Innovative Approach to Enhance Bioavailability of Birch Bark Extracts: Novel Method of Oleogel Development Contrasted with Other Dispersed Systems
Abstract
1. Introduction
2. Results and Discussion
2.1. Visual Evaluation of BBE Hydrogel and Oleogel
2.2. Particle Size Distribution of BBE Dispersion Systems
2.3. Oxidative Stability of BBE Oleogel
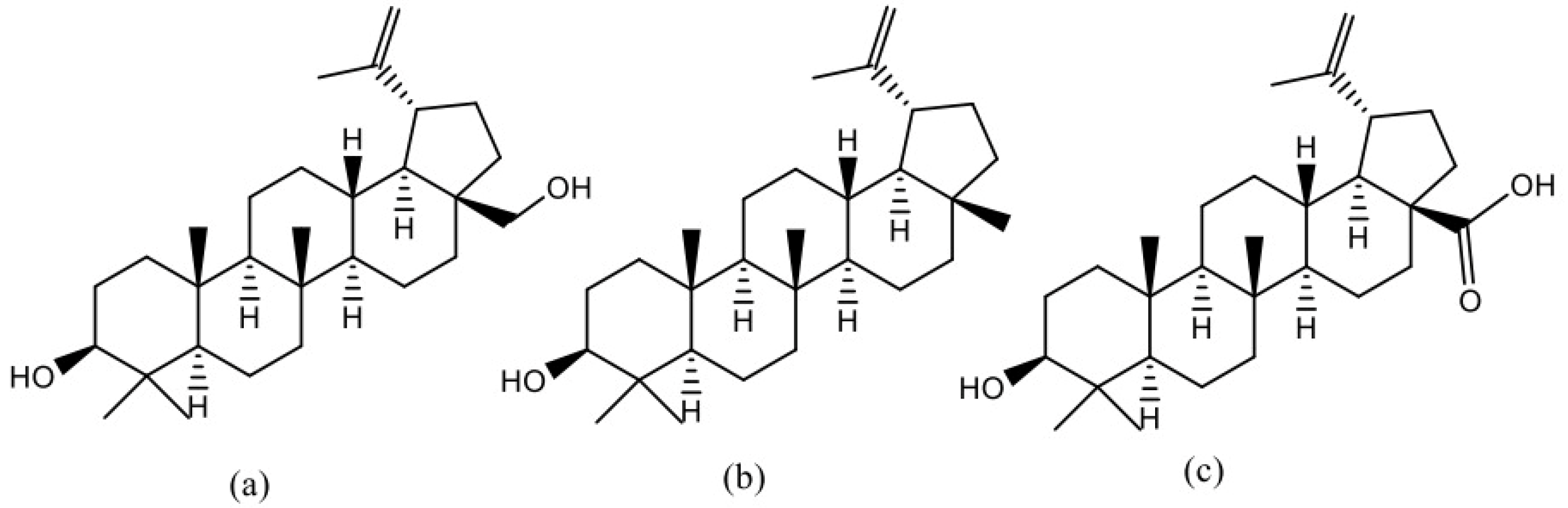
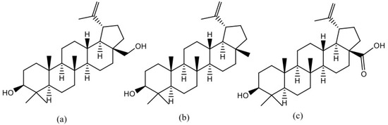
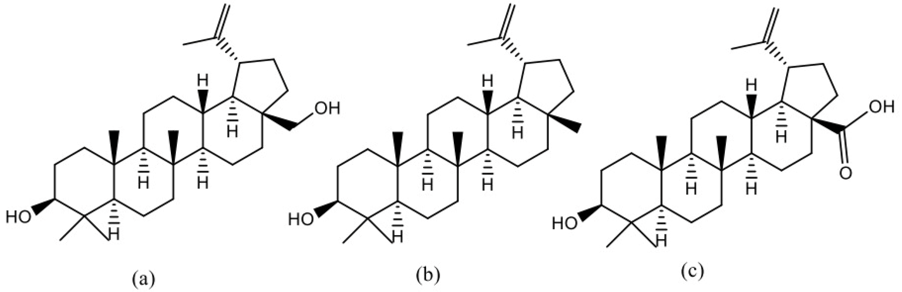
2.4. LC/MS/MS Method for Simultaneous Determination of BBE
2.5. In Vivo Analysis of BBE
2.5.1. Concentrations of BBE Compounds in Rat Plasma
2.5.2. Content of BBE in the Tissues
2.5.3. Evaluation of Oleogel Safety
3. Materials and Methods
3.1. Materials
3.2. Preparation of BBE Powder
3.3. Preparation of BBE Powder Suspension in Water and Oil
3.4. Obtainment of BBE Hydrogel
3.5. Preparation of BBE Oleogels
3.6. Particle Size Distribution
3.7. Oxidative Stability of BBE Oleogel
3.8. In Vivo Analysis of Bioavailability
3.8.1. Animals and Treatment
3.8.2. Administration
3.8.3. Blood Sampling
3.8.4. Analysis of Clinical Chemistry Markers in Rat Plasma Samples
3.8.5. LC/MS/MS Analysis
3.8.6. Calibration Sample and Analytical Sample Preparation
3.8.7. Extraction of Analytes from Rat Plasma and Tissue Homogenates
3.8.8. Derivatization of Plasma and Tissue Extracts
3.9. Statistical Analysis
4. Conclusions
- 1.
- The bioavailability of BBE was statistically significantly improved using an oleogel obtained through a novel method of crystallization from an ethanol solution in the oil phase compared with all other dispersion systems.
- 2.
- The highest concentrations of betulin and lupeol were measured after the administration of the oleogel, reaching up to 35-fold and 80-fold higher levels than those after the administration of a suspension in water, respectively.
- 3.
- The bioavailability of betulin from the hydrogel was lower, while lupeol exposure was comparable after oleogel and hydrogel administration.
- 4.
- Administering half a dose of the oleogel revealed dose-dependent properties, as it led to exactly 2-fold lower BBE exposure than the full-dosage group.
- 5.
- Lupeol bioavailability from the oleogel was found to be 20 times higher than betulin bioavailability. Betulinic acid was not detected in most of the samples.
- 6.
- The oleogel is safe for the liver and kidney at the tested dose. Betulin and betulinic acid were not detected in rat heart, liver, kidney, or brain tissues after peroral administration of the oleogel daily for 7 days. Lupeol was found in rat heart, liver, and kidney tissues.
