Structure–Activity Relationship of Natural Dihydrochalcones and Chalcones, and Their Respective Oxyalkylated Derivatives as Anti-Saprolegnia Agents
Abstract
1. Introduction
2. Results and Discussion
2.1. Natural Dihydrochalcones and Chalcones from the Resinous Exudate of Adesmia balsamica
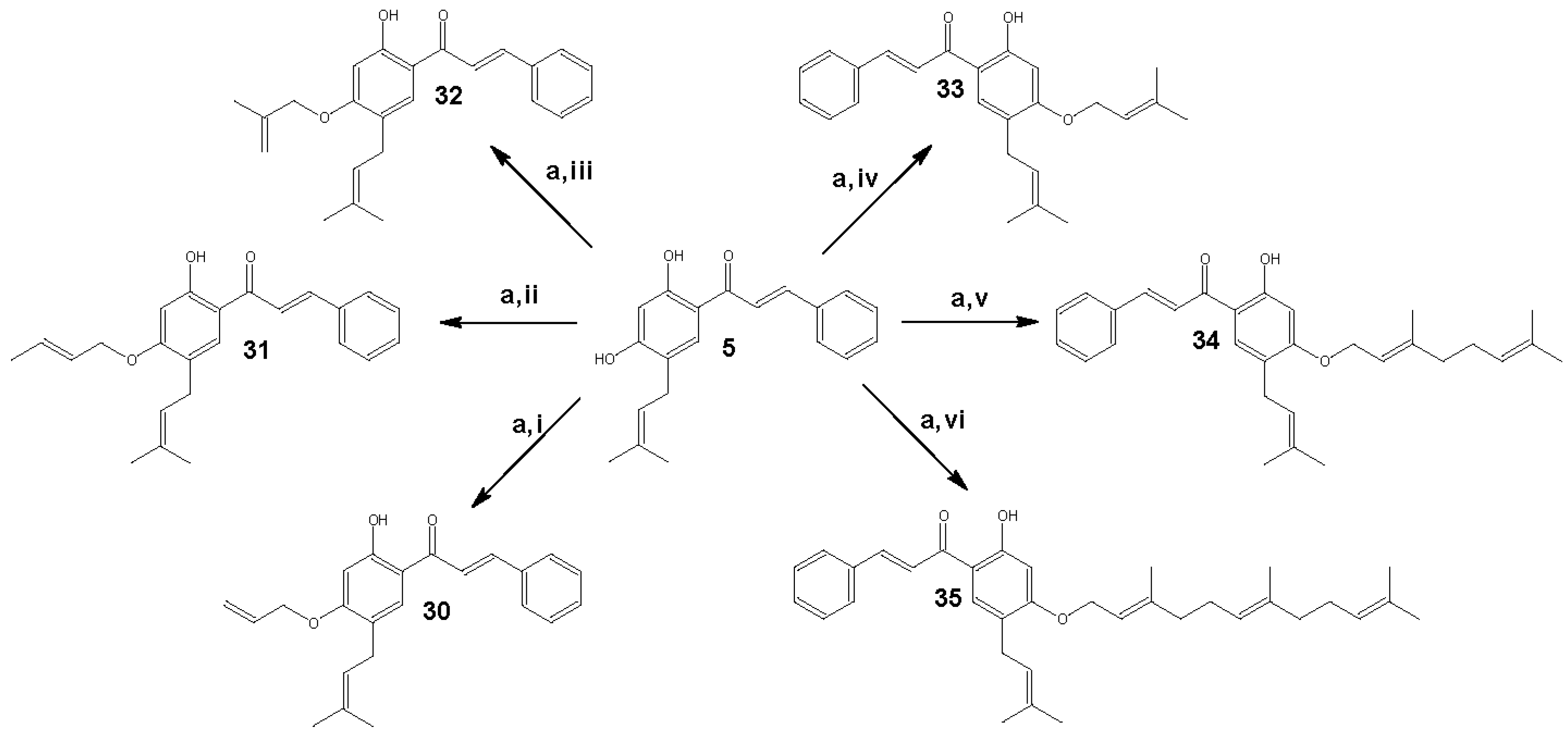
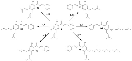
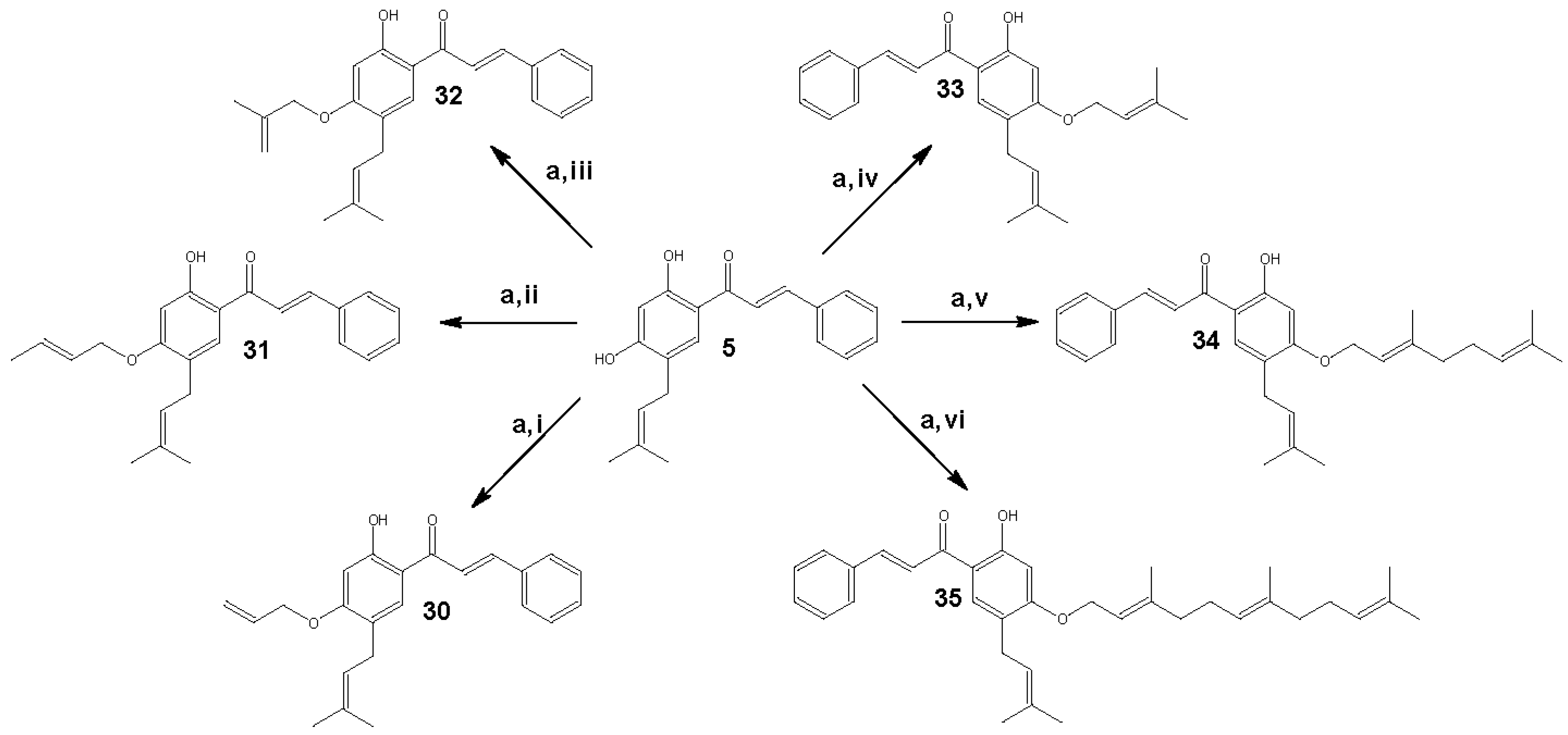
2.2. Synthesis of 4-Oxyalkylchalcones Derivates from Compound 5
2.3. Anti-Oomycete Activity against S. parasitica and S. australis
2.4. 3D-QSAR
2.4.1. Statistical Results of the Models
2.4.2. Contour Maps of CoMFA–SE Models and SAR
3. Materials and Methods
3.1. General
3.2. Isolation of Natural Chalcone from the Resinous Exudate of Adesmia balsamica
3.3. Synthesis of 4-Oxyalkylchalcones
3.4. Determination of Anti-Oomycete Activity against S. parasitica and S. australis
3.4.1. Oomycete Isolate and Culture Conditions
3.4.2. Determination of Minimum Inhibitory Concentration (MIC) and Spore’s Germination Inhibition Test
3.4.3. Mycelial Growth Inhibition Test
3.4.4. Measurement of Cell Membrane Lysis
3.5. 3D-QSAR
3.5.1. CoMFA Method
3.5.2. Internal Validation and Partial Least Squares (PLS) Analysis
3.6. Statistical Analysis
4. Conclusions
Supplementary Materials
Author Contributions
Funding
Institutional Review Board Statement
Informed Consent Statement
Data Availability Statement
Acknowledgments
Conflicts of Interest
References
