázaro, A. Tomato landraces: An analysis of diversity and preferences. Plant Genet. Resour. Charact. Util. 2018, 16, 315–324. [Google Scholar] [CrossRef]
- Salim, M.M.R.; Rashid, M.H.; Hossain, M.M.; Zakaria, M. Morphological characterization of tomato (Solanum lycopersicum L.) genotypes. J. Saudi Soc. Agric. Sci. 2020, 19, 233–240. [Google Scholar] [CrossRef]
- Phan, N.T.; Trinh, L.T.; Rho, M.Y.; Park, T.S.; Kim, O.R.; Zhao, J.; Kim, H.M.; Sim, S.C. Identification of loci associated with fruit traits using genome-wide single nucleotide polymorphisms in a core collection of tomato (Solanum lycopersicum L.). Sci. Hortic. 2019, 243, 567–574. [Google Scholar] [CrossRef]
- Mahfud, M.; Murti, R. Inheritance Pattern of Fruit Color and Shape in Multi-Pistil and Purple Tomato Crossing. AGRIVITA J. Agric. Sci. 2020, 42, 572–583. [Google Scholar] [CrossRef]
- Roohanitaziani, R.; de Maagd, R.A.; Lammers, M.; Molthoff, J.; Meijer-Dekens, F.; van Kaauwen, M.P.W.; Finkers, R.; Tikunov, Y.; Visser, R.G.F.; Bovy, A.G. Exploration of a Resequenced Tomato Core Collection for Phenotypic and Genotypic Variation in Plant Growth and Fruit Quality Traits. Genes 2020, 11, 1278. [Google Scholar] [CrossRef]
- Nankar, A.N.; Tringovska, I.; Grozeva, S.; Ganeva, D.; Kostova, D. Tomato Phenotypic Diversity Determined by Combined Approaches of Conventional and High-Throughput Tomato Analyzer Phenotyping. Plants 2020, 9, 197. [Google Scholar] [CrossRef]
- Marefatzadeh-Khameneh, M.; Fabriki-Ourang, S.; Sorkhilalehloo, B.; Abbasi-Kohpalekani, J.; Ahmadi, J. Genetic diversity in tomato (Solanum lycopersicum L.) germplasm using fruit variation implemented by tomato analyzer software based on high throughput phenotyping. Genet. Resour. Crop. Evol. 2021, 68, 2611–2625. [Google Scholar] [CrossRef]
- Maurya, D.; Mukherjee, A.; Akhtar, S.; Chattopadhyay, T. Development and validation of the OVATE gene-based functional marker to assist fruit shape selection in tomato. 3 Biotech 2021, 11, 474. [Google Scholar] [CrossRef] [PubMed]
- Wilk, M.B.; Gnanadesikan, R. Probability plotting methods for the analysis for the analysis of data. Biometrika 1968, 55, 1–17. [Google Scholar] [CrossRef]
- Shapiro, S.S.; Wilk, M.B. An analysis of variance test for normality (complete samples). Biometrika 1965, 52, 591–611. [Google Scholar] [CrossRef]
- Dunn, O.J. Multiple Comparisons among Means. J. Am. Stat. Assoc. 1961, 56, 52–64. [Google Scholar] [CrossRef]
- Mardia, K.V. Measures of multivariate skewness and kurtosis with applications. Biometrika 1970, 57, 519–530. [Google Scholar] [CrossRef]
- Henze, N.; Zirkler, B. A class of invariant consistent tests for multivariate normality. Commun. Stat. -Theory Methods 1990, 19, 3595–3617. [Google Scholar] [CrossRef]
- Royston, J.P. Some Techniques for Assessing Multivarate Normality Based on the Shapiro- Wilk W. J. R. Stat. Soc. Ser. C (Appl. Stat.) 1983, 32, 121–133. [Google Scholar] [CrossRef]
- Harrell, F.E., Jr. Hmisc: Harrell Miscellaneous. Version: 5.1-2. 2024. Available online: https://cran.r-project.org/web/packages/Hmisc (accessed on 13 March 2024).
- Husson, F.; Josse, J.J.; Le, S.; Mazet, J. FactoMineR: Multivariate Exploratory Data Analysis and Data Mining. Version: 2.10. 2024. Available online: https://cran.r-project.org/web/packages/FactoMineR (accessed on 13 March 2024).
- Maechler, M.; Rousseeuw, P.; Struyf, A.; Hubert, M. cluster: “Finding Groups in Data”: Cluster Analysis Extended Rousseeuw et al. Version: 2.1.6. 2023. Available online: https://cran.r-project.org/web/packages/cluster (accessed on 13 March 2024).
- Kuhn, M.; Wing, J.; Weston, S.; Williams, A.; Keefer, C.; Engelhardt, A.; Cooper, T.; Mayer, Z.; Kenkel, B.; R Core Team; et al. caret: Classification and Regression Training. Version: 6.0-94. 2023. Available online: https://cran.r-project.org/web/packages/caret (accessed on 13 March 2024).
- Lin, W. mt: Metabolomics Data Analysis Toolbox. Version: 2.0-1.20. 2024. Available online: https://cran.r-project.org/web/packages/mt (accessed on 13 March 2024).
- Bischl, B.; Lang, M.; Kotthoff, L.; Schiffner, J.; Richter, J.; Studerus, E.; Casalicchio, G.; Jones, Z.M. mlr: Machine Learning in R. Version: 2.19.1. 2022. Available online: https://cran.r-project.org/web/packages/mlr (accessed on 13 March 2024).
- Sokolova, M.; Lapalme, G. A systematic analysis of performance measures for classification tasks. Inf. Process. Manag. 2009, 45, 427–437. [Google Scholar] [CrossRef]
- Wickham, H.; François, R.; Henry, L.; Müller, K.; Vaughan, D. dplyr: A Grammar of Data Manipulation. Version: 1.1.4. 2023. Available online: https://cran.r-project.org/web/packages/dplyr (accessed on 13 March 2024).
- Ripley, B.; Venables, W. nnet: Feed-Forward Neural Networks and Multinomial Log-Linear Models. Version: 7.3-19. 2023. Available online: https://cran.r-project.org/web/packages/nnet (accessed on 13 March 2024).
- Therneau, T.; Atkinson, B. rpart: Recursive Partitioning and Regression Trees. Version: 4.1.23. 2023. Available online: https://cran.r-project.org/web/packages/rpart (accessed on 13 March 2024).
- Breiman, L.; Cutler, A. randomForest: Breiman and Cutler’s Random Forests for Classification and Regression. Version: 4.7-1.1. 2022. Available online: https://cran.r-project.org/web/packages/randomForest (accessed on 13 March 2024).
- Wright, M.; Wager, S.; Probst, P. ranger: A Fast Implementation of Random Forests. Version: 0.16.0. 2023. Available online: https://cran.r-project.org/web/packages/ranger (accessed on 13 March 2024).
- Meyer, D.; Dimitriadou, E.; Hornik, K.; Weingessel, A.; Leisch, F.; Chang, C.C. e1071: Misc Functions of the Department of Statistics, Probability Theory Group (Formerly: E1071), TU Wien. Version: 1.7-14. 2023. Available online: https://cran.r-project.org/web/packages/e1071 (accessed on 13 March 2024).
- Fritsch, S.; Guenther, F.; Wright, M.N.; Suling, M.; Mueller, S.M. neuralnet: Training of Neural Networks. Version: 1.44.2. 2019. Available online: https://cran.r-project.org/web/packages/neuralnet (accessed on 13 March 2024).
- Kassambara, A. rstatix: Pipe-Friendly Framework for Basic Statistical Tests. Version: 0.7.2. 2023. Available online: https://cran.r-project.org/web/packages/rstatix (accessed on 13 March 2024).
- Gamer, M.; Lemon, J.; Singh, I.F.P. irr: Various Coefficients of Interrater Reliability and Agreement. Version: 0.84.1. 2019. Available online: https://cran.r-project.org/web/packages/irr (accessed on 13 March 2024).
- Fox, J.; Friendly, G.; Gorjanc, G.; Graves, S.; Heiberger, R.; Monette, G.; Nilsson, H.; Ripley, B.; Weisberg, S. car: Companion to Applied Regression. Version: 3.1-2. 2023. Available online: https://cran.r-project.org/web/packages/car (accessed on 13 March 2024).
- Costa, C.; Antonucci, F.; Pallottino, F.; Aguzzi, J.; Sun, D.W.; Menesatti, P. Shape Analysis of Agricultural Products: A Review of Recent Research Advances and Potential Application to Computer Vision. Food Bioprocess Technol. 2011, 4, 673–692. [Google Scholar] [CrossRef]
- Chen, L.; He, T.; Li, Z.; Zheng, W.; An, S.; ZhangZhong, L. Grading method for tomato multi-view shape using machine vision. Int. J. Agric. Biol. Eng. 2023, 16, 184–196. [Google Scholar] [CrossRef]
- de Luna, R.; Dadios, E.; Bandala, A.; Vicerra, R. Size Classification of Tomato Fruit Using Thresholding, Machine Learning, and Deep Learning Techniques. AGRIVITA J. Agric. Sci. 2019, 41, 586–596. [Google Scholar] [CrossRef]
- Behera, S.; Rath, A.; Mahapatra, A.; Sethy, P. Identification, classification & grading of fruits using machine learning & computer intelligence: A review. J. Ambient. Intell. Humaniz. Comput. 2020. [Google Scholar] [CrossRef]
- Feldmann, M.J.; Hardigan, M.A.; Famula, R.A.; López, C.M.; Tabb, A.; Cole, G.S.; Knapp, S.J. Multi-dimensional machine learning approaches for fruit shape phenotyping in strawberry. GigaScience 2020, 9, giaa030. [Google Scholar] [CrossRef] [PubMed]
- Ghazal, S.; Qureshi, W.S.; Khan, U.S.; Iqbal, J.; Rashid, N.; Tiwana, M.I. Analysis of visual features and classifiers for Fruit classification problem. Comput. Electron. Agric. 2021, 187, 106267. [Google Scholar] [CrossRef]
- Hameed, K.; Chai, D.; Rassau, A. A comprehensive review of fruit and vegetable classification techniques. Image Vis. Comput. 2018, 80, 24–44. [Google Scholar] [CrossRef]
- Hossin, M.; Sulaiman, M.N. A Review on Evaluation Metrics for Data Classification Evaluations. Int. J. Data Min. Knowl. Manag. Process. 2015, 5, 1–11. [Google Scholar] [CrossRef]
- Vuttipittayamongkol, P.; Elyan, E.; Petrovski, A. On the class overlap problem in imbalanced data classification. Knowl.-Based Syst. 2021, 212, 106631. [Google Scholar] [CrossRef]
- Wang, L.; Han, M.; Li, X.; Zhang, N.; Cheng, H. Review of Classification Methods on Unbalanced Data Sets. IEEE Access 2021, 9, 64606–64628. [Google Scholar] [CrossRef]
- Maldonado, S.; López, J. Dealing with high-dimensional class-imbalanced datasets: Embedded feature selection for SVM classification. Appl. Soft Comput. 2018, 67, 94–105. [Google Scholar] [CrossRef]
- Wang, P.; Fan, E.; Wang, P. Comparative analysis of image classification algorithms based on traditional machine learning and deep learning. Pattern Recognit. Lett. 2021, 141, 61–67. [Google Scholar] [CrossRef]
- Gonzalo, M.; van der Knaap, E. A comparative analysis into the genetic bases of morphology in tomato varieties exhibiting elongated fruit shape. Theor. Appl. Genet. 2008, 116, 647–656. [Google Scholar] [CrossRef] [PubMed]
- Wu, S.; Clevenger, J.P.; Sun, L.; Visa, S.; Kamiya, Y.; Jikumaru, Y.; Blakeslee, J.; van der Knaap, E. The control of tomato fruit elongation orchestrated by sun, ovate and fs8.1 in a wild relative of tomato. Plant Sci. 2015, 238, 95–104. [Google Scholar] [CrossRef] [PubMed]






| Algorithm | Parameters | IPGRI | UPOV | ROD2011 | VISA2014 |
|---|---|---|---|---|---|
| LDA | Default | Default | Default | Default | |
| QDA | Default | Default | Default | Default | |
| MLR | Default | Default | Default | Default | |
| DT | max_depth 1 | 5 | 18 | 9 | 10 |
| cp 2 | 0.001 | 0.012 | 0.001 | 0.001 | |
| min_split 3 | 23 | 18 | 13 | 7 | |
| mtry 4 | 6 | 8 | 8 | 6 | |
| RF | num_tree 5 | 300 | 300 | 300 | 300 |
| node_size6 | 2 | 1 | 1 | 1 | |
| sample_size 7 | 0.80 | 0.63 | 0.70 | 0.80 | |
| SVM | C 8 | 5.34 | 2.16 | 5.34 | 2.63 |
| Gamma 9 | 0.414 | 4.160 | 0.414 | 0.891 | |
| Degree 10 | 5 | 4 | 5 | 7 | |
| kernel 11 | linear, radial, polynomial | linear, radial, polynomial | linear, radial, polynomial | linear, radial, polynomial | |
| ANN | n_hidden 12 | 3 | 2 | 3 | 3 |
| n_neurons 13 | 22, 18, 14 | 25, 17 | 14, 12, 10 | 14, 12, 10 |
| Algorithm | IPGRI | UPOV | ROD2011 | VISA2014 | ||||||||||||
|---|---|---|---|---|---|---|---|---|---|---|---|---|---|---|---|---|
| Pr | Rec | F1 | Acc | Pr | Rec | F1 | Acc | Pr | Rec | F1 | Acc | Pr | Rec | F1 | Acc | |
| LDA | 0.69 | 0.73 | 0.70 | 0.70 | 0.65 | 0.68 | 0.66 | 0.69 | 0.64 | 0.77 | 0.69 | 0.74 | 0.69 | 0.76 | 0.70 | 0.75 |
| QDA | 0.65 | 0.67 | 0.65 | 0.65 | 0.65 | 0.68 | 0.66 | 0.64 | 0.63 | 0.76 | 0.67 | 0.74 | 0.63 | 0.70 | 0.65 | 0.74 |
| MLR | 0.72 | 0.73 | 0.72 | 0.72 | 0.65 | 0.65 | 0.65 | 0.69 | 0.74 | 0.75 | 0.75 | 0.82 | 0.72 | 0.73 | 0.72 | 0.78 |
| DT | 0.64 | 0.67 | 0.64 | 0.66 | 0.54 | 0.62 | 0.60 | 0.65 | 0.67 | 0.70 | 0.68 | 0.76 | 0.55 | 0.54 | 0.70 | 0.72 |
| RF | 0.75 | 0.77 | 0.75 | 0.76 | 0.70 | 0.79 | 0.72 | 0.77 | 0.76 | 0.81 | 0.78 | 0.84 | 0.66 | 0.79 | 0.68 | 0.80 |
| SVM | 0.73 | 0.75 | 0.74 | 0.74 | 0.66 | 0.76 | 0.68 | 0.73 | 0.75 | 0.82 | 0.77 | 0.84 | 0.71 | 0.86 | 0.75 | 0.82 |
| ANN | 0.70 | 0.72 | 0.71 | 0.71 | 0.63 | 0.62 | 0.62 | 0.66 | 0.69 | 0.70 | 0.69 | 0.78 | 0.63 | 0.73 | 0.64 | 0.77 |
| Algorithm | ellipsoid | flat | heart | long | obovoid | oxheart | round | ||||||||||||||
|---|---|---|---|---|---|---|---|---|---|---|---|---|---|---|---|---|---|---|---|---|---|
| Pr | Rec | F1 | Pr | Rec | F1 | Pr | Rec | F1 | Pr | Rec | F1 | Pr | Rec | F1 | Pr | Rec | F1 | Pr | Rec | F1 | |
| MLR | 0.77 | 0.86 | 0.81 | 0.77 | 1.00 | 0.87 | 0.94 | 0.91 | 0.93 | 0.75 | 0.86 | 0.80 | 1.00 | 0.55 | 0.71 | 0.70 | 0.58 | 0.64 | 0.86 | 0.67 | 0.75 |
| RF | 0.93 | 0.93 | 0.93 | 0.77 | 0.97 | 0.86 | 0.97 | 1.00 | 0.99 | 0.67 | 0.86 | 0.75 | 1.00 | 0.65 | 0.79 | 0.90 | 0.75 | 0.82 | 0.83 | 0.56 | 0.67 |
| SVM | 1.00 | 0.86 | 0.92 | 0.79 | 1.00 | 0.88 | 0.95 | 1.00 | 0.97 | 0.58 | 1.00 | 0.74 | 1.00 | 0.65 | 0.79 | 0.73 | 0.67 | 0.70 | 1.00 | 0.56 | 0.71 |
Disclaimer/Publisher’s Note: The statements, opinions and data contained in all publications are solely those of the individual author(s) and contributor(s) and not of MDPI and/or the editor(s). MDPI and/or the editor(s) disclaim responsibility for any injury to people or property resulting from any ideas, methods, instructions or products referred to in the content. |
© 2024 by the authors. Licensee MDPI, Basel, Switzerland. This article is an open access article distributed under the terms and conditions of the Creative Commons Attribution (CC BY) license (https://creativecommons.org/licenses/by/4.0/).
Share and Cite
Vazquez, D.V.; Spetale, F.E.; Nankar, A.N.; Grozeva, S.; Rodríguez , G.R. Machine Learning-Based Tomato Fruit Shape Classification System. Plants 2024, 13, 2357. https://doi.org/10.3390/plants13172357
Vazquez DV, Spetale FE, Nankar AN, Grozeva S, Rodríguez GR. Machine Learning-Based Tomato Fruit Shape Classification System. Plants. 2024; 13(17):2357. https://doi.org/10.3390/plants13172357
Chicago/Turabian StyleVazquez, Dana V., Flavio E. Spetale, Amol N. Nankar, Stanislava Grozeva, and Gustavo R. Rodríguez . 2024. "Machine Learning-Based Tomato Fruit Shape Classification System" Plants 13, no. 17: 2357. https://doi.org/10.3390/plants13172357
APA StyleVazquez, D. V., Spetale, F. E., Nankar, A. N., Grozeva, S., & Rodríguez , G. R. (2024). Machine Learning-Based Tomato Fruit Shape Classification System. Plants, 13(17), 2357. https://doi.org/10.3390/plants13172357

