Ascent and Attachment in Pea Plants: A Matter of Iteration
Abstract
1. Introduction
2. Results
2.1. Qualitative Results
2.2. Kinematical Results
2.2.1. Question 1 (Q1)—Is Kinematics Affected by the Presence of a Support?
2.2.2. Question 2 (Q2)—Is There a Benchmark in Plant Development Dynamics?
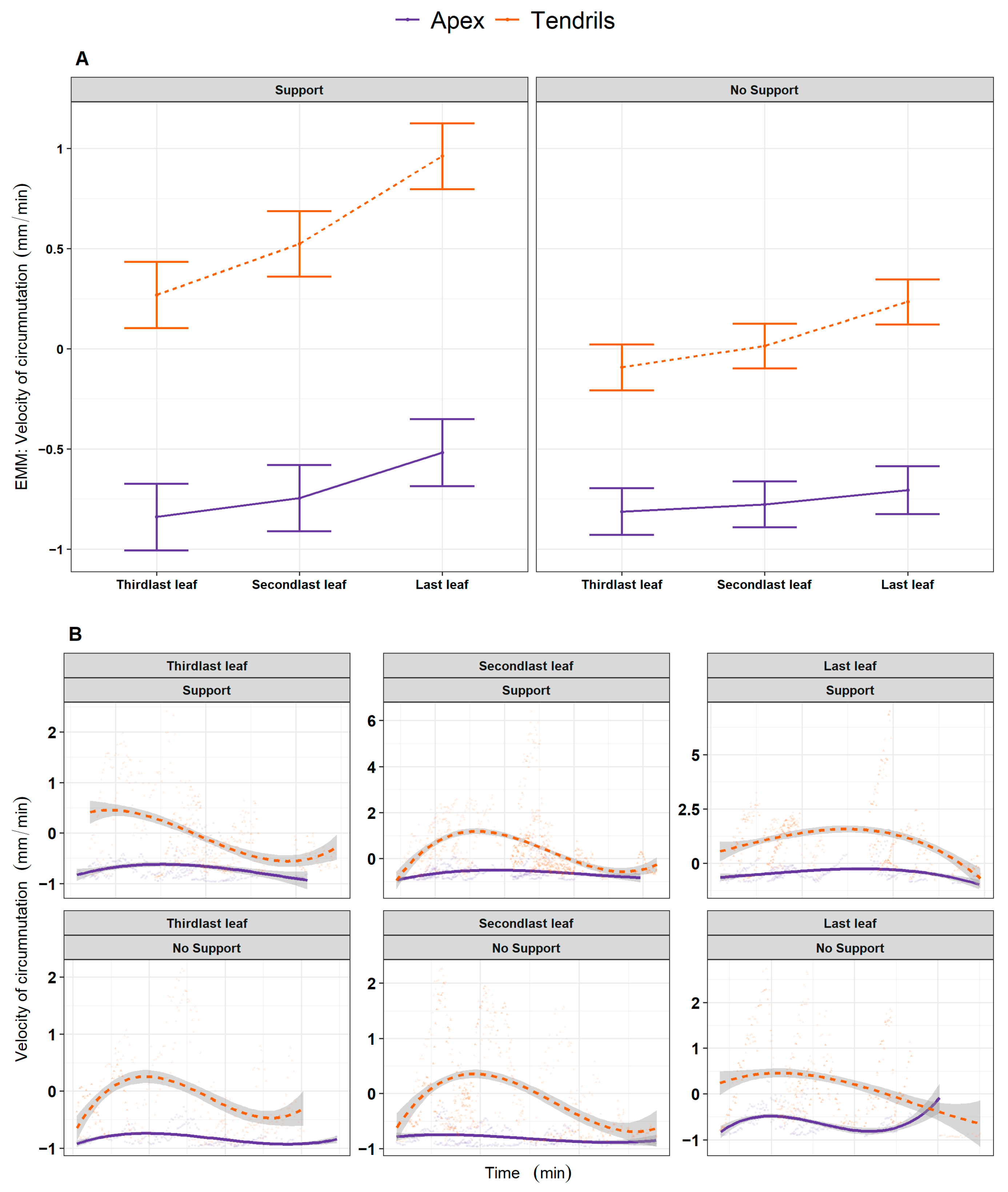
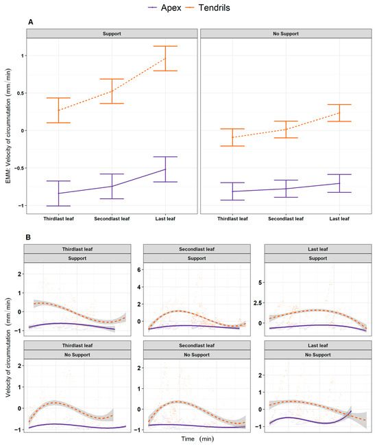
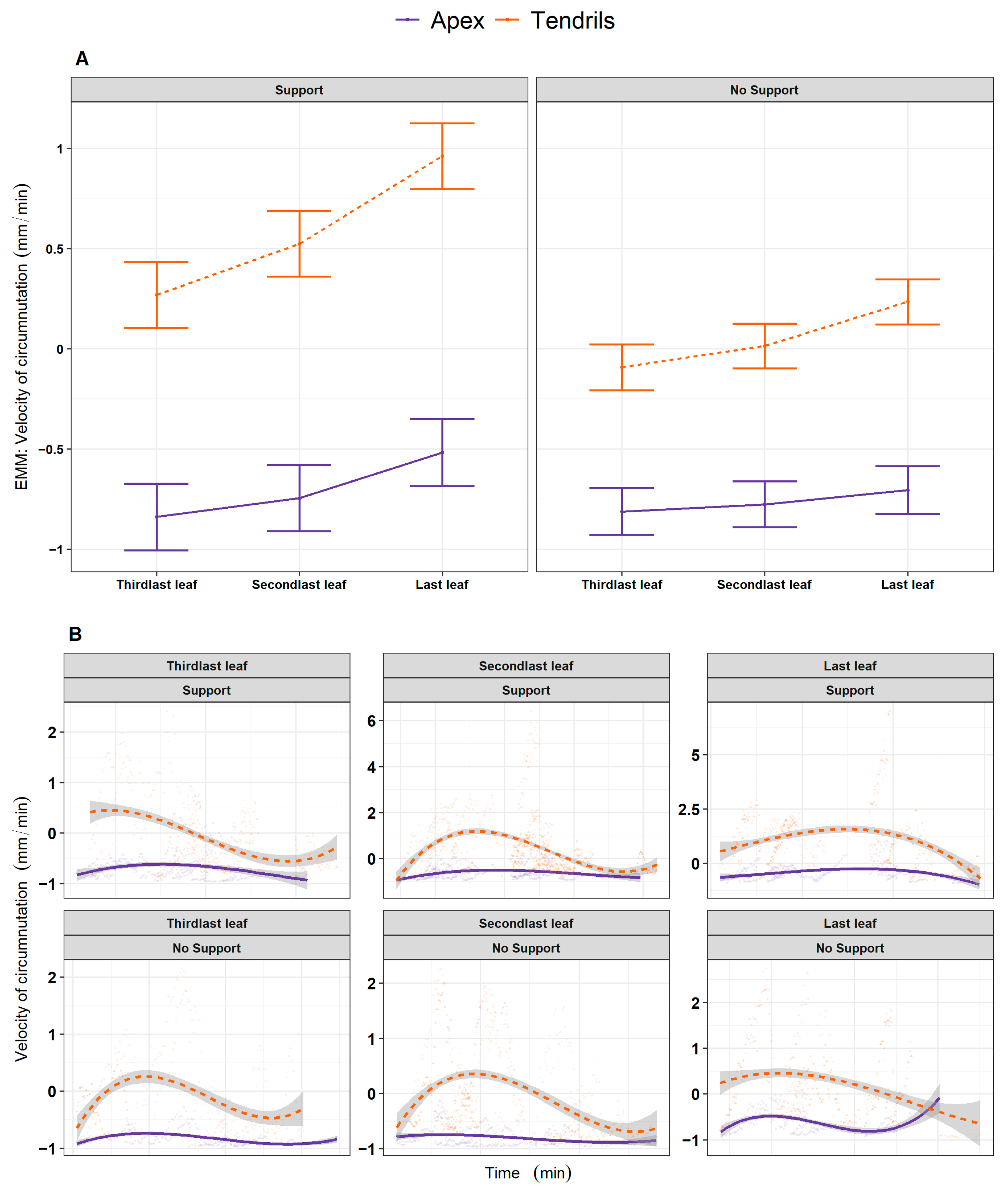
2.2.3. Question 3 (Q3)—Is the Growth Pattern for the Apex and the Tendrils Similar across Leaf Development?
2.2.4. Question 4 (Q4)—At Which Growing Stage Does the Plant Deliver the Attachment Phase?
3. Discussion
4. Materials and Methods
4.1. Subjects
4.2. Experimental Conditions
4.3. Germination and Growth Conditions
4.4. Video Recording and Data Analysis
4.5. Dependent Measures
- (i)
- Spatial trajectories: this measure allows us to describe circumnutation in both qualitative and quantitative terms.
- (ii)
- Movement time (min): The interval between the movement’s beginning and end. That is, when the plant encountered the potential support (i.e., ‘Support’ condition) or collapsed (i.e., ‘No Support’ condition).
- (iii)
- The average circumnutation velocity (mm/min).
- (iv)
- The distance from the origin of the plant to the center of circumnutation: Euclidean distance (mm) between the Circumnutation Center (i.e., the geometric center of gravity in the X–Z plane computed as the mean of each coordinate for all the points constituting the circumnutation) and the plant origin in the X–Z plane.
- (v)
- Area of the circumnutation (mm2) as the sum of pixels with a value equal to 1, obtained from the binarization of the circumnutation trajectory.
- (vi)
- Average circumnutation acceleration (mm/min2).
- (vii)
- Number of circumnutations performed by the plant during the entire movement time.
- (viii)
- Number of switch directions during each circumnutation (clockwise, counterclockwise, and none). For each circumnutation, the sum of all the angles between the movement vector at time t and the movement vector at time t + 1 is calculated. The direction, then, is determined according to the following logic: if the resulting sum is equal to 2π ± 1.2, then the direction is counterclockwise, or else if the resulting sum is equal to −2π ± 1.2, then the direction is clockwise. For all other cases, no direction is assigned.
