Abstract
Alternaria black spot of pomegranate (Punica granatum) was reported for the first time in Italy. In spring 2023, an outbreak of this disease was noticed in commercial pomegranate ‘Wonderful’ orchards of the municipality of Misterbianco (Sicily), following an unusually rainy period. A total of 30 randomly selected Alternaria isolates recovered from typical necrotic spots of leaves and fruits were characterized. Based on the colony morphology on solid agar media (PDA and MEA), isolates were separated into three distinct morphotypes (1, 2, and 3). The first two morphotypes comprised only isolates from fruits, while morphotype 3 comprised only isolates from leaves. Multigene phylogenetic analysis of four DNA regions, including internal transcribed spacer (ITS), translation elongation factor 1-α (EF-1α), glyceraldehyde-3-phosphate dehydrogenase (GAPDH), and a SCAR marker (OPA10–2), identified the isolates of morphotypes 1 and 2 as Alternaria alternata and morphotype 3 isolates as A. arborescens. In pathogenicity tests on unwounded leaves and fruit, the isolates of all three morphotypes produced symptoms on the leaves of three pomegranate cultivars, ‘Acco’, ‘Wonderful’, and ‘Etna’. The symptoms on ‘Acco’ leaves were the least severe. Conversely, the fruits of ‘Acco’ were the most susceptible. The isolates of morphotypes 2 and 3 were not pathogenic on the fruits of ‘Wonderful’ and ‘Etna’. This is the first report of Alternaria black spot in Italy and of A. arborescens associated with Alternaria black spot of pomegranate worldwide.
1. Introduction
Pomegranate (Punica granatum L., Punicaceae family) is gaining renewed interest as a fruit crop in different geographic areas of the world [1,2]. Pomegranate fruit is known for both its flavor and beneficial nutritional properties [3]. Moreover, pomegranate fruit peel extracts, being rich in polyphenolic compounds with antioxidant and antimicrobial activity, are being valued as drugs, natural pesticides, and food preservatives [4,5,6,7]. In Italy, the cultivation of this deciduous fruit crop has been rapidly expanding, and from less than 10 ha in 2008, it is now estimated to be over 1500 ha [2,3,4,8]. The major pomegranate producing regions are Apulia and Sicily (southern Italy), but new plantings are also being established in regions of central and northern Italy [9]. Imported cultivars are replacing traditional local selections for their higher productivity and market quality. The most popular cultivars imported from abroad include, among others, ‘Wonderful’, whose origin as a cultivar is controversial (USA/Israel) and which has become the standard type; ‘Mollar de Elche’ and ‘Parfianka’, both originating from Spain; and ‘Acco’, of Israeli origin. As a consequence of the crop expansion in new areas, the intensification of cropping systems, and the introduction of new pomegranate genotypes, new and rare diseases have emerged [10,11]. Pre- and post-harvest pomegranate diseases have been reported from around the world (as reviewed by Bregant et al. [9]; [12,13,14]). Common pathogens affecting pomegranate include fungi, such as Botrytis cinerea, Alternaria alternata, Penicillium implicatum, Coniella granati, Cercospora punicae, Botryosphaeria dothidea, and Aspergillus niger, as well as bacteria, such as Xanthomonas axanopodis pv. punicae, which causes bacterial blight. These pathogens lead to significant financial, nutritional, and post-harvest losses along the value chain [11,13].
Between the end of May and the beginning of June 2023, an outbreak of a disease new to Italy was noticed in a pomegranate-growing area in the municipality of Misterbianco (Catania province, Sicily, southern Italy). The symptoms on leaves and fruits were very similar to those of Alternaria black spot of pomegranate reported in other Mediterranean countries [15,16]. The disease appeared following a rainy period that was unusual for this season (with a total precipitation in April and May of 89.6 mm, as registered by the Sicilian Agrometeorological Information Service (SIAS)) and was first detected in a farm that was the first in the area to introduce new pomegranate cultivars and cropping systems. Moreover, the farm also hosts a collection of diverse commercial pomegranate cultivars and genotypes, including local selections. The objectives of this study were (i) to determine the etiology of the disease; (ii) to characterize the causal agent(s); and (iii) to evaluate the disease severity in selected commercially popular pomegranate varieties.
2. Results
2.1. Disease Symptoms and Isolates
The symptoms of the disease were small, black to dark brown spots of up to 4 mm in diameter, scattered on the leaf blades, flowers, and fruit peel (Figure 1A–D). On green leaves, spots were often surrounded by a pale chlorotic halo. Severely affected leaves became entirely chlorotic, and spots stood out on the chrome yellow background of the leaf blades as they were surrounded by a green halo (Figure 1C). A close-up of the leaf spots revealed that they tended to enlarge and were zonate, forming concentric necrotic rings. Infected leaves dropped with the consequent defoliation and dieback of twigs. In many cases, symptoms were uniformly distributed across the entire tree canopy (Figure 1B), but typically, single shoots or only part of the canopy stood out due to severe leaf chlorosis and defoliation. On fruits, spots were like crusts and occasionally merged with each other (Figure 1A,D), they were superficial, and the necrosis was confined to the rind surface. The disease severity varied from a single spot per leaf or fruit to numerous spots covering the entire surface of the leaf blade or fruit, including the calyx. The disease was initially detected in an orchard spanning approximately 2 hectares, which included various cultivars, such as ‘Wonderful’ (the predominant variety), ‘Acco’, ‘Mollar de Elche’, ‘Parfianka’, and two local selections named ‘Etna’ and ‘Primosole’. The symptoms were mainly observed on ‘Wonderful’, affecting over 60% of the trees. The other cultivars showed no symptoms of the disease. The ‘Etna’, ‘Primosole’, and ‘Parfianka’ cultivars were planted at the top of a hill in terraced soil, ‘Wonderful’ was located in the valley bottom, and ‘Acco’ and ‘Mollar de Elche’ were planted on a slope at an intermediate altitude. The ‘Acco’ and ‘Mollar de Elche’ plot was more than 200 m away from the ‘Wonderful’ plot, with a river separating them. As summer progressed, all symptomatic leaves abscised, and by the harvest time in October, only a few fruits (less than 2%) exhibited symptoms on the rind. Isolates from symptomatic leaves and fruits collected in June consistently yielded Alternaria isolates.
Figure 1.
Black and brown spots on fruits, leaves, and flowers of pomegranate. (A) Numerous necrotic spots on fruits; spots become crusty and occasionally coalesce. (B) Pinpoint necrotic spots on young pomegranate leaves. (C) Defoliation of twigs and severe chlorosis of pomegranate leaves and black spots on their surfaces. (D) External symptoms of black spots on fruit. (E) Black spot symptoms on pomegranate flower (F). Close-up image of necrotic spots on leaf.
2.2. Morphological Characterization of Isolates
Alternaria isolates produced dark, brown, club-shaped catenulate conidia, with longitudinal (0 to 5) and transverse (3 to 6) septa and a prominent beak, produced on either simple and short or long, occasionally branched, conidiophores (Figure 2d,e). The conidia measured (12−) 20.1 (−28) × (6−) 8.9 (11) µm (Figure 2b,c). The colony morphology varied, and isolates were grouped into three distinct morphotypes based on the colony morphologies on potato dextrose agar (PDA) and malt extract agar (MEA) (Figure 2a). Colonies of morphotype 1 isolates were appressed, velvety, slightly radiate, olivaceous on PDA, and light brown on MEA, with distinct margins on both media. Colonies of morphotype 2 isolates grew more slowly than colonies of the two other morphotypes, and they were olivaceous in the center, with white aerial mycelium in the periphery and very irregular margins on both PDA and MEA. Colonies of morphotype 3 isolates were uniform, velvety, and dark green–olivaceous, with an appressed mycelium and regular margins on PDA and slightly petaloid, light brown, with irregular margins on MEA (Figure 2a). Overall, 30 randomly selected isolates (10 per morphotype) were selected for further characterization (Table 1).
