The Role of IAA in Regulating Root Architecture of Sweetpotato (Ipomoea batatas [L.] Lam) in Response to Potassium Deficiency Stress
Abstract
1. Introduction
2. Results
2.1. Variation in Biomass under Different K+ Levels
2.2. Variation in K+ Concentration and K+ Accumulation under Different K+ Levels
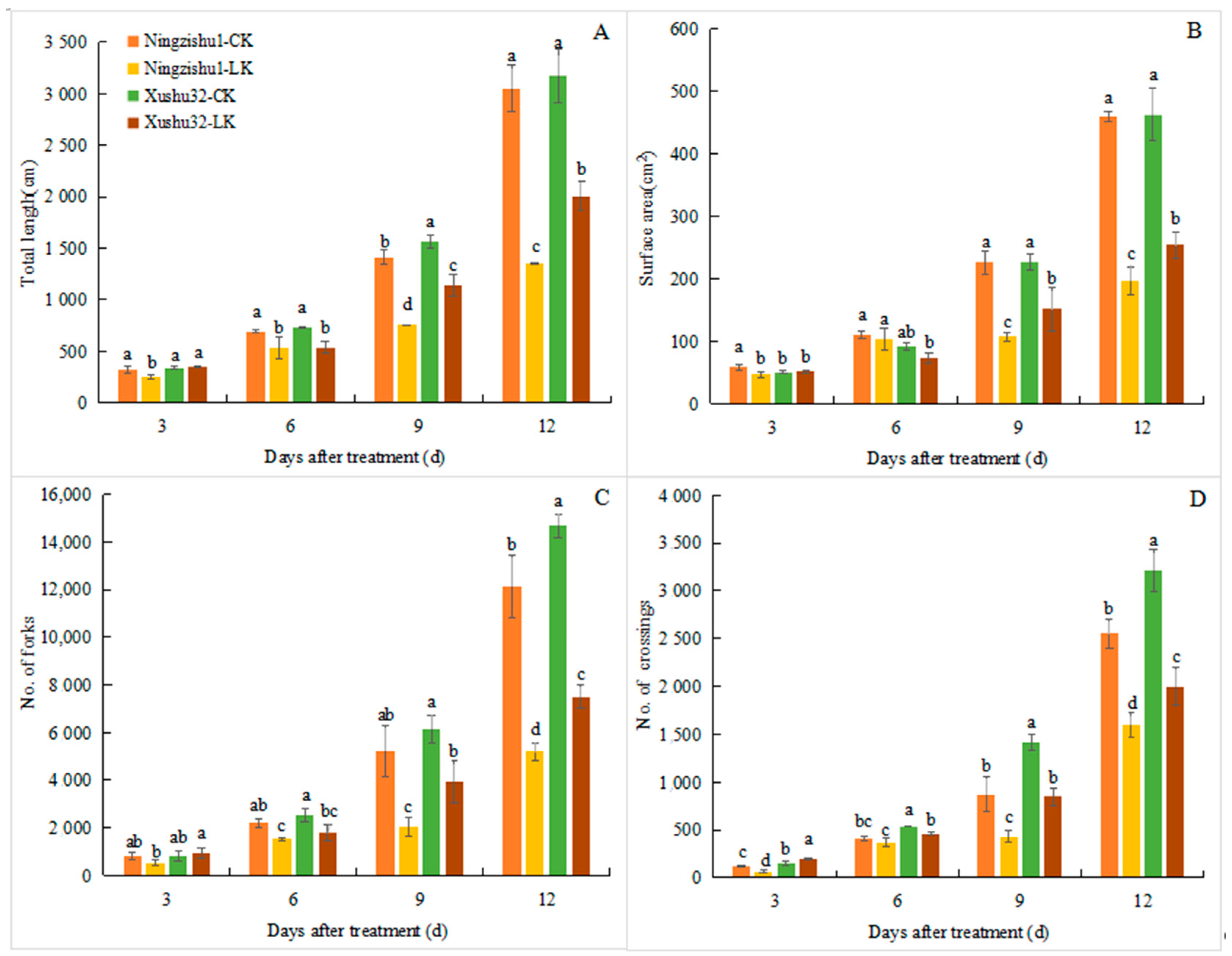
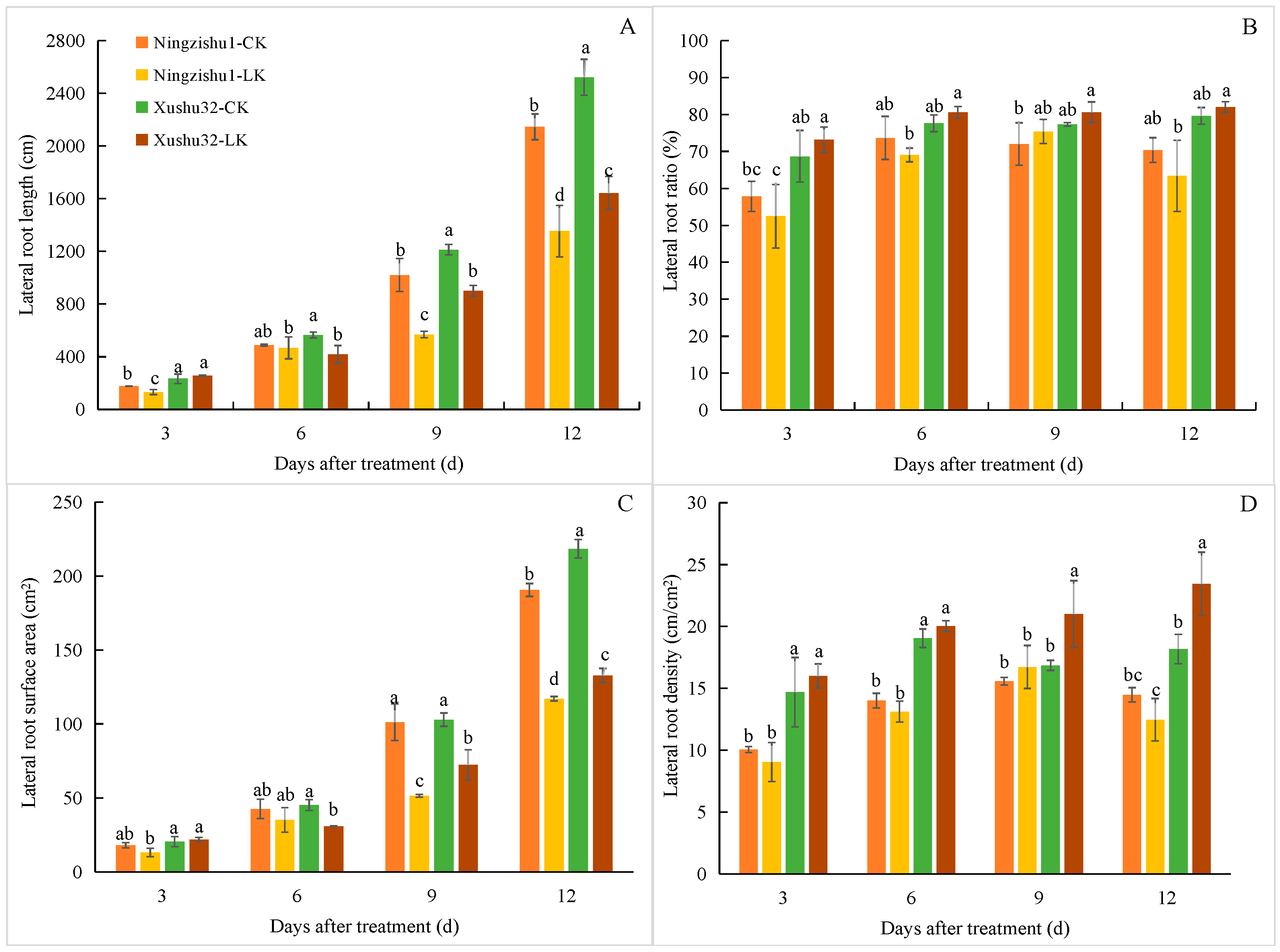
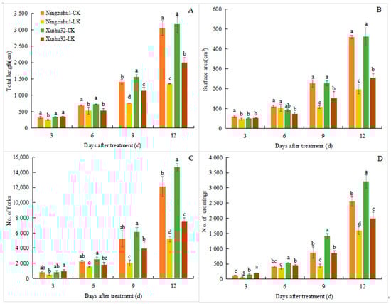