- Van West, P. Saprolegnia parasitica, an oomycete pathogen with a fishy appetite: New challenges for an old problem. Mycologist 2006, 20, 99–104. [Google Scholar] [CrossRef]
- Barde, R.D. Clinical and pathological investigations in ulcer disease of Cyrinus carpio caused by Aeromonas hydrophila. Int. J. Health Sci. 2022, 6, 519–3526. [Google Scholar] [CrossRef]
- Zaror, L.; Collado, L.; Bohle, H.; Landskron, E.; Montaña, J.; Avendaño, F. Saprolegnia parasitica in salmon and trout from southern Chile. Arch. Med. Vet. 2004, 36, 71–78. [Google Scholar] [CrossRef]
- Pavić, D.; Grbin, D.; Hudina, S.; Zmrzljak, U.; Miljanović, A.; Košir, R.; Varga, F.; Ćurko, J.; Marčić, Z.; Bielen, A. Tracing the oomycete pathogen Saprolegnia parasitica in aquaculture and the environment. Sci. Rep. 2022, 12, 16646. [Google Scholar] [CrossRef] [PubMed]
- Aly, S.M.; Elatta, M.A.; Nasr, A.; Fathi, M. Efficacy of garlic and cinnamon as an alternative to chemotherapeutic agents in controlling Saprolegnia infection in Nile tilapia. Aquaculture and Fisheries. Sci. Rep. 2023, 9, 18013. [Google Scholar] [CrossRef]
- Korkea-Aho, T.; Wiklund, T.; Engblom, C.; Vainikka, A.; Viljamaa-Dirks, S. Detection and Quantification of the Oomycete Saprolegnia parasitica in Aquaculture Environments. Microorganisms 2022, 10, 2186. [Google Scholar] [CrossRef] [PubMed]
- Rezinciuc, S.; Sandoval-Sierra, J.W.; Diéguez-Uribeondo, J. Molecular identification of a bronopol tolerant strain of Saprolegnia australis causing egg and fry mortality in farmed brown trout, Salmo trutta. Fungal Biol. 2014, 118, 591–600. [Google Scholar] [CrossRef] [PubMed]