Figure 2.
(a) Growth patterns and colony morphologies of isolates of Alternaria spp. recovered from pomegranate fruits and leaves with symptoms of Alternaria black spot collected in Sicily. From left to right: MNC1, MFO1, and MFC1 isolates, each representing a distinct morphotype (morphotype 1, 2, and 3, respectively), grown on PDA (top) and MEA (bottom), and incubated at 25 ± 1 °C for 7 days in the dark; (b,c) microscope images of germinating conidia of Alternaria alternata (MNC1 and MFO1) and A. arborescens (MFC1), respectively; and (d,e) septate conidia and hyphae of MNC1 and MFC1 isolates, respectively.
Table 1.
Alternaria isolates from fruits and leaves of pomegranate (Punica granatum L.) characterized in this study: colony morphology (morphotype), geographical origin and accession numbers of internal transcribed spacer (ITS), translation elongation factor 1-α (EF-1α), glyceraldehyde-3-phosphate dehydrogenase (GAPDH), and SCAR marker OPA 10-2 sequences in GenBank.
2.3. Molecular Characterization
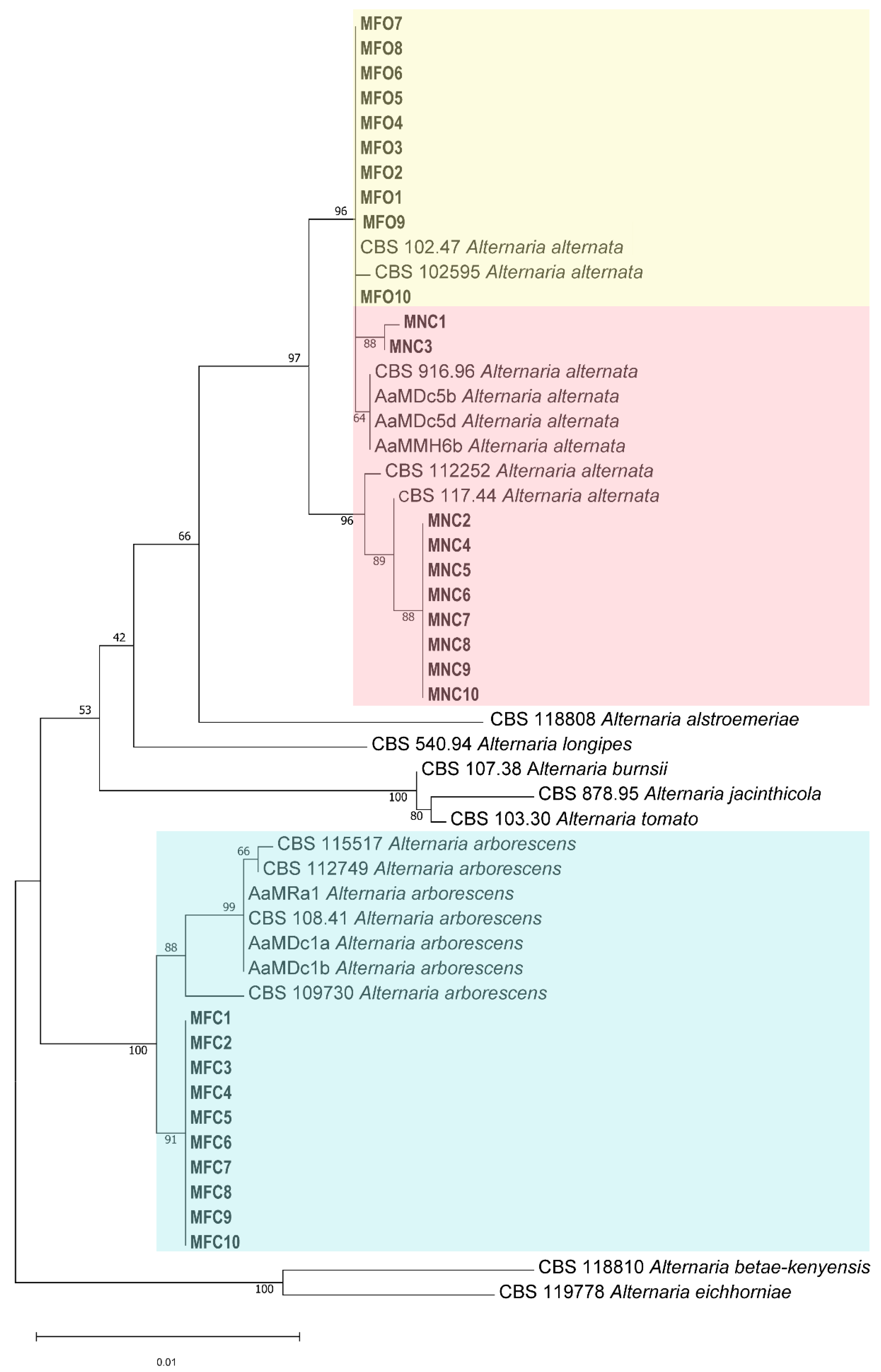
The Alternaria isolates obtained in this study (Table 1) and the reference isolates (Table 2) were grouped based on their four-gene phylogeny, including ITS, GAPDH, EF-1α, and OPA 10-2 sequences [4,17]. According to the phylogenetic analysis, 20 out of the 30 isolates were associated with A. alternata and clustered with reference isolates of A. alternata, including the isolates CBS 916.96 and CBS 112252 (Figure 3). Ten isolates were clustered within the A. arborescens species complex along with the strains CBS 109730 from Solanum lycopersicum, CBS 105.24 from S. tuberosum, CBS 108.41 from wood, CBS 112749 from Malus domestica, CBS 118389 from Pyrus pyrifolia, and CBS 115517 from M. domestica. The multigene-phylogenetic analysis of those four DNA regions identified morphotypes 1 and 2 isolates as A. alternata and morphotype 3 isolates as A. arborescens.
Figure 3.
Internal transcribed spacer (ITS), glyceraldehyde-3-phosphate dehydrogenase (GAPDH), translation elongation factor 1-α (EF-1α), and one SCAR marker (OPA 10-2) multilocus phylogenetic tree developed using the maximum-likelihood method, based on the Tamura–Nei model. The tree with the greatest log likelihood (−3746.14) is shown. The relationships between the 30 isolates from leaves and fruits of pomegranate sourced from southern Italy and the reference isolates of Alternaria alternata, A. arborescens, and other Alternaria spp. Two species, A. betae-kenyensis and A. eichhomiae, were used as the outgroup of the phylogenetic tree.
