Intercropping of Cyphomandra betacea with Different Ploidies of Solanum Sect. Solanum (Solanaceae) Wild Vegetables Increase Their Selenium Uptakes
Abstract
1. Introduction
2. Results
2.1. Biomass of Plants
2.2. Photosynthetic Pigment Contents in Plants
2.3. Antioxidant Enzyme Activities and Soluble Protein Contents in Plants
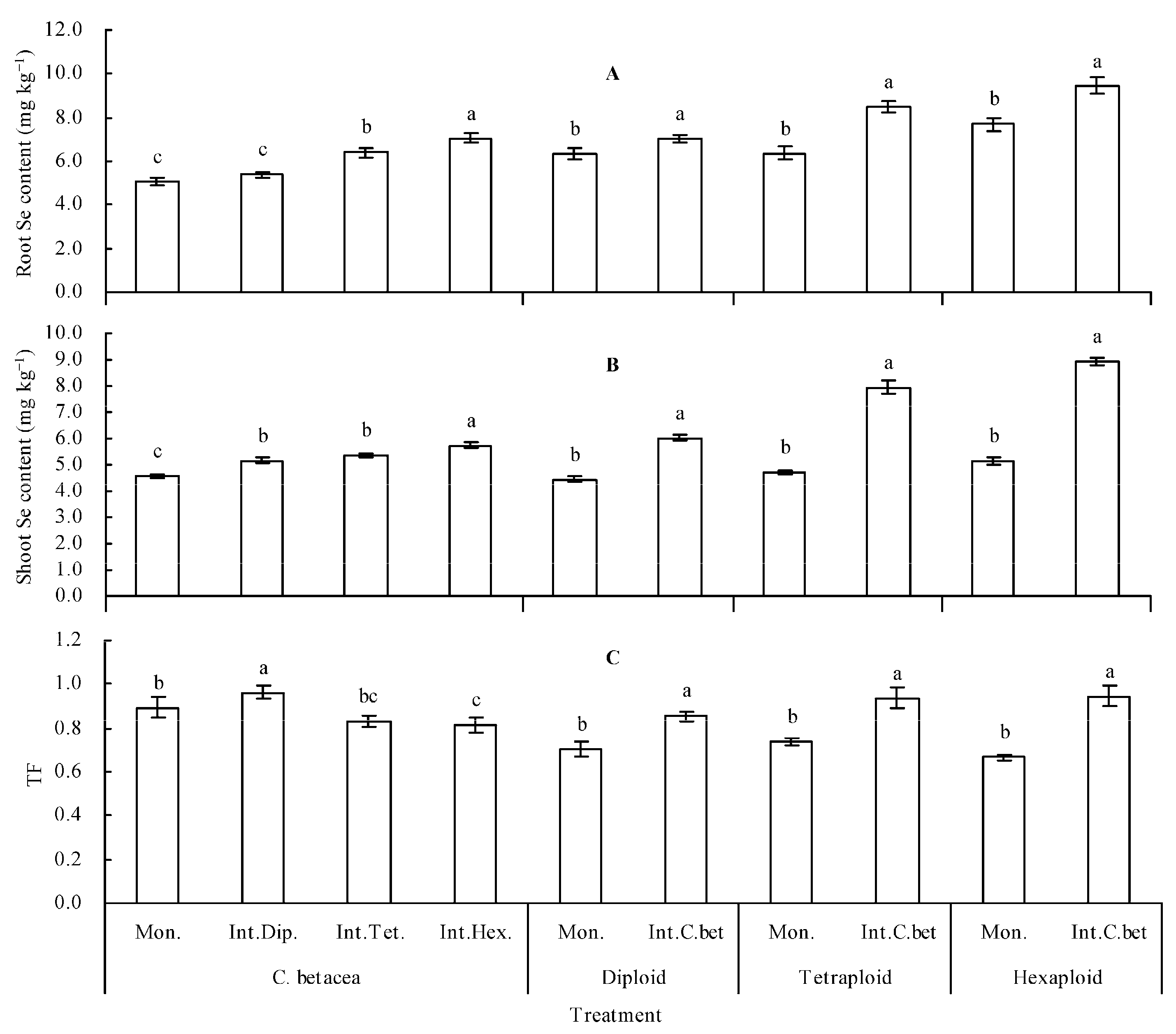
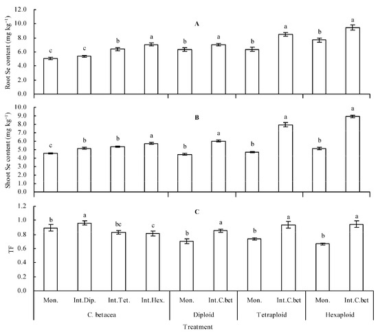
2.4. Se Content and Translocation Factor of Plants
2.5. Relationship of Different Parameters in Plants
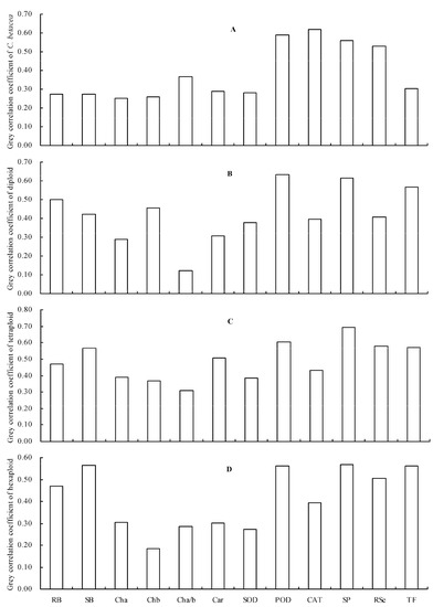
2.6. Grey Relational Analysis
3. Discussion
4. Materials and Methods
4.1. Materials
4.2. Experimental Design
4.3. Determination of Indicators
4.4. Statistical Analysis
5. Conclusions
Author Contributions
Funding
Data Availability Statement
Conflicts of Interest
References
- Supriatin, S.; Weng, L.; Comans, R.N.J. Selenium speciation and extractability in Dutch agricultural soils. Sci. Total Environ. 2015, 532, 368–382. [Google Scholar] [CrossRef] [PubMed]
- El-Ramady, H.; Abdalla, N.; Alshaal, T.; Domokos-Szabolcsy, E.; Elhawat, N.; Prokisch, J.; Sztrik, A.; Fari, M.; El-Marsafawy, S.; Shams, M.S. Selenium in soils under climate change, implication for human health. Environ. Chem. Lett. 2014, 13, 1–19. [Google Scholar] [CrossRef]
- Rayman, M.P. Food-chain selenium and human health: Emphasis on intake. Br. J. Nutr. 2008, 100, 254–268. [Google Scholar] [CrossRef] [PubMed]
- Winkel, L.H.; Johnson, C.A.; Lenz, M.; Grundl, T.; Leupin, O.X.; Amini, M.; Charlet, L. Environmental selenium research: From microscopic processes to global understanding. Environ. Sci. Technol. 2012, 46, 571–579. [Google Scholar] [CrossRef]
- Zhang, C.M. The Regulatory Effects of Selenium Nutrition in Soil-Rice System and Cost-Effectiveness Analysis. Master’s Thesis, Southwest University, Chongqing, China, 2018. [Google Scholar]
- Garland, G.; Bünemann, E.K.; Oberson, A.; Frossard, E.; Six, J. Plant-mediated rhizospheric interactions in maize-pigeon pea intercropping enhance soil aggregation and organic phosphorus storage. Plant Soil 2017, 415, 37–55. [Google Scholar] [CrossRef]
- Fu, Z.; Zhou, L.; Chen, P.; Pang, T.; Song, C.; Wang, X.; Liu, W.; Yang, W.; Yong, T. Effects of maize-soybean relay intercropping on crop nutrient uptake and soil bacterial community. J. Integr. Agr. 2019, 18, 2006–2018. [Google Scholar] [CrossRef]
- Li, N.Y.; Li, Z.A.; Ding, Y.Z.; Zou, B.; Zhuang, P. Effects of intercropping different crops with maize on the Cd uptake by maize. J. Appl. Ecol. 2008, 19, 1369–1373. [Google Scholar]
- Whiting, S.N.; Leake, J.R.; Mcgrath, S.P.; Baker, A.J.M. Hyperaccumulation of Zn by Thlaspi caerulescens can ameliorate Zn toxicity in the rhizosphere of cocropped Thlaspi arvense. Environ. Sci. Technol. 2001, 35, 3237–3241. [Google Scholar] [CrossRef]