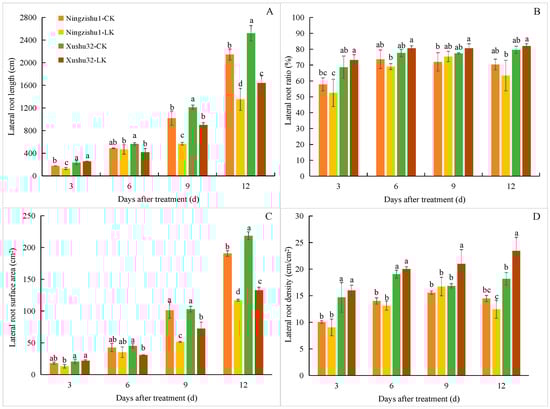
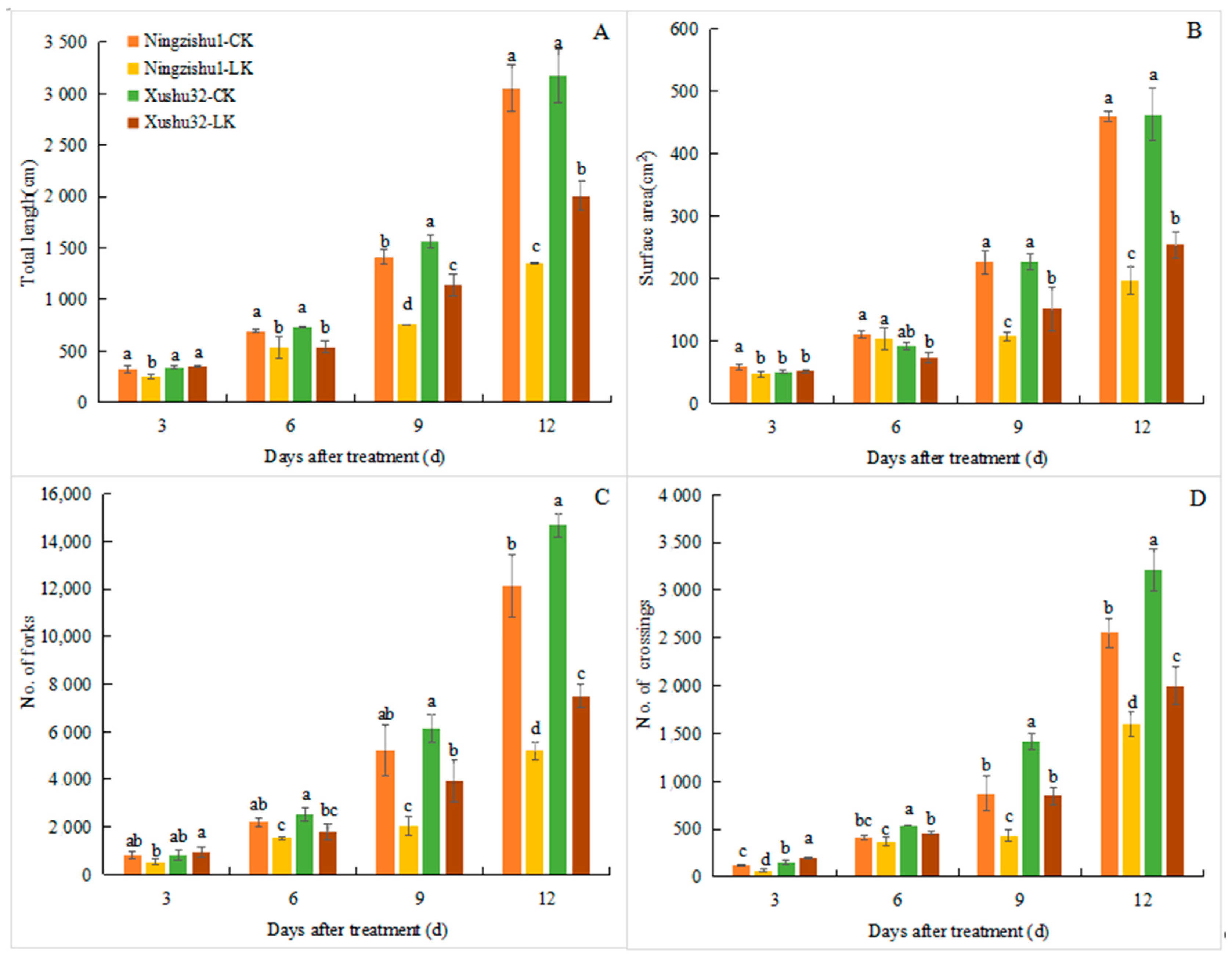
2.3. Variation in Root Architecture under Different K+ Levels
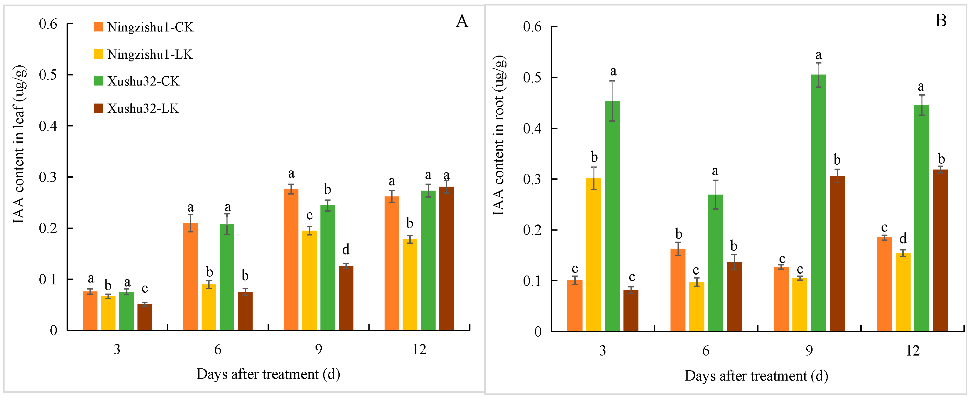
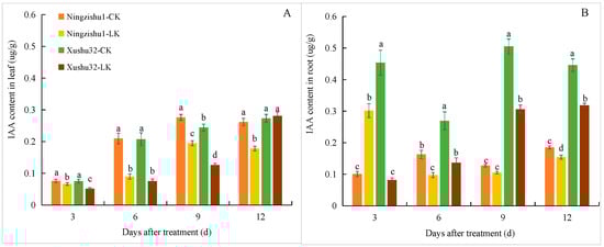
2.4. Variation in IAA Content under Different K+ Levels
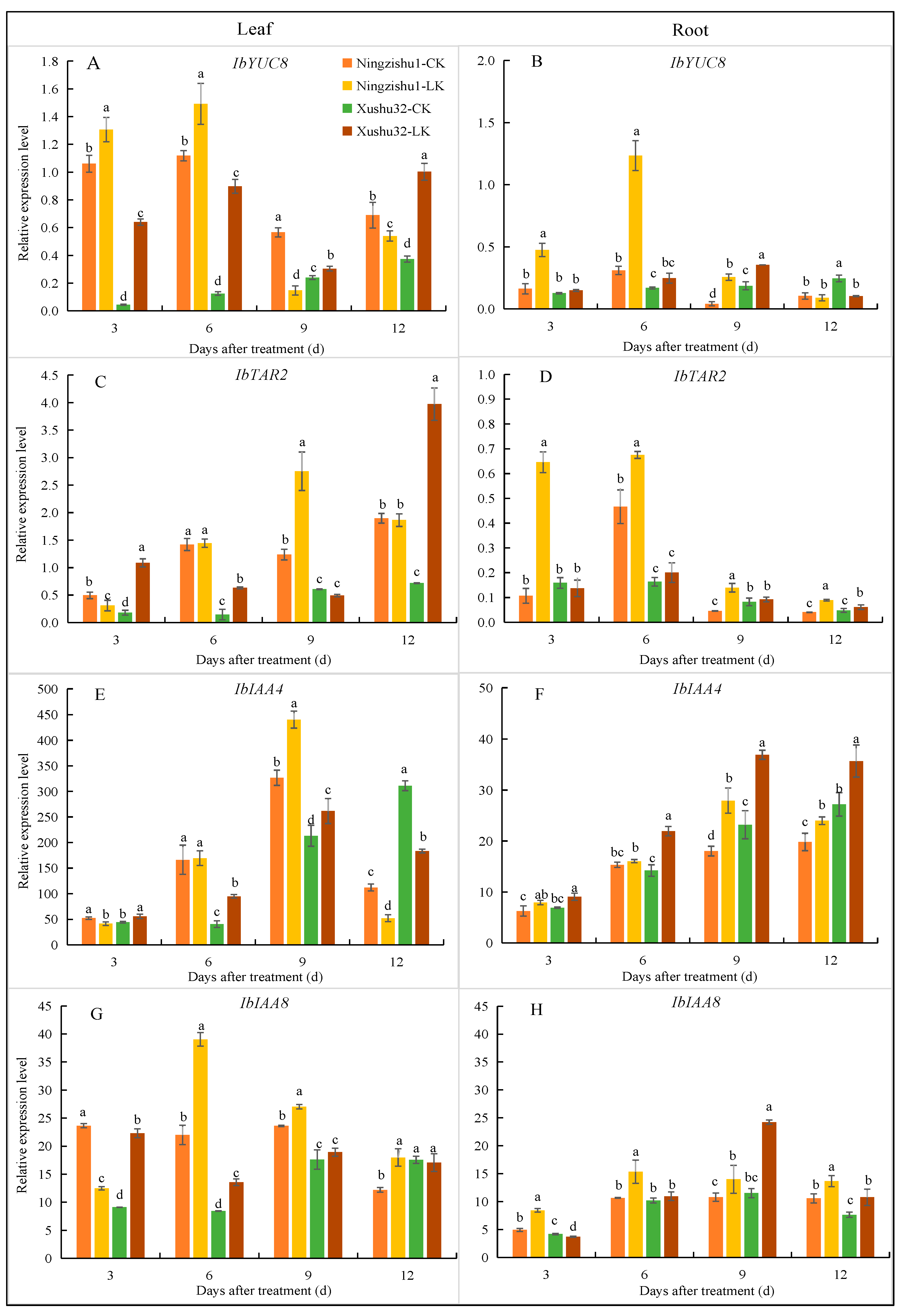
2.5. Variation in Gene Relative Expression under Different K+ Levels
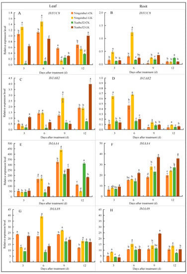
2.5.1. Relative Expression of IbYUC8 and IbTAR2
2.5.2. Relative Expression of IbIAA4 and IbIAA8
2.5.3. Relative Expression of IbPIN1, IbPIN3, and IbAUX1
3. Discussion
4. Materials and Methods
4.1. Plant Materials and Growth Condition
4.2. Experimental Design and Sampling
4.3. Plant K+ Content and K+ Accumulation
4.4. Root Architecture Characteristics
4.5. Endogenous IAA Content
4.6. Quantitative Real-Time RT-PCR Analysis
4.7. Statistical Analysis
5. Conclusions
Supplementary Materials
Author Contributions
Funding
Institutional Review Board Statement
Informed Consent Statement
Data Availability Statement
Conflicts of Interest
References
- Food and Agriculture Organization (FAO). Food and Agriculture Data of FAOSTAT. Available online: https://www.fao.org/faostat/en/#home (accessed on 18 February 2022).
