Genetic Diversity and Genome-Wide Association Study for the Phenology Response of Winter Wheats of North America, Western Asia, and Europe
Abstract
1. Introduction
2. Results
2.1. Genetic Diversity, Relationship, and Population Differentiation
2.2. Characterization Based on Gene Diversity for Ppd and Vrn
2.3. Population Structure
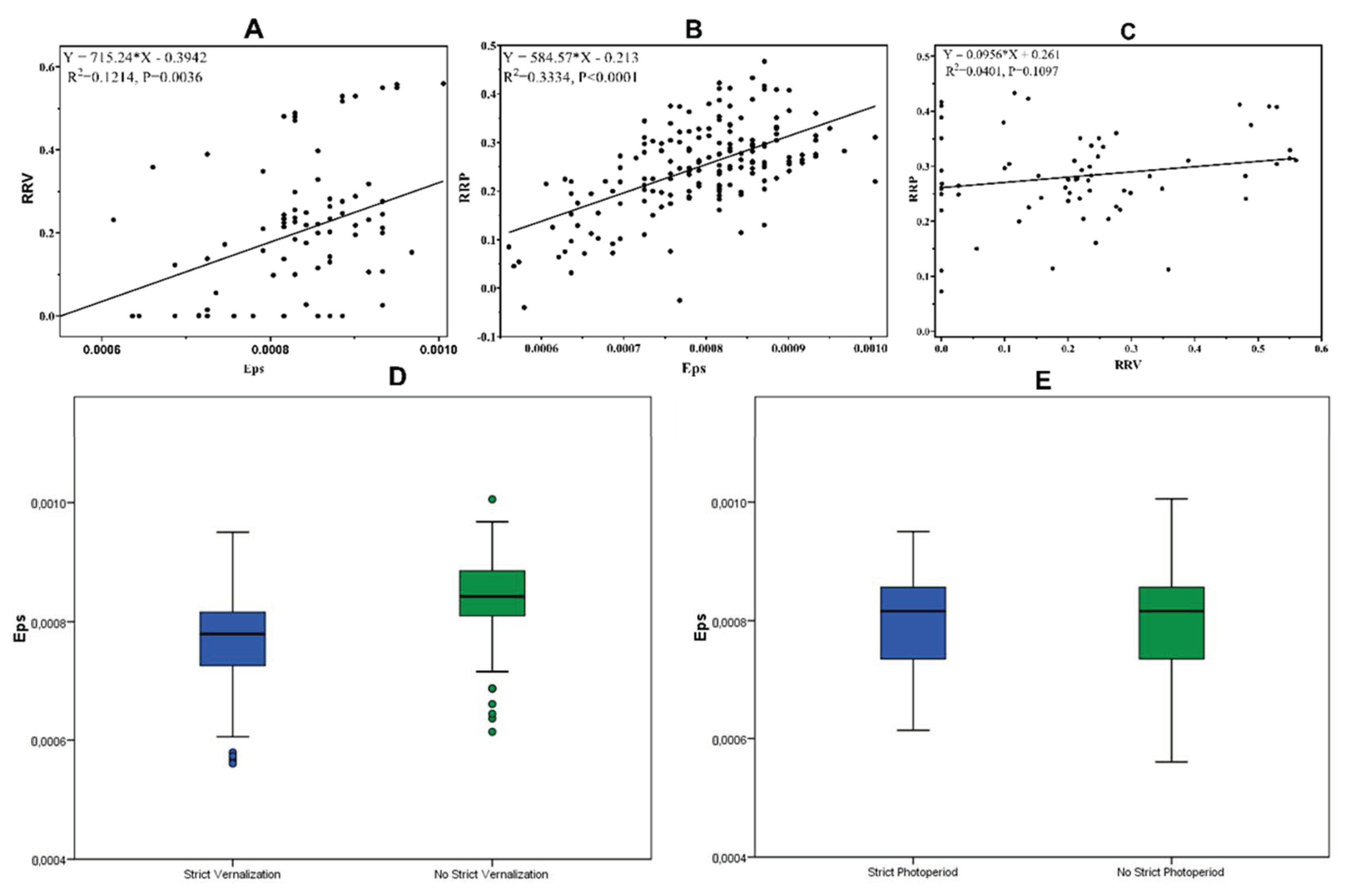
2.4. Response to Photoperiod and Vernalization
2.5. Genome-Wide Association Study
3. Discussion
3.1. Genetic Diversity and Population Structure
3.2. Phenology Variability and Marker Trait Association
4. Materials and Methods
4.1. Plant Material
4.2. Genotyping
4.3. Population Structure
4.4. Diversity Analysis
4.5. Growth Chamber Experiment and Phenology Measurements
4.6. Statistical Analysis
4.7. Genome-Wide Association Study (GWAS)
5. Conclusions
Supplementary Materials
Author Contributions
Funding
Data Availability Statement
Conflicts of Interest
References
- FAO. Crop Prospects and Food Situation; FAO: Rome, Italy, 2019; ISBN 9789251358580. [Google Scholar]
- Mohammadi, R. Breeding for Increased Drought Tolerance in Wheat: A Review. Crop Pasture Sci. 2018, 69, 223–241. [Google Scholar] [CrossRef]
- Semenov, M.A.; Stratonovitch, P.; Alghabari, F.; Gooding, M.J. Adapting Wheat in Europe for Climate Change. J. Cereal Sci. 2014, 59, 245–256. [Google Scholar] [CrossRef]
- Andrés, F.; Coupland, G. The Genetic Basis of Flowering Responses to Seasonal Cues. Nat. Rev. Genet. 2012, 13, 627–639. [Google Scholar] [CrossRef]
- Gegas, V.C.; Nazari, A.; Griffiths, S.; Simmonds, J.; Fish, L.; Orford, S.; Sayers, L.; Doonan, J.H.; Snape, J.W. A Genetic Framework for Grain Size and Shape Variation in Wheat. Plant Cell 2010, 22, 1046–1056. [Google Scholar] [CrossRef]
- Khadka, K.; Torkamaneh, D.; Kaviani, M.; Belzile, F.; Raizada, M.N.; Navabi, A. Population Structure of Nepali Spring Wheat (Triticum aestivum L.) Germplasm. BMC Plant Biol. 2020, 20, 530. [Google Scholar] [CrossRef]
- Mazzucotelli, E.; Sciara, G.; Mastrangelo, A.M.; Desiderio, F.; Xu, S.S.; Faris, J.; Hayden, M.J.; Tricker, P.J.; Ozkan, H.; Echenique, V.; et al. The Global Durum Wheat Panel (GDP): An International Platform to Identify and Exchange Beneficial Alleles. Front. Plant Sci. 2020, 11, 569905. [Google Scholar] [CrossRef]
- Pascual, L.; Ruiz, M.; López-Fernández, M.; Pérez-Penã, H.; Benavente, E.; Vázquez, J.F.; Sansaloni, C.; Giraldo, P. Genomic Analysis of Spanish Wheat Landraces Reveals Their Variability and Potential for Breeding. BMC Genom. 2020, 21, 122. [Google Scholar] [CrossRef]
- Rufo, R.; Alvaro, F.; Royo, C.; Soriano, J.M. From Landraces to Improved Cultivars: Assessment of Genetic Diversity and Population Structure of Mediterranean Wheat Using SNP Markers. PLoS ONE 2019, 14, e0219867. [Google Scholar] [CrossRef]