4.6. Statistical Analysis
Supplementary Materials
Author Contributions
Funding
Data Availability Statement
Acknowledgments
Conflicts of Interest
References
- Burris, J.N.; Lenaghan, S.C.; Stewart, C.N. Climbing plants: Attachment adaptations and bioinspired innovations. Plant Cell Rep. 2018, 37, 565–574. [Google Scholar] [CrossRef] [PubMed]
- Darwin, C. The Movements and Habits of Climbing Plants; John Murray: London, UK, 1875. [Google Scholar]
- Gianoli, E. The behavioural ecology of climbing plants. AoB PLANTS 2015, 7, plv013. [Google Scholar] [CrossRef] [PubMed]
- Jaffe, M.J.; Galston, A.W. Physiological studies on pea tendrils. I. Growth and coiling following mechanical stimulation. Plant Physiol. 1966, 41, 1014–1025. [Google Scholar] [CrossRef] [PubMed]
- Jaffe, M.J.; Galston, A.W. Physiological studies on pea tendrils. II. The role of light and ATP in contact coiling. Plant Physiol. 1966, 41, 1152–1158. [Google Scholar] [CrossRef] [PubMed]
- Jaffe, M.J.; Galston, A.W. Physiological studies on pea tendrils. IV. Flavonoids and contact coiling. Plant Physiol. 1967, 42, 848–850. [Google Scholar] [CrossRef] [PubMed]
- Jaffe, M.J.; Galston, A.W. Physiological studies on pea tendrils. III. ATPase activity and contractility associated with coiling. Plant Physiol. 1967, 42, 845–847. [Google Scholar] [CrossRef] [PubMed]
- Jaffe, M.J. Physiological Studies on Pea Tendrils VIII. The Relationship of Circumnutation to Contact Coiling—With a Description of a Laboratory Intervalometer Using Integrated Digital Circuits. Physiol. Plant 1972, 26, 73–80. [Google Scholar] [CrossRef]
- Jaffe, M.J. Thigmomorphogenesis: The response of plant growth and development to mechanical stimulation: With special reference to Bryonia dioica. Planta 1973, 114, 143–157. [Google Scholar] [CrossRef] [PubMed]
- Liou, N.S.; Ruan, G.W. The mechanical properties of tendril of climbing plant. In Mechanics of Biological Systems and Materials, Volume 2: Proceedings of the 2011 Annual Conference on Experimental and Applied Mechanics; Springer: New York, NY, USA, 2011; pp. 101–104. [Google Scholar] [CrossRef]