2.4. Pathogenicity Test
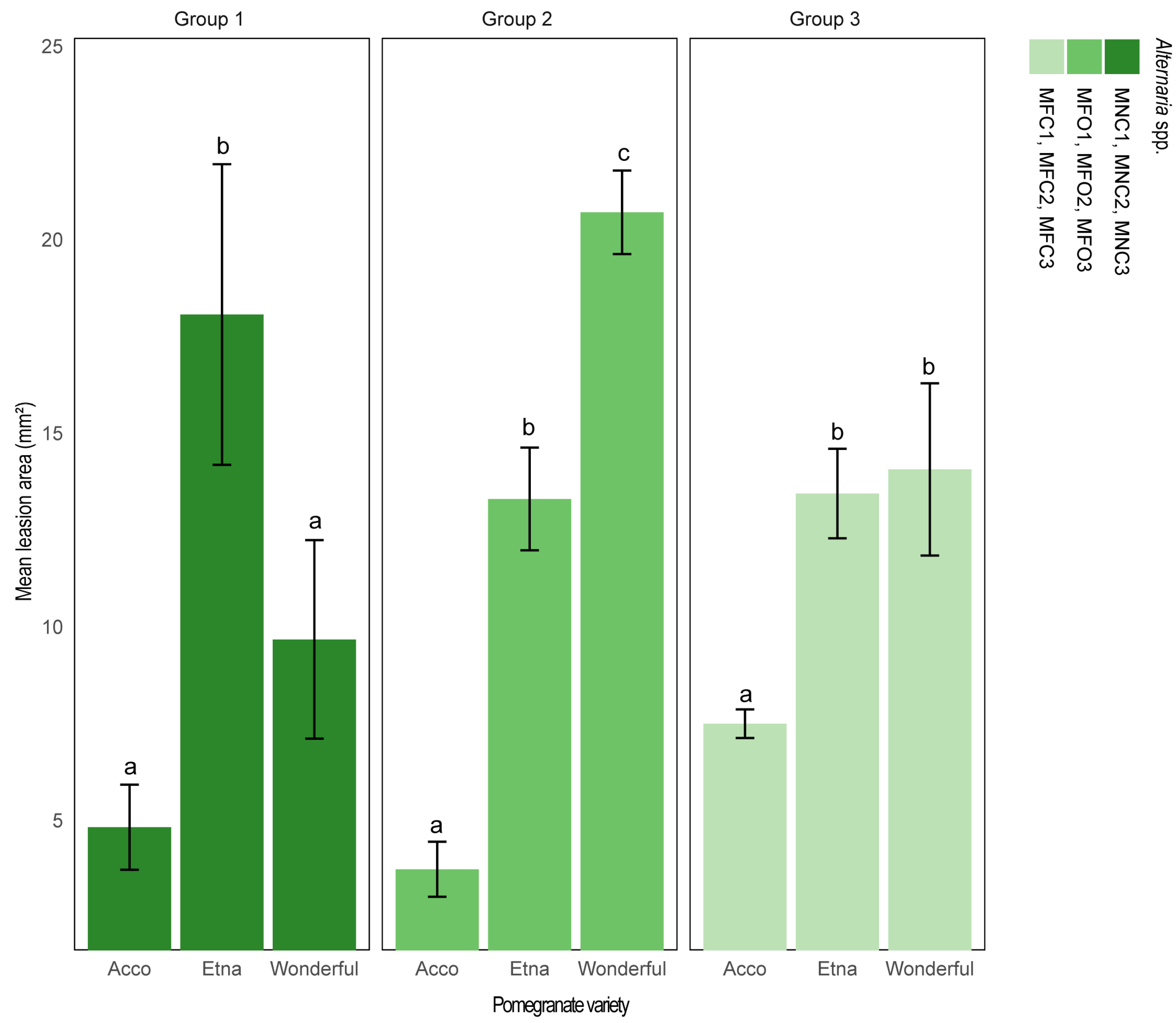
All Alternaria isolates tested produced necrotic circular lesions on the leaves of the three pomegranate cultivars tested (Figure 4). Significant differences were observed in the symptom severity between the three pomegranate cultivars. In detail, ‘Etna’ showed severe symptoms, with isolates of all three morphotypes; ‘Wonderful’ showed very severe symptoms with isolates of morphotypes 2 and 3 but less severe symptoms with morphotype 1 isolates; and ‘Acco’ showed mild symptoms with isolates of all three morphotypes (Figure 5). No symptoms were observed in control leaves, and the same fungi used for artificial inoculations were re-isolated from necrotic lesions of symptomatic leaves.
Figure 4.
Differential susceptibility of leaves of pomegranate cultivars Acco, Etna, and Wonderful to infection by nine Alternaria isolates of the three diverse morphotypes (morphotypes 1, 2, and 3, indicated as groups 1, 2, and 3, respectively). In detail, group 1: MNC1, MNC2, and MNC3; group 2: MFO1, MFO2, and MFO3; and group 3: MFC1, MFC2, and MFC3. Necrotic spots with a chlorotic halo on fully expanded young leaves inoculated with a conidial suspension (106 conidia mL−1) without wounding, three days after inoculation (dpi).
Figure 5.
Differential susceptibility of leaves of pomegranate cultivars Acco, Etna, and Wonderful to infection by nine Alternaria isolates of three diverse morphotypes (morphotypes 1, 2, and 3, indicated as groups 1, 2, and 3, respectively). Mean area (±SD) of necrotic lesions (mm2) induced by each group of isolates on fully expanded young leaves inoculated with a conidial suspension (106 conidia mL −1), without wounding, three dpi. Within each group of isolates, values sharing the same letters are not statistically different according to Tukey’s honestly significant difference (HSD) test (p ≤ 0.05).
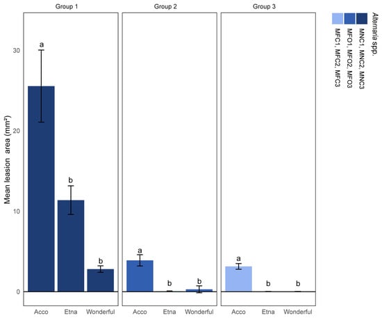
In pathogenicity tests on fruits, only morphotype 1 isolates (MNC1, MNC2, and MNC3), identified as A. alternata, produced noticeable necrotic lesions on the fruit peels of all three pomegranate cultivars (Figure 6 and Figure 7). The lesion size was significantly higher on ‘Acco’ fruits than on the fruits of ‘Wonderful’ and ‘Etna’. No significant difference was observed between the lesion sizes on the peels of ‘Wonderful’ and ‘Etna’ fruits. Isolates of morphotypes 2 and 3, identified as A. alternata and A. arborescens, respectively, produced noticeable necrotic lesions only on the peels of ‘Acco’ fruits, confirming this cultivar was the most susceptible to fruit infection among those tested. No symptoms were observed on the control fruits, and the same fungi used for the artificial inoculations were re-isolated from the necrotic lesions of symptomatic fruits.
Figure 6.
Differential susceptibility of fruits of pomegranate cultivars Acco, Etna, and Wonderful to infection by nine Alternaria isolates of three diverse morphotypes (morphotypes 1, 2, and 3, indicated as groups 1, 2, and 3, respectively). Necrotic spots on the peels of ripe fruits inoculated with a conidial suspension (106 conidia mL −1) without wounding, 10 days after inoculation (dpi).
Figure 7.
Differential susceptibility of ripe fruits of pomegranate cultivars Acco, Etna, and Wonderful to infection by nine Alternaria isolates of three diverse morphotypes (morphotypes 1, 2, and 3, indicated as groups 1, 2, and 3, respectively). Mean area (±SD) of necrotic lesions (mm2) induced by each group of isolates on pomegranate fruits inoculated with a conidial suspension (106 conidia mL −1), without wounding, 10 dpi. Within each group of isolates, values sharing the same letters are not statistically different according to Tukey’s honestly significant difference (HSD) test (p ≤ 0.05).