- Cavanagh, C.R.; Chao, S.; Wang, S.; Huang, B.E.; Stephen, S.; Kiani, S.; Forrest, K.; Saintenac, C.; Brown-Guedira, G.L.; Akhunova, A.; et al. Genome-Wide Comparative Diversity Uncovers Multiple Targets of Selection for Improvement in Hexaploid Wheat Landraces and Cultivars. Proc. Natl. Acad. Sci. USA 2013, 110, 8057–8062. [Google Scholar] [CrossRef]
- Ali, M.; Danting, S.; Wang, J.; Sadiq, H.; Rasheed, A.; He, Z.; Li, H. Genetic Diversity and Selection Signatures in Synthetic-Derived Wheats and Modern Spring Wheat. Front. Plant Sci. 2022, 13, 877496. [Google Scholar] [CrossRef]
- Muterko, A.; Kalendar, R.; Salina, E. Allelic Variation at the VERNALIZATION-A1, VRN-B1, VRN-B3, and PHOTOPERIOD-A1 Genes in Cultivars of Triticum Durum Desf. Planta 2016, 244, 1253–1263. [Google Scholar] [CrossRef]
- Yan, L.; Loukoianov, A.; Tranquilli, G.; Helguera, M.; Fahima, T.; Dubcovsky, J. Positional Cloning of the Wheat Vernalization Gene VRN1. Proc. Natl. Acad. Sci. USA 2003, 100, 6263–6268. [Google Scholar] [CrossRef]
- Yan, L.; Loukoianov, A.; Blechl, A.; Tranquilli, G.; Ramakrishna, W.; SanMiguel, P.; Bennetzen, J.L.; Echenique, V.; Dubcovsky, J. The Wheat VRN2 Gene Is a Flowering Repressor Down-Regulated by Vernalization. Science 2004, 303, 1640–1644. [Google Scholar] [CrossRef]
- Yan, L.; Fu, D.; Li, C.; Blechl, A.; Tranquilli, G.; Bonafede, M.; Sanchez, A.; Valarik, M.; Yasuda, S.; Dubcovsky, J. The Wheat and Barley Vernalization Gene VRN3 Is an Orthologue of FT. Proc. Natl. Acad. Sci. USA 2006, 103, 19581–19586. [Google Scholar] [CrossRef]
- Kippes, N.; Debernardi, J.M.; Vasquez-Gross, H.A.; Akpinar, B.A.; Budak, H.; Kato, K.; Chao, S.; Akhunov, E.; Dubcovsky, J. Identification of the VERNALIZATION 4 Gene Reveals the Origin of Spring Growth Habit in Ancient Wheats from South Asia. Proc. Natl. Acad. Sci. USA 2015, 112, E5401–E5410. [Google Scholar] [CrossRef]
- Yan, L.; Helguera, M.; Kato, K.; Fukuyama, S.; Sherman, J.; Dubcovsky, J. Allelic Variation at the VRN-1 Promoter Region in Polyploid Wheat. Theor. Appl. Genet. 2004, 109, 1677–1686. [Google Scholar] [CrossRef]
- Fjellheim, S.; Boden, S.; Trevaskis, B. The Role of Seasonal Flowering Responses in Adaptation of Grasses to Temperate Climates. Front. Plant Sci. 2014, 5, 431. [Google Scholar] [CrossRef]
- Zikhali, M.; Wingen, L.U.; Griffiths, S. Delimitation of the Earliness per Se D1 (Eps-D1) Flowering Gene to a Subtelomeric Chromosomal Deletion in Bread Wheat (Triticum aestivum). J. Exp. Bot. 2016, 67, 287–299. [Google Scholar] [CrossRef]
- Nazim Ud Dowla, M.A.N.; Edwards, I.; O’Hara, G.; Islam, S.; Ma, W. Developing Wheat for Improved Yield and Adaptation Under a Changing Climate: Optimization of a Few Key Genes. Engineering 2018, 4, 514–522. [Google Scholar] [CrossRef]