- Krugner-Higby, L.; Haak, D.; Johnson, P.T.J.; Shields, J.D.; Jones, W., III; Reece, K.S.; Meinke, T.; Gendron, A.; Rusak, J. Ulcerative disease outbreak in crayfish Orconectes propinquus linked to Saprolegnia australis in Big Muskellunge Lake, Wisconsin. Dis. Aquat. Org. 2010, 91, 57–66. [Google Scholar] [CrossRef] [PubMed]
- Tedesco, P.; Fioravanti, M.L.; Galuppi, R. In vitro activity of chemicals and commercial products against Saprolegnia parasitica and Saprolegnia delica strains. J. Fish. Dis. 2019, 42, 237–248. [Google Scholar] [CrossRef]
- Chanu, K.V.; Thakuria, D.; Pant, V.; Bisht, S.; Tandel, R.S. Development of multiplex PCR assay for species-specific detection and identification of Saprolegnia parasitica. Biotechnol. Rep. 2022, 9, 758. [Google Scholar] [CrossRef]
- Hechenleitner, V.; Gardner, M.F.; Thomas, P.I.; Echeverria, C.; Escobar, B.; Brownless, P.; Martinez, C. Plantas amenazadas del Centro-Sur de Chile. Distribución, Conservación y Propagación, Primera Edición; Universidad Austral de Chile y Real Jardín Botánico de Edimburgo: Valdivia, Chile, 2005; pp. 42–43. [Google Scholar]
- Burkart, A. Sinopsis del género sudamericano de Leguminosas Adesmia D.C. (Contribución al estudio del género Adesmia, VII). Darwiniana 1967, 14, 463–568. Available online: https://www.jstor.org/stable/23213858 (accessed on 2 May 2024).