3. Discussion
The Alternaria species responsible for the outbreak of Alternaria black spot of pomegranate in Sicily were identified as A. alternata and A. arborescens, on the basis of multigene phylogenetic analysis and according to the taxonomic criteria proposed by Woudenberg et al. [18]. In the Mediterranean region, Alternaria black spot of pomegranate was reported for the first time in Israel [16] and, a few years later, in Spain [15]. The disease was also reported in China, the United States, and, repeatedly, in India [13,19,20,21]. In Israel and Spain, the causal agent was identified as A. alternata [15,16,22]. This is the first report of Alternaria black spot in Italy and of A. arborescens associated with Alternaria black spot of pomegranate worldwide. Traditionally the taxonomy of Alternaria is controversial [17]. A. alternata and A. arborescens were regarded as separate species by Woudenberg et al. [18], but were assigned the rank of subspecies belonging to the same species complex by Armitage et al. [23]. However, both classification systems agree in recognizing that these two taxa are distinct lineages. Both A. alternata and A. arborescens were identified as causal agents of another disease of pomegranate fruit known as ‘heart rot’ or ‘black heart’, already reported in many Mediterranean countries, including Italy, as well as in India and the United States [4,8,24,25,26,27,28,29,30]. However, according to Ezra et al. [16] and Gat et al. [22], isolates causing black spots, although morphologically indistinguishable, are specific and distinct from those associated with heart rot. The present study revealed a great variability in both the morphology and pathogenicity of Alternaria isolates recovered from pomegranate leaves and fruits with symptoms of black spot in Sicily. On the basis of the colony morphologies, three distinct morphotypes were identified. One (morphotype 3) exclusively comprised isolates recovered from leaves and was identified as A. arborescens, while the other two morphotypes (morphotypes 1 and 2) exclusively comprised isolates recovered from fruits and were identified as A. alternata on the basis of phylogenetic analysis. These findings suggest differences in the ecology of these two closely related but genetically distinct Alternaria species. Moreover, isolates of morphotypes 1 and 2 clustered into two separate subclades of the multilocus phylogenetic tree, indicating that the A. alternata morphotypes were also genetically distinct. All isolates, irrespective of the Alternaria species and morphotype, were pathogenic on detached unwounded leaves. However, remarkable differences in susceptibility to leaf infections were observed among the three pomegranate cultivars tested. In the pathogenicity tests on leaves, ‘Acco’ was less susceptible than ‘Wonderful’ and ‘Etna’ to all Alternaria isolates. In contrast, in the pathogenicity tests on fruits, ‘Acco’ was more susceptible than the other two cultivars and was the only cultivar to be infected by all Alternaria isolates. A possible explanation is that fruits of ‘Acco’, an early-ripening cultivar, were more susceptible to infection by a necrotrophic pathogen like Alternaria because they were in a more advanced maturity phase. An alternative hypothesis is that the discrepancy between the results of the pathogenicity tests on leaves and fruits depended on a differential organ susceptibility. Interestingly, only isolates of morphotype 1 (homologous isolates) were virulent on fruit, while isolates of morphotypes 2 (homologous isolates) and 3 (heterologous isolates) were only weakly pathogenic on fruits of ‘Acco’ and non-pathogenic on fruits of ‘Wonderful’ and ‘Etna’, once again suggesting an isolate specificity. All these aspects, including the disease susceptibility level of diverse pomegranate cultivars, the most appropriate test to determine this susceptibility, as well as the variability in pathogenicity between Alternaria isolates and their specificity, deserve to be further investigated as they have practical implications for cultivar selection, breeding programs, and disease management strategies. A more robust, consistent, and stable taxonomy of Alternaria would certainly be useful to this end. In general, the selection of resistant cultivars is an effective and more sustainable alternative to synthetic fungicides to manage pomegranate diseases [31], also in view of the very limited number of pesticides authorized for this crop in the EU.
Beyond Alternaria black spot, pomegranate production is challenged by other significant diseases that impact yield and fruit quality. Heart rot, caused by Alternaria spp., is a major concern, alongside various fungal, bacterial, and viral pathogens. Notable diseases include Cercospora leaf and fruit spot (Cercospora punicae), Botryosphaeria blight and fruit rot (Botryosphaeria dothidea), and bacterial blight (Xanthomonas axonopodis pv. punicae). Viral diseases, though less common, such as pomegranate mosaic virus and pomegranate yellow mosaic virus, also pose challenges [13,32,33]. While Alternaria spp. are significant leaf pathogens, they are not the only ones affecting pomegranates. Cercospora punicae and Botryosphaeria dothidea also contribute to leaf and fruit diseases, impacting overall plant health and productivity [32,33].
The outbreak of Alternaria black spot of pomegranate in late spring was favored by warm temperatures and the presence of young susceptible leaves. However, it can be speculated that it was a direct consequence of exceptionally heavy rains, since, normally in Sicily at this time of the year, the absence of rains is a limiting factor for the occurrence of epidemics of fungal leaf disease. In this respect, it can be expected that in coming years, the probability of epidemic outbreaks of this disease occurring in spring will increase as a consequence of climate change. As climate change continues to affect environmental conditions, causing increased temperatures and changes in rainfall patterns, the risk of disease outbreaks may increase [34,35]. These alterations can create favorable conditions for the proliferation of pathogens like Alternaria spp. Increased moisture is critical for the germination and spread of fungal spores [36]. The unusually wet period that occurred before the outbreak likely facilitated the development and severity of the disease. In addition, future climate scenarios predict more intense and frequent rainfall events, which could lead to more common and severe outbreaks of diseases that thrive in wet conditions [37].
However, in Sicily, and more generally in the Mediterranean region, climatic conditions in summer are not conducive to Alternaria black spot of pomegranate, which consequently, in this area, can be regarded as a minor disease or an occasional constraint. An exception could be pomegranate orchards in northern and central regions of Italy or planted in valley floors along the riverbanks. Moreover, this disease may be a serious constraint in humid subtropical or tropical areas with warm temperatures, such as Florida (USA) and some regions of China where the crop is expanding, as it may cause severe defoliation and yield losses in the form of leaf spot [21].
The severity and progression of Alternaria black spot of pomegranate in Sicily, as influenced by climatic conditions, are consistent with findings on Alternaria leaf spot of soybean, where environmental factors such as temperature and relative humidity significantly affect disease development. Fagodiya et al. [38] highlight that the optimal temperature ranges and relative humidity levels that promote disease progression in soybean for Alternaria leaf spot underscore the importance of similar climatic conditions in the epidemiology of Alternaria black spot in pomegranates. Rising temperatures can expand the geographical range of both pathogens and their hosts, and warmer winters might not be cold enough to limit the survival of certain pathogens, allowing them to persist year-round [37,39]. As climate change continues to alter environmental conditions, leading to warmer temperatures and changes in precipitation patterns, the risk of disease outbreaks may increase. Therefore, understanding the interaction between climatic variables and disease development is crucial for anticipating and managing future outbreaks in the context of a changing climate [38,40,41].