- Wang, S.Y.; Li, H.; Liu, Q.; Shi, Y.X. Effect of potassium application on root grow and yield of sweet potato and its physiological mechanism. Acta Agron. Sin. 2017, 43, 1057–1066. [Google Scholar] [CrossRef]
- Den Herder, G.; Van Isterdael, G.; Beeckman, T.; De Smet, I. The roots of a new green revolution. Trends Plant Sci. 2010, 15, 600–607. [Google Scholar] [CrossRef]
- Gruber, B.D.; Giehl, R.F.H.; Friedel, S.; Wirén, N. Plasticity of the Arabidopsis root system under nutrient deficiencies. Plant Physiol. 2013, 163, 161–179. [Google Scholar] [CrossRef]
- Kellermeier, F.; Chardon, F.; Amtmann, A. Natural variation of Arabidopsis root architecture reveals complementing adaptive strategies to potassium starvation. Plant Physiol. 2013, 161, 1421–1432. [Google Scholar] [CrossRef]
- Coskun, D.; Britto, D.T.; Kronzucker, H.J. The physiology of channel-mediated K+ acquisition in roots of higher plants. Physiol. Plantarum 2014, 151, 305–312. [Google Scholar] [CrossRef]
- Marschner, P. Marschner’s Mineral Nutrition of Higher Plants, 3rd ed.; Academic Press: Salt Lake, UT, USA, 2011; p. 684. [Google Scholar]
- Ma, L.; Wu, W.H.; Wang, Y. Transcriptome analysis of rice root responses to potassium deficiency. BMC Plant Biol. 2012, 12, 161. [Google Scholar] [CrossRef]
- Zhao, X.H.; Yu, H.Q.; Wen, J.; Wang, X.G.; Du, Q.; Wang, J.; Wang, Q. Response of root morphology, physiology and endogenous hormones in maize (Zea mays L.) to potassium deficiency. J. Integr. Agric. 2016, 15, 785–794. [Google Scholar] [CrossRef]
- Wang, Y.; Wu, W.H. Genetic approaches for improvement of the crop potassium acquisition and utilization efficiency. Curr. Opin. Plant Biol. 2015, 25, 46–52. [Google Scholar] [CrossRef]
- Tang, Z.H.; Zhang, A.J.; Wei, M.; Chen, X.G.; Liu, Z.H.; Li, H.M.; Ding, Y.F. Physiological response to potassium deficiency in three sweet potato (Ipomoea batatas [L.] Lam.) genotypes differing in potassium utilization efficiency. Acta Physiol. Plant. 2015, 37, 184. [Google Scholar] [CrossRef]
- Vanstraelen, M.; Benková, E. Hormonal interactions in the regulation of plant development. Annu. Rev. Cell Dev. Biol. 2012, 28, 463–487. [Google Scholar] [CrossRef]
- Fukaki, H.; Okushima, Y.; Tasaka, M. Auxin-mediated lateral root formation in higher plants. Int. Rev. Cytol. 2007, 256, 111–137. [Google Scholar] [CrossRef] [PubMed]
- Casimiro, I.; Marchant, A.; Bhalerao, R.P.; Beeckman, T.; Dhooge, S.; Swarup, R.; Graham, N.; Inzé, D.; Sandberg, G.; Casero, P.J.; et al. Auxin transport promotes Arabidopsis lateral root initiation. Plant Cell 2001, 13, 843–852. [Google Scholar] [CrossRef]
- Xun, Q.; Wu, Y.; Li, H.; Chang, J.; Ou, Y.; He, K.; Gou, X.; Tax, F.E.; Li, J. Two receptor-like protein kinases, MUSTACHES and MUSTACHES-LIKE, regulate lateral root development in Arabidopsis thaliana. New Phytol. 2020, 227, 1157–1173. [Google Scholar] [CrossRef]
- Orman-Ligeza, B.; Parizot, B.; Gantet, P.P.; Beeckman, T.; Bennett, M.J.; Draye, X. Post-embryonic root organogenesis in cereals: Branching out from model plants. Trends Plant Sci. 2013, 18, 459–467. [Google Scholar] [CrossRef] [PubMed]
- Villordon, A.; LaBonte, D.; Solis, J.; Firon, N. Characterization of lateral root development at the onset of storage root initiation in ‘Beauregard’ sweetpotato adventitious roots. HortScience 2012, 47, 961–968. [Google Scholar] [CrossRef]
