Regionwide and Nationwide Floristic Richness Reveal Vascular Plant Diversity in Central Asia
Abstract
1. Introduction
2. Materials and Methods
2.1. Data Compilation
2.2. Data Statistic Analysis
3. Results
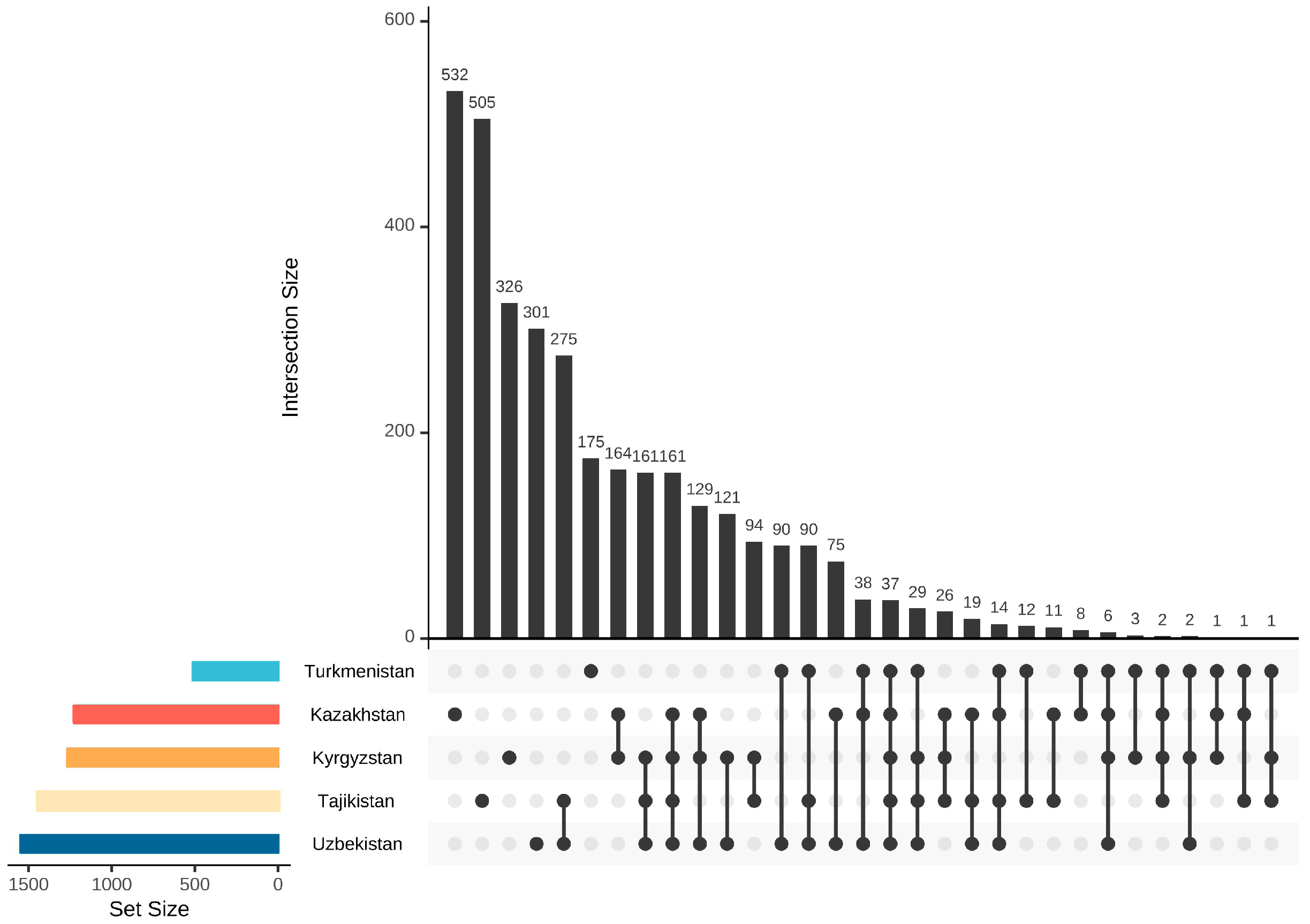
3.1. Regionwide Species Richness
3.2. Nationwide Species Richness
4. Discussion
Supplementary Materials
Author Contributions
Funding
Data Availability Statement
Acknowledgments
Conflicts of Interest
References
- Cowan, P.J. Geographic usage of the terms Middle Asia and Central Asia. J. Arid. Environ. 2007, 69, 359–363. [Google Scholar] [CrossRef]
- Zhiltsov, S.S.; Zhiltsova, M.S.; Medvedev, N.P.; Slizovskiy, D.Y. Water Resources of Central Asia: Historical Overview. In Water Resources in Central Asia: International Context; The Handbook of Environmental Chemistry; Zhiltsov, S.S., Zonn, I.S., Kostianoy, A.G., Semenov, A.V., Eds.; Springer: Cham, Switzerland, 2018; Volume 85. [Google Scholar]
- Jilili, A.; Ma, L. Overreview of Central Asian Environments; China Meteorological Press: Beijing, China, 2015. [Google Scholar]
- Li, W.J.; Tojibaev, K.S.; Hisoriev, H.; Shomurodov, K.F.; Luo, M.F.; Feng, Y.; Ma, K.P. Mapping Asia Plants: Current status of floristic information for Central Asian. Glob. Ecol. Conserv. 2020, 24, e01220. [Google Scholar] [CrossRef]
- Ma, X.; Zhu, J.; Yan, W.; Zhao, C.Y. Projections of desertification trends in Central Asia under global warming scenarios. Sci. Total Environ. 2021, 781, 146777. [Google Scholar] [CrossRef] [PubMed]
- Chen, Y.; Li, W.; Deng, H.; Fang, G.; Li, Z. Changes in Central Asia’s Water Tower: Past, Present and Future. Sci. Rep. 2016, 6, 35458. [Google Scholar] [CrossRef] [PubMed]
- Hu, Z.; Zhou, Q.; Chen, X.; Li, J. Evaluation of three global gridded precipitation data sets in central Asia based on rain gauge observations. Int. J. Climatol. 2018, 38, 3475–3493. [Google Scholar] [CrossRef]
- Liu, H.; Chen, Y.; Ye, Z.; Li, Y.; Zhang, Y. Recent Lake Area Changes in Central Asia. Sci. Rep. 2019, 9, 16277. [Google Scholar] [CrossRef] [PubMed]
- Manafzadeh, S.; Staedler, Y.M.; Conti, E. Visions of the past and dreams of the future in the Orient: The Irano-Turanian region from classical botany to evolutionary studies. Biol. Rev. 2017, 92, 1365–1388. [Google Scholar] [CrossRef] [PubMed]
- Myers, N.; Mittermeier, R.A.; Mittermeier, C.G.; Da Fonseca, G.A.B.; Kent, J. Biodiversity hotspots for conservation priorities. Nature 2000, 403, 853–858. [Google Scholar] [CrossRef] [PubMed]
- Mittermeier, R.A.; Turner, W.R.; Larsen, F.W.; Brooks, T.M.; Gascon, C. Global Biodiversity Conservation: The Critical Role of Hotspots. In Biodiversity Hotspots; Zachos, F., Habel, J., Eds.; Springer: Berlin/Heidelberg, Germany, 2011. [Google Scholar]
- Kamelin, R.V. Florogenetic Analysis of the Native Flora of Mountainous Middle Asia; Nauka Press: Leningrad, Russia, 1973. [Google Scholar]
- Sennikov, A.N.; Tojibaev, K.S. (Eds.) Checklist of Vascular Plants of the Tian-Shan Mountain System; Korea National Arboretum: Pocheon, Republic of Korea, 2021. [Google Scholar]
- Pan, B.R. Flora of Vascular Plants in Tian-Shan; Southeast University Press: Nanjing, China, 2021. (In Chinese) [Google Scholar]
- Shamsutdinov, N.Z.; Shamsutdinova, E.Z.; Orlovsky, N.S.; Shamsutdinov, N.S. Halophytes: Ecological features, global resources, and outlook for multipurpose use. Her. Russ. Acad. Sci 2017, 87, 1–11. [Google Scholar] [CrossRef]
- Zhang, Y.M.; Li, Y.M.; Shen, G.M.; Olonova, M.; Zhang, D.Y. Plant Resources and Utilization in Central Asia; China Meteorological Press: Beijing, China, 2013. (In Chinese) [Google Scholar]
- Zhang, Y.M.; Zhang, D.Y.; Li, W.J.; Li, Y.M.; Zhang, C.; Guan, K.Y.; Pan, B.R. Characteristics and utilization of plant diversity and resources in Central Asia. Reg. Sustain. 2020, 1, 1–10. [Google Scholar]
- Korovin, E.P. Vegetation of Middle Asia and Southern Kazakhstan; Tashkent State University Press: Tashkent, Uzbekistan, 1962. (In Russian) [Google Scholar]
- Frodin, D. Guide to Standard Floras of the World, 2nd ed.; Cambridge University Press: New York, NY, USA, 2001. [Google Scholar]
- Kamelin, R.V. Flora and Vegetation of the Varzob River Ravine; Nauka Press: Leningrad, Russia, 1971. [Google Scholar]
- Nikitin, V.G.; Geldykhanov, A.M. Manual of Vascular Plants of Turkmenistan; Science Publishers: Leningrad, Russia, 1988. [Google Scholar]
- Popov, M.G. Basic traits of the history of development of the flora of Middle Asia. Bull. Middle Asian State Univ. 1927, 15, 239–292. (In Russian) [Google Scholar]
- Khassanov, F.O. Conspectus Florae Asiae Mediae 11; Science Publishers: Tashkent, Uzbekistan, 2015. [Google Scholar]
- Ma, K.P. Mapping Asia Plants: A cyberinfrastructure for plant diversity in Asia. Biodivers. Sci. 2017, 25, 5–10. (In Chinese) [Google Scholar] [CrossRef][Green Version]
- Pavlov, N.V. Flora Kazakhstana 1–9; An Kazakhsk SSR Press: Alma-Ata, Kazakhstan, 1956–1966. [Google Scholar]
- Shishkin, B.K.; Vvedensky, A.Z. Flora Kirgizskoj SSR 1–11; An Kirgizskoj SSSR: Bishkek, Kyrgyzstan, 1950–1962. [Google Scholar]