4. Materials and Methods
4.1. Fruit and Leaf Sampling and Alternaria Isolation
From May to November 2023, surveys were carried out in the commercial pomegranate orchard where the disease outbreak was first noticed. The orchard was in the municipality of Misterbianco (the Province of Catania, Sicily, Italy; 37.463109312245535, 14.971325900520004). The trees were 10 years old, spaced 3.5 × 6 m, and trained into a transversal Y system. A drip-irrigation system (self-compensating double-drip wing) and a plastic mulching sheet along the rows were used. From the end of May to the end of June 2023, symptomatic leaves and fruits of the pomegranate cultivar ‘Wonderful’ were sampled. Other varieties present in the orchards, such as Acco, Parfianka, Mollar de Alche, Primosole, and Etna, which were located in another area of the orchard (400 m away), did not exhibit symptoms.
Small tissue pieces (2–3 mm) were excised from necrotic spots on leaves and fruit peels, surface-disinfected by immersion in 1% NaClO for 1–3 min, rinsed twice in sterile distilled water (SDW), blotted dry in sterile conditions on sterile filter paper, and plated in Petri dishes on potato dextrose agar (PDA, Oxoid Ltd., Basingstoke, UK) amended with streptomycin sulfate (250 µg/mL) (Sigma-Aldrich, St. Louis, MA, USA). The dishes were incubated for seven days at 22 ± 2 °C in darkness. Pure Alternaria isolates were obtained by single-hypha subcultures on PDA. The isolates were preserved in the culture collection of the Laboratory of Molecular Plant Pathology of the Department of Agriculture, Food, and Environment (Di3A) at the University of Catania.
4.2. Morphological Characterization of Isolates
The isolates were grown in Petri dishes on PDA and malt extract agar (MEA; Sigma-Aldrich, Burlington, MA, USA). The dishes were incubated for 7 days at 25 ± 1 °C in darkness. The morphological characteristics (color, margin, diameter, and texture) of the colonies and their microscopic features (conidium and conidiophore branch morphology) were examined according to Aloi et al. [4].
4.3. Molecular Characterization of Isolates
The Alternaria isolates recovered from symptomatic leaves and fruits of pomegranate were grown on PDA for 7 days at 25 ± 1 °C. Then, mycelium from each isolate was harvested using a sterile scalpel, and genomic DNA was extracted using a PowerPlant® Pro DNA isolation Kit (MO BIO Laboratories, Inc., Carlsbad, CA, USA), following the manufacturer’s protocol. The DNA was then stored at −20 °C. To characterize and determine the phylogenetic allocation of the 30 isolates from pomegranate fruits and leaves, a multilocus approach was adopted. Sequencing was performed on segments of four Alternaria barcoding genes/regions: internal transcribed spacer (ITS), translation elongation factor 1-α (EF-1α), glyceraldehyde-3-phosphate dehydrogenase (GAPDH), and a SCAR marker (OPA10–2). The primers used in this study for amplifying these genes/regions were as follows: ITS1/ITS4 for the ITS region [42], EF1-728F/EF1-986R for the EF-1α gene [43], GPD1/GPD2 for the GAPDH gene [44], and OPA10-2R/OPA10-2L for the OPA10-2 marker [4,17].
GeneAmp PCR System 9700 (Applied Biosystems, Monza-Brianza, Italy) was used for the PCR amplifications. Taq DNA polymerase recombinant (Invitrogen™) was used for all PCR reactions, performed at a total volume of 25 µL containing a PCR buffer (1×), a dNTP mix (0.2 mM), MgCl2 (1.5 mM), forward and reverse primers (0.5 µM each), Taq DNA polymerase (1 U), and 1 µL of genomic DNA. The reaction protocol comprised an initial denaturation at 94 °C for 3 min followed by 35 cycles of denaturation at 94 °C for 30 s, annealing at 55 °C (for the ITS region), 58 °C (for EF-1α), 54 °C (for GAPDH), or 62 °C (for OPA10-2) for 30 s, and an extension at 72 °C for 30 s, with a final extension at 72 °C for 10 min. The resulting amplicons were visualized on a 1% agarose gel, and the purified products were sequenced with both forward and reverse primers by Macrogen Europe (Amsterdam, The Netherlands). The sequences were analyzed using FinchTV v.1.4.0, and the obtained sequences were deposited in GenBank (Table 1). For molecular identification, the sequences from isolates characterized in this study and validated sequences of reference Alternaria isolates (Table 2) were used for phylogenetic analysis. Prior to analysis, the complete panel of reference sequences underwent the elimination of duplicates utilizing the Elim Dupes software (accessed on 15 June 2020). The sequences were aligned using MUSCLE and analyzed using MEGA6 for phylogenetic reconstruction using the maximum-likelihood method with the Tamura–Nei model [45]. Bootstrap analysis with 1000 replications was conducted. To enhance this investigation with the genetic diversity among the isolates obtained in this study, a combined dataset of all sequenced markers (ITS, EF-1α, GAPDH, and OPA10-2) was employed for phylogenetic analysis.
Table 2.
GenBank accession numbers of sequences of Alternaria spp. isolates from different hosts and geographical origins used as references in phylogenetic analyses.
Table 2.
GenBank accession numbers of sequences of Alternaria spp. isolates from different hosts and geographical origins used as references in phylogenetic analyses.