- Darwin, C.; Darwin, F. The Power of Movement in Plants; John Murray: London, UK, 1880. [Google Scholar] [CrossRef]
- Bonato, B.; Simonetti, V.; Bulgheroni, M.; Wang, Q.; Guerra, S.; Quaggiotti, S.; Ruperti, B.; Castiello, U. Evidence of motor intentions in plants: A kinematical study. J. Comp. Psychol. 2023, 137, 228–237. [Google Scholar] [CrossRef] [PubMed]
- Ceccarini, F.; Guerra, S.; Peressotti, A.; Peressotti, F.; Bulgheroni, M.; Bacinelli, W.; Bonato, B.; Castiello, U. On–line control of movement in plants. Biochem. Biophys. Res. Commun. 2020, 564, 86–91. [Google Scholar] [CrossRef]
- Ceccarini, F.; Guerra, S.; Peressotti, A.; Peressotti, F.; Bulgheroni, M.; Bacinelli, W.; Bonato, B.; Castiello, U. Speed–accuracy trade–off in plants. Psychon. Bull. Rev. 2020, 27, 966–973. [Google Scholar] [CrossRef] [PubMed]
- Guerra, S.; Peressotti, A.; Peressotti, F.; Bulgheroni, M.; Bacinelli, W.; D’Amico, E.; Gómez, A.; Massaccesi, S.; Ceccarini, F.; Castiello, U. Flexible control of movement in plants. Sci. Rep. 2019, 9, 16570. [Google Scholar] [CrossRef] [PubMed]
- Guerra, S.; Bonato, B.; Wang, Q.; Ceccarini, F.; Peressotti, A.; Peressotti, F.; Bacinelli, W.; Bulgheroni, M.; Castiello, U. The coding of object thickness in plants: When roots matter. J. Comp. Psychol. 2021, 135, 495–504. [Google Scholar] [CrossRef] [PubMed]
- Guerra, S.; Bonato, B.; Wang, Q.; Ceccarini, F.; Peressotti, A.; Peressotti, F.; Bacinelli, W.; Bulgheroni, M.; Castiello, U. Kinematic evidence of root–to–shoot signaling for the coding of support thickness in pea plants. Biology 2022, 11, 405. [Google Scholar] [CrossRef] [PubMed]
- Hofer, J.; Turner, L.; Moreau, C.; Ambrose, M.; Isaac, P.; Butcher, S.; Weller, J.; Dupin, A.; Dalmais, M.; Le Signor, C.; et al. Tendril–less regulates tendril formation in pea leaves. Plant Cell. 2009, 21, 420–428. [Google Scholar] [CrossRef] [PubMed]
- Wang, Q.; Barbariol, T.; Susto, G.A.; Bonato, B.; Guerra, S.; Castiello, U. Classifying circumnutation in pea plants via supervised machine learning. Plants 2023, 12, 965. [Google Scholar] [CrossRef] [PubMed]
- Wang, Q.; Guerra, S.; Bonato, B.; Simonetti, V.; Bulgheroni, M.; Castiello, U. Decision–making underlying support searching in pea plants. Plants 2023, 12, 1597. [Google Scholar] [CrossRef]