- Liu, Y.; Liu, Q.; Xu, X.; Xiao, Y.; Liao, M.A.; Deng, Q.; Zhang, H.; Lin, L. Effects of intercropping with Solanum photeinocarpum and its post-grafting generations on cadmium accumulation in loquat (Eriobotrya japonica). Int. J. Phytoremediat. 2022, 24, 753–762. [Google Scholar] [CrossRef]
- Lin, L.J.; Luo, L.; Yang, D.Y.; Zhang, X.; Liao, M.A.; Tang, F.Y. Effects of intercropping with accumulator on cadmium accumulation of Galinsoga parviflora. J. Soil Water Conserv. 2014, 28, 319–324. [Google Scholar]
- Pan, S.; Lu, R.; Li, H.; Lin, L.; Li, L.; Xiang, J.; Chen, L.; Tang, Y. Mutual intercropping affects selenium uptake of eggplant seedlings. Int. J. Environ. Anal. Chem. 2021, 101, 2866–2875. [Google Scholar] [CrossRef]
- Tang, F.H. Effects of Intercropping on Selenium Enrichment of Three Genotypes Radish. Master’s Thesis, Sichuan Agriculture University, Chengdu, China, 2018. [Google Scholar]
- Liang, L.; Liu, J.; Li, X.M.; Liao, J.C.; Li, H.X.; Tang, Y. Effects of intercropping with different genotypes of cherry tomato on fruit quality and selenium content. Acta Agric. Zhejiangensis 2021, 33, 1870–1878. [Google Scholar]
- Dong, Q.; Li, S.M.; Gao, S.J.; Li, Y.X.; Duan, H.C.; Zheng, X.H.; Yao, X.F.; Yu, Q. Comparison and comprehensive analysis the quality of Cyphomandra betacea from different provenance. Food Ferment. Ind. 2022, 48, 266–273. [Google Scholar]
- Zhang, Q.L.; Zhang, F.X.; Feng, Z.X.; Gong, J.H. The preliminary experimental study on introduction and cultivation of tree tomato. Shandong For. Sci. Technol. 2005, 35, 25–26. [Google Scholar]
- Lin, L.; Sun, J.; Cui, T.; Zhou, X.; Liao, M.A.; Huan, Y.; Yang, L.; Wu, C.; Xia, X.; Wang, Y.; et al. Selenium accumulation characteristics of Cyphomandra betacea (Solanum betaceum) seedlings. Physiol. Mol. Biol. Plants 2020, 26, 1375–1383. [Google Scholar] [CrossRef] [PubMed]
- Wu, C.F.; Bao, R.F.; Liao, H.P.; Liu, P.; Sun, J.; Liao, M.A.; Lin, L.J.; Ren, W. Selenium accumulation characteristics of wild vegetable Solanum photeinocarpum. J. Sichuan Agric. Univ. 2018, 36, 778–784. [Google Scholar]
- Huang, K.W.; Lin, L.J.; Liao, M.A. Study on selenium accumulation characteristics of Solanum nigrum. IOP Conf. Ser. Earth Environ. Sci. 2018, 199, 42027. [Google Scholar] [CrossRef]
- Wang, X.; Huang, Z.; Lin, L.; Liao, M. Study on selenium accumulation characteristics of Lycopersicon esculentum, Solanum melongena and Solanum nigrum. IOP Conf. Ser. Earth Environ. Sci. 2019, 310, 42065. [Google Scholar] [CrossRef]
- Xu, X.F.; Zhang, H.Y.; Yuan, Q.H.; Yan, Y. Studies on chromosome of three types of Solanum nigrum in China. Guihaia 2004, 24, 544–545. [Google Scholar]