| Species | Isolate | Country | Host | Source | Accession Numbers | |||
|---|---|---|---|---|---|---|---|---|
| ITS | EF-1α | GAPDH | OPA 10-2 | |||||
| Alternaria alstroemeriae | CBS 118808 | USA | Alstroemeria sp. | [18] | KP124296 | KP125071 | KP124153 | KP124601 |
| A. alternata | AaMDc5b | Italy | Punica granatum | [4] | MW580731 | MW585112 | MW590490 | MW590532 |
| A. alternata | AaMDc5d | Italy | P. granatum | [4] | MW580755 | MW585133 | MW590514 | MW590556 |
| A. alternata | AaMMH6b | Italy | P. granatum | [4] | MW580756 | MW585134 | MW590515 | MW590557 |
| A. alternata | CBS 102.47 | USA | Citrus sinensis | [18] | KP124304 | KP125080 | KP124161 | KP124610 |
| A. alternata | CBS 102595 | USA | C. jambhiri | [18] | FJ266476 | KC584666 | AY562411 | KP124636 |
| A. alternata | CBS 112252 | - | - | [18] | KP124340 | KP125116 | KP124194 | KP124650 |
| A. alternata | CBS 117.44 | Denmark | Godetia sp. | [18] | KP124303 | KP125079 | KP124160 | KP124609 |
| A. alternata | CBS 916.96 | India | Arachis hypogaea | [18] | AF347031 | KC584634 | AY278808 | KP124632 |
| A. arborescens | AaMDc1b | Italy | P. granatum | [4] | MW580737 | MW585151 | MW590496 | MW590538 |
| A. arborescens | AaMRa1 | Italy | P. granatum | [4] | MW580759 | MW585153 | MW590518 | MW590560 |
| A. arborescens | CBS 108.41 | - | wood | [18] | KP124394 | KP125172 | KP124246 | KP124707 |
| A. arborescens | CBS 109730 | USA | Solanum lycopersicum | [18] | KP124399 | KP125177 | KP124251 | KP124713 |
| A. arborescens | CBS 112749 | South Africa | Malus domestica | [18] | KP124401 | KP125179 | KP124253 | KP124715 |
| A. arborescens | CBS 115517 | South Africa | M. domestica | [18] | KP124404 | KP125182 | KP124256 | KP124718 |
| A. arborescens | AaMDc1a | Italy | P. granatum | [4] | MW580736 | MW585150 | MW590495 | MW590537 |
| A. betae-kenyensis | CBS 118810 | Kenya | Beta vulgaris var. cicla | [18] | KP124419 | KP125197 | KP124270 | KP124733 |
| A. burnsii | CBS 107.38 | India | Cuminum cyminum | [18] | KP124420 | JQ646305 | KP125198 | KP124734 |
| A. eichhorniae | CBS 119778 | Indonesia | Eichhornia crassipes | [18] | KP124426 | KP125205 | KP124277 | KP124741 |
| A. jacinthicola | CBS 878.95 | Mauritius | Arachis hypogaea | [18] | KP124437 | KP125216 | KP124286 | KP124753 |
| A. longipes | CBS 540.94 | USA | Nicotiana tabacum | [18] | AY278835 | KC584667 | AY278811 | KP124758 |
| A. tomato | CBS 103.30 | - | S. lycopersicum | [18] | KP124445 | KP125224 | KP124294 | KP124762 |
4.4. Pathogenicity Tests on Leaves and Fruits of Different Pomegranate Varieties
In order to assess the virulence of the Alternaria isolates and evaluate the susceptibility of the different pomegranate varieties, nine selected isolates representing all three diverse morphotypes and including both A. alternata (MNC1, MNC2, MNC3, MFO1, MFO2, and MF03) and A. arborescens (MFC1, MFC2, and MFC3) isolates were inoculated on the fruits and leaves of three pomegranate cultivars, ‘Acco’, ‘Etna’, and ‘Wonderful’. Fungal isolates were cultured on PDA in Petri dishes and incubated at 25 ± 1 °C for 7 days in the dark. A conidium suspension of each isolate was prepared by flooding the dishes with 6 mL of SDW and scraping the agar surface. The suspension was then filtered through a cheesecloth, and the concentration was adjusted to 1×106 conidia/mL with SDW using a hemocytometer. In the pathogenicity tests, detached fully expanded leaves of the summer vegetative flushing and mature fruits of the three pomegranate cultivars were used. Both leaves and fruits were collected in November and, before inoculation, were surface disinfected by dipping them in 1% NaClO for 2 min, rinsed carefully with SDW, air-dried at room temperature, and then kept in humid chambers (plastic boxes with air-tight lids and damp paper on the bottoms) on aluminum foil or plastic rings, respectively, to avoid direct contact with the water. Artificial inoculations were performed by pipetting 20 µL drops of the conidial suspension on the abaxial side of the leaf lamina (four separate drops per leaf, two on each side of the midrib) and on the upper side of the fruit (six separate drops per fruit, in equatorial position). Mock inoculations were performed on the same number of leaves and fruits using sterile deionized water. The leaves and fruits were then incubated in humid chambers (plastic boxes) at 25 ± 1 °C under a 16/8 h light/dark photoperiod and 90% RH for 3 and 10 days, respectively. Three days after inoculation (dpi) on leaves and ten dpi on fruits, the diameter (2r) of the necrotic lesion at each inoculation site was measured, and the results were expressed as the area of the lesion calculated with the formula . To fulfil Koch’s postulates, reisolations were performed from symptomatic leaves and fruits using PDA amended with streptomycin sulfate as a medium. The isolates were identified on the basis of the colony morphology on PDA, and the identification of a restricted number of selected isolates was confirmed by sequencing ITS, 1-α (EF-1α), GAPDH, and OPA10–2. The pathogenicity test was repeated three times, each with 10 leaves and fruits per pomegranate cultivar and Alternaria isolate combination.
4.5. Statistical Analysis
The data from the pathogenicity tests were analyzed using RStudio v.4.3.1 (R). The means of the surface areas of the necrotic lesions induced by different Alternaria isolates on leaves and fruits were compared and analyzed by one-way analysis of variance (ANOVA) coupled with the Tukey–Kramer honestly significant difference (HSD) test.
5. Conclusions
This study presents the first report of Alternaria black spot of pomegranate in Italy, identifying Alternaria alternata and A. arborescens as the causal agents. The outbreak in Sicily followed an unusually rainy period, highlighting the role of environmental conditions in the disease’s emergence. Thirty Alternaria isolates from symptomatic pomegranate leaves and fruits were morphologically and molecularly characterized, revealing three distinct morphotypes. Morphotype 1 and 2 isolates, identified as A. alternata, were primarily found on fruits, while morphotype 3, identified as A. arborescens, was found on leaves. Pathogenicity tests showed all morphotypes could infect leaves of the cultivars ‘Acco’, ‘Wonderful’, and ‘Etna’, with ‘Acco’ being the least susceptible. Conversely, the fruit susceptibility varied: ‘Acco’ fruits were most susceptible to all morphotypes, whereas ‘Wonderful’ and ‘Etna’ fruits were only susceptible to morphotype 1 isolates. This study underscores the importance of cultivar selection and environmental monitoring in managing Alternaria black spot. The findings suggest the need for further research on cultivar resistance and pathogen variability, which are crucial for developing effective disease management strategies and breeding programs.
Author Contributions
Conceptualization, S.O.C., G.T., A.P. and M.R.; methodology, S.C.T., A.P. and M.R.; software, S.C.T. and M.R.; validation, S.O.C., D.E. and M.R.; formal analysis, S.C.T. and G.T.; investigation, S.C.T. and G.T.; resources, S.O.C. and A.P.; data curation, S.C.T. and M.R.; writing—original draft preparation, S.C.T. and M.R.; writing—review and editing, S.O.C., D.E. and M.R.; visualization, S.O.C., D.E. and M.R.; supervision, S.O.C., A.P. and M.R. All authors have read and agreed to the published version of the manuscript.
Funding
This research received no external funding.
Data Availability Statement
Data is contained within the article.
Acknowledgments
The authors are grateful to the PRIMA project “Smart and Innovative Packaging, Postharvest Rot Management, and Shipping of Organic Citrus Fruit (BiOrangePack)”, funded by the European Union, and “S.A.I.A—Soluzioni Automatizzate per l’Irrigazione degli Agrumi” cofinanziato con le risorse di cui al Bando di attuazione della misura 16 “Cooperazione”, sottomisura 16.2, “Progetti pilota o introduzione di prodotti, pratiche, processi o tecnologie nuove” for inspiring the present study.
Conflicts of Interest
The authors declare no conflicts of interest.