- Beer, R.D. On the dynamics of small continuous–time recurrent neural networks. Adapt. Behav. 1995, 3, 469–509. [Google Scholar] [CrossRef]
- Boswell, F.P. Trial and error learning. Psychol. Rev. 1947, 54, 282. [Google Scholar] [CrossRef] [PubMed]
- Hull, C.L.; Spence, K.W. “Correction” vs. “non–correction” method of trial–and–error learning in rats. J. Comp. Psychol. 1938, 25, 127. [Google Scholar] [CrossRef]
- Arimoto, S. A brief history of iterative learning control. In Iterative Learning Control: Analysis, Design, Integration and Applications; Bien, Z., Xu, X., Eds.; Kluwer: Boston, MA, USA, 1998; pp. 3–7. [Google Scholar]
- Park, B.H.; Kuc, T.Y.; Lee, J.S. Adaptive learning control of uncertain robotic systems. Int. J. Control. 1996, 65, 725–744. [Google Scholar] [CrossRef]
- Girloy, S.; Trewavas, T. Agency, teleonomy and signal transduction in plant systems. Biol. J. Linn. Soc. 2023, 139, 514–529. [Google Scholar] [CrossRef]
- Lewontin, R.C. Gene, organism and environment. In Cycles of Contingency; Oyama, S., Griffiths, P.E., Gray, R.D., Eds.; MIT Press: Cambridge, UK, 2001; pp. 59–67. [Google Scholar]
- Hamant, O.; Moulia, B. How do plants read their own shapes? New Phytol. 2016, 212, 333–337. [Google Scholar] [CrossRef] [PubMed]
- Putz, F.E.; Holbrook, N.M. Biomechanical studies of vines. In The Biology of Vines; Putz, F.E., Mooney, H.A., Eds.; Cambridge University Press: Cambridge, UK, 1991; pp. 73–97. [Google Scholar]
- Rowe, N.; Isnard, S. Biomechanics of climbing palms and how they climb. Plant Signal. Behav. 2009, 4, 875–877. [Google Scholar] [CrossRef] [PubMed]
- Moulia, B.; Douady, S.; Hamant, O. Fluctuations shape plants through proprioception. Science 2021, 372, eabc6868. [Google Scholar] [CrossRef] [PubMed]
- Falik, O.; Reides, P.; Gersani, M.; Novoplansky, A. Root navigation by self inhibition. Plant Cell Environ. 2005, 28, 562–569. [Google Scholar] [CrossRef]
- Spurný, M. Effect of root tip amputation on spiral oscillations of the growing hypocotyl with radicle of the pea (Pisum sativum L.). Biol. Plant 1968, 10, 98–111. [Google Scholar] [CrossRef]
- Spurný, M. Parameters of spiral oscillations as indicating the efficiency of control system of growing roots. Biol. Plant 1973, 15, 358–360. [Google Scholar] [CrossRef]
- Souza, G.M.; Toledo, G.R.; Saraiva, G.F. Towards systemic view for plant learning: Ecophysiological perspective. In Memory and Learning in Plants; Signaling and Communication in Plants; Baluska, F., Gagliano, M., Witzany, G., Eds.; Springer: Cham, Switzerland, 2018. [Google Scholar] [CrossRef]
- Debono, M.W.; Souza, G.M. Plants as electromic plastic interfaces: A mesological approach. Prog. Biophys. Mol. Biol. 2019, 146, 123–133. [Google Scholar] [CrossRef] [PubMed]
- Souza, G.M.; Ferreira, A.S.; Saraiva, G.F.; Toledo, G.R. Plant “electrome” can be pushed toward a self–organized critical state by external cues: Evidences from a study with soybean seedlings subject to different environmental conditions. Plant Signal. Behav. 2017, 12, e1290040. [Google Scholar] [CrossRef]
- Notaguchi, M.; Okamoto, S. Dynamics of long-distance signaling via plant vascular tissues. Front. Plant Sci. 2015, 6, 161. [Google Scholar] [CrossRef] [PubMed]
- Symons, G.M.; Reid, J.B. Brassinosteroids do not undergo long-distance transport in pea. Implications for the regulation of endogenous brassinosteroid levels. Plant Physiol. 2004, 135, 2196–2206. [Google Scholar] [CrossRef] [PubMed]
- Durbak, A.; Yao, H.; McSteen, P. Hormone signaling in plant development. Curr. Opin. Plant Biol. 2012, 15, 92–96. [Google Scholar] [CrossRef]
- Lüttge, U. Integrative emergence in contrast to separating modularity in plant biology: Views on systems biology with information, signals and memory at scalar levels from molecules to the biosphere. Theor. Exp. Plant Physiol. 2021, 33, 1–13. [Google Scholar] [CrossRef]
- Vashi, J.D. Plant Hormones-Natural Growth Regulators. J. Exp. Agric. Int. 2023, 45, 30–38. [Google Scholar] [CrossRef]
- Simonetti, V.; Bulgheroni, M.; Guerra, S.; Peressotti, A.; Peressotti, F.; Baccinelli, W.; Ceccarini, F.; Bonato, B.; Wang, Q.; Castiello, U. Can plants move like animals? A three–dimensional stereovision analysis of movement in plants. Animals 2021, 11, 1854. [Google Scholar] [CrossRef]
- RStudio Team. RStudio: Integrated Development for R; RStudio, PBC: Boston, MA, USA, 2020; Version 4.2.2; Available online: http://www.rstudio.com/ (accessed on 29 January 2024).
- Bates, D.; Mächler, M.; Bolker, B.; Walker, S. Fitting Linear Mixed–Effects Models Using lme4. J. Stat. Softw. 2015, 67, 1–48. [Google Scholar] [CrossRef]
- Wood, S.N. Generalized Additive Models: An Introduction with R; CRC Press: Boca Raton, FL, USA, 2017. [Google Scholar]
- Fox, J.; Weisberg, S. An R Companion to Applied Regression; Sage Publications: Thousand Oaks, CA, USA, 2011. [Google Scholar]
- Lenth, R. Emmeans: Estimated Marginal Means, Aka Least–Squares Means; R Package Version 1.4. 7. 2020; R Core Team: Vienna, Austria, 2022. [Google Scholar]
- Wickham, H. Ggplot2: Elegant Graphics for Data Analysis; Springer: New York, NY, USA, 2016. [Google Scholar]







| No Support condition | |
| N° | 8 |
| Distance | – |
| Age | 21.12d (±1.5) |
| N° of leaves | 5 (±0.93) |
| Support condition | |
| N° | 16 |
| Distance | 12 cm |
| Age | 23d (±1) |
| N° of leaves | 5 (±1.67) |
Disclaimer/Publisher’s Note: The statements, opinions and data contained in all publications are solely those of the individual author(s) and contributor(s) and not of MDPI and/or the editor(s). MDPI and/or the editor(s) disclaim responsibility for any injury to people or property resulting from any ideas, methods, instructions or products referred to in the content. |
© 2024 by the authors. Licensee MDPI, Basel, Switzerland. This article is an open access article distributed under the terms and conditions of the Creative Commons Attribution (CC BY) license (https://creativecommons.org/licenses/by/4.0/).
Share and Cite
Guerra, S.; Bruno, G.; Spoto, A.; Panzeri, A.; Wang, Q.; Bonato, B.; Simonetti, V.; Castiello, U. Ascent and Attachment in Pea Plants: A Matter of Iteration. Plants 2024, 13, 1389. https://doi.org/10.3390/plants13101389
Guerra S, Bruno G, Spoto A, Panzeri A, Wang Q, Bonato B, Simonetti V, Castiello U. Ascent and Attachment in Pea Plants: A Matter of Iteration. Plants. 2024; 13(10):1389. https://doi.org/10.3390/plants13101389
Chicago/Turabian StyleGuerra, Silvia, Giovanni Bruno, Andrea Spoto, Anna Panzeri, Qiuran Wang, Bianca Bonato, Valentina Simonetti, and Umberto Castiello. 2024. "Ascent and Attachment in Pea Plants: A Matter of Iteration" Plants 13, no. 10: 1389. https://doi.org/10.3390/plants13101389
APA StyleGuerra, S., Bruno, G., Spoto, A., Panzeri, A., Wang, Q., Bonato, B., Simonetti, V., & Castiello, U. (2024). Ascent and Attachment in Pea Plants: A Matter of Iteration. Plants, 13(10), 1389. https://doi.org/10.3390/plants13101389