- Herndl, M.; White, J.W.; Hunt, L.A.; Graeff, S.; Claupein, W. Field-Based Evaluation of Vernalization Requirement, Photoperiod Response and Earliness per Se in Bread Wheat (Triticum aestivum L.). Field Crop. Res. 2008, 105, 193–201. [Google Scholar] [CrossRef]
- Borrill, P.; Adamski, N.; Uauy, C. Genomics as the Key to Unlocking the Polyploid Potential of Wheat. New Phytol. 2015, 208, 1008–1022. [Google Scholar] [CrossRef]
- Zhang, X.; Chen, J.; Yan, Y.; Yan, X.; Shi, C.; Zhao, L.; Chen, F. Genome-Wide Association Study of Heading and Flowering Dates and Construction of Its Prediction Equation in Chinese Common Wheat. Theor. Appl. Genet. 2018, 131, 2271–2285. [Google Scholar] [CrossRef]
- Alemu, A.; El Baouchi, A.; El Hanafi, S.; Kehel, Z.; Eddakhir, K.; Tadesse, W. Genetic Analysis of Grain Protein Content and Dough Quality Traits in Elite Spring Bread Wheat (Triticum aestivum) Lines through Association Study. J. Cereal Sci. 2021, 100, 103214. [Google Scholar] [CrossRef]
- Shewabez, E.; Bekele, E.; Alemu, A.; Mugnai, L.; Tadesse, W. Genetic Characterization and Genome-Wide Association Mapping for Stem Rust Resistance in Spring Bread Wheat. BMC Genomic Data 2022, 23, 11. [Google Scholar] [CrossRef]
- Devate, N.B.; Kumar Parmeshwarappa, S.V.; Kumar Manjunath, K.; Chauhan, D.; Singh, S.; Bahadur Singh, J.; Kumar, M.; Patil, R.; Khan, H.; Jain, N.; et al. Genome-Wide Association Mapping for Component Traits of Drought and Heat Tolerance in Wheat. Front. Plant Sci. 2022, 13, 943033. [Google Scholar] [CrossRef]
- Breseghello, F.; Sorrells, M.E. Association Mapping of Kernel Size and Milling Quality in Wheat (Triticum aestivum L.) Cultivars. Genetics 2006, 172, 1165–1177. [Google Scholar] [CrossRef]
- Poland, J.A.; Bradbury, P.J.; Buckler, E.S.; Nelson, R.J. Genome-Wide Nested Association Mapping of Quantitative Resistance to Northern Leaf Blight in Maize. Proc. Natl. Acad. Sci. USA 2011, 108, 6893–6898. [Google Scholar] [CrossRef]
- Würschum, T.; Langer, S.M.; Longin, C.F.H.; Korzun, V.; Akhunov, E.; Ebmeyer, E.; Schachschneider, R.; Schacht, J.; Kazman, E.; Reif, J.C. Population Structure, Genetic Diversity and Linkage Disequilibrium in Elite Winter Wheat Assessed with SNP and SSR Markers. Theor. Appl. Genet. 2013, 126, 1477–1486. [Google Scholar] [CrossRef] [PubMed]
- Sehgal, D.; Mondal, S.; Guzman, C.; Garcia Barrios, G.; Franco, C.; Singh, R.; Dreisigacker, S. Validation of Candidate Gene-Based Markers and Identification of Novel Loci for Thousand-Grain Weight in Spring Bread Wheat. Front. Plant Sci. 2019, 10, 1189. [Google Scholar] [CrossRef]
- Liu, J.; He, Z.; Rasheed, A.; Wen, W.; Yan, J.; Zhang, P.; Wan, Y.; Zhang, Y.; Xie, C.; Xia, X. Genome-Wide Association Mapping of Black Point Reaction in Common Wheat (Triticum aestivum L.). BMC Plant Biol. 2017, 17, 220. [Google Scholar] [CrossRef]