References
- Passafiume, R.; Perrone, A.; Sortino, G.; Gianguzzi, G.; Saletta, F.; Gentile, C.; Farina, V. Chemical–Physical Characteristics, Polyphenolic Content and Total Antioxidant Activity of Three Italian-Grown Pomegranate Cultivars. NFS J. 2019, 16, 9–14. [Google Scholar] [CrossRef]
- Tinebra, I.; Scuderi, D.; Sortino, G.; Mazzaglia, A.; Farina, V. Pomegranate Cultivation in Mediterranean Climate: Plant Adaptation and Fruit Quality of ‘Mollar de Elche’ and ‘Wonderful’ Cultivars. Agronomy 2021, 11, 156. [Google Scholar] [CrossRef]
- Adiletta, G.; Petriccione, M.; Liguori, L.; Pizzolongo, F.; Romano, R.; Di Matteo, M. Study of Pomological Traits and Physico-Chemical Quality of Pomegranate (Punica granatum L.) Genotypes Grown in Italy. Eur. Food Res. Technol. 2018, 244, 1427–1438. [Google Scholar] [CrossRef]
- Aloi, F.; Riolo, M.; Sanzani, S.M.; Mincuzzi, A.; Ippolito, A.; Siciliano, I.; Pane, A.; Gullino, M.L.; Cacciola, S.O. Characterization of Alternaria Species Associated with Heart Rot of Pomegranate Fruit. J. Fungi 2021, 7, 172. [Google Scholar] [CrossRef] [PubMed]
- Chen, J.; Liao, C.; Ouyang, X.; Kahramanoǧlu, I.; Gan, Y.; Li, M. Antimicrobial Activity of Pomegranate Peel and Its Applications on Food Preservation. J. Food Qual. 2020, 2020, 8850339. [Google Scholar] [CrossRef]
- Pangallo, S.; Li Destri Nicosia, M.G.; Agosteo, G.E.; Abdelfattah, A.; Romeo, F.V.; Cacciola, S.O.; Rapisarda, P.; Schena, L. Evaluation of a Pomegranate Peel Extract as an Alternative Means to Control Olive Anthracnose. Phytopathology 2017, 107, 1462–1467. [Google Scholar] [CrossRef] [PubMed]
- Pangallo, S.; Li Destri Nicosia, M.G.; Raphael, G.; Levin, E.; Ballistreri, G.; Cacciola, S.O.; Rapisarda, P.; Droby, S.; Schena, L. Elicitation of Resistance Responses in Grapefruit and Lemon Fruits Treated with a Pomegranate Peel Extract. Plant Pathol. 2017, 66, 633–640. [Google Scholar] [CrossRef]
- Faedda, R.; Granata, G.; Massimino Cocuzza, G.E.; Lo Giudice, V.; Audoly, G.; Pane, A.; Cacciola, S.O. First Report of Heart Rot of Pomegranate (Punica granatum) Caused by Alternaria alternata in Italy. Plant Dis. 2015, 99, 1446. [Google Scholar] [CrossRef]
- Bregant, C.; Rossetto, G.; Montecchio, L.; Tundo, S.; Raiola, A.; Linaldeddu, B.T. First Report of Neofusicoccum parvum and Phytophthora palmivora Causing Fruit Rot of Pomegranate in Italy. Ital. J. Mycol. 2024, 53, 65–74. [Google Scholar] [CrossRef]
- Cacciola, S.O.; Gullino, M.L. Emerging and Re-Emerging Fungus and Oomycete Soil-Borne Plant Diseases in Italy. Phytopathol. Mediterr. 2019, 58, 451–472. [Google Scholar] [CrossRef]
- Pollastro, S.; Dongiovanni, C.; Gerin, D.; Pollastro, P.; Fumarola, G.; de Miccolis Angelini, R.M.; Faretra, F. First Report of Coniella granati as a Causal Agent of Pomegranate Crown Rot in Southern Italy. Plant Dis. 2016, 100, 1498. [Google Scholar] [CrossRef]
- Mincuzzi, A.; Sanzani, S.M.; Palou, L.; Ragni, M.; Ippolito, A. Postharvest Rot of Pomegranate Fruit in Southern Italy: Characterization of the Main Pathogens. J. Fungi 2022, 8, 475. [Google Scholar] [CrossRef] [PubMed]
- Munhuweyi, K.; Lennox, C.L.; Meitz-Hopkins, J.C.; Caleb, O.J.; Opara, U.L. Major Diseases of Pomegranate (Punica granatum L.), Their Causes and Management—A Review. Sci. Hortic. 2016, 211, 126–139. [Google Scholar] [CrossRef]
- Xavier, K.V.; KC, A.N.; Vallad, G.E. Diseases of Pomegranate (Punica granatum) in Florida. EDIS 2019, 10, 349. [Google Scholar] [CrossRef]
- Berbegal, M.; López-Cortés, I.; Salazar, D.; Gramaje, D.; Pérez-Sierra, A.; García-Jiménez, J.; Armengol, J. First Report of Alternaria Black Spot of Pomegranate Caused by Alternaria alternata in Spain. Plant Dis. 2014, 98, 689. [Google Scholar] [CrossRef] [PubMed]
- Ezra, D.; Gat, T.; Skovorodnikova, Y.; Vardi, Y.; Kosto, I. First Report of Alternaria Black Spot of Pomegranate Caused by Alternaria alternata in Israel. Australas. Plant Dis. Notes 2010, 5, 1–2. [Google Scholar] [CrossRef]
- Andrew, M.; Peever, T.L.; Pryor, B.M. An Expanded Multilocus Phylogeny Does Not Resolve Morphological Species within the Small-Spored Alternaria Species Complex. Mycologia 2009, 101, 95–109. [Google Scholar] [CrossRef] [PubMed]
- Woudenberg, J.H.C.; Seidl, M.F.; Groenewald, J.Z.; de Vries, M.; Stielow, J.B.; Thomma, B.P.H.J.; Crous, P.W. Alternaria Section Alternaria: Species, Formae Speciales or Pathotypes? Stud. Mycol. 2015, 82, 1–21. [Google Scholar] [CrossRef] [PubMed]
- Addangadi, K.C.; Sipai, A.H.; Muralidharan, C.M. Studies on Alternaria Leaf and Fruit Spot of Pomegranate Caused by Alternaria alternata (Fr.) Keissler. Environ. Ecol. 2021, 39, 1078–1085. Available online: https://www.cabidigitallibrary.org/doi/full/10.5555/20220218596 (accessed on 9 October 2021).