Supplementary Materials
Author Contributions
Funding
Institutional Review Board Statement
Data Availability Statement
Conflicts of Interest
References
- Bommakanti, V.; Puthenparambil Ajikumar, A.; Sivi, C.M.; Prakash, G.; Mundanat, A.S.; Ahmad, F.; Haque, S.; Prieto, M.A.; Rana, S.S. An Overview of Herbal Nutraceuticals, Their Extraction, Formulation, Therapeutic Effects and Potential Toxicity. Separations 2023, 10, 177. [Google Scholar] [CrossRef]
- Rastogi, S.; Pandey, M.M.; Rawat, A.K.S. Medicinal Plants of the Genus Betula—Traditional Uses and a Phytochemical-Pharmacological Review. J. Ethnopharmacol. 2015, 159, 62–83. [Google Scholar] [CrossRef]
- Häsler Gunnarsdottir, S.; Sommerauer, L.; Schnabel, T.; Oostingh, G.J.; Schuster, A. Antioxidative and Antimicrobial Evaluation of Bark Extracts from Common European Trees in Light of Dermal Applications. Antibiotics 2023, 12, 130. [Google Scholar] [CrossRef] [PubMed]
- Tuli, H.S.; Sak, K.; Gupta, D.S.; Kaur, G.; Aggarwal, D.; Parashar, N.C.; Choudhary, R.; Yerer, M.B.; Kaur, J.; Kumar, M.; et al. Anti-Inflammatory and Anticancer Properties of Birch Bark-Derived Betulin: Recent Developments. Plants 2021, 10, 2663. [Google Scholar] [CrossRef] [PubMed]
- Shikov, A.N.; Djachuk, G.I.; Sergeev, D.V.; Pozharitskaya, O.N.; Esaulenko, E.V.; Kosman, V.M.; Makarov, V.G. Birch Bark Extract as Therapy for Chronic Hepatitis C—A Pilot Study. Phytomedicine 2011, 18, 807–810. [Google Scholar] [CrossRef] [PubMed]
- Ghaffar, K.A.; Daniels, R. Oleogels with Birch Bark Dry Extract: Extract Saving Formulations through Gelation Enhancing Additives. Pharmaceutics 2020, 12, 184. [Google Scholar] [CrossRef] [PubMed]
- Kaps, A.; Gwiazdoń, P.; Chodurek, E. Nanoformulations for Delivery of Pentacyclic Triterpenoids in Anticancer Therapies. Molecules 2021, 26, 1764. [Google Scholar] [CrossRef]
- Haque, S.; Nawrot, D.A.; Alakurtti, S.; Ghemtio, L.; Yli-Kauhaluoma, J.; Tammela, P. Screening and Characterisation of Antimicrobial Properties of Semisynthetic Betulin Derivatives. PLoS ONE 2014, 9, e102696. [Google Scholar] [CrossRef] [PubMed]
- Oloyede, H.O.B.; Ajiboye, H.O.; Salawu, M.O.; Ajiboye, T.O. Influence of Oxidative Stress on the Antibacterial Activity of Betulin, Betulinic Acid and Ursolic Acid. Microb. Pathog. 2017, 111, 338–344. [Google Scholar] [CrossRef]
- Kuznetsova, S.A.; Shakhtshneider, T.P.; Mikhailenko, M.A.; Malyar, Y.N.; Kichkailo, A.S.; Drebushchak, V.A.; Kuznetsov, B.N. Preparation and Antitumor Activity of Betulin Dipropionate and Its Composites. Biointerface Res. Appl. Chem. 2022, 12, 6873–6894. [Google Scholar] [CrossRef]