- Eltaher, S.; Sallam, A.; Belamkar, V.; Emara, H.A.; Nower, A.A.; Salem, K.F.M.; Poland, J.; Baenziger, P.S. Genetic Diversity and Population Structure of F3:6 Nebraska Winter Wheat Genotypes Using Genotyping-by-Sequencing. Front. Genet. 2018, 9, 76. [Google Scholar] [CrossRef]
- Sheoran, S.; Jaiswal, S.; Kumar, D.; Raghav, N.; Sharma, R.; Pawar, S.; Paul, S.; Iquebal, M.A.; Jaiswar, A.; Sharma, P.; et al. Uncovering Genomic Regions Associated with 36 Agro-Morphological Traits in Indian Spring Wheat Using GWAS. Front. Plant Sci. 2019, 10, 527. [Google Scholar] [CrossRef] [PubMed]
- Ain, Q.U.; Rasheed, A.; Anwar, A.; Mahmood, T.; Imtiaz, M.; Mahmood, T.; Xia, X.; He, Z.; Quraishi, U.M. Genome-Wide Association for Grain Yield under Rainfed Conditions in Historical Wheat Cultivars from Pakistan. Front. Plant Sci. 2015, 6, 743. [Google Scholar] [CrossRef]
- Muleta, K.T.; Bulli, P.; Zhang, Z.; Chen, X.; Pumphrey, M. Unlocking Diversity in Germplasm Collections via Genomic Selection: A Case Study Based on Quantitative Adult Plant Resistance to Stripe Rust in Spring Wheat. Plant Genome 2017, 10, plantgenome2016.12.0124. [Google Scholar] [CrossRef]
- Bonman, J.M.; Babiker, E.M.; Cuesta-marcos, A.; Esvelt-klos, K.; Brown-guedira, G.; Chao, S.; See, D.; Chen, J.; Akhunov, E.; Zhang, J.; et al. Genetic Diversity among Wheat Accessions from the USDA National Small Grains Collection. Corp. Sci. 2015, 55, 1243–1253. [Google Scholar] [CrossRef]
- Balfourier, F.; Bouchet, S.; Robert, S.; De Oliveira, R.; Rimbert, H.; Kitt, J.; Choulet, F.; Wheat, I.; Sequencing, G. Worldwide Phylogeography and History of Wheat Genetic Diversity. Sci. Adv. 2019, 5, eaav0536. [Google Scholar] [CrossRef]
- Lehnert, H.; Berner, T.; Lang, D.; Beier, S.; Stein, N.; Himmelbach, A.; Kilian, B.; Keilwagen, J. Insights into Breeding History, Hotspot Regions of Selection, and Untapped Allelic Diversity for Bread Wheat Breeding. Plant J. 2022, 112, 897–918. [Google Scholar] [CrossRef] [PubMed]
- Sthapit, S.R.; Ruff, T.M.; Hooker, M.A.; See, D.R. Population Structure and Genetic Diversity of U.S. Wheat Varieties. Plant Genome 2022, 15, e20196. [Google Scholar] [CrossRef]
- Novoselović, D.; Bentley, A.R.; Šimek, R.; Dvojković, K.; Sorrells, M.E.; Gosman, N.; Horsnell, R.; Drezner, G.; Šatović, Z. Characterizing Croatian Wheat Germplasm Diversity and Structure in a European Context by DArT Markers. Front. Plant Sci. 2016, 7, 184. [Google Scholar] [CrossRef] [PubMed]
- Kiss, T.; Balla, K.; Cseh, A.; Berki, Z.; Horváth, Á.; Vida, G.; Veisz, O.; Karsai, I. Assessment of the Genetic Diversity, Population Structure and Allele Distribution of Major Plant Development Genes in Bread Wheat Cultivars Using DArT and Gene-Specific Markers. Cereal Res. Commun. 2021, 49, 549–557. [Google Scholar] [CrossRef]