- Martínez, R. Apuntes Sobre la Vegetación del Lago Cholila. Publ. Técnica no 1; Universidad Nacional Del Nordeste—UNNE: Corrientes, Argentina, 1980; pp. 1–22. [Google Scholar]
- Montes, A.L.; Peltz, L. Esencias de plantas aromáticas del Parque Nacional Nahuel Huapi y sus aledaños. 2. Adesmia boronioides Hooker, o paramela. An. Soc. Cient. Argent. 1963, 175, 91–101. [Google Scholar]
- Muñoz, M.; Barrera, E.; Meza, I. El uso medicinal y alimenticio de plantas nativas y naturalizadas en Chile; Publicación Ocasional n°33; Museo Nacional de Historia Natural: Santiago, Chile, 1981; p. 54. [Google Scholar]
- Montes, M.; Wilkomirsky, T. Medicina Tradicional Chilena; Editorial de la Universidad de Concepción: Concepción, Chile, 1985; pp. 104–105. [Google Scholar]
- Campos, A.M.; Lissi, E.; Chavez, M.; Modak, B. Antioxidant activity in heterogeneous and homogeneous system of the resinous exudates from Heliotropium stenophylum and H. sinuatum and of 3-O-methylgalangin their main component. Bol. Latinoam. Caribe Plant. Med. Aromat. 2012, 11, 549–555. Available online: https://www.redalyc.org/articulo.oa?id=85624607007 (accessed on 2 May 2024).
- Midiwo, J.; Omoto, F.; Yenesew, A.; Akala, H.; Wangui, J.; Liyala, P.; Wasunna, C.; Waters, N. The first 9-hydroxyhomoisoflavanone, and antiplasmodial chalcones, from the aerial exudates of Polygonum senegalense. Arkivoc. 2007, 9, 21–27. Available online: https://www.arkat-usa.org/get-file/23074/ (accessed on 3 May 2024). [CrossRef]
- Elkanzi, N.A.A.; Hrichi, H.; Alolayan, R.A.; Derafa, W.; Zahou, F.M.; Bakr, R.B. Synthesis of Chalcones Derivatives and Their Biological Activities: A Review. ACS Omega 2022, 7, 27769–27786. [Google Scholar] [CrossRef] [PubMed]
- Qin, H.L.; Zhang, Z.W.; Lekkala, R.; Alsulami, H.; Rakesh, K. Chalcone hybrids as privileged scaffolds in antimalarial drug discovery: A key review. Eur. J. Med. Chem. 2020, 193, 112215. [Google Scholar] [CrossRef]
- Rashid, H.; Xu, Y.; Ahmad, N.; Muhammad, Y.; Wang, L. Promising anti-inflammatory effects of chalcones via inhibition of cyclooxygenase, prostaglandin E2, inducible NO synthase and nuclear factor κb activities. Bioorganic Chem. 2019, 87, 335–365. [Google Scholar] [CrossRef]
- Lakshminarayanan, B.; Kannappan, N.; Subburaju, T. Synthesis and biological evaluation of novel chalcones with methanesulfonyl end as potent analgesic and anti-inflammatory agents. Int. J. Pharm. Res. Biosci. 2020, 11, 4974–4981. [Google Scholar] [CrossRef]
- Duran, N.; Polat, M.F.; Aktas, D.A.; Alagoz, M.A.; Ay, E.; Cimen, F.; Tek, E.; Anil, B.; Burmaoglu, S.; Algul, O. New chalcone derivatives as effective against SARS-CoV-2 agent. Int. J. Clin. Pract. 2021, 75, 14846. [Google Scholar] [CrossRef]
