Correction: Bleyer et al. Together for the Better: Improvement of a Model Based Strategy for Grapevine Downy Mildew Control by Addition of Potassium Phosphonates. Plants 2020, 9, 710
- Error in Figure
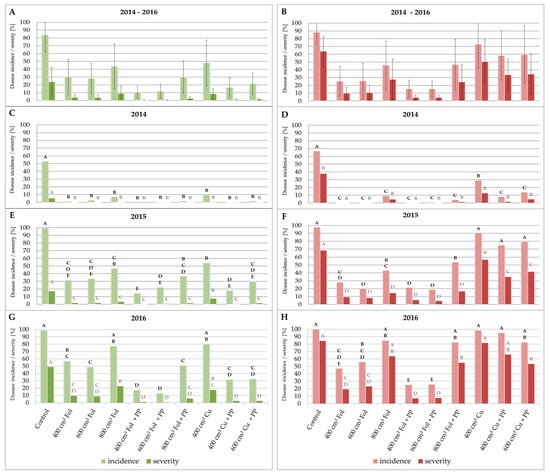
- Changes in the text due to correction of Figure 2
Reference
- Bleyer, G.; Lösch, F.; Schumacher, S.; Fuchs, R. Together for the Better: Improvement of a Model Based Strategy for Grapevine Downy Mildew Control by Addition of Potassium Phosphonates. Plants 2020, 9, 710. [Google Scholar] [CrossRef] [PubMed]

Disclaimer/Publisher’s Note: The statements, opinions and data contained in all publications are solely those of the individual author(s) and contributor(s) and not of MDPI and/or the editor(s). MDPI and/or the editor(s) disclaim responsibility for any injury to people or property resulting from any ideas, methods, instructions or products referred to in the content. |
© 2024 by the authors. Licensee MDPI, Basel, Switzerland. This article is an open access article distributed under the terms and conditions of the Creative Commons Attribution (CC BY) license (https://creativecommons.org/licenses/by/4.0/).
Share and Cite
Bleyer, G.; Lösch, F.; Schumacher, S.; Fuchs, R. Correction: Bleyer et al. Together for the Better: Improvement of a Model Based Strategy for Grapevine Downy Mildew Control by Addition of Potassium Phosphonates. Plants 2020, 9, 710. Plants 2024, 13, 1369. https://doi.org/10.3390/plants13101369
Bleyer G, Lösch F, Schumacher S, Fuchs R. Correction: Bleyer et al. Together for the Better: Improvement of a Model Based Strategy for Grapevine Downy Mildew Control by Addition of Potassium Phosphonates. Plants 2020, 9, 710. Plants. 2024; 13(10):1369. https://doi.org/10.3390/plants13101369
Chicago/Turabian StyleBleyer, Gottfried, Fedor Lösch, Stefan Schumacher, and René Fuchs. 2024. "Correction: Bleyer et al. Together for the Better: Improvement of a Model Based Strategy for Grapevine Downy Mildew Control by Addition of Potassium Phosphonates. Plants 2020, 9, 710" Plants 13, no. 10: 1369. https://doi.org/10.3390/plants13101369
APA StyleBleyer, G., Lösch, F., Schumacher, S., & Fuchs, R. (2024). Correction: Bleyer et al. Together for the Better: Improvement of a Model Based Strategy for Grapevine Downy Mildew Control by Addition of Potassium Phosphonates. Plants 2020, 9, 710. Plants, 13(10), 1369. https://doi.org/10.3390/plants13101369