- Liu, J.; Wen, X.S.; Lang, A.D. Progress in components and effects of plant root exudates. Food Drug 2007, 17, 63–65. [Google Scholar]
- Zheng, Y.C.; Yang, Q.; Yang, D.; Liu, Y.; Sun, Z.Z.; Wang, X.C. Effects of competition between Phragmites australis and Typha orientalis on the purification of polluted river water in a mixed-planted surface flow constructed wetland. Acta Sci. Circumstantiae 2022, 42, 156–163. [Google Scholar]
- Ashraf, M.; Harris, P.J.C. Photosynthesis under stressful environments: An overview. Photosynthetica 2013, 51, 163–190. [Google Scholar] [CrossRef]
- Hu, R.P.; Li, X.X.; Lin, L.J.; Fan, Z.H.; Chen, S.; Yang, D.S.; Chen, Q.D. Effects of intercropping with Solanum nigrum on physiological and biochemical characteristics and cadmium content of Lycopersicon esculentum and Solanum melongena. Chin. Agric. Sci. Bull. 2019, 35, 57–63. [Google Scholar]
- Hu, R.; Zhang, Z.; Lin, L.; Liao, M.A.; Tang, Y.; Liang, D.; Xia, H.; Wang, J.; Wang, X.; Lv, X.; et al. Intercropping with hyperaccumulator plants decreases the cadmium accumulation in grape seedlings. Acta Agric. Scand. Sect. B-Soil Plant Sci. 2019, 69, 304–310. [Google Scholar] [CrossRef]
- Jiao, N.; Yang, M.; Ning, T.; Yin, F.; Xu, G.; Fu, G.; Li, Y. Effects of maize-peanut intercropping and phosphate fertilizer on photosynthetic characteristics and yield of intercropped peanut plants. Chin. J. Plant Ecol. 2013, 37, 1010–1017. [Google Scholar] [CrossRef]
- Natasha; Shahid, M.; Niazi, N.K.; Khalid, S.; Murtaza, B.; Bibi, I.; Rashid, M.I. A critical review of selenium biogeochemical behavior in soil-plant system with an inference to human health. Environ. Pollut. 2018, 234, 915–934. [Google Scholar] [CrossRef]
- He, B.; Ye, H.B.; Yang, X.E. Effects of Pb on chlorophyll contents and antioxidant enzyme activity in leaf for Pb-accumulating and non-accumulating ecotypes of Sedum Alfredii (Hance). J. Agro-Environ. Sci. 2003, 22, 274–278. [Google Scholar]
- Liang, Y.R.; Hu, X.H.; Zhang, Y.L.; Liu, X.P. Progress on physiological function research of plant peroxidase. J. Inn. Mong. Agric. Univ. 2003, 24, 110–113. [Google Scholar]
- Tang, Y.; He, J.; Yu, X.N.; Xie, Y.D.; Lin, L.J.; Sun, G.C.; Li, H.X.; Liao, M.A.; Liang, D.; Xia, H.; et al. Intercropping with Solanum nigrum and Solanum photeinocarpum from two ecoclimatic regions promotes growth and reduces cadmium uptake of eggplant seedlings. Pedosphere 2017, 27, 638–644. [Google Scholar] [CrossRef]
- Huang, K.W.; Lin, L.J.; Shi, J.; Ma, Q.Q.; Li, K.Q.; Liao, M.A. Effect of intercropping with grafting offspring of Galinsoga parviflora on cadmium accumulation of lettuce. Soils 2020, 52, 127–133. [Google Scholar]