- Bhoj, P.; Togre, N.; Bahekar, S.; Goswami, K.; Chandak, H.; Patil, M. Immunomodulatory Activity of Sulfonamide Chalcone Compounds in Mice Infected with Filarial Parasite Brugia malayi. Indian. J. Clin. Biochem. 2019, 34, 225–229. [Google Scholar] [CrossRef]
- Flores, S.; Montenegro, I.; Villena, J.; Cuellar, M.; Werner, E.; Godoy, P.; Madrid, A. Synthesis and Evaluation of Novel Oxyalkylated Derivatives of 2′,4′-Dihydroxychalcone as Anti-Oomycete Agents against Bronopol Resistant Strains of Saprolegnia sp. Int. J. Mol. Sci. 2016, 17, 1366. [Google Scholar] [CrossRef] [PubMed]
- Montenegro, I.; Muñoz, O.; Villena, J.; Werner, E.; Mellado, M.; Ramírez, I.; Caro, N.; Flores, S.; Madrid, A. Structure-Activity Relationship of Dialkoxychalcones to Combat Fish Pathogen Saprolegnia australis. Molecules 2018, 23, 1377. [Google Scholar] [CrossRef] [PubMed]
- Żołnierczyk, A.K.; Baczyńska, D.; Potaniec, B.; Kozłowska, J.; Grabarczyk, M.; Woźniak, E.; Anioł, M. Antiproliferative and antioxidant activity of xanthohumol acyl derivatives. Med. Chem. Res. 2017, 26, 1764–1771. [Google Scholar] [CrossRef]
- Villena, J.; Montenegro, I.; Said, B.; Werner, E.; Flores, S.; Madrid, A. Ultrasound assisted synthesis and cytotoxicity evaluation of known 2′,4′-dihydroxychalcone derivatives against cancer cell lines. Food Chem. Toxicol. 2021, 148, 111969. [Google Scholar] [CrossRef] [PubMed]
- Montenegro, I.; Madrid, A. Synthesis of dihydroisorcordoin derivatives and their in vitro anti-oomycete activities. Nat. Prod. Res. 2019, 33, 1214–1217. [Google Scholar] [CrossRef] [PubMed]
- Werner, E.; Montenegro, I.; Said, B.; Godoy, P.; Besoain, X.; Caro, N.; Madrid, A. Synthesis and Anti-Saprolegnia Activity of New 2′,4′-Dihydroxydihydrochalcone Derivatives. Antibiotics 2020, 9, 317. [Google Scholar] [CrossRef]
- Escobar, B.; Montenegro, I.; Villena, J.; Werner, E.; Godoy, P.; Olguín, Y.; Madrid, A. Hemi-synthesis, and anti-oomycete activity of analogues of isocordoin. Molecules 2017, 22, 968. [Google Scholar] [CrossRef] [PubMed]
- Madrid Villegas, A.; Espinoza Catalán, L.; Montenegro Venegas, I.; Villena García, J.; Carrasco Altamirano, H. New Catechol Derivatives of Safrole and Their Antiproliferative Activity towards Breast Cancer Cells. Molecules 2011, 16, 4632–4641. [Google Scholar] [CrossRef] [PubMed]
- da Silva, E.M.B.M.; Ruiz, A.L.T.G.; de Carvalho, J.E.; Pomini, A.M.; Pastorini, L.H.; Oliveira Santin, S.M. Antiproliferative activity and chemical constituents of Lonchocarpus cultratus (Fabaceae). Nat. Prod. Res. 2019, 35, 2056–2059. [Google Scholar] [CrossRef]