- Zhao, X.; Wang, W.; Zu, Y.; Zhang, Y.; Li, Y.; Sun, W.; Shan, C.; Ge, Y. Preparation and Characterization of Betulin Nanoparticles for Oral Hypoglycemic Drug by Antisolvent Precipitation. Drug Deliv. 2014, 21, 467–479. [Google Scholar] [CrossRef]
- Buko, V.; Kuzmitskaya, I.; Kirko, S.; Belonovskaya, E.; Naruta, E.; Lukivskaya, O.; Shlyahtun, A.; Ilyich, T.; Zakreska, A.; Zavodnik, I. Betulin Attenuated Liver Damage by Prevention of Hepatic Mitochondrial Dysfunction in Rats with Alcoholic Steatohepatitis. Physiol. Int. 2019, 106, 323–334. [Google Scholar] [CrossRef]
- Adepoju, F.O.; Duru, K.C.; Li, E.; Kovaleva, E.G.; Tsurkan, M.V. Pharmacological Potential of Betulin as a Multitarget Compound. Biomolecules 2023, 13, 1105. [Google Scholar] [CrossRef]
- Tsai, C.W.; Tsai, R.T.; Liu, S.P.; Chen, C.S.; Tsai, M.C.; Chien, S.H.; Hung, H.S.; Lin, S.Z.; Shyu, W.C.; Fu, R.H. Neuroprotective Effects of Betulin in Pharmacological and Transgenic Caenorhabditis Elegans Models of Parkinson’s Disease. Cell Transplant. 2017, 26, 1903–1918. [Google Scholar] [CrossRef]
- Sharma, N.; Palia, P.; Chaudhary, A.; Shalini; Verma, K.; Kumar, I. A Review on Pharmacological Activities of Lupeol and Its Triterpene Derivatives. J. Drug Deliv. Ther. 2020, 10, 325–332. [Google Scholar] [CrossRef]
- Armbruster, M.; Mönckedieck, M.; Scherließ, R.; Daniels, R.; Wahl, M.A. Birch Bark Dry Extract by Supercritical Fluid Technology: Extract Characterisation and Use for Stabilisation of Semisolid Systems. Appl. Sci. 2017, 7, 292. [Google Scholar] [CrossRef]
- Furtado, N.A.J.C.; Pirson, L.; Edelberg, H.; Miranda, L.M.; Loira-Pastoriza, C.; Preat, V.; Larondelle, Y.; André, C.M. Pentacyclic Triterpene Bioavailability: An Overview of in Vitro and in Vivo Studies. Molecules 2017, 22, 400. [Google Scholar] [CrossRef]
- Ojeda-Serna, I.E.; Rocha-Guzmán, N.E.; Gallegos-Infante, J.A.; Cháirez-Ramírez, M.H.; Rosas-Flores, W.; Pérez-Martínez, J.D.; Moreno-Jiménez, M.R.; González-Laredo, R.F. Water-in-Oil Organogel Based Emulsions as a Tool for Increasing Bioaccessibility and Cell Permeability of Poorly Water-Soluble Nutraceuticals. Food Res. Int. 2019, 120, 415–424. [Google Scholar] [CrossRef] [PubMed]
- Co, M.; Zettersten, C.; Nyholm, L.; Sjöberg, P.J.R.; Turner, C. Degradation Effects in the Extraction of Antioxidants from Birch Bark Using Water at Elevated Temperature and Pressure. Anal. Chim. Acta 2012, 716, 40–48. [Google Scholar] [CrossRef] [PubMed]
- Alshamrani, M.; Khan, M.K.; Khan, B.A.; Salawi, A.; Almoshari, Y. Technologies for Solubility, Dissolution and Permeation Enhancement of Natural Compounds. Pharmaceuticals 2022, 15, 653. [Google Scholar] [CrossRef] [PubMed]