- Madhukar, J.; Reddy, S.M. Some New Leaf Spot Diseases of Pomegranate. Indian J. Mycol. Plant Pathol. 1988, 18, 171–172. [Google Scholar]
- Yang, T.; Chen, S.; He, D.; Xu, G.; Tian, F.; Pang, F.; Li, Y.; Huang, S.; Wang, T. Leaf Spot Disease on Punica granatum Caused by Alternaria alternata in China. Plant Dis. 2023, 107, 2227. [Google Scholar] [CrossRef] [PubMed]
- Gat, T.; Liarzi, O.; Skovorodnikova, Y.; Ezra, D. Characterization of Alternaria alternata Causing Black Spot Disease of Pomegranate in Israel Using a Molecular Marker. Plant Dis. 2012, 96, 1513–1518. [Google Scholar] [CrossRef] [PubMed]
- Armitage, A.D.; Barbara, D.J.; Harrison, R.J.; Lane, C.R.; Sreenivasaprasad, S.; Woodhall, J.W.; Clarkson, J.P. Discrete Lineages within Alternaria alternata Species Group: Identification Using New Highly Variable Loci and Support from Morphological Characters. Fungal Biol. 2015, 119, 994–1006. [Google Scholar] [CrossRef] [PubMed]
- Ezra, D.; Kirshner, B.; Gat, T.; Shteinberg, D.; Kosto, I. Heart Rot of Pomegranate, When and How Does the Pathogen Cause the Disease? Acta Hortic. 2015, 1089, 167–172. [Google Scholar] [CrossRef]
- Ezra, D.; Kirshner, B.; Hershcovich, M.; Shtienberg, D.; Kosto, I. Heart Rot of Pomegranate: Disease Etiology and the Events Leading to Development of Symptoms. Plant Dis. 2015, 99, 496–501. [Google Scholar] [CrossRef] [PubMed]
- Ezra, D.; Shulhani, R.; Bar Ya’Akov, I.; Harel-Beja, R.; Holland, D.; Shtienberg, D. Factors Affecting the Response of Pomegranate Fruit to Alternaria alternata, the Causal Agent of Heart Rot. Plant Dis. 2019, 103, 315–323. [Google Scholar] [CrossRef] [PubMed]
- Kanetis, L.; Testempasis, S.; Goulas, V.; Samuel, S.; Myresiotis, C.; Karaoglanidis, G.S. Identification and Mycotoxigenic Capacity of Fungi Associated with Pre- and Postharvest Fruit Rots of Pomegranates in Greece and Cyprus. Int. J. Food Microbiol. 2015, 208, 84–92. [Google Scholar] [CrossRef] [PubMed]
- Luo, Y.; Hou, L.; Förster, H.; Pryor, B.; Adaskaveg, J.E. Identification of Alternaria Species Causing Heart Rot of Pomegranates in California. Plant Dis. 2017, 101, 421–427. [Google Scholar] [CrossRef] [PubMed]
- Tziros, G.T.; Lagopodi, A.L.; Tzavella-Klonari, K. Alternaria alternata Fruit Rot of Pomegranate (Punica granatum) in Greece. Plant Pathol. 2008, 57, 379. [Google Scholar] [CrossRef]
- Zhang, L.; McCarthy, M.J. Black Heart Characterization and Detection in Pomegranate Using NMR Relaxometry and MR Imaging. Postharvest Biol. Technol. 2012, 67, 96–101. [Google Scholar] [CrossRef]
- Schaller, A.; Chater, J.M.; Vallad, G.E.; Moersfelder, J.; Heinitz, C.; Deng, Z. Pomegranate Ceultivars with Diverse Origins Exhibit Strong Resistance to Anthracnose Fruit Rot Caused by Colletotrichum gloeosporioides, a Major Disease in Southeast United States. Horticulturae 2023, 9, 1097. [Google Scholar] [CrossRef]
- Pakruddin, B.; Hemavathy, R. A Comprehensive Standardized Dataset of Numerous Pomegranate Fruit Diseases for Deep Learning. Data Br. 2024, 54, 110284. [Google Scholar] [CrossRef]
- Li, X.; Lu, X.; He, Y.; Deng, M.; Lv, Y. Identification the Pathogens Causing Rot Disease in Pomegranate (Punica granatum L.) in China and the Antifungal Activity of Aqueous Garlic Extract. Forests 2020, 11, 34. [Google Scholar] [CrossRef]
- Lamichhane, J.R.; Barbetti, M.J.; Chilvers, M.I.; Pandey, A.K.; Steinberg, C. Exploiting Root Exudates to Manage Soil-Borne Disease Complexes in a Changing Climate. Trends Microbiol. 2024, 32, 27–37. [Google Scholar] [CrossRef] [PubMed]
- Garrett, K.A.; Nita, M.; De Wolf, E.D.; Esker, P.D.; Gomez-Montano, L.; Sparks, A.H. Plant Pathogens as Indicators of Climate Change. In Climate Change: Observed Impacts on Planet Earth, 3rd ed.; Elsevier: Amsterdam, The Netherlands, 2021; pp. 499–513. ISBN 9780128215753. [Google Scholar]
- Lamichhane, J.R.; Dürr, C.; Schwanck, A.A.; Robin, M.H.; Sarthou, J.P.; Cellier, V.; Messéan, A.; Aubertot, J.N. Integrated Management of Damping-off Diseases. A Review. Agron. Sustain. Dev. 2017, 37, 10. [Google Scholar] [CrossRef]
- Lahlali, R.; Mohammed, T.; Laasli, S.-E.; Gachara, G.; Ezzouggari, R.; Belabess, Z.; Aberkani, K.; Assougeum, A.; Meddich, A.; El Jarroudi, M.; et al. Effects of Climate Change on Plant Pathogens and Host-Pathogen Interactions. Crop Environ. 2024; in press. [Google Scholar] [CrossRef]
- Fagodiya, R.K.; Trivedi, A.; Fagodia, B.L. Impact of Weather Parameters on Alternaria Leaf Spot of Soybean Incited by Alternaria alternata. Sci. Rep. 2022, 12, 6131. [Google Scholar] [CrossRef] [PubMed]
- Lim, J.A.; Yaacob, J.S.; Mohd Rasli, S.R.A.; Eyahmalay, J.E.; El Enshasy, H.A.; Zakaria, M.R.S. Mitigating the Repercussions of Climate Change on Diseases Affecting Important Crop Commodities in Southeast Asia, for Food Security and Environmental Sustainability—A Review. Front. Sustain. Food Syst. 2023, 6, 1030540. [Google Scholar] [CrossRef]
- Timmer, L.W.; Darhower, H.M.; Zitko, S.E.; Peever, T.L.; Ibáñez, A.M.; Bushong, P.M. Environmental Factors Affecting the Severity of Alternaria Brown Spot of Citrus and Their Potential Use in Timing Fungicide Applications. Plant Dis. 2000, 84, 638–643. [Google Scholar] [CrossRef]
- Saharan, M.S.; Saharan, G.S. Influence of Weather Factors on the Incidence of Alternaria Blight of Cluster Bean (Cyamopsis tetragonoloba (L.) Taub.) on Varieties with Different Susceptibilities. Crop Prot. 2004, 23, 1223–1227. [Google Scholar] [CrossRef]
- White, T.J.; Bruns, T.; Lee, S.; Taylor, J.W. Amplification and Direct Sequencing of Fungal Ribosomal RNA Genes for Phylogenetics. In PCR Protocols: A Guide to Methods and Applications; Innis, M.A., Gelfand, D.H., Sninsky, J.J., White, T.J., Eds.; Academic Press, Inc.: San Diego, CA, USA, 1990; Volume 18, pp. 315–322. [Google Scholar]
- Carbone, I.; Kohn, L.M. A Method for Designing Primer Sets for Speciation Studies in Filamentous Ascomycetes. Mycologia 1999, 91, 553–556. [Google Scholar] [CrossRef]
- Berbee, M.L.; Pirseyedi, M.; Hubbard, S. Cochliobolus Phylogenetics and the Origin of Known, Highly Virulent Pathogens, Inferred from ITS and Glyceraldehyde-3-Phosphate Dehydrogenase Gene Sequences. Mycologia 1999, 91, 964–977. [Google Scholar] [CrossRef]
- Hall, M.P.; Nagel, R.J.; Fagg, W.S.; Shiue, L.; Cline, M.S.; Perriman, R.J.; Donohue, J.P.; Ares, M. Quaking and PTB Control Overlapping Splicing Regulatory Networks during Muscle Cell Differentiation. RNA 2013, 19, 627–638. [Google Scholar] [CrossRef] [PubMed]
Disclaimer/Publisher’s Note: The statements, opinions and data contained in all publications are solely those of the individual author(s) and contributor(s) and not of MDPI and/or the editor(s). MDPI and/or the editor(s) disclaim responsibility for any injury to people or property resulting from any ideas, methods, instructions or products referred to in the content. |
© 2024 by the authors. Licensee MDPI, Basel, Switzerland. This article is an open access article distributed under the terms and conditions of the Creative Commons Attribution (CC BY) license (https://creativecommons.org/licenses/by/4.0/).