- Ovchinnikov, P.N. Flora of the Tajik SSR 1–10; Academy of Sciences of the USSR: Moscow/Leningrad, Russia, 1957–1991. [Google Scholar]
- Fedtscihenko, B.A.; Popov, M.G.; Shishkin, B.K. Flora Turkmenii, 1; An SSSR: Leningrad, Russia, 1932. [Google Scholar]
- Fedtscihenko, B.A.; Popov, M.G.; Shishkin, B.K. Flora Turkmenii, 27; Gosizdat: Askhabad, Turkmenistan, 1937. [Google Scholar]
- Fedtscihenko, B.A.; Popov, M.G.; Shishkin, B.K. Flora Turkmenii, 3–7; An SSSR: Turkmensk, 1948–1960. [Google Scholar]
- Schreder, R.R.; Vvedenskyi, A.I. Flora Uzbekistanica 1–6; Fan Press: Tashkent, Uzbekistan, 1941–1962. [Google Scholar]
- Abdulina, S.A. Checklist of Vascular Plants of Kazakhstan; Academy of Sciences of Kazakhstan: Almaty, Kazakhstan, 1999. [Google Scholar]
- Lazkov, G.A.; Sultanova, B.A. Checklist of Vascular Plants of Kyrgyzstan; United Nations Development Programme: Bishkek, Kyrgyzstan, 2014. (In Russian) [Google Scholar]
- Turginov, O. Endemic species flora of Uzbekistan. In Proceedings of the International Conference on Plant Biology and Biotechnology (ICPBB 2024): Genetic Resources and Biodiversity (pp. 21), Almaty, Kazakhstan, 3–6 June 2024; Turuspekov, Y., Abugalieva, S., Eds.; Institute of Plant Biology and Biotechnology: Almaty, Kazakhstan, 2024. [Google Scholar]
- Sennikov, A.N.; Tojibaev, K.S.; Khassanov, F.O. The Flora of Uzbekistan project. Phytotaxa 2016, 282, 107–118. [Google Scholar] [CrossRef]
- German, D.A.; Madaminov, F.M.; Beshko, N.Y. A new, highly endangered and restricted-range species of Parrya sect. Pseudoclausia, comb. nov. (Brassicaceae) from Western Tian Shan, Uzbekistan. Phytotaxa 2024, 633, 145–154. [Google Scholar] [CrossRef]
- Sennikov, A.N. (Ed.) Flora of Uzbekistan 1; Navro’z Press: Tashkent, Uzbekistan, 2016. (In Russian) [Google Scholar]
- Sennikov, A.N. (Ed.) Flora of Uzbekistan 2; Navro’z Press: Tashkent, Uzbekistan, 2017. (In Russian) [Google Scholar]
- Sennikov, A.N. (Ed.) Flora of Uzbekistan 3; Ma’naviat Press: Tashkent, Uzbekistan, 2019. (In Russian) [Google Scholar]
- Sennikov, A.N. (Ed.) Flora of Uzbekistan 4; AS RUz “Fan” Press: Tashkent, Uzbekistan, 2022. (In Russian) [Google Scholar]
- Sennikov, A.N. (Ed.) Flora of Uzbekistan 5; AS RUz “Fan” Press: Tashkent, Uzbekistan, 2022. (In Russian) [Google Scholar]
- Sennikov, A.N. (Ed.) Flora of Uzbekistan 6; Ma’naviat Press: Tashkent, Uzbekistan, 2023. (In Russian) [Google Scholar]
- Nowak, A.; Nowak, S.; Nobis, M. Distribution patterns, ecological characteristic and conservation status of endemic plants of Tadzhikistan—A global hotspot of diversity. J. Nat. Conserv. 2011, 19, 296–305. [Google Scholar] [CrossRef]
- Nowak, A.; Świerszcz, S.; Nowak, S.; Hisorev, H.; Klichowska, E.; Wróbel, A.; Nobis, A.; Nobis, M. Red List of vascular plants of Tajikistan—The core area of the Mountains of Central Asia global biodiversity hotspot. Sci. Rep. 2020, 10, 6235. [Google Scholar] [CrossRef] [PubMed]
- Nobis, M.; Gudkova, P.D.; Nowak, A.; Sawicki, J.; Nobis, A. A synopsis of the genus Stipa (Poaceae) in middle Asia, including a key to species identification, an annotated checklist, and phytogeographic analyses. Ann. Mo. Bot. Gard. 2020, 105, 1–63. [Google Scholar] [CrossRef]
- Nobis, M.; Klichowska, E.; Vintsek, L.; Wróbel, A.; Nobis, A.; Zalewska-Gałosz, J.; Nowak, A. Evolutionary response of cold-adapted chasmophytic plants to Quaternary climatic oscillations in the Mountains of Central Asia (a world hotspot of biodiversity). Divers. Distrib. 2022, 29, 1458–1477. [Google Scholar] [CrossRef]
- PPG I. A community-derived classification for extant lycophytes and ferns. J. Syst. Evol. 2016, 54, 563–603. [Google Scholar] [CrossRef]
- Christenhusz, M.J.M.; Reveal, J.L.; Farjon, A.; Gardner, M.F.; Mill, R.R.; Chase, M.W. A new classification and linear sequence of extant gymnosperms. Phytotaxa 2011, 19, 55–70. [Google Scholar] [CrossRef]
- APG IV. An update of the Angiosperm Phylogeny Group classification for the orders and families of flowering plants: APG IV. Bot. J. Linn. Soc. 2016, 181, 1–20. [Google Scholar]
- Thiers, B. Index Herbariorum: A Global Directory of Public Herbaria and Associated Staff; New York Botanical Garden’s Virtual Herbarium: New York, NY, USA, 2024. [Google Scholar]
- Yang, M.; Chen, T.; Liu, Y.X.; Huang, L. Visualizing set relationships: EVenn’s comprehensive approach to Venn diagrams. iMeta 2024, 3, e184. [Google Scholar] [CrossRef] [PubMed]
- Sennikov, A.N.; Lazkov, G.A. Alien Plants of Kyrgyzstan: The First Complete Inventory, Distributions and Main Patterns. Plants 2024, 13, 286. [Google Scholar] [CrossRef] [PubMed]
- Wang, S.Q.; Dong, X.Y.; Ye, L.; Wang, H.F.; Ma, K.P. Flora of Northeast Asia. Plants 2023, 12, 2240. [Google Scholar] [CrossRef] [PubMed]
- Yang, L.; Hisoriev, H.; Kurbonova, P.; Boboev, M.; Bobokalonov, K.; Feng, Y.; Li, W.J. High genetic diversity and low differentiation of endangered Ferula tadshikorum Pimenov in Tajikistan. Glob. Ecol. Conserv. 2021, 28, e01627. [Google Scholar] [CrossRef]
- Tojibaev, K.S.; Dekhkonov, D.; Ergashov, I.; Sun, H.; Deng, T.; Yusupov, Z. The synopsis of the genus Tulipa (Liliaceae) in Uzbekistan. Phytotaxa 2022, 573, 163–214. [Google Scholar] [CrossRef]
- Makhmudjanov, D.; Volis, S.; Yusupov, Z.; Juramurodov, I.; Tojibaev, K.S.; Deng, T.; Sun, H. Central Asia revealed as a key area in evolution of Eremurus (Asphodelaceae). Plant Divers. 2024, 46, 333–343. [Google Scholar] [CrossRef] [PubMed]
- Sennikov, A.N.; Khassanov, F.O.; Ortikov, E.; Kurbonaliyeva, M.; Tojibaev, K.S. The genus Iris, L. s.l. (Iridaceae) in the Mountains of Central Asia biodiversity hotspot. Plant Divers. Cent. Asia 2023, 2, 1–104. [Google Scholar]
- Tian, Z.; Song, H.; Wang, Y.; Li, J.; Maimaiti, M.; Liu, Z.; Zhang, H.X.; Zhang, J. Wild Apples Are Not That Wild: Conservation Status and Potential Threats of Malus sieversii in the Mountains of Central Asia Biodiversity Hotspot. Diversity 2022, 14, 489. [Google Scholar] [CrossRef]
- Tayjanov, K.T.; Mamadalieva, N.Z.; Wink, M. Diversity of the Mountain Flora of Central Asia with Emphasis on Alkaloid-Producing Plants. Diversity 2017, 9, 11. [Google Scholar] [CrossRef]
- Woutersen, A.; Jardine, P.E.; Silvestro, D.; Bogotá-Angel, R.; Zhang, H.X. The evolutionary history of the Central Asian steppe-desert taxon Nitraria (Nitrariaceae) as revealed by integration of fossil pollen morphology and molecular data. Bot. J. Linn. Soc 2023, 202, 195–214. [Google Scholar] [CrossRef]
- Hobohm, C. Endemism in Vascular Plants; Springer Press: Dordrecht, The Netherlands, 2014. [Google Scholar]
- Milner-Gulland, E.J.; Kreuzberg-Mukhina, E.; Grebot, B.; Ling, S.; Bykova, E.; Abdusalamov, I.; Bekenov, A.; Gärdenfors, U.; Hilton-Taylor, C.; Salnikov, V.; et al. Application of IUCN Red Listing Criteria at the Regional and National Levels: A Case Study from Central Asia. Biodivers. Conserv. 2006, 15, 1873–1886. [Google Scholar] [CrossRef][Green Version]
- Ulloa Ulloa, C.; Acevedo-Rodríguez, P.; Beck, S.; Belgrano, M.J.; Bernal, R.; Berry, P.E.; Brako, L.; Celis, M.; Davidse, G.; Forzza, R.C.; et al. An integrated assessment of the vascular plant species of the Americas. Science 2017, 358, 1614–1617. [Google Scholar] [CrossRef] [PubMed]
- Kougioumoutzis, K.; Kokkoris, I.P.; Panitsa, M.; Kallimanis, A.; Strid, A.; Dimopoulos, P. Plant Endemism Centres and Biodiversity Hotspots in Greece. Biology 2021, 10, 72. [Google Scholar] [CrossRef] [PubMed]
- Anderson, S. Identifying Important Plant Areas: A Site Selection Manual for Europe, and a Basis for Developing Guidelines for Other Regions of the World; Plantlife International: London, UK, 2002. [Google Scholar]
- Nazarov, R.A.; Abduraupov, T.V.; Shepelya, E.Y.; Gritsina, M.A.; Melnikov, D.A.; Buehler, M.D.; Lapin, J.D.; Poyarkov, N.A.; Grismer, J.L. The Fergana Valley Is an Isolate of Biodiversity: A Discussion of the Endemic Herpetofauna and Description of Two New Species of Alsophylax (Sauria: Gekkonidae) from Eastern Uzbekistan. Animals 2023, 13, 2516. [Google Scholar] [CrossRef] [PubMed]
- Tojibaev, K.S.; Karimov, F.I.; Hoshimov, H.R.; Jang, C.G.; Na, N.R.; Park, M.S.; Chang, K.S.; Gil, H.Y.; Baasanmunkh, S.; Choi, H.J. Important plant areas (IPAs) in the Fergana Valley (Central Asia): The badlands of the northern foothills. Nat. Conserv. 2022, 49, 1–30. [Google Scholar] [CrossRef]
- Tojibaev, K.S.; Karimov, F.I.; Hoshimov, H.R.; Gulomov, R.; Lazkov, G.A.; Jang, C.G.; Gil, H.Y.; Jang, J.E.; Batoshov, A.R.; Iskandarov, A.; et al. Important plant areas (IPAs) in the Fergana Valley (Central Asia): The Bozbu-Too-Ungortepa massif. Nat. Conserv. 2023, 51, 13–70. [Google Scholar] [CrossRef]
- Huang, J.H.; Chen, J.H.; Ying, J.S.; Ma, K.P. Features and distribution patterns of Chinese endemic seed plant species. J. Syst. Evol. 2011, 49, 81–94. [Google Scholar] [CrossRef]
- Kamelin, R.V.; Budantsev, A.L. Plant World. In Great Russian Encyclopedia; Electronic Version; 2019. [Google Scholar]
- Baasanmunkh, S.; Urgamal, M.; Oyuntsetseg, B.; Sukhorukov, A.P.; Tsegmed, Z.; Son, D.C.; Erst, A.; Oyundelger, K.; Kechaykin, A.A.; Norris, J.; et al. Flora of Mongolia: Annotated checklist of native vascular plants. PhytoKeys 2022, 192, 63–169. [Google Scholar] [CrossRef] [PubMed]
- Kubentayev, S.A.; Alibekov, D.T.; Perezhogin, Y.V.; Lazkov, G.A.; Kupriyanov, A.N.; Ebel, A.L.; Izbastina, K.S.; Borodulina, O.V.; Kubentayeva, B.B. Revised checklist of endemic vascular plants of Kazakhstan. PhytoKeys 2024, 238, 241–279. [Google Scholar] [CrossRef] [PubMed]
- Wilson, B.; Dolotbakov, A.; Burgess, B.J.; Clubbe, C.; Lazkov, G.; Shalpykov, K.; Ganybaeva, M.; Sultangaziev, O.; Brockington, S.F. Central Asian wild tulip conservation requires a regional approach, especially in the face of climate change. Biodivers. Conserv. 2021, 30, 1705–1730. [Google Scholar] [CrossRef]
- Dekhkonov, D.B.; Asatulloev, T.; Tojiboeva, U.K.; Sari, I.; Tojibaev, K.S. Suitable habitat prediction with a huge set of variables on some Central Asian tulips. J. Asia-Pac. Biodivers. 2023, 16, 75–82. [Google Scholar]
- Volis, S. Conservation of Central Asian plant biodiversity. Plant Divers. Cent. Asia 2023, 2, 6–39. [Google Scholar] [CrossRef]
- Fan, P.F.; Yang, L.; Liu, Y.; Lee, T.M. Build up conservation research capacity in China for biodiversity governance. Nat. Ecol. Evol. 2020, 4, 1162–1167. [Google Scholar] [CrossRef] [PubMed]
- Chen, Y.H.; Li, Y.; Dong, Y.R.; Zhang, M.; Yang, Y.; Primack, R.B.; Barry, K.E.; Mao, L.F. More than just pandas: Urgent research needed on China’s native plant biodiversity. Biol. Conserv. 2024, 289, 110388. [Google Scholar] [CrossRef]
- Asatulloev, T.; Dekhkonov, D.; Yusupov, Z.; Tojiboeva, U.; Cai, L.; Tojibaev, K.; Sun, W. Ecoregional and Phytogeographical Insights into the Distribution of Tulipa in the ‘Nature Imperiled’ Area of Central Asia for Effective Conservation. Diversity 2023, 15, 1195. [Google Scholar] [CrossRef]






| Kazakhstan | Kyrgyzstan | Tajikistan | Turkmenistan | Uzbekistan | |
|---|---|---|---|---|---|
| Kazakhstan | 5695 | 2906 | 2403 | 1622 | 2591 |
| Kyrgyzstan | 0.402734 | 4036 | 2613 | 1314 | 2492 |
| Tajikistan | 0.530527 | 0.390767 | 4542 | 1757 | 2976 |
| Turkmenistan | 0.627126 | 0.626758 | 0.534385 | 3005 | 1964 |
| Uzbekistan | 0.477463 | 0.396464 | 0.320858 | 0.456483 | 4222 |
Disclaimer/Publisher’s Note: The statements, opinions and data contained in all publications are solely those of the individual author(s) and contributor(s) and not of MDPI and/or the editor(s). MDPI and/or the editor(s) disclaim responsibility for any injury to people or property resulting from any ideas, methods, instructions or products referred to in the content. |
© 2024 by the authors. Licensee MDPI, Basel, Switzerland. This article is an open access article distributed under the terms and conditions of the Creative Commons Attribution (CC BY) license (https://creativecommons.org/licenses/by/4.0/).
Share and Cite
Ma, S.; Li, W.; Tojibaev, K.S.; Turginov, O.; Yang, W.; Ma, K. Regionwide and Nationwide Floristic Richness Reveal Vascular Plant Diversity in Central Asia. Plants 2024, 13, 2275. https://doi.org/10.3390/plants13162275
Ma S, Li W, Tojibaev KS, Turginov O, Yang W, Ma K. Regionwide and Nationwide Floristic Richness Reveal Vascular Plant Diversity in Central Asia. Plants. 2024; 13(16):2275. https://doi.org/10.3390/plants13162275
Chicago/Turabian StyleMa, Suliya, Wenjun Li, Komiljon Sh. Tojibaev, Orzimat Turginov, Weikang Yang, and Keping Ma. 2024. "Regionwide and Nationwide Floristic Richness Reveal Vascular Plant Diversity in Central Asia" Plants 13, no. 16: 2275. https://doi.org/10.3390/plants13162275
APA StyleMa, S., Li, W., Tojibaev, K. S., Turginov, O., Yang, W., & Ma, K. (2024). Regionwide and Nationwide Floristic Richness Reveal Vascular Plant Diversity in Central Asia. Plants, 13(16), 2275. https://doi.org/10.3390/plants13162275