- Willoughby, L.G.; Roberts, R.J. Improved methodology for isolation of Aphanomyces fungal pathogen of epizootic ulcerative syndrome (EUS) in Asian fish. J. Fish. Dis. 1994, 17, 541–543. [Google Scholar] [CrossRef]
- Griffin, D.H. Achlya bisexualis. In Lower Fungi in the Laboratory; Fuller, M.S., Ed.; Southeastern Publishing Corporation: Athens, GA, USA, 1978; pp. 67–68. [Google Scholar]
- Lunde, C.; Kubo, I. Effect of Polygodial on the Mitochondrial ATPase of Saccharomyces cerevisiae. Antimicrob. Agents Chemother. 2000, 44, 1943–1953. [Google Scholar] [CrossRef] [PubMed]
- Córdova-Sintjago, T.; Villa, N.; Fang, L.; Booth, R.G. Aromatic interactions impact ligand binding and function at serotonin 5-HT2C G protein-coupled receptors: Receptor homology modeling, ligand docking, and molecular dynamics results validated by experimental studies. Mol. Phys. 2014, 112, 398–407. [Google Scholar] [CrossRef] [PubMed]
- Powell, M.J.D. An efficient method for finding the minimum of a function of several variables without calculating derivatives. Comput. J. 1964, 7, 155–162. [Google Scholar] [CrossRef]
- Clark, M.; Cramer, R.D.; van Opdenbosch, N. Validation of the general purpose Tripos 5.2 force field. J. Comput. Chem. 1989, 10, 982–1012. [Google Scholar] [CrossRef]





| Compounds | MIC a (µmol/L) | MOC b (µmol/L) | Compounds | MIC a (µmol/L) | MOC b (µmol/L) | ||||
|---|---|---|---|---|---|---|---|---|---|
| S. parasitica | S. australis | S. parasitica | S. australis | S. parasitica | S. australis | S. parasitica | S. australis | ||
| 1 | 515.9 | 412.8 | 619.2 | 515.9 | 20 | 679.4 | 594.5 | >679.4 | 679.4 |
| 2 | 322.2 | 322.2 | 322.2 | 322.2 | 21 | 648.6 | 175 | >648.6 | 648.6 |
| 3 | 52.0 | 52.0 | 208.1 | 166.4 | 22 | 531.2 | 464.8 | 531.2 | 464.8 |
| 4 | >648.6 | 648.6 | >648.6 | >648.6 | 23 | 281.1 | 224.9 | 149.9 | 281.1 |
| 5 | >648.5 | 648.5 | >648.5 | >648.5 | 24 | 286.9 | 215.2 | 358.7 | 430.5 |
| 6 | 531.3 | 442.8 | 708.4 | 619.9 | 25 | 275.9 | 206.9 | 344.9 | 275.9 |
| 7 | >674.8 | 674.8 | >674.8 | 674.8 | 26 | 344.9 | 344.9 | 344.9 | 344.9 |
| 8 | 421.8 | 421.8 | 506.1 | 421.8 | 27 | 398.4 | 332.0 | 332.0 | 332.0 |
| 9 | >644.3 | 644.3 | >644.3 | 644.3 | 28 | >449.8 | >449.8 | >449.8 | >449.8 |
| 10 | >528.4 | 528.4 | >528.4 | 528.4 | 29 | 292.6 | 146.3 | 292.6 | 195.1 |
| 11 | >447.8 | >447.8 | >447.8 | >447.8 | 30 | >573.9 | 573.9 | >573.9 | >573.9 |
| 12 | 356.7 | 285.3 | 427.9 | 356.7 | 31 | >550.3 | 550.3 | >550.3 | >550.3 |
| 13 | 342.9 | 342.9 | 411.5 | 342.9 | 32 | 551.8 | 551.8 | >551.8 | >551.8 |
| 14 | 411.5 | 411.5 | 411.5 | 411.5 | 33 | 265.6 | 265.6 | 125 | 265.6 |
| 15 | >528.4 | 264.2 | >528.4 | 330.3 | 34 | 112.5 | 56.2 | 112.5 | 56.2 |
| 16 | >447.8 | >447.8 | >447.8 | >447.8 | 35 | 292.6 | 243.8 | 292.6 | 243.8 |
| 17 | 242.8 | 194.3 | 242.8 | 194.3 | Bronopol | >1000 | 875.0 | >1000 | 1000 |
| 18 | 713.5 | 1624.3 | 713.5 | 624.3 | Fluconazole | >653.0 | >653.0 | >653.0 | >653.0 |
| 19 | >679.5 | 679.5 | >679.5 | 679.5 | Safrole | 1078.9 | 924.8 | 1078.9 | 924.8 |
| Compounds | MGI (%) | Compounds | MGI (%) | ||
|---|---|---|---|---|---|
| S. parasitica | S. australis | S. parasitica | S. australis | ||
| 1 | 55 | 100 | 19 | 0 | 0 |
| 2 | 43 | 45 | 20 | 0 | 0 |
| 3 | 100 | 0 | 21 | 0 | 0 |
| 4 | 0 | 0 | 22 | 36 | 38 |
| 5 | 0 | 0 | 23 | 40 | 13 |
| 6 | 13 | 36 | 24 | 31 | 33 |
| 7 | 0 | 0 | 25 | 25 | 30 |
| 8 | 50 | 43 | 26 | 0 | 0 |
| 9 | 0 | 38 | 27 | 28 | 30 |
| 10 | 10 | 13 | 28 | 0 | 0 |
| 11 | 50 | 55 | 29 | 37 | 39 |
| 12 | 15 | 17 | 30 | 0 | 0 |
| 13 | 10 | 12 | 31 | 0 | 0 |
| 14 | 8 | 10 | 32 | 0 | 0 |
| 15 | 12 | 14 | 33 | 39 | 41 |
| 16 | 0 | 0 | 34 | 55 | 58 |
| 17 | 19 | 23 | D | 20 | 23 |
| 18 | 12 | 37 | Bronopol | 0 | 33 |
| Compounds | Damage (%) a | Compounds | Damage (%) a | ||
|---|---|---|---|---|---|
| S. parasitica | S. australis | S. parasitica | S. australis | ||
| 1 | 40 | 50 | 19 | 0 | 0 |
| 2 | 43 | 45 | 20 | 0 | 0 |
| 3 | 100 | 25 | 21 | 10 | 0 |
| 4 | 0 | 0 | 22 | 23 | 27 |
| 5 | 0 | 0 | 23 | 30 | 35 |
| 6 | 0 | 0 | 24 | 31 | 33 |
| 7 | 0 | 0 | 25 | 25 | 30 |
| 8 | 30 | 40 | 26 | 35 | 38 |
| 9 | 0 | 0 | 27 | 28 | 30 |
| 10 | 0 | 0 | 28 | 0 | 0 |
| 11 | 0 | 0 | 29 | 37 | 39 |
| 12 | 15 | 17 | 30 | 0 | 0 |
| 13 | 10 | 12 | 31 | 0 | 0 |
| 14 | 8 | 10 | 32 | 0 | 0 |
| 15 | 12 | 14 | 33 | 40 | 44 |
| 16 | 0 | 0 | 34 | 58 | 60 |
| 17 | 19 | 23 | 35 | 27 | 29 |
| 18 | 16 | 0 | Bronopol | 0 | 33 |
| CoMFA–SE | % Contribution | ||||||||
|---|---|---|---|---|---|---|---|---|---|
| N | q2 | r2NCV | SEE | F | SEP | r2pred | Steric | Electrostatic | |
| S. parasitica | 1 | 0.547 | 0.729 | 0.08 | 45718 | 0.103 | 0.763 | 0.587 | 0.413 |
| S. australis | 2 | 0.623 | 0.917 | 0.05 | 88692 | 0.099 | 0.831 | 0.795 | 0.205 |
| pIC50 S. parasitica | pIC50 S. australis | ||||||
|---|---|---|---|---|---|---|---|
| Compound | Exp | Pred | Residual | Compound | Exp | Pred | Residual |
| *5 | 3.1881 | 3.270 | −0.082 | *5 | 3.188 | 3.191 | −0.003 |
| 6 | 3.2747 | 3.159 | 0.116 | 6 | 3.354 | 3.147 | 0.207 |
| 7 | 3.1708 | 3.187 | −0.016 | 7 | 3.171 | 3.200 | −0.029 |
| *8 | 3.3749 | 3.197 | 0.178 | *8 | 3.375 | 3.174 | 0.201 |
| 9 | 3.1909 | 3.185 | 0.006 | 9 | 3.191 | 3.188 | 0.003 |
| *10 | 3.2770 | 3.289 | −0.012 | *10 | 3.277 | 3.312 | −0.035 |