- Bravo-Alfaro, D.A.; Ochoa-Rodríguez, L.R.; Villaseñor-Ortega, F.; Luna-Barcenas, G.; García, H.S. Self-Nanoemulsifying Drug Delivery System (SNEDDS) Improves the Oral Bioavailability of Betulinic Acid. J. Mol. Liq. 2022, 364, 119946. [Google Scholar] [CrossRef]
- Ameta, R.K.; Soni, K.; Bhattarai, A. Recent Advances in Improving the Bioavailability of Hydrophobic/Lipophilic Drugs and Their Delivery via Self-Emulsifying Formulations. Colloids Interfaces 2023, 7, 16. [Google Scholar] [CrossRef]
- Karlina, M.V.; Pozharitskaya, O.N.; Shikov, A.N.; Makarov, V.G.; Mirza, S.; Miroshnyk, I.; Hiltunen, R. Biopharmaceutical Study of Nanosystems Containing Betulin for Inhalation Administration. Pharm. Chem. J. 2010, 44, 501–503. [Google Scholar] [CrossRef]
- Mwiiri, F.K.; Daniels, R. Optimized Birch Bark Extract-Loaded Colloidal Dispersion Using Hydrogenated Phospholipids as Stabilizer. Pharmaceutics 2020, 12, 832. [Google Scholar] [CrossRef]
- Malinowska, M.; Miroslaw, B.; Sikora, E.; Ogonowski, J.; Wojtkiewicz, A.M.; Szaleniec, M.; Pasikowska-Piwko, M.; Eris, I. New Lupeol Esters as Active Substances in the Treatment of Skin Damage. PLoS ONE 2019, 14, e0214216. [Google Scholar] [CrossRef]
- Drag-Zalesińska, M.; Drag, M.; Poreba, M.; Borska, S.; Kulbacka, J.; Saczko, J. Anticancer Properties of Ester Derivatives of Betulin in Human Metastatic Melanoma Cells (Me-45). Cancer Cell Int. 2017, 17, 4. [Google Scholar] [CrossRef]
- Ali-Seyed, M.; Jantan, I.; Vijayaraghavan, K.; Bukhari, S.N.A. Betulinic Acid: Recent Advances in Chemical Modifications, Effective Delivery, and Molecular Mechanisms of a Promising Anticancer Therapy. Chem. Biol. Drug Des. 2016, 87, 517–536. [Google Scholar] [CrossRef]
- Abdu, H.; Ahmad, F.B.H.; Ismail, I.S. Betulinic Acid Glycosides: A Review. Orient. J. Chem. 2012, 28, 1123–1133. [Google Scholar] [CrossRef]
- Mierina, I.; Vilskerts, R.; Turks, M. Delivery Systems for Birch-Bark Triterpenoids and Their Derivatives in Anticancer Research. Curr. Med. Chem. 2020, 27, 1308–1336. [Google Scholar] [CrossRef] [PubMed]
- Aqil, F.; Munagala, R.; Jeyabalan, J.; Vadhanam, M.V. Bioavailability of Phytochemicals and Its Enhancement by Drug Delivery Systems. Cancer Lett. 2013, 334, 133–141. [Google Scholar] [CrossRef] [PubMed]
- Sharpe, L.A.; Daily, A.M.; Horava, S.D.; Peppas, N.A. Therapeutic Applications of Hydrogels in Oral Drug Delivery. Expert Opin. Drug Deliv. 2014, 11, 901–915. [Google Scholar] [CrossRef]
- Jacob, S.; Nair, A.B.; Shah, J.; Sreeharsha, N.; Gupta, S.; Shinu, P. Emerging Role of Hydrogels in Drug Delivery Systems, Tissue Engineering and Wound Management. Pharmaceutics 2021, 13, 357. [Google Scholar] [CrossRef] [PubMed]
- McClements, D.J. Recent Progress in Hydrogel Delivery Systems for Improving Nutraceutical Bioavailability. Food Hydrocoll. 2017, 68, 238–245. [Google Scholar] [CrossRef]
- Iftime, M.M.; Marin, L. Chiral Betulin-Imino-Chitosan Hydrogels by Dynamic Covalent Sonochemistry. Ultrason. Sonochem. 2018, 45, 238–247. [Google Scholar] [CrossRef]
- Ishfaq, B.; Khan, I.U.; Khalid, S.H.; Asghar, S. Design and Evaluation of Sodium Alginate-Based Hydrogel Dressings Containing Betula Utilis Extract for Cutaneous Wound Healing. Front. Bioeng. Biotechnol. 2023, 11, 1042077. [Google Scholar] [CrossRef] [PubMed]
- Tang, S.; Zhao, L.; Yuan, J.; Chen, Y.; Leng, Y. Physical Hydrogels Based on Natural Polymers; Elsevier Inc.: Amsterdam, The Netherlands, 2019; ISBN 9780128164211. [Google Scholar]
- Parhi, R. Cross-Linked Hydrogel for Pharmaceutical Applications: A Review. Adv. Pharm. Bull. 2017, 7, 515–530. [Google Scholar] [CrossRef] [PubMed]
- Vitolina, S.; Paze, A.; Berzins, R.; Rizhikovs, J.; Makars, R.; Godina, D.; Teresko, A. Optimization of Betulin Colloidal Aqueous Suspension Pretreatment for Determination of Particle Characteristics. Key Eng. Mater. 2022, 933, 147–154. [Google Scholar] [CrossRef]
- Paze, A.; Vitolina, S.; Berzins, R.; Rizhikovs, J.; Makars, R.; Godina, D.; Teresko, A. The Study of Betulin Particles Containing Hydrogels Prepared by Antisolvent Precipitation. Key Eng. Mater. 2022, 933, 139–146. [Google Scholar] [CrossRef]
- Riekstina, U.; Vitolina, S.; Goluba, K.; Jekabsons, K.; Muceniece, R.; Berzins, R.; Rizhikovs, J.; Godina, D.; Teresko, A.; Paze, A. Effect of Betulin Colloidal Particles on Proliferation and Cytokine Secretion of Human Skin Fibroblasts. Plants 2023, 12, 3088. [Google Scholar] [CrossRef]
- Pinto, T.C.; Martins, A.J.; Pastrana, L.; Pereira, M.C.; Cerqueira, M.A. Oleogel-Based Systems for the Delivery of Bioactive Compounds in Foods. Gels 2021, 7, 86. [Google Scholar] [CrossRef]
- Pârvănescu, R.D.; Watz, C.G.; Moacă, E.A.; Vlaia, L.; Marcovici, I.; Macașoi, I.G.; Borcan, F.; Olariu, I.; Coneac, G.; Drăghici, G.A.; et al. Oleogel Formulations for the Topical Delivery of Betulin and Lupeol in Skin Injuries—Preparation, Physicochemical Characterization, and Pharmaco-Toxicological Evaluation. Molecules 2021, 2, 4174. [Google Scholar] [CrossRef]
- Laszczyk, M.; Jäger, S.; Simon-Haarhaus, B.; Scheffler, A.; Schempp, C.M. Physical, Chemical and Pharmacological Characterization of a New Oleogel-Forming Triterpene Extract from the Outer Bark of Birch (Betulae Cortex). Planta Med. 2006, 72, 1389–1395. [Google Scholar] [CrossRef]
- Grysko, M.; Daniels, R. Evaluation of the Mechanism of Gelation of an Oleogel Based on a Triterpene Extract from the Outer Bark of Birch. Pharmazie 2013, 68, 572–577. [Google Scholar] [CrossRef]
- Cháirez-Ramírez, M.H.; Gallegos-Infante, J.A.; Moreno-Jiménez, M.R.; González-Laredo, R.F.; Rocha-Guzmán, N.E. Absorption and Distribution of Lupeol in CD-1 Mice Evaluated by UPLC–APCI+–MS/MS. Biomed. Chromatogr. 2019, 33, e4432. [Google Scholar] [CrossRef]
- Priyanka, K.; Kosuru, R.; Sharma, R.P.; Sahu, P.L.; Singh, S. Assessment of Pharmacokinetic Parameters of Lupeol in Ficus religiosa L. Extract after Oral Administration of Suspension and Solid Lipid Nanoparticles to Wistar Rats. J. Drug Deliv. Sci. Technol. 2017, 41, 58–67. [Google Scholar] [CrossRef]
- Steinbrenner, I.; Houdek, P.; Pollok, S.; Brandner, J.M.; Daniels, R. Influence of the Oil Phase and Topical Formulation on the Wound Healing Ability of a Birch Bark Dry Extract. PLoS ONE 2016, 11, e0155582. [Google Scholar] [CrossRef][Green Version]
- Cheng, X.; Shin, Y.G.; Levine, B.S.; Smith, A.C.; Tomaszewski, J.E.; Van Breemen, R.B. Quantitative Analysis of Betulinic Acid in Mouse, Rat and Dog Plasma Using Electrospray Liquid Chromatography/Mass Spectrometry. Rapid Commun. Mass Spectrom. 2003, 17, 2089–2092. [Google Scholar] [CrossRef]
- Wang, Z.; Wang, Y.; Yu, T.; Hu, Z.; Wang, Y. An LC-EIS/MS/MS Method for the Determination of Lupeol via Precolumn Derivatization and Its Application to Pharmacokinetic Studies in Rat Plasma. Biomed. Chromatogr. 2020, 35, e5005. [Google Scholar]
- Hu, Z.; Guo, N.; Wang, Z.; Liu, Y.; Wang, Y.; Ding, W.; Zhang, D.; Wang, Y.; Yan, X. Development and Validation of an LC-ESI/MS/MS Method with Precolumn Derivatization for the Determination of Betulin in Rat Plasma. J. Chromatogr. B 2013, 939, 38–44. [Google Scholar] [CrossRef] [PubMed]
- Paze, A.; Rizhikovs, J.; Vitolina, S.; Berzins, R.; Teresko, A. Method for Obtaining Organogels and Pickering Emulsions Containing Birch Outer Bark Extract Substances and Their Colloidal Particles. LV Patent 15767, 20 September 2023. [Google Scholar]
- Jäger, S.; Laszczyk, M.N.; Scheffler, A. A Preliminary Pharmacokinetic Study of Betulin, the Main Pentacyclic Triterpene from Extract of Outer Bark of Birch (Betulae Alba Cortex). Molecules 2008, 13, 3224. [Google Scholar] [CrossRef]
- Wang, W.; Teresa, M.; Cai, J.; Zhang, C.; Wong, S.; Yan, Z.; Khojasteh, S.C.; Zhang, D. Comparative Assessment for Rat Strain Differences in Metabolic Profiles of 14 Drugs in Wistar Han and Sprague Dawley Hepatocytes. Xenobiotica 2021, 51, 15–23. [Google Scholar] [CrossRef]
- Pozharitskaya, O.N.; Karlina, M.V.; Shikov, A.N.; Kosman, V.M.; Makarov, V.G.; Casals, E.; Rosenholm, J.M. Pharmacokinetics and Tissue Disposition of Nanosystem-Entrapped Betulin After Endotracheal Administration to Rats. Eur. J. Drug Metab. Pharmacokinet. 2017, 42, 327–332. [Google Scholar] [CrossRef] [PubMed]
- Veber, D.F.; Johnson, S.R.; Cheng, H.Y.; Smith, B.R.; Ward, K.W.; Kopple, K.D. Molecular Properties That Influence the Oral Bioavailability of Drug Candidates. J. Med. Chem. 2002, 45, 2615–2623. [Google Scholar] [CrossRef] [PubMed]
- Alakurtti, S.; Mäkelä, T.; Koskimies, S.; Yli-Kauhaluoma, J. Pharmacological Properties of the Ubiquitous Natural Product Betulin. Eur. J. Pharm. Sci. 2006, 29, 1–13. [Google Scholar] [CrossRef] [PubMed]









| Dispersion System | BBE Powder Suspension in Water | BBE Paste-Like Hydrogel | BBE Powder Suspension in Oil | BBE Oleogel | |
|---|---|---|---|---|---|
| Particle size, µm | 1.210 ± 0.044 | 0.306 ± 0.004 | D × (10) | 19.8 ± 0.01 | 1.65 ± 0.01 |
| D × (50) | 113 ± 3 | 17.0 ± 0.1 | |||
| D × (90) | 205 ± 4 | 40.9 ± 2 |
| Sample of Sunflower Oil | Concentration of Antioxidants, % | Induction Period, h | Protection Factor |
|---|---|---|---|
| Blank sample | - | 1.3 | 1 |
| Oleogel with 8% BBE | 0.33 (polyphenols) | 4.1 | 3.2 |
| TBHQ in oil | 0.33 (TBHQ) | 3.5 | 2.7 |
| ALAT (Relative Units/L) | BUN (mmol/L) | Creatinine (mg/dL) | |
|---|---|---|---|
| Control | 33 ± 5 | 4.1 ± 0.5 | 0.15 ± 0.04 |
| Oleogel ½ dose 7 days | 27 ± 5 | 5.1 ± 0.5 | 0.08 ± 0.05 |
| Product | Supplier, Cat. Nr. | Lot Nr. |
|---|---|---|
| Betulin | Sigma Aldrich, 92648-50MG | BCCD2782 |
| Betulinic acid | Sigma Aldrich, 91466-10MG | BCCH1050 |
| Lupeol | Sigma Aldrich, 18692-10MG | BCCH9260 |
| Wistar rat plasma | Innovative Research, IGWRTNaHeparin | 26977 |
| Dimethyl sulfoxide (for HPLC, ≥99.7%) | Honeywell, 34869-1L | J169AIL |
| Acetonitrile (≥99.9% for HPLC, gradient grade) | Honeywell, 34851-2.5L | M0910 |
| Ammonium acetate (for LC-MS) | Sigma Aldrich, 73594-25G-F | BCCG1298 |
| p-Toluenesulfonyl isocianate 96% | Sigma Aldrich, 189278-25G | BCCH3837 |
| Ethanol | Kalsnava Distillery, Latvia | |
| THF (anhydrous, ≥99.9%) | Merck | |
| Pyridine (anhydrous, 99.8%) | Merck |
| Constituent | Amount, wt% |
|---|---|
| Betulin | 52 |
| Lupeol | 7 |
| Betulinic acid | 2 |
| Phenolic compounds | 3.4 |
| Unidentified substances | 35.6 |
| Group No. | Dispersed System | Doses, g/kg | Doses of Bioactive Compounds (Betulin; Lupeol; Betulinic Acid), mg/kg | Administrations | Animals in Group |
|---|---|---|---|---|---|
| 1 | Suspension in water | 1.83 | 76.1; 10.2; 2.9 | 1 | 4 |
| 2 | Suspension in oil | 1.83 | 76.1; 10.2; 2.9 | 1 | 4 |
| 3 | Oleogel | 1.83 | 76.1; 10.2; 2.9 | 1 | 4 |
| 4 | Hydrogel | 3.17 | 76.1; 10,1; 3.8 | 1 | 4 |
| 5 | Oleogel ½ | 0.92 | 38.3; 5.2; 1.5 | 7 | 5 |
Disclaimer/Publisher’s Note: The statements, opinions and data contained in all publications are solely those of the individual author(s) and contributor(s) and not of MDPI and/or the editor(s). MDPI and/or the editor(s) disclaim responsibility for any injury to people or property resulting from any ideas, methods, instructions or products referred to in the content. |
© 2024 by the authors. Licensee MDPI, Basel, Switzerland. This article is an open access article distributed under the terms and conditions of the Creative Commons Attribution (CC BY) license (https://creativecommons.org/licenses/by/4.0/).
Share and Cite
Andze, L.; Vitolina, S.; Berzins, R.; Rizikovs, J.; Godina, D.; Teresko, A.; Grinberga, S.; Sevostjanovs, E.; Cirule, H.; Liepinsh, E.; et al. Innovative Approach to Enhance Bioavailability of Birch Bark Extracts: Novel Method of Oleogel Development Contrasted with Other Dispersed Systems. Plants 2024, 13, 145. https://doi.org/10.3390/plants13010145
Andze L, Vitolina S, Berzins R, Rizikovs J, Godina D, Teresko A, Grinberga S, Sevostjanovs E, Cirule H, Liepinsh E, et al. Innovative Approach to Enhance Bioavailability of Birch Bark Extracts: Novel Method of Oleogel Development Contrasted with Other Dispersed Systems. Plants. 2024; 13(1):145. https://doi.org/10.3390/plants13010145
Chicago/Turabian StyleAndze, Laura, Sanita Vitolina, Rudolfs Berzins, Janis Rizikovs, Daniela Godina, Arturs Teresko, Solveiga Grinberga, Eduards Sevostjanovs, Helena Cirule, Edgars Liepinsh, and et al. 2024. "Innovative Approach to Enhance Bioavailability of Birch Bark Extracts: Novel Method of Oleogel Development Contrasted with Other Dispersed Systems" Plants 13, no. 1: 145. https://doi.org/10.3390/plants13010145
APA StyleAndze, L., Vitolina, S., Berzins, R., Rizikovs, J., Godina, D., Teresko, A., Grinberga, S., Sevostjanovs, E., Cirule, H., Liepinsh, E., & Paze, A. (2024). Innovative Approach to Enhance Bioavailability of Birch Bark Extracts: Novel Method of Oleogel Development Contrasted with Other Dispersed Systems. Plants, 13(1), 145. https://doi.org/10.3390/plants13010145