- Rigas, S.; Debrosses, G.; Haralampidis, K.; Vicente-Agullo, F.; Feldmann, K.A.; Grabov, A.; Dolan, L.; Hatzopoulos, P. TRH1 encodes a potassium transporter required for tip growth in Arabidopsis root hairs. Plant Cell 2001, 13, 139–151. [Google Scholar] [CrossRef]
- Vicente-Agullo, F.; Rigas, S.; Desbrosses, G.; Dolan, L.; Hatzopoulos, P.; Grabov, A. Potassium carrier TRH1 is required for auxin transport in Arabidopsis roots. Plant J. 2004, 40, 523–535. [Google Scholar] [CrossRef]
- Zhang, Z.Y.; Wang, Q.L.; Li, Z.H.; Duan, L.S.; Tian, X.L. Effects of potassium deficiency on root growth of cotton seedlings and its physiological mechanisms. Acta Agron. Sin. 2009, 35, 718–723. [Google Scholar] [CrossRef]
- Song, W.; Liu, S.; Meng, L.; Xue, R.; Wang, C.; Liu, G.; Dong, C.; Wang, S.; Dong, J.; Zhang, Y. Potassium deficiency inhibits lateral root development in tobacco seedlings by changing auxin distribution. Plant Soil 2015, 396, 163–173. [Google Scholar] [CrossRef]
- Guan, L.; Tayengwa, R.; Cheng, Z.; Peer, W.A.; Murphy, A.S.; Zhao, M. Auxin regulates adventitious root formation in tomato cuttings. BMC Plant Biol. 2019, 19, 435. [Google Scholar] [CrossRef]
- Zhang, Y.; Ma, Y.; Zhao, D.; Tang, Z.; Zhang, T.; Zhang, K.; Dong, J.; Zhang, H. Genetic regulation of lateral root development. Plant Signal. Behav. 2022, 2081397. [Google Scholar] [CrossRef] [PubMed]
- Cai, J.; Chen, L.; Qu, H.; Lian, J.; Liu, W.; Hu, Y.; Xu, G. Alteration of nutrient allocation and transporter genes expression in rice under N, P, K, and Mg deficiencies. Acta Physiol. Plant. 2012, 34, 939–946. [Google Scholar] [CrossRef]
- Patel, D.S.; Bardhan, K.; Patel, D.; Parekh, V.; Chhatrola, H.N. Does plant root architecture respond to potassium nutrition under water stress? A case from rice seedling root responses. Curr. Sci. 2021, 120, 1050–1056. [Google Scholar] [CrossRef]
- Jia, Y.B.; Yang, X.E.; Feng, Y.; Jilani, G. Differential response of root morphology to potassium deficient stress among rice genotypes varying in potassium efficiency. J. Zhejiang Univ. Sci. B 2008, 9, 427–434. [Google Scholar] [CrossRef]
- De Smet, I.; Vanneste, S.; Inze, D.; Beeckman, T. Lateral root initiation or the birth of a new meristem. Plant Mol. Biol. 2006, 60, 871–887. [Google Scholar] [CrossRef]
- Vanneste, S.; Firml, J. Auxin: A trigger for change in plant development. Cell 2009, 136, 1005–1016. [Google Scholar] [CrossRef]
- Zhao, Y. Auxin biosynthesis: A simple two-step pathway converts tryptophan to indole-3-acetic acid in plants. Mol. Plant 2012, 5, 334–338. [Google Scholar] [CrossRef]
- Peret, B.; Swarup, K.; Ferguson, A.; Seth, M.; Yang, Y.; Dhondt, S.; James, N.; Casimiro, I.; Perry, P.; Syed, A. AUX/LAX genesencode a family of auxin influx transporters that performdistinct functions during Arabidopsis development. Plant Cell 2012, 24, 2874–2885. [Google Scholar] [CrossRef]
- Li, Q.; Liu, Y.; Pan, Z.; Xie, S.; Peng, S.A. Boron deficiency alters root growth and development and interacts with auxin metabolism by influencing the expression of auxin synthesis and transport genes. Biotechnol. Biotechnol. Equip. 2016, 30, 661–668. [Google Scholar] [CrossRef]
- Cui, P.; Liu, H.; Ruan, S.; Ali, B.; Gill, R.A.; Ma, H.; Zheng, Z.; Zhou, W. A zinc finger protein, interacted with cyclophilin, affects root development via iaa pathway in rice. J. Integr. Plant Biol. 2017, 59, 496–505. [Google Scholar] [CrossRef]
- Jin, R.; Zhang, A.; Sun, J.; Chen, X.; Liu, M.; Zhao, P.; Jiang, W.; Tang, Z. Identification of Shaker K+ channel family members in sweetpotato and functional exploration of IbAKT1. Gene 2020, 768, 145311. [Google Scholar] [CrossRef] [PubMed]
- Jiang, W.; Jin, R.; Wang, D.; Yang, Y.; Zhao, P.; Liu, M.; Zhang, A.; Tang, Z. A Novel High-Affinity Potassium Transporter IbHKT-like Gene Enhances Low–Potassium Tolerance in Transgenic Roots of Sweet Potato (Ipomoea batatas (L.) Lam.). Plants 2022, 11, 1389. [Google Scholar] [CrossRef] [PubMed]
- Liu, M.; Zhang, A.J.; Chen, X.G.; Jin, R.; Li, H.M.; Tang, Z.H. The effect of potassium deficiency on growth and physiology in sweetpotato (Ipomoea batatas (L.) Lam.) during early growth. HortScience 2017, 52, 1020–1028. [Google Scholar] [CrossRef]
- Liu, M.; Zhang, A.J.; Chen, X.G.; Jin, R.; Li, H.M.; Tang, Z.H. Effects of potassium deficiency on root morphology, ultrastructure and antioxidant enzyme system in sweet potato (Ipomoea batatas [L.] Lam.) during early growth. Acta Physiol. Plant. 2017, 39, 211. [Google Scholar] [CrossRef]
- Gao, Y.; Huang, H.; Zhao, H.; Xia, H.; Sun, M.; Li, Z.; Li, P.; Zheng, C.; Dong, H.; Liu, J. Phosphorus affects enzymatic activity and chemical properties of cotton soil. Plant Soil Environ. 2019, 65, 361–368. [Google Scholar] [CrossRef]
- Fu, J.; Chu, J.; Sun, X.; Wang, J.; Yan, C. Simple, rapid, and simultaneous assay of multiple carboxyl containing phytohormones in wounded tomatoes by UPLC-MS/MS using single SPE puri-fication and isotope dilution. Anal. Sci. 2012, 28, 1081–1087. [Google Scholar] [CrossRef]
- Gao, Y.; Wang, M.; Shi, Y.; Yang, L.; Hu, J.; Fan, K.; Shi, Y. IAA accumulation promotes the root growth of tea plants under aluminum. Agronomy 2022, 12, 1110. [Google Scholar] [CrossRef]
- Livak, K.J.; Schmittgen, T.D. Analysis of relative gene expression data using Real-Time Quantitative PCR. Methods 2002, 25, 402–408. [Google Scholar] [CrossRef]






| Days after Treatment | Treatment | Root Dry Mass (g/Plant) | Shoot Dry Mass (g/Plant) | Total Dry Mass (g/Plant) |
|---|---|---|---|---|
| 3 d | Ningzishu 1-CK | 0.16 ± 0.03 a 1 | 1.00 ± 0.08 a | 1.16 ±0.08 a |
| Ningzishu 1-LK | 0.13 ± 0.02 a | 0.90 ± 0.02 a | 1.03 ± 0.03 a | |
| Xushu 32-CK | 0.17 ± 0.03 a | 0.98 ± 0.03 a | 1.15 ± 0.09 a | |
| Xushu 32-LK | 0.15 ± 0.02 a | 0.88 ± 0.02 a | 1.04 ± 0.06 a | |
| 6 d | Ningzishu 1-CK | 0.21 ± 0.04 a | 1.37 ± 0.04 a | 1.58 ± 0.08 a |
| Ningzishu 1-LK | 0.15 ± 0.03 b | 1.32 ± 0.03 ab | 1.47 ± 0.08 b | |
| Xushu 32-CK | 0.21 ± 0.02 a | 1.25 ± 0.03 bc | 1.45 ± 0.04 bc | |
| Xushu 32-LK | 0.15 ± 0.02 b | 1.20 ± 0.02 c | 1.35 ± 0.06 c | |
| 9 d | Ningzishu 1-CK | 0.27 ± 0.05 b | 1.71 ± 0.05 a | 1.98 ± 0.04 ab |
| Ningzishu 1-LK | 0.17 ± 0.01 c | 1.61 ± 0.01 a | 1.78 ± 0.11 b | |
| Xushu 32-CK | 0.39 ± 0.04 a | 1.74 ± 0.04 a | 2.13 ± 0.09 a | |
| Xushu 32-LK | 0.33 ± 0.03 ab | 1.62 ± 0.03 a | 1.95 ± 0.10 ab | |
| 12 d | Ningzishu 1-CK | 1.29 ± 0.05 a | 2.13 ± 0.05 a | 3.42 ± 0.09 a |
| Ningzishu 1-LK | 1.01 ± 0.03 b | 1.56 ± 0.03 b | 2.57 ± 0.17 c | |
| Xushu 32-CK | 0.87 ± 0.05 c | 2.03 ± 0.05 a | 2.89 ± 0.09 b | |
| Xushu 32-LK | 0.77 ± 0.05 d | 1.67 ± 0.05 b | 2.44 ± 0.08 c |
| Days after Treatment | Treatment | K Concentration (%) | K Accumulation (mg/Plant) | ||
|---|---|---|---|---|---|
| Root | Shoot | Root | Shoot | ||
| 3 d | Ningzishu 1-CK | 3.77 ± 0.05 b 1 | 1.72 ± 0.09 c | 6.15 ± 1.11 a | 17.13 ± 0.46 b |
| Ningzishu 1-LK | 2.85 ± 0.06 c | 1.49 ± 0.12 d | 3.61 ± 0.60 b | 13.45 ± 1.51 c | |
| Xushu 32-CK | 4.44 ± 0.19 a | 3.26 ± 0.12 a | 7.59 ± 1.64 a | 31.78 ± 1.17 a | |
| Xushu 32-LK | 0.98 ± 0.02 d | 2.06 ± 0.07 b | 1.50 ± 0.14 c | 18.23 ± 1.10 b | |
| 6 d | Ningzishu 1-CK | 4.85 ± 0.02 b | 1.94 ± 0.06 b | 10.19 ± 1.79 a | 26.61 ± 2.15 b |
| Ningzishu 1-LK | 1.92 ± 0.01 c | 1.19 ± 0.05 c | 2.88 ± 0.52 b | 15.75 ± 1.15 d | |
| Xushu 32-CK | 5.16 ± 0.10 a | 2.89 ± 0.15 a | 10.82 ± 0.72 a | 36.06 ± 2.30 a | |
| Xushu 32-LK | 0.98 ± 0.02 d | 1.90 ± 0.10 b | 1.51 ± 0.23 b | 22.74 ± 2.25 c | |
| 9 d | Ningzishu 1-CK | 5.79 ± 0.12 a | 1.61 ± 0.17 b | 15.68 ± 3.35 b | 27.56 ± 3.7 b |
| Ningzishu 1-LK | 1.21 ± 0.06 c | 0.78 ± 0.09 c | 2.01 ± 0.07 c | 12.57 ± 0.87 c | |
| Xushu 32-CK | 5.63 ± 0.08 b | 2.25 ± 0.12 a | 22.15 ± 1.86 a | 39.34 ± 5.50 a | |
| Xushu 32-LK | 0.72 ± 0.06 d | 0.95 ± 0.03 c | 2.37 ± 0.37 c | 15.37 ± 1.14 c | |
| 12 d | Ningzishu 1-CK | 5.84 ± 0.40 a | 2.53 ± 0.10 b | 75.42 ± 7.87 a | 53.78 ± 1.31 b |
| Ningzishu 1-LK | 0.83 ± 0.04 b | 0.63 ± 0.04 d | 8.39 ± 0.17 c | 9.84 ± 1.30 d | |
| Xushu 32-CK | 5.87 ± 0.05 a | 2.99 ± 0.08 a | 50.87 ± 2.49 b | 60.65 ± 2.04 a | |
| Xushu 32-LK | 0.67 ± 0.09 b | 1.20 ± 0.07 c | 5.14 ± 0.31 d | 20.01 ± 0.40 c | |
| Gene Name | Forward Primer | Reverse Primer |
|---|---|---|
| Actin | AGCAGCATGAAGATTAAGGTTGTAGCAC | TGGAAAATTAGAAGCACTTCCTGTGAAC |
| IbYUC8 | ACCGCATGTTTAACTTCACCT | TCGAAGTGTTCAGCGTACGA |
| IbTAR2 | GTACCGGAAGCTGTGTTTGC | TCCGCCATGCATCAGCTTAA |
| IbPIN1 | CCCAGAAGCAAGCAGAGGAA | CACTTGGTTGGAAGCACAGC |
| IbPIN3 | TGGCATGATCTTTACGTCGT | GGCGACAAAACGGTTGATCC |
| IbAUX1 | CGCGTGGTATTTGGCCATTG | ATTGGTGGCTCCCGTAAAGT |
| IbIAA4 | TGTGTTGCACATGAAGATGGTC | CACCATCACCTGTCTCTGCA |
| IbIAA8 | CGAAATGTCTCCACCACTGC | CTCAGCTCAGTTGCCCTCAA |
Disclaimer/Publisher’s Note: The statements, opinions and data contained in all publications are solely those of the individual author(s) and contributor(s) and not of MDPI and/or the editor(s). MDPI and/or the editor(s) disclaim responsibility for any injury to people or property resulting from any ideas, methods, instructions or products referred to in the content. |
© 2023 by the authors. Licensee MDPI, Basel, Switzerland. This article is an open access article distributed under the terms and conditions of the Creative Commons Attribution (CC BY) license (https://creativecommons.org/licenses/by/4.0/).
Share and Cite
Liu, M.; Zhang, Q.; Jin, R.; Zhao, P.; Zhu, X.; Wang, J.; Yu, Y.; Tang, Z. The Role of IAA in Regulating Root Architecture of Sweetpotato (Ipomoea batatas [L.] Lam) in Response to Potassium Deficiency Stress. Plants 2023, 12, 1779. https://doi.org/10.3390/plants12091779
Liu M, Zhang Q, Jin R, Zhao P, Zhu X, Wang J, Yu Y, Tang Z. The Role of IAA in Regulating Root Architecture of Sweetpotato (Ipomoea batatas [L.] Lam) in Response to Potassium Deficiency Stress. Plants. 2023; 12(9):1779. https://doi.org/10.3390/plants12091779
Chicago/Turabian StyleLiu, Ming, Qiangqiang Zhang, Rong Jin, Peng Zhao, Xiaoya Zhu, Jing Wang, Yongchao Yu, and Zhonghou Tang. 2023. "The Role of IAA in Regulating Root Architecture of Sweetpotato (Ipomoea batatas [L.] Lam) in Response to Potassium Deficiency Stress" Plants 12, no. 9: 1779. https://doi.org/10.3390/plants12091779
APA StyleLiu, M., Zhang, Q., Jin, R., Zhao, P., Zhu, X., Wang, J., Yu, Y., & Tang, Z. (2023). The Role of IAA in Regulating Root Architecture of Sweetpotato (Ipomoea batatas [L.] Lam) in Response to Potassium Deficiency Stress. Plants, 12(9), 1779. https://doi.org/10.3390/plants12091779