- Li, C.J.; Ma, W.; Zhang, F.S. Rhizosphere talk and its impacts on plant growth. J. Plant Nutr. Fertil. 2008, 14, 178–183. [Google Scholar]
- Nakamaru, Y.; Tagami, K.; Uchida, S. Distribution coefficient of selenium in Japanese agricultural soils. Chemosphere 2005, 58, 1347–1354. [Google Scholar] [CrossRef]
- Elrashidi, M.A.; Adriano, D.C.; Workman, S.M.; Lindsay, W.L. Chemical equilibria of selenium in soils: A theoretical development. Soil Sci. 1987, 144, 141–152. [Google Scholar] [CrossRef]
- Zhang, L.; Hu, B.; Li, W.; Che, R.; Deng, K.; Li, H.; Yu, F.; Ling, H.; Li, Y.; Chu, C. OsPT2, a phosphate transporter, is involved in the active uptake of selenite in rice. New Phytol. 2014, 201, 1183–1191. [Google Scholar] [CrossRef] [PubMed]
- Pratley, J.E.; McFarlane, J.D. The effect of sulphate on the selenium content of pasture plants. Aust. J. Exp. Agric. Anim. Husb. 1974, 14, 533–538. [Google Scholar] [CrossRef]
- Longchamp, M.; Angeli, N.; Castrec-Rouelle, M. Selenium uptake in Zea mays supplied with selenate or selenite under hydroponic conditions. Plant Soil 2013, 362, 107–117. [Google Scholar] [CrossRef]
- Inal, A.; Gunes, A.; Zhang, F.; Cakmak, I. Peanut/maize intercropping induced changes in rhizosphere and nutrient concentrations in shoots. Plant Physiol. Biochem. 2007, 45, 350–356. [Google Scholar] [CrossRef] [PubMed]
- Jiang, C.A.; Wu, Q.T.; Wu, S.H.; Long, X.X. Effect of co-cropping Sedum alfredii with different plants on metal uptake. China Environ. Sci. 2009, 29, 985–990. [Google Scholar]
- Liu, Y.; Li, H.; Xiao, Y.; Xu, X.; Lin, L.; Liao, M.A.; Wang, J.; Lv, X. Exogenous melatonin treatments promote the growth and nutrient uptake of peach (Prunus davidiana) seedlings. J. Plant. Nutr. 2022, 45, 2292–2302. [Google Scholar] [CrossRef]
- Lin, L.; Wu, C.; Jiang, W.; Liao, M.A.; Tang, Y.; Wang, J.; Lv, X.; Liang, D.; Xia, H.; Wang, X.; et al. Grafting increases cadmium accumulation in the post-grafting generations of the potential cadmium-hyperaccumulator Solanum photeinocarpum. Chem. Ecol. 2020, 36, 685–704. [Google Scholar] [CrossRef]
- Lin, L.; Wang, J.; Liao, M.; Hu, R.; Deng, Q.; Wang, Z.; Wang, X.; Tang, Y. Artemisia argyi water extract promotes selenium uptake of peach seedlings. Front. Plant Sci. 2022, 13, 1014454. [Google Scholar] [CrossRef] [PubMed]
- Lin, L.; Li, Z.; Wang, J.; Liang, D.; Xia, H.; Lv, X.; Tang, Y.; Wang, X.; Deng, Q.; Liao, M. 24-epibrassinolide promotes selenium uptake in grapevine under selenium stress. Sci. Hortic. 2023, 308, 111564. [Google Scholar] [CrossRef]
- Hao, Z.B.; Cang, J.; Xu, Z. Plant Physiology Experiment; Harbin Institute of Technology Press: Harbin, China, 2004. [Google Scholar]
- Li, Z.; Fan, R.; Peng, X.; Shu, J.; Liu, L.; Wang, J.; Lin, L. Salicylic acid alleviates selenium stress and promotes selenium uptake of grapevine. Physiol. Mol. Biol. Plants 2022, 28, 625–635. [Google Scholar] [CrossRef] [PubMed]
- Rastmanesh, F.; Moore, F.; Keshavarzi, B. Speciation and phytoavailability of heavy metals in contaminated soils in Sarcheshmeh area, Kerman Province, Iran. Bull. Environ. Contam. Toxicol. 2010, 85, 515–519. [Google Scholar] [CrossRef] [PubMed]
- Wang, X. Application of grey relation analysis theory to choose high reliability of the network node. J. Phys. Conf. Ser. 2019, 1237, 32056. [Google Scholar] [CrossRef]
- Zhang, R.; Huang, Y.; Liu, Y.; Liu, Q.; Zhang, L.; Li, Z.; Xu, Y.; Lin, L.; Wang, L. Effects of mutual intercropping on cadmium accumulation of Solanum photeinocarpum Nakamura et Odashima and its post-grafting generations. Int. J. Phytoremediat. 2023, 25, 350–358. [Google Scholar] [CrossRef]






| Treatment | Chlorophyll a Content (mg g−1) | Chlorophyll b Content (mg g−1) | Chlorophyll a/b | Carotenoid Content (mg g−1) |
|---|---|---|---|---|
| C. betacea | ||||
| Mono. | 1.014 ± 0.047 a | 0.445 ± 0.015 a | 2.281 ± 0.147 a | 0.174 ± 0.002 a |
| Inter. diploid | 0.896 ± 0.031 b | 0.399 ± 0.012 b | 2.243 ± 0.018 a | 0.155 ± 0.004 b |
| Inter. tetraploid | 0.790 ± 0.022 c | 0.359 ± 0.014 c | 2.203 ± 0.059 a | 0.140 ± 0.008 c |
| Inter. hexaploid | 0.789 ± 0.018 c | 0.348 ± 0.011 c | 2.265 ± 0.023 a | 0.135 ± 0.006 c |
| Diploid | ||||
| Mono. | 1.668 ± 0.052 a | 0.680 ± 0.030 b | 2.454 ± 0.059 a | 0.285 ± 0.012 a |
| Inter. C. betacea | 1.768 ± 0.086 a | 0.773 ± 0.035 a | 2.288 ± 0.051 b | 0.302 ± 0.013 a |
| Tetraploid | ||||
| Mono. | 1.873 ± 0.055 b | 0.791 ± 0.045 b | 2.372 ± 0.078 a | 0.309 ± 0.005 b |
| Inter. C. betacea | 2.056 ± 0.067 a | 0.872 ± 0.018 a | 2.358 ± 0.097 a | 0.336 ± 0.011 a |
| Hexaploid | ||||
| Mono. | 1.976 ± 0.094 b | 0.857 ± 0.039 a | 2.308 ± 0.144 a | 0.322 ± 0.016 b |
| Inter. C. betacea | 2.154 ± 0.061 a | 0.876 ± 0.023 a | 2.459 ± 0.026 a | 0.355 ± 0.010 a |
| Treatment | SOD Activity (U g−1) | POD Activity (U g−1 min−1) | CAT Activity (mg g−1 min−1) | Soluble Protein Content (mg g−1) |
|---|---|---|---|---|
| C. betacea | ||||
| Mono. | 361.1 ± 16.43 a | 3889 ± 48.82 c | 5.876 ± 0.202 c | 12.21 ± 0.56 c |
| Inter. diploid | 353.1 ± 17.71 ab | 4397 ± 91.16 b | 6.459 ± 0.131 b | 13.26 ± 0.47 b |
| Inter. tetraploid | 332.7 ± 10.01 ab | 5410 ± 79.98 a | 6.585 ± 0.185 b | 13.91 ± 0.52 a b |
| Inter. hexaploid | 327.6 ± 13.71 b | 5426 ± 58.01 a | 7.132 ± 0.191 a | 14.56 ± 0.49 a |
| Diploid | ||||
| Mono. | 235.1 ± 8.67 b | 4666 ± 87.25 b | 6.813 ± 0.089 b | 10.70 ± 0.20 b |
| Inter. C. betacea | 256.8 ± 9.49 a | 5771 ± 157.9 a | 7.064 ± 0.078 a | 12.99 ± 0.58 a |
| Tetraploid | ||||
| Mono. | 258.4 ± 9.22 a | 5307 ± 102.1 b | 7.112 ± 0.095 b | 12.18 ± 0.24 b |
| Inter. C. betacea | 268.1 ± 5.44 a | 7334 ± 316.9 a | 7.288 ± 0.049 a | 15.94 ± 0.14 a |
| Hexaploid | ||||
| Mono. | 272.3 ± 7.78 a | 6811 ± 225.3 b | 7.484 ± 0.035 a | 13.52 ± 0.49 b |
| Inter. C. betacea | 283.5 ± 6.54 a | 8694 ± 232.2 a | 7.542 ± 0.054 a | 19.58 ± 0.42 a |
| Indicator | Root Biomass | Shoot Biomass | Chlorophyll a Content | Chlorophyll b Content | Chlorophyll a/b | Carotenoid Content | SOD Activity | POD Activity | CAT Activity | Soluble Protein Content | Root Se Content | Shoot Se Content | TF |
|---|---|---|---|---|---|---|---|---|---|---|---|---|---|
| Root biomass | |||||||||||||
| Shoot biomass | 0.922 ** | ||||||||||||
| Chlorophyll a content | 0.880 ** | 0.953 ** | |||||||||||
| Chlorophyll b content | 0.923 ** | 0.926 ** | 0.949 ** | ||||||||||
| Chlorophyll a/b | 0.094 | 0.315 | 0.397 | 0.090 | |||||||||
| Carotenoid content | 0.893 ** | 0.942 ** | 0.918 ** | 0.952 ** | 0.129 | ||||||||
| SOD activity | 0.709 ** | 0.776 ** | 0.649 * | 0.747 ** | −0.107 | 0.787 ** | |||||||
| POD activity | −0.956 ** | −0.957 ** | −0.928 ** | −0.935 ** | −0.217 | −0.923 ** | −0.738 ** | ||||||
| CAT activity | −0.874 ** | −0.838 ** | −0.824 ** | −0.912 ** | 0.061 | −0.914 ** | −0.685 * | 0.833 ** | |||||
| Soluble protein content | −0.779 ** | −0.894 ** | −0.804 ** | −0.830 ** | −0.110 | −0.858 ** | −0.759 ** | 0.783 ** | 0.749 ** | ||||
| Root Se content | −0.912 ** | −0.930 ** | −0.866 ** | −0.865 ** | −0.208 | −0.841 ** | −0.694 * | 0.933 ** | 0.823 ** | 0.794 ** | |||
| Shoot Se content | −0.922 ** | −0.930 ** | −0.898 ** | −0.931 ** | −0.127 | −0.916 ** | −0.733 ** | 0.881 ** | 0.936 ** | 0.855 ** | 0.870 ** | ||
| TF | 0.128 | 0.231 | 0.254 | 0.145 | 0.403 | 0.246 | 0.042 | −0.236 | −0.141 | −0.082 | −0.190 | −0.212 |
| Indicator | Root Biomass | Shoot Biomass | Chlorophyll a Content | Chlorophyll b Content | Chlorophyll a/b | Carotenoid Content | SOD Activity | POD Activity | CAT Activity | Soluble Protein Content | Root Se Content | Shoot Se Content | TF |
|---|---|---|---|---|---|---|---|---|---|---|---|---|---|
| Root biomass | |||||||||||||
| Shoot biomass | 0.813 * | ||||||||||||
| Chlorophyll a content | 0.691 | 0.531 | |||||||||||
| Chlorophyll b content | 0.810 | 0.739 | 0.892 * | ||||||||||
| Chlorophyll a/b | −0.733 | −0.779 | −0.537 | −0.859 * | |||||||||
| Carotenoid content | 0.705 | 0.322 | 0.662 | 0.706 | −0.592 | ||||||||
| SOD activity | 0.691 | 0.672 | 0.332 | 0.655 | −0.827 * | 0.315 | |||||||
| POD activity | 0.976 ** | 0.784 | 0.692 | 0.869 * | −0.841 * | 0.765 | 0.772 | ||||||
| CAT activity | 0.909 * | 0.883 * | 0.422 | 0.582 | −0.609 | 0.401 | 0.651 | 0.836 * | |||||
| Soluble protein content | 0.939 ** | 0.813 * | 0.830 * | 0.942 ** | −0.816 * | 0.662 | 0.759 | 0.954 ** | 0.783 | ||||
| Root Se content | 0.888 * | 0.552 | 0.601 | 0.772 | −0.767 | 0.881 * | 0.699 | 0.945 ** | 0.675 | 0.840 * | |||
| Shoot Se content | 0.961 ** | 0.864 * | 0.727 | 0.913 * | −0.883 * | 0.692 | 0.788 | 0.984 ** | 0.842 * | 0.975 ** | 0.881 * | ||
| TF | 0.896 * | 0.955 ** | 0.711 | 0.893 * | −0.860 * | 0.501 | 0.759 | 0.899 * | 0.849 * | 0.945 ** | 0.713 | 0.960 ** |
| Indicator | Root Biomass | Shoot Biomass | Chlorophyll a Content | Chlorophyll b Content | Chlorophyll a/b | Carotenoid Content | SOD Activity | POD Activity | CAT Activity | Soluble Protein Content | Root Se Content | Shoot Se Content | TF |
|---|---|---|---|---|---|---|---|---|---|---|---|---|---|
| Root biomass | |||||||||||||
| Shoot biomass | 0.876 * | ||||||||||||
| Chlorophyll a content | 0.823 * | 0.784 | |||||||||||
| Chlorophyll b content | 0.902 * | 0.867 * | 0.854 * | ||||||||||
| Chlorophyll a/b | −0.333 | −0.326 | 0.038 | −0.487 | |||||||||
| Carotenoid content | 0.874 * | 0.788 | 0.963 ** | 0.788 | 0.114 | ||||||||
| SOD activity | 0.563 | 0.613 | 0.308 | 0.298 | −0.011 | 0.492 | |||||||
| POD activity | 0.787 | 0.968 ** | 0.803 | 0.769 | −0.105 | 0.807 | 0.596 | ||||||
| CAT activity | 0.865 * | 0.739 | 0.946 ** | 0.847 * | −0.037 | 0.929 ** | 0.209 | 0.734 | |||||
| Soluble protein content | 0.835 * | 0.958 ** | 0.855 * | 0.782 | −0.043 | 0.881 * | 0.646 | 0.987 ** | 0.780 | ||||
| Root Se content | 0.937 ** | 0.960 ** | 0.880 * | 0.873 * | −0.178 | 0.907 * | 0.566 | 0.945 ** | 0.880 * | 0.963 ** | |||
| Shoot Se content | 0.863 * | 0.948 ** | 0.913 * | 0.832 * | −0.047 | 0.922 ** | 0.571 | 0.972 ** | 0.849 * | 0.992 ** | 0.975 ** | ||
| TF | 0.736 | 0.888 * | 0.895 * | 0.747 | 0.082 | 0.882 * | 0.545 | 0.950 ** | 0.766 | 0.969 ** | 0.897 * | 0.972 ** |
| Indicator | Root Biomass | Shoot Biomass | Chlorophyll a Content | Chlorophyll b Content | Chlorophyll a/b | Carotenoid Content | SOD Activity | POD Activity | CAT Activity | Soluble Protein Content | Root Se Content | Shoot Se Content | TF |
|---|---|---|---|---|---|---|---|---|---|---|---|---|---|
| Root biomass | |||||||||||||
| Shoot biomass | 0.932 ** | ||||||||||||
| Chlorophyll a content | 0.870 * | 0.805 | |||||||||||
| Chlorophyll b content | 0.534 | 0.359 | 0.463 | ||||||||||
| Chlorophyll a/b | 0.597 | 0.646 | 0.793 | −0.172 | |||||||||
| Carotenoid content | 0.770 | 0.764 | 0.484 | −0.008 | 0.540 | ||||||||
| SOD activity | 0.815 * | 0.683 | 0.972 ** | 0.598 | 0.669 | 0.345 | |||||||
| POD activity | 0.891 * | 0.968 ** | 0.726 | 0.155 | 0.699 | 0.883 * | 0.572 | ||||||
| CAT activity | 0.456 | 0.586 | 0.312 | −0.377 | 0.607 | 0.756 | 0.128 | 0.723 | |||||
| Soluble protein content | 0.957 ** | 0.991 ** | 0.803 | 0.374 | 0.634 | 0.810 | 0.691 | 0.969 ** | 0.626 | ||||
| Root Se content | 0.939 ** | 0.893 * | 0.784 | 0.234 | 0.707 | 0.921 ** | 0.681 | 0.939 ** | 0.656 | 0.929 ** | |||
| Shoot Se content | 0.957 ** | 0.983 ** | 0.824 * | 0.317 | 0.695 | 0.839 * | 0.706 | 0.980 ** | 0.597 | 0.985 ** | 0.956 ** | ||
| TF | 0.921 ** | 0.994 ** | 0.811 | 0.337 | 0.668 | 0.754 | 0.686 | 0.964 ** | 0.543 | 0.975 ** | 0.886 * | 0.983 ** |
| Soil Type | pH Value | Organic Matter Content (g kg−1) | Total N Content (g kg−1) | Total P Content (g kg−1) | Total K Content (g kg−1) | Alkaline Hydrolyzed N Content (mg kg−1) | Available P Content (mg kg−1) | Available K Content (mg kg−1) | Total Se Content (mg kg−1) |
|---|---|---|---|---|---|---|---|---|---|
| Fluvo-aquic | 7.71 | 15.29 | 1.85 | 11.88 | 15.38 | 87.99 | 55.78 | 41.96 | 0.12 |
Disclaimer/Publisher’s Note: The statements, opinions and data contained in all publications are solely those of the individual author(s) and contributor(s) and not of MDPI and/or the editor(s). MDPI and/or the editor(s) disclaim responsibility for any injury to people or property resulting from any ideas, methods, instructions or products referred to in the content. |
© 2023 by the authors. Licensee MDPI, Basel, Switzerland. This article is an open access article distributed under the terms and conditions of the Creative Commons Attribution (CC BY) license (https://creativecommons.org/licenses/by/4.0/).
Share and Cite
Lin, L.; Xu, X.; Wang, J.; Wang, X.; Lv, X.; Tang, Y.; Deng, H.; Liang, D.; Xia, H. Intercropping of Cyphomandra betacea with Different Ploidies of Solanum Sect. Solanum (Solanaceae) Wild Vegetables Increase Their Selenium Uptakes. Plants 2023, 12, 716. https://doi.org/10.3390/plants12040716
Lin L, Xu X, Wang J, Wang X, Lv X, Tang Y, Deng H, Liang D, Xia H. Intercropping of Cyphomandra betacea with Different Ploidies of Solanum Sect. Solanum (Solanaceae) Wild Vegetables Increase Their Selenium Uptakes. Plants. 2023; 12(4):716. https://doi.org/10.3390/plants12040716
Chicago/Turabian StyleLin, Lijin, Xiangting Xu, Jin Wang, Xun Wang, Xiulan Lv, Yi Tang, Honghong Deng, Dong Liang, and Hui Xia. 2023. "Intercropping of Cyphomandra betacea with Different Ploidies of Solanum Sect. Solanum (Solanaceae) Wild Vegetables Increase Their Selenium Uptakes" Plants 12, no. 4: 716. https://doi.org/10.3390/plants12040716
APA StyleLin, L., Xu, X., Wang, J., Wang, X., Lv, X., Tang, Y., Deng, H., Liang, D., & Xia, H. (2023). Intercropping of Cyphomandra betacea with Different Ploidies of Solanum Sect. Solanum (Solanaceae) Wild Vegetables Increase Their Selenium Uptakes. Plants, 12(4), 716. https://doi.org/10.3390/plants12040716