- Iqbal, M.; Shahzad, A.; Ahmed, I. Allelic Variation at the Vrn-A1, Vrn-B1, Vrn-D1, Vrn-B3 and Ppd-D1a Loci of Pakistani Spring Wheat Cultivars. Electron. J. Biotechnol. 2011, 14, 1–8. [Google Scholar] [CrossRef]
- Yang, F.P.; Zhang, X.K.; Xia, X.C.; Laurie, D.A.; Yang, W.X.; He, Z.H. Distribution of the Photoperiod Insensitive Ppd-D1a Allele in Chinese Wheat Cultivars. Euphytica 2009, 165, 445–452. [Google Scholar] [CrossRef]
- Andrey, B.S.; Börner, A.; Salina, E.A. Effect of VRN-1 and PPD-D1 Genes on Heading Time in European Bread Wheat Cultivars. Plant Breed. 2015, 134, 49–55. [Google Scholar] [CrossRef]
- Kiss, T.; Balla, K.; Veisz, O.; Láng, L.; Bedő, Z.; Griffiths, S.; Isaac, P.; Karsai, I. Allele Frequencies in the VRN-A1, VRN-B1 and VRN-D1 Vernalization Response and PPD-B1 and PPD-D1 Photoperiod Sensitivity Genes, and Their Effects on Heading in a Diverse Set of Wheat Cultivars (Triticum aestivum L.). Mol. Breed. 2014, 34, 297–310. [Google Scholar] [CrossRef]
- Sanchez-Garcia, M.; Bentley, A. Global Journeys of Adaptive Wheat Genes; Woodhead Publishing: Cambridge, UK, 2019; ISBN 9780081021637. [Google Scholar]
- Royo, C.; Dreisigacker, S.; Soriano, J.M.; Lopes, M.S.; Ammar, K.; Villegas, D. Allelic Variation at the Vernalization Response (Vrn-1) and Photoperiod Sensitivity (Ppd-1) Genes and Their Association with the Development of Durum Wheat Landraces and Modern Cultivars. Front. Plant Sci. 2020, 11, 838. [Google Scholar] [CrossRef] [PubMed]
- Dixon, L.E.; Karsai, I.; Kiss, T.; Adamski, N.M.; Liu, Z.; Ding, Y.; Allard, V.; Boden, S.A.; Griffiths, S. VERNALIZATION1 Controls Developmental Responses of Winter Wheat under High Ambient Temperatures. Development 2019, 146, dev172684. [Google Scholar] [CrossRef] [PubMed]
- Ortiz Ferrara, G.; Mosaad, M.G.; Mahalakshmi, V.; Rajaram, S. Photoperiod and Vernalisation Response of Mediterranean Wheats, and Implications for Adaptation. Euphytica 1998, 100, 377–384. [Google Scholar] [CrossRef]
- Díaz, A.; Zikhali, M.; Turner, A.S.; Isaac, P.; Laurie, D.A. Copy Number Variation Affecting the Photoperiod-B1 and Vernalization-A1 Genes Is Associated with Altered Flowering Time in Wheat (Triticum aestivum). PLoS ONE 2012, 7, e33234. [Google Scholar] [CrossRef]
- Chen, A.; Dubcovsky, J. Wheat TILLING Mutants Show That the Vernalization Gene VRN1 Down-Regulates the Flowering Repressor VRN2 in Leaves but Is Not Essential for Flowering. PLoS Genet. 2012, 8, e1003134. [Google Scholar] [CrossRef]
- Eagles, H.; Cane, K.; Trevaskisc, B. Veery Wheats Carry an Allele of Vrn-A1 That Has Implications for Freezing Tolerance in Winter Wheats. Plant Breed. 2011, 130, 413–418. [Google Scholar] [CrossRef]
- Zhang, X.K.; Xiao, