Influence of Fruit Load Regulation on Harvest and Postharvest Fruit Quality and Antioxidant-Related Parameters in Sweet Cherry (Prunus avium L.) cv. Regina Cultivated under Plastic Covers in Southern Chile
Abstract
1. Introduction
2. Results
2.1. Yield and Fruit Physical Quality Analysis at Harvest
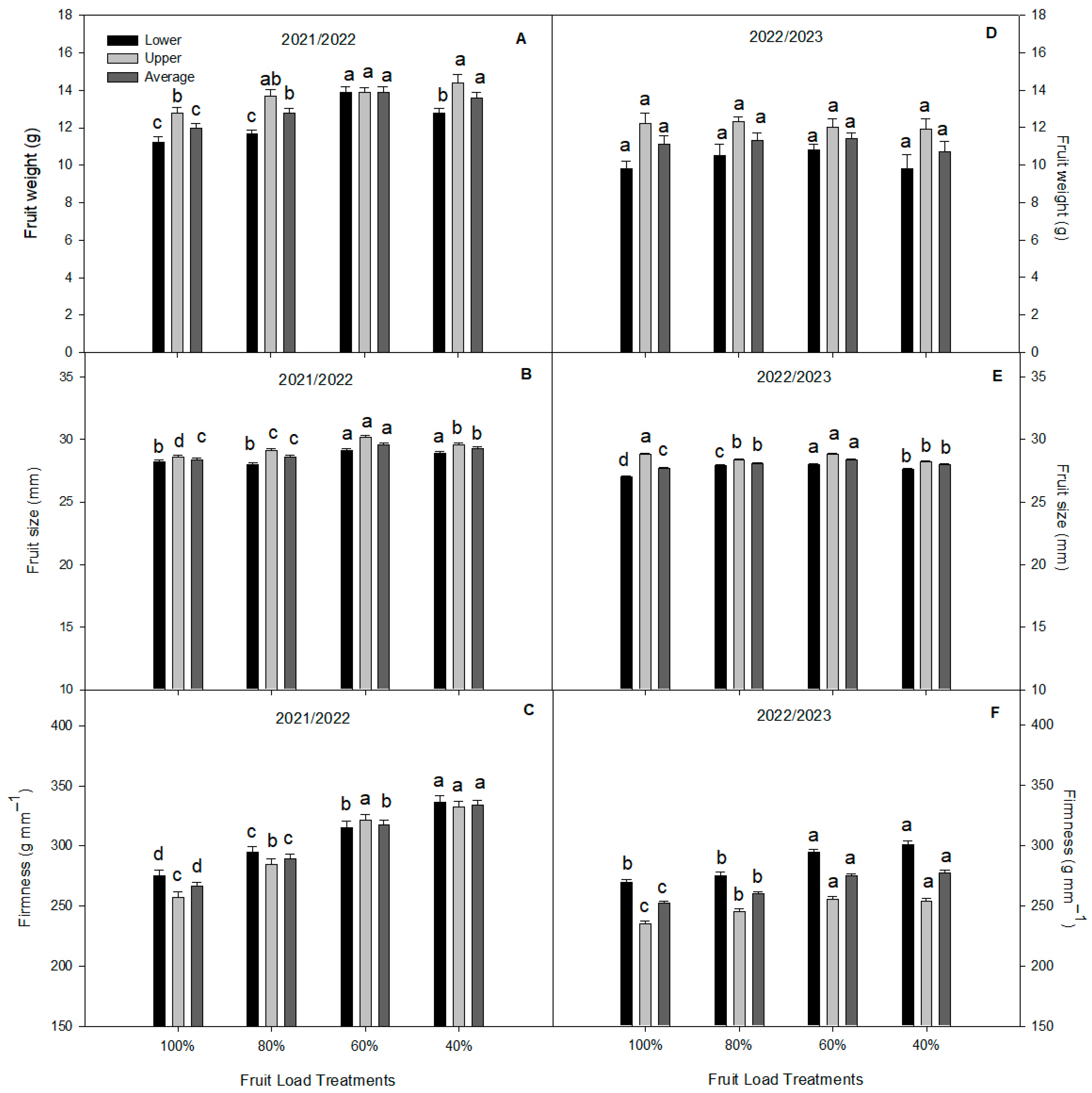
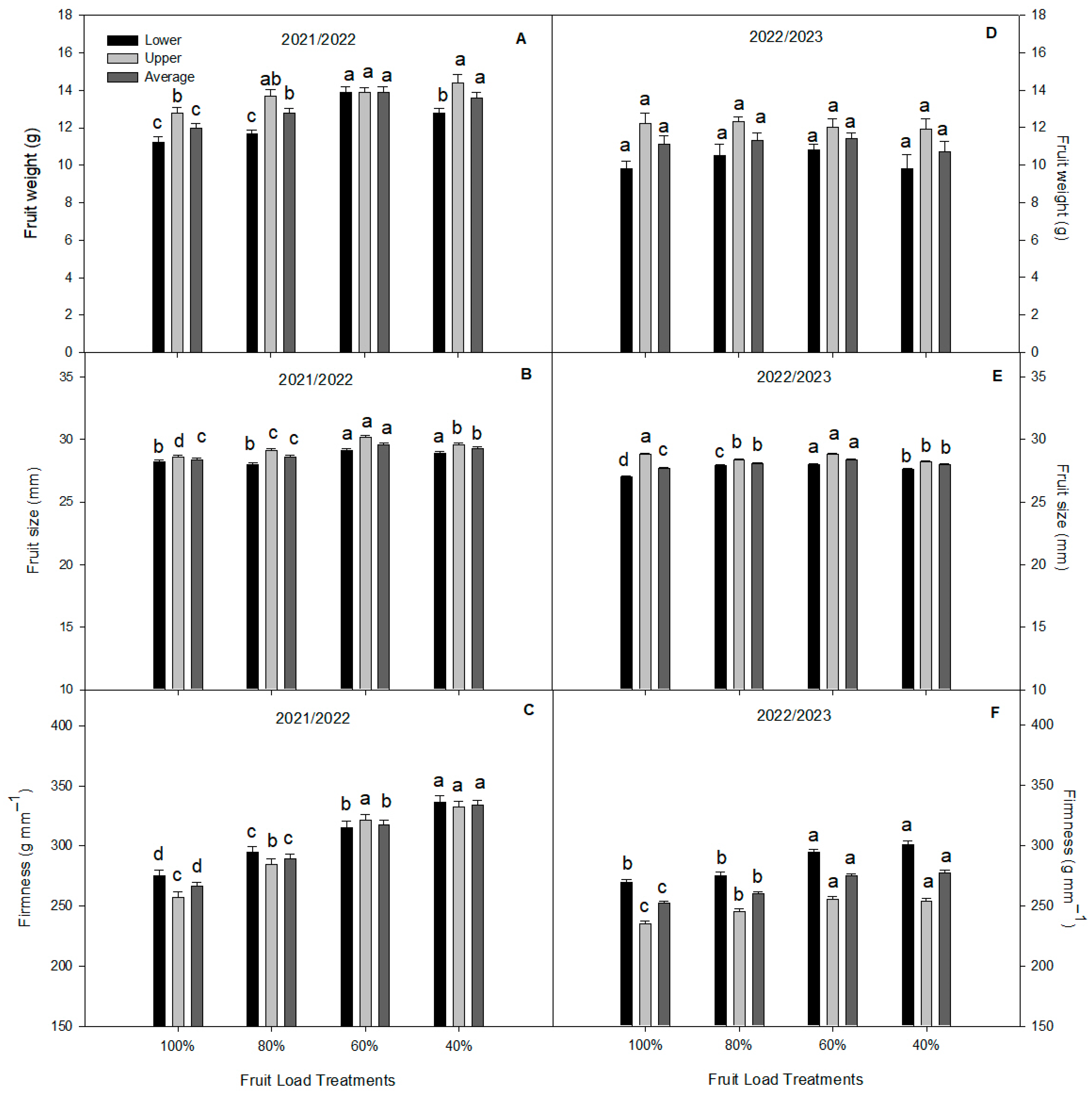
2.1.1. Fruit Size at Harvest
2.1.2. Fruit Color Distribution at Harvest
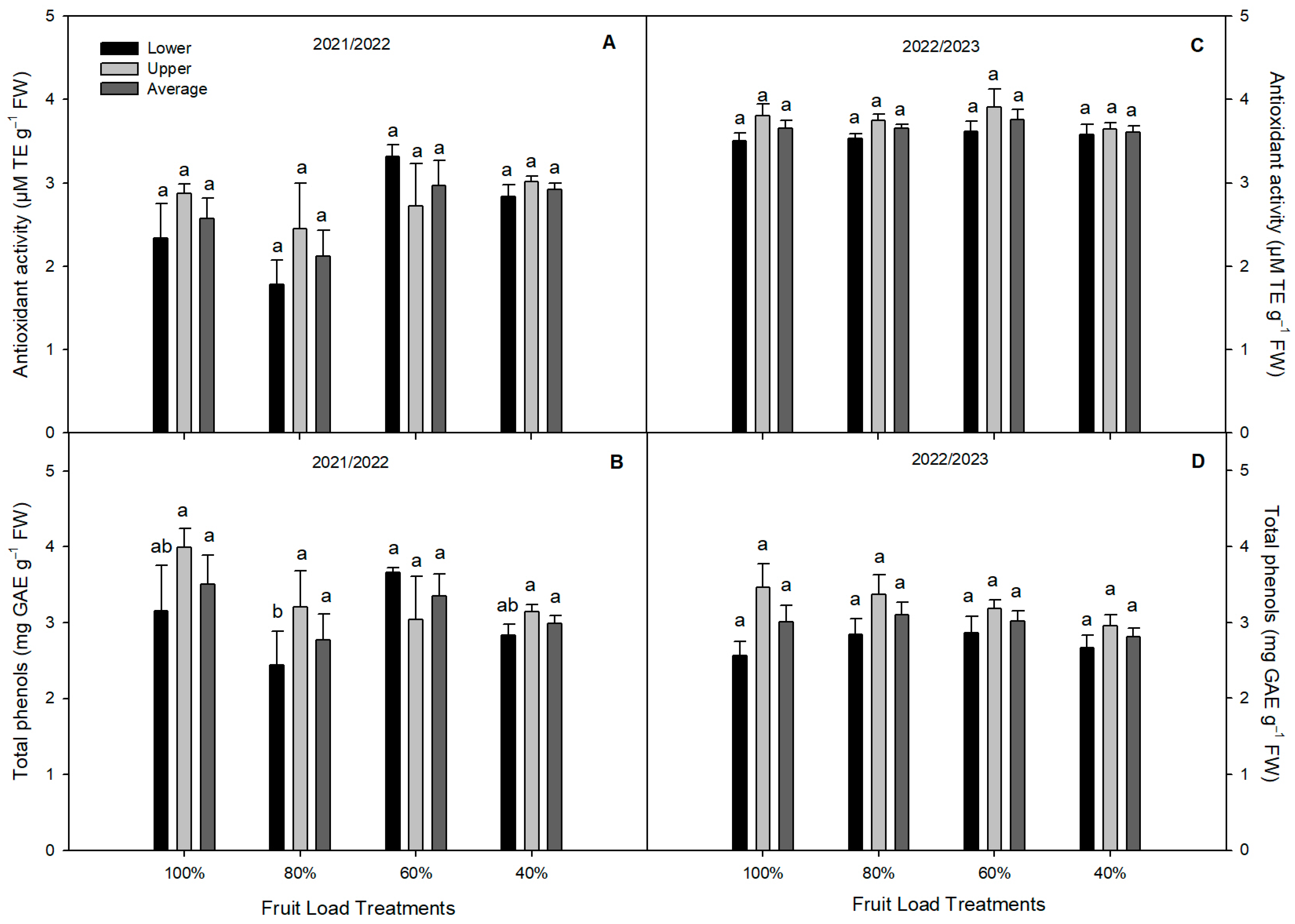
2.1.3. Chemical Analysis and Antioxidant-Related Parameters at Harvest
2.2. Postharvest Fruit Quality and Disorders
3. Discussion
4. Materials and Methods
4.1. Experimental Site and Plant Material
4.2. Treatments
4.3. Yield and Fruit Quality Analysis
4.4. Analysis of Antioxidant-Related Parameters
4.5. Experimental Design and Statistical Analysis
5. Conclusions
Author Contributions
Funding
Data Availability Statement
Acknowledgments
Conflicts of Interest
References
- Leong, S.Y.; Burrit, D.; Hocquel, A.; Penberthy, A.; Oey, I. The relationship between the anthocyanin and vitamin C contents of red-fleshed sweet cherries and the ability of fruit digests to reduce hydrogen peroxide-induced oxidative stress in Caco-2 cells. Food Chem. 2017, 227, 404–412. [Google Scholar] [CrossRef] [PubMed]
 - Aubert, C.; Bulver, F.; Chalot, G.; Mathieu-Hurtiger, V. Effects of hot water treatments on the main physicochemical characteristics and the levels of vitamin C and polyphenols of two sweet cherry cultivars (Prunus avium L.) during cold storage and shelf-life. Eur. Food Res. Technol. 2024, 250, 1641–1651. [Google Scholar] [CrossRef]
 - Salvadores, Y.; Bastías, R. Environmental factors and physiological responses of sweet cherry production under protective cover systems: A review. Chil. J. Agric. Res. 2023, 83, 484–498. [Google Scholar] [CrossRef]
 - Yuri, J.A.; Simeone, D.; Fuentes, M.; Sepúlveda, Á.; Palma, M.; Moya, M.; Sánchez-Contreras, J. Reduced Root Volume at Establishment, Canopy Growth and Fruit Production in ‘Lapins’/‘Colt’ and ‘Regina’/‘Gisela 12’ Sweet Cherry Trees. Horticulturae 2024, 10, 579. [Google Scholar] [CrossRef]
 - FAOSTAT. Statistical Databases on Global Food Production and Trade. Food and Agriculture Organization, 2024. Available online: https://www.fao.org/faostat/en/#home (accessed on 1 July 2024).
 - ODEPA. Boletín de Fruta; Oficina de Estudios y Políticas Agrarias: Santiago, Chile, 2024; Available online: https://opia.fia.cl/601/w3-article-125363.html (accessed on 5 March 2024).
 - Bustamante, M.; Muñoz, A.; Romero, I.; Osorio, P.; Mánquez, S.; Arriola, R.; Reyes-Díaz, M.; Ribera-Fonseca, A. Impact of potassium pre-harvest applications on fruit quality and condition of sweet cherry (Prunus avium L.) cultivated under plastic covers in Southern Chile orchards. Plants 2021, 10, 2778. [Google Scholar] [CrossRef]
 - González-Villagra, J.; Chicahual, C.; Jorquera-Fontena, E.; Falquetto-Gomes, P.; Nunes-Nesi, A.; Reyes-Díaz, M. Salicylic Acid Improves Yield, Fruit Quality, and Post-Harvest Storage in Sweet Cherry (Prunus avium L.) cv. Lapins Subjected to Late-Deficit Irrigation. Horticulturae 2024, 10, 707. [Google Scholar] [CrossRef]
 - Rojas, G.; Fernandez, E.; Whitney, C.; Luedeling, E.; Cuneo, I.F. Adapting sweet cherry orchards to extreme weather events—Decision analysis in support of farmers’ investments in Central Chile. Agric. Syst. 2021, 187, 103031. [Google Scholar] [CrossRef]
 - Palma, M.; Sepulveda, A.; Yuri, J.A. Effect of plastic roof and high tunnel on microclimate, physiology, vegetative growth, and fruit characetistics of Santina sweet cherry. Sci. Hortic. 2023, 317, 112037. [Google Scholar] [CrossRef]
 - Blanco, V.; Zoffoli, J.P.; Ayala, M. High tunnel cultivation of sweet cherry (Prunus avium L.): Physiologicaland production variables. Sci. Hortic. 2019, 251, 108–117. [Google Scholar] [CrossRef]
 - Blanco, V.; Zoffoli, J.P.; Ayala, M. Influence of high tunnel microclimate on fruit quality and calcium concentration in ‘Santina’ sweet cherries in a Mediterranean Climate. Agronomy 2021, 11, 1186. [Google Scholar] [CrossRef]
 - Pino, S.; Palma, M.; Sepúlveda, Á.; Sánchez-Contreras, J.; Moya, M.; Yuri, J.A. Effect of rain cover on tree physiology and fruit condition and quality of ‘Rainier’, ‘Bing’ and ‘Sweetheart’ sweet cherry trees. Horticulturae 2023, 9, 109. [Google Scholar] [CrossRef]
 - Walberg, B.N.; Sagredo, K.X. Vegetative and reproductive development of Lapins sweet cherry trees under rain protective covering. Acta Hortic. 2014, 1058, 411–417. [Google Scholar] [CrossRef]
 - Mika, A.; Buler, Z.; Wojcik, K.; Konopacka, D. Influence of the plastic cover on the protection of sweet cherry fruit against cracking, on the microclimate under cover and fruit quality. J. Hortic. Res. 2019, 27, 31–38. [Google Scholar] [CrossRef]
 - Palacios-Peralta, C.; Ruiz, A.; Ercoli, S.; Reyes-Díaz, M.; Bustamante, M.; Muñoz, A.; Osorio, P.; Ribera-Fonseca, A. Plastic Covers and Potassium Pre-Harvest Sprays and Their Influence on Antioxidant Properties, Phenolic Profile, and Organic Acids Composition of Sweet Cherry Fruits Cultivated in Southern Chile. Plants 2023, 12, 50. [Google Scholar] [CrossRef] [PubMed]
 - Lang, G.A.; Ophardt, D. Intensive crop regulation strategies in sweet cherries. Acta Hortic. 2000, 514, 227–234. [Google Scholar] [CrossRef]
 - Von Bennewitz, E.; Sanhueza, S.; Elorriaga, A. Effect of different crop load management strategies on fruit production and quality of sweet cherries (Prunus avium L.) Lapins in Central Chile. J. Fruit Ornam. Plant Res. 2010, 18, 51–57. [Google Scholar]
 - Dussi, M.C.; Giardina, G.; Reeb, P. Shade nets effect on canopy light distribution and quality of fruit and spur leaf on apples cv. ‘Fuji’. Span. J. Agric. Res. 2005, 3, 253–260. [Google Scholar] [CrossRef]
 - Whiting, M.D.; Ophardt, D.; McFerson, J.R. Chemical blossom thinners vary in their effect on sweet cherry fruit set, yield, fruit quality, and crop value. HortTechnology 2006, 16, 66–70. [Google Scholar] [CrossRef]
 - Costa, G.; Blanke, M.; Widmer, A. Principles of thinning in fruit tree crops-needs and novelties. Acta Hortic. 2013, 998, 17–26. [Google Scholar] [CrossRef]
 - Blanco, V.; Blaya-Ros, P.J.; Torres-Sánchez, R.; Domingo, R. Irrigation and crop load management lessen rain-induced cherry cracking. Plants 2022, 11, 3249. [Google Scholar] [CrossRef]
 - Matteo, M.; Zoffoli, J.P.; Ayala, M. Calcium sprays and crop load reduction increase fruit quality and postharvest storage in sweet cherry (Prunus avium L.). Agronomy 2022, 12, 829. [Google Scholar] [CrossRef]
 - Kurlus, R.; Rutkowski, K.; Łysiak, G.P. Improving of Cherry Fruit Quality and Bearing Regularity by Chemical Thinning with Fertilizer. Agronomy 2020, 10, 1281. [Google Scholar] [CrossRef]
 - Usenik, V.; Orazem, P.; Stampar, F. Low leaf to fruit ratio delays fruit maturity of Lapins sweet cherry on Gisela 5. Sci. Hortic. 2010, 126, 33–36. [Google Scholar] [CrossRef]
 - Villavicencio, J.D.; Zoffoli, J.P.; Plotto, A.; Contreras, C. Aroma Compounds Are Responsible for an Herbaceous Off-Flavor in the Sweet Cherry (Prunus avium L.) cv. Regina during Fruit Development. Agronomy 2021, 11, 2020. [Google Scholar] [CrossRef]
 - Villavicencio, J.D.; Tobar, J.; O’Brien, J.A.; Contreras, C. Identification, characterization, and expression of lipoxygenase genes in sweet cherry (Prunus avium L.) cv. Regina and their relationship with the development of an herbaceous off-flavor during fruit ripening. Plant Physiol. Biochem. 2024, 206, 108271. [Google Scholar] [CrossRef] [PubMed]
 - Zadravec, P.; Usenik, V.; Stampar, F. Influence of rain protective tree covering on sweet cherry fruit quality. Eur. J. Hortic. Sci. 2009, 74, 49–53. [Google Scholar]
 - Borve, J.; Kaar, E.; Sekse, L.; Meland, M.; Vangdal, E. Rain Protective Covering of Sweet Cherry Trees—Effects of Different Covering Methods on Fruit Quality and Microclimate. HortTechnology 2003, 13, 143–148. [Google Scholar] [CrossRef]
 - Marsal, J.; Lopez, G.; del Campo, J.; Mata, M.; Arbones, A.; Girona, J. Postharvest regulated deficit irrigation in ‘Summit’ sweet cherry: Fruit yield and quality in the following season. Irrig. Sci. 2010, 28, 181–189. [Google Scholar] [CrossRef]
 - Marsal, J.; Lopez, G.; Arbones, A.; Mata, M.; Vallverdu, X.; Girona, J. Influence of post-harvest deficit irrigation and pre-harvest fruit thinning on sweet cherry (cv. New Star) fruit firmness and quality. J. Hortic. Sci. Biotechnol. 2009, 84, 273–278. [Google Scholar] [CrossRef]
 - Hu, T.; Subbiah, V.; Wu, H.; Bk, A.; Rauf, A.; Alhumaydhi, F.A.; Suleria, H.A.R. Determination and Characterization of Phenolic Compounds from Australia-Grown Sweet Cherries (Prunus avium L.) and Their Potential Antioxidant Properties. ACS Omega 2021, 6, 34687–34699. [Google Scholar] [CrossRef] [PubMed]
 - Khalil, U.; Rajwana, I.; Razzaq, K.; Brecht, J.; Sarkhosh, A. The impact of fruit thinning on size and quality of fresh-market muscadine berries. J. Sci. Food Agric. 2024, 104, 2198–2203. [Google Scholar] [CrossRef] [PubMed]
 - Li, J.; Ma, T.; Bao, S.; Yin, D.; Ge, Q.; Li, C.; Fang, Y.; Sun, X. Suitable crop loading: An effective method to improved Shine Muscat grape quality. Food Chem. 2023, 424, 136451. [Google Scholar] [CrossRef] [PubMed]
 - Zoffoli, J.P.; Muñoz, S.; Valenzuela, L.; Reyes, M.; Barros, F. Manipulation of “Van” sweet cherry crop load influences fruit quality and susceptibility to impact bruising. Acta Hortic. 2008, 795, 877–882. [Google Scholar] [CrossRef]
 - Panzel, M.; Möhler, M.; Pflanz, M.; Zude-Sasse, M. Fruit quality response to varying leaf area to fruit ratio on girdled branches and whole trees of Bellise sweet cherry (Prunus avium L.). Acta Hortic. 2021, 1327, 707–714. [Google Scholar] [CrossRef]
 - Basile, B.; Brown, N.; Valdes, J.M.; Cardarelli, M.; Scognamiglio, P.; Mataffo, A.; Rouphael, Y.; Bonini, P.; Colla, G. Plant-based biostimulant as sustainable alternative to synthetic growth regulators in two sweet cherry cultivars. Plants 2021, 10, 619. [Google Scholar] [CrossRef] [PubMed]
 - Wang, Y.; Xie, X.; Long, L. The effect of postharvest calcium application in hydro-cooling water on tissue calcium content, biochemical changes, and quality attributes of sweet cherry fruit. Food Chem. 2014, 160, 22–30. [Google Scholar] [CrossRef] [PubMed]
 - Chinnici, F.; Bendini, A.; Gaiani, A.; Riponi, C. Radical scavenging activities of peels and pulps from cv. Golden Delicious apples as related to their phenolic composition. J. Agric. Food Chem. 2004, 52, 4684–4689. [Google Scholar] [CrossRef] [PubMed]
 - Singleton, V.L.; Rossi, J.A. Colorimetry of Total Phenolics with Phosphomolybdic-Phosphotungstic Acid Reagents. Am. J. Enol. Vitic. 1965, 16, 144–158. [Google Scholar] [CrossRef]
 



| Season | Canopy | Fruit Load | Fruit Size Distribution (%) | |||||
|---|---|---|---|---|---|---|---|---|
| Zone | Treatment | 24 mm | 26 mm | 28 mm | 30 mm | 32 mm | >32 mm | |
| 2021/2022 | Lower | 100% | 5 ± 2 a | 19 ± 3 a | 49 ± 5 a | 23 ± 5 c | n.d. | n.d. | 
| 80% | 2 ± 1 b | 15 ± 3 ab | 41 ± 5 a | 39 ± 6 b | n.d. | n.d. | ||
| 60% | 1 ± 0.3 b | 10 ± 2 c | 34 ± 4 b | 55 ± 7 a | n.d. | n.d. | ||
| 40% | 2 ± 1 b | 12 ± 2bc | 43 ± 5 a | 40 ± 6 b | n.d. | n.d. | ||
| p-value | 0.0064 | 0.0148 | 0.0085 | <0.0001 | --- | --- | ||
| Upper | 100% | 1 ± 0.1 a | 13 ± 5 a | 40 ± 6 a | 41 ± 10 b | n.d. | n.d. | |
| 80% | 3 ± 0.1 a | 10 ± 4 a | 42 ± 6 a | 40 ± 10 b | n.d. | n.d. | ||
| 60% | 1 ± 0.1 a | 6 ± 3 b | 23 ± 5 b | 67 ± 9 a | n.d. | n.d. | ||
| 40% | 2 ± 0.1 a | 6 ± 2 b | 27 ± 5 b | 64 ±10 a | n.d. | n.d. | ||
| p-value | 0.225 | 0.005 | 0.003 | <0.001 | --- | --- | ||
| Average | 100% | 3 ± 0.1 a | 17 ± 3 a | 45 ± 4 a | 32 ± 6 d | n.d. | n.d. | |
| 80% | 2 ± 0.1 ab | 13 ± 3 a | 42 ±4 a | 39 ± 6 c | n.d. | n.d. | ||
| 60% | 2 ± 0.1 ab | 8 ± 2 b | 28 ± 3 c | 61 ± 6 a | n.d. | n.d. | ||
| 40% | 1 ± 0.3 b | 9 ± 2 b | 35 ± 3 b | 51 ± 6 b | n.d. | n.d. | ||
| p-value | 0.0216 | <0.0001 | <0.0001 | <0.0001 | --- | --- | ||
| 2022/2023 | Lower | 100% | 7 ± 1 a | 20 ± 2 a | 42 ± 3 a | 25 ± 2 c | 4 ± 1 b | 0.48 ± 0.02 a | 
| 80% | 3 ± 1 bc | 13 ± 2 b | 31 ± 3 b | 38 ± 2 ab | 13 ± 3 a | 0.47 ± 0.02 a | ||
| 60% | 2 ± 1 c | 10 ± 1 c | 35 ± 3 b | 40 ± 2 a | 12 ± 2 a | 1 ± 0.3 a | ||
| 40% | 4 ± 1 ab | 18 ± 2 a | 31 ± 3 b | 34 ± 2 b | 11 ± 2 a | 1 ± 0.4 a | ||
| p-value | 0.0004 | <0.0001 | 0.0005 | <0.0001 | <0.0001 | 0.6991 | ||
| Upper | 100% | 2 ± 1 a | 4 ± 1 b | 25 ± 2 a | 43 ± 3 a | 21 ± 3 a | 3 ± 1 a | |
| 80% | 1 ± 0.4 a | 7 ± 2 b | 28 ± 2 a | 45 ± 2 a | 16 ± 2 b | 2 ± 1 a | ||
| 60% | 1 ± 0.1 a | 4 ± 1 b | 23 ± 2 a | 45 ± 2 a | 22 ± 3 a | 3 ±1 a | ||
| 40% | 3 ± 1 a | 11 ± 2 a | 26 ± 2 a | 42 ± 2 a | 16 ± 2 b | 1 ± 1 a | ||
| p-value | 0.2232 | 0.005 | 0.2563 | 0.5786 | 0.0141 | 0.1636 | ||
| Average | 100% | 5 ± 1 a | 14 ± 1 a | 35 ± 2 a | 32 ± 2 b | 12 ± 1 b | 2 ± 0.45 a | |
| 80% | 2 ± 0.1 bc | 11 ± 1 b | 30 ± 2 b | 41 ± 2 a | 15 ± 1 a | 1 ± 0.3 a | ||
| 60% | 2 ± 0.1 c | 8 ± 1 c | 30 ± 2 b | 42 ± 2 a | 16 ±1 a | 2 ± 0.45 a | ||
| 40% | 3 ± 1 bc | 14 ± 1 a | 28 ± 2 b | 39 ± 2 a | 14 ± 1 ab | 1 ± 0.3 a | ||
| p-value | 0.0001 | <0.0001 | 0.0042 | <0.0001 | 0.019 | 0.3929 | ||
| Season | Canopy | Fruit Load Treatment | Fruit Color Distribution (%) | ||||
|---|---|---|---|---|---|---|---|
| Zone | Red | Red Mahogany | Mahogany | Dark Mahogany | Black | ||
| 2021/2022 | Lower | 100% | n.d. | 32 ± 4 b | 68 ± 4 a | 0 ± 0 a | n.d. | 
| 80% | n.d. | 28 ± 4 b | 70 ± 4 a | 0 ± 0 a | n.d. | ||
| 60% | n.d. | 34 ± 3 b | 65 ± 4 a | 0 ± 0 a | n.d. | ||
| 40% | n.d. | 47 ± 3 a | 53 ± 4 b | 0 ± 0 a | n.d. | ||
| p-value | -- | 0.0005 | 0.0009 | n.s. | -- | ||
| Upper | 100% | n.d. | 27 ± 2 b | 73 ± 2 a | 0 ±0 a | n.d. | |
| 80% | n.d. | 22 ± 2 b | 78 ± 2 a | 0 ± 0 a | n.d. | ||
| 60% | n.d. | 37 ± 2 a | 62 ± 2 b | 0 ± 0 a | n.d. | ||
| 40% | n.d. | 40 ± 2 a | 60 ± 2 b | 0 ± 0 a | n.d. | ||
| p-value | -- | 0.0004 | 0.0004 | n.s. | -- | ||
| Average | 100% | n.d. | 30 ± 2 c | 70 ± 2 a | n.d. | n.d. | |
| 80% | n.d. | 25 ± 2 d | 74 ± 2 a | n.d. | n.d. | ||
| 60% | n.d. | 36 ± 2 b | 64 ± 2 b | n.d. | n.d. | ||
| 40% | n.d. | 43 ± 2 a | 56 ± 2 c | n.d. | n.d. | ||
| p-value | -- | <0.0001 | <0.0001 | -- | -- | ||
| 2022/2023 | Lower | 100% | 4 ± 1 b | 17 ± 3 c | 50 ± 3 a | 26 ± 4 a | 0.41 ± 0.0043 a | 
| 80% | 8 ± 1 a | 25 ± 4 b | 41 ± 4 b | 23 ± 4 a | 0.16 ± 0.0018 a | ||
| 60% | 6 ± 1 ab | 29 ± 4 b | 49 ± 3 a | 14 ± 3 b | 0.17 ± 0.0019 a | ||
| 40% | 5 ± 1 b | 35 ± 5 a | 40 ± 3 b | 18 ± 3 b | 0.14 ± 0.0016 a | ||
| p-value | 0.0345 | <0.0001 | 0.0022 | 0.0001 | n.s. | ||
| Upper | 100% | 0.14 ± 0 a | 6 ± 1 b | 44 ± 6 a | 48 ± 5 b | 1 ± 0 a | |
| 80% | 0.08 ± 0 a | 3 ± 1 c | 36 ± 5 b | 58 ± 5 a | 1 ± 0 a | ||
| 60% | 1 ± 01 a | 13 ± 2 a | 38 ± 5 b | 46 ± 5 b | 0.14 ± 0 a | ||
| 40% | 0.2 ± 0.001 a | 6 ± 1 b | 36 ±5 b | 56 ± 5 a | 1 ± 0 a | ||
| p-value | n.s. | <0.0001 | 0.0110 | <0.0001 | n.s. | ||
| Average | 100% | 2 ± 0 a | 11 ± 2 b | 47 ± 3 a | 37 ± 3 b | 1.4 ± 0 a | |
| 80% | 4 ± 1 a | 13 ± 2 b | 39 ± 3 c | 42 ± 3 a | 1.0 ± 0 ab | ||
| 60% | 4 ± 1 a | 21 ± 2 a | 42 ± 3 b | 32 ±3 c | 0.43 ± 0 c | ||
| 40% | 4 ± 1 a | 20 ± 2 a | 38 ± 3 c | 38 ±3 b | 0.49 ± 0 bc | ||
| p-value | 0.0509 | <0.0001 | <0.0001 | <0.0001 | 0.0246 | ||
| Chemical Quality Parameters | Season | Canopy | Fruit Load Treatments | ||||
|---|---|---|---|---|---|---|---|
| Zone | 100% | 80% | 60% | 40% | p-Value | ||
| Soluble solids (Brix) | 2021/2022 | Lower | 16.6 ± 0.41 a | 15.7 ± 0.18 a | 17.1 ± 0.34 a | 16.6 ± 0.3 a | 0.0734 | 
| Upper | 17.5 ± 0.29 a | 17.6 ± 0.41 a | 18.3 ± 0.29 a | 18.1 ± 0.43 a | 0.3725 | ||
| Average | 17.1 ± 0.29 a | 16.6 ± 0.41 a | 17.7 ± 0.31 a | 17.3 ± 0.37 a | 0.1937 | ||
| 2022/2023 | Lower | 16.4 ± 0.66 a | 16.6 ± 0.39 a | 16.4 ± 0.34 a | 17.0 ± 0.28 a | 0.5921 | |
| Upper | 18.5 ± 0.47 a | 18.6 ± 0.25 a | 18.9 ± 0.26 a | 18.8 ± 0.22 a | 0.722 | ||
| Average | 17.4 ± 0.48 a | 17.6 ± 0.34 a | 17.7 ± 0.38 a | 17.9 ± 0.29 a | 0.8324 | ||
| Titratable Acidity (% of malic acid) | 2021/2022 | Lower | 0.36 ± 0.02 b | 0.36 ± 0.01 b | 0.41 ± 0.01 a | 0.39 ± 0.01 ab | 0.0391 | 
| Upper | 0.39 ± 0.02 b | 0.41 ± 0.01 b | 0.46 ± 0.02 a | 0.43 ± 0.02 ab | 0.0406 | ||
| Average | 0.37 ± 0.01 b | 0.38 ± 0.01 b | 0.44 ± 0.02 a | 0.41 ± 0.01 ab | 0.0049 | ||
| 2022/2023 | Lower | 0.49 ± 0.01 a | 0.51 ± 0.02 a | 0.52 ± 0.02 a | 0.54 ± 0.02 a | 0.1361 | |
| Upper | 0.52 ± 0.01 b | 0.54 ± 0.01 ab | 0.58 ± 0.01 a | 0.56 ± 0.02 a | 0.0278 | ||
| Average | 0.50 ± 0.01 b | 0.53 ± 0.01 ab | 0.55 ± 0.01 a | 0.55 ± 0.01 a | 0.0083 | ||
| Maturity Index (Brix/TA) | 2021/2022 | Lower | 46.7 ± 2.03 a | 43.8 ± 1.04 a | 41.6 ± 1.13 a | 43.08 ± 1.19 a | 0.0846 | 
| Upper | 45.7 ± 2.26 a | 43.1 ± 0.96 a | 39.8 ± 1.58 a | 42.29 ± 1.62 a | 0.1524 | ||
| Average | 46.2 ± 1.42 a | 43.4 ± 0.67 b | 40.7 ± 0.96 c | 42.6 ± 0.94 bc | 0.0025 | ||
| 2022/2023 | Lower | 34.1 ± 2.05 a | 32.9 ± 1.16 a | 31.8 ± 0.86 a | 31.9 ± 1.34 a | 0.5942 | |
| Upper | 35.9 ± 1.15 a | 34.5 ± 0.53 a | 32.8 ± 0.61 a | 33.8 ± 1.43 a | 0.1228 | ||
| Average | 35.0 ± 1.16 a | 33.7 ± 0.65 a | 32.3 ± 0.52 a | 32.9 ± 0.98 a | 0.106 | ||
| Quality Parameters  | Fruit Load Treatments  | Season | |
|---|---|---|---|
| 2021/2022 | 2022/2023 | ||
| Fruit Weight (g)  | 100% | 10.8 ± 0.5 b | 10.5 ± 0.4 a | 
| 80% | 12.1 ± 0.1 a | 12.6 ± 0.9 a | |
| 60% | 11.9 ± 0.2 a | 12.7 ± 0.5 a | |
| 40% | 11.9 ± 0.2 a | 11.4 ± 0.8 a | |
| p-value | 0.0402 | 0.1843 | |
| Fruit Firmness (g mm−1)  | 100% | 309.0 ± 7.2 c | 291.5 ± 4.8 b | 
| 80% | 437.1 ± 8.7 a | 309.7 ± 13.0 b | |
| 60% | 325.5 ± 7.0 c | 314.8 ± 23.7 ab | |
| 40% | 397.7 ± 7.7 b | 360.6 ± 8.9 a | |
| p-value | <0.001 | 0.0413 | |
| Total Soluble Solids (Brix)  | 100% | 14.9 ± 0.5 b | 15.76 ± 0.3 a | 
| 80% | 16.9 ± 0.4 a | 16.63 ± 0.2 a | |
| 60% | 17.8 ± 0.5 a | 16.88 ± 0.5 a | |
| 40% | 16.3 ± 0.6 ab | 17.11 ± 0.2 a | |
| p-value | 0.04667 | 0.0775 | |
| Titratable Acidity (% of malic acid)  | 100% | 0.33 ± 0.01 a | 0.4 ± 0.03 a | 
| 80% | 0.27 ± 0.04 a | 0.44 ± 0.03 a | |
| 60% | 0.26 ± 0.03 a | 0.39 ± 0.06 a | |
| 40% | 0.38 ± 0.02 a | 0.38 ± 0.02 a | |
| p-value | 0.0877 | 0.6878 | |
| Season | Fruit Load | Pedicel Condition (%) | Fruit Condition (%) | |||
|---|---|---|---|---|---|---|
| Treatments | Green Pedicel | Brown Pedicel | Without Pedicel | Pitting | Orange Peel | |
| 2021/2022 | 100% | 83 ± 2 a | 14 ± 2 a | 3 ± 0.01 a | n.d. | 8 ± 2 a | 
| 80% | 87 ± 2 a | 11 ± 2 a | 1 ± 0.01 a | n.d. | 11 ± 2 a | |
| 60% | 91 ± 2 a | 9 ± 2 a | 3 ± 0.01 a | n.d. | 10 ± 2 a | |
| 40% | 85 ± 2 a | 14 ± 2 a | 1 ± 0.04 a | n.d. | 9 ± 2 a | |
| p-value | 0.0881 | 0.1933 | 0.1292 | --- | 0.6495 | |
| 2022/2023 | 100% | 92 ± 2 a | 4 ± 1 a | 4 ± 2 a | 38 ± 5 a | 31 ± 5 ab | 
| 80% | 93 ± 2 a | 2 ± 1 a | 5 ± 2 a | 37 ± 5 a | 41 ± 5 a | |
| 60% | 89 ± 2 a | 4 ± 1 a | 7 ± 2 a | 30 ± 5 ab | 26 ± 4 b | |
| 40% | 95 ± 2 a | 2 ± 1 a | 3 ± 1 a | 23 ± 4 b | 39 ± 5 a | |
| p-value | 0.1843 | 0.4781 | 0.2454 | 0.0277 | 0.0304 | |
| Season | Weather Variables | Month | ||||
|---|---|---|---|---|---|---|
| October | November | December | January | February | ||
| 2021/2022 | Minimum Temperature (°C) | 5.3 | 7.8 | 9.7 | 10.2 | 10.4 | 
| Maximum Temperature (°C) | 17.9 | 20.6 | 24.3 | 24.4 | 25.3 | |
| Average Temperature (°C) | 11.6 | 14.2 | 17.0 | 17.3 | 17.9 | |
| Accumulated Rainfall (mm) | 43.9 | 21.0 | 24.0 | 42.0 | 13.9 | |
| 2022/2023 | Minimum Temperature (°C) | 5.1 | 9.0 | 9.6 | 10.2 | 9.6 | 
| Maximum Temperature (°C) | 17.2 | 22.4 | 23.5 | 25.5 | 25.8 | |
| Average Temperature (°C) | 11.1 | 15.7 | 16.5 | 17.8 | 17.7 | |
| Accumulated Rainfall (mm) | 32.3 | 16.8 | 20.4 | 17.6 | 7.2 | |
Disclaimer/Publisher’s Note: The statements, opinions and data contained in all publications are solely those of the individual author(s) and contributor(s) and not of MDPI and/or the editor(s). MDPI and/or the editor(s) disclaim responsibility for any injury to people or property resulting from any ideas, methods, instructions or products referred to in the content.  | 
© 2024 by the authors. Licensee MDPI, Basel, Switzerland. This article is an open access article distributed under the terms and conditions of the Creative Commons Attribution (CC BY) license (https://creativecommons.org/licenses/by/4.0/).
Share and Cite
González-Villagra, J.; Palacios-Peralta, C.; Muñoz-Alarcón, A.; Reyes-Díaz, M.; Osorio, P.; Ribera-Fonseca, A. Influence of Fruit Load Regulation on Harvest and Postharvest Fruit Quality and Antioxidant-Related Parameters in Sweet Cherry (Prunus avium L.) cv. Regina Cultivated under Plastic Covers in Southern Chile. Plants 2024, 13, 2257. https://doi.org/10.3390/plants13162257
González-Villagra J, Palacios-Peralta C, Muñoz-Alarcón A, Reyes-Díaz M, Osorio P, Ribera-Fonseca A. Influence of Fruit Load Regulation on Harvest and Postharvest Fruit Quality and Antioxidant-Related Parameters in Sweet Cherry (Prunus avium L.) cv. Regina Cultivated under Plastic Covers in Southern Chile. Plants. 2024; 13(16):2257. https://doi.org/10.3390/plants13162257
Chicago/Turabian StyleGonzález-Villagra, Jorge, Cristóbal Palacios-Peralta, Ariel Muñoz-Alarcón, Marjorie Reyes-Díaz, Pamela Osorio, and Alejandra Ribera-Fonseca. 2024. "Influence of Fruit Load Regulation on Harvest and Postharvest Fruit Quality and Antioxidant-Related Parameters in Sweet Cherry (Prunus avium L.) cv. Regina Cultivated under Plastic Covers in Southern Chile" Plants 13, no. 16: 2257. https://doi.org/10.3390/plants13162257
APA StyleGonzález-Villagra, J., Palacios-Peralta, C., Muñoz-Alarcón, A., Reyes-Díaz, M., Osorio, P., & Ribera-Fonseca, A. (2024). Influence of Fruit Load Regulation on Harvest and Postharvest Fruit Quality and Antioxidant-Related Parameters in Sweet Cherry (Prunus avium L.) cv. Regina Cultivated under Plastic Covers in Southern Chile. Plants, 13(16), 2257. https://doi.org/10.3390/plants13162257
        
                                                