| 11 | 3.3489 | 3.353 | −0.004 | 11 | 3.349 | 3.300 | 0.049 |
| 18 | 3.1466 | 3.157 | −0.010 | 18 | 3.205 | 3.172 | 0.033 |
| 19 | 3.1678 | 3.184 | −0.016 | 19 | 3.168 | 3.224 | −0.056 |
| 20 | 3.1678 | 3.196 | −0.028 | 20 | 3.226 | 3.208 | 0.018 |
| 21 | 3.1881 | 3.186 | 0.002 | 21 | 3.246 | 3.223 | 0.023 |
| 22 | 3.2747 | 3.293 | −0.018 | 22 | 3.333 | 3.342 | −0.009 |
| *23 | 3.5511 | 3.344 | 0.207 | *23 | 3.648 | 3.321 | 0.327 |
| 32 | 3.2582 | 3.310 | −0.052 | 32 | 3.258 | 3.320 | −0.062 |
| 33 | 3.5758 | 3.393 | 0.183 | 33 | 3.576 | 3.498 | 0.078 |
| *34 | 3.9490 | 3.491 | 0.458 | *34 | 4.250 | 3.637 | 0.613 |
| 35 | 3.5338 | 3.559 | −0.025 | 35 | 3.613 | 3.635 | −0.022 |
Disclaimer/Publisher’s Note: The statements, opinions and data contained in all publications are solely those of the individual author(s) and contributor(s) and not of MDPI and/or the editor(s). MDPI and/or the editor(s) disclaim responsibility for any injury to people or property resulting from any ideas, methods, instructions or products referred to in the content. |
© 2024 by the authors. Licensee MDPI, Basel, Switzerland. This article is an open access article distributed under the terms and conditions of the Creative Commons Attribution (CC BY) license (https://creativecommons.org/licenses/by/4.0/).
Share and Cite
Madrid, A.; Muñoz, E.; Silva, V.; Martínez, M.; Flores, S.; Valdés, F.; Cabezas-González, D.; Montenegro, I. Structure–Activity Relationship of Natural Dihydrochalcones and Chalcones, and Their Respective Oxyalkylated Derivatives as Anti-Saprolegnia Agents. Plants 2024, 13, 1976. https://doi.org/10.3390/plants13141976
Madrid A, Muñoz E, Silva V, Martínez M, Flores S, Valdés F, Cabezas-González D, Montenegro I. Structure–Activity Relationship of Natural Dihydrochalcones and Chalcones, and Their Respective Oxyalkylated Derivatives as Anti-Saprolegnia Agents. Plants. 2024; 13(14):1976. https://doi.org/10.3390/plants13141976
Chicago/Turabian StyleMadrid, Alejandro, Evelyn Muñoz, Valentina Silva, Manuel Martínez, Susana Flores, Francisca Valdés, David Cabezas-González, and Iván Montenegro. 2024. "Structure–Activity Relationship of Natural Dihydrochalcones and Chalcones, and Their Respective Oxyalkylated Derivatives as Anti-Saprolegnia Agents" Plants 13, no. 14: 1976. https://doi.org/10.3390/plants13141976
APA StyleMadrid, A., Muñoz, E., Silva, V., Martínez, M., Flores, S., Valdés, F., Cabezas-González, D., & Montenegro, I. (2024). Structure–Activity Relationship of Natural Dihydrochalcones and Chalcones, and Their Respective Oxyalkylated Derivatives as Anti-Saprolegnia Agents. Plants, 13(14), 1976. https://doi.org/10.3390/plants13141976

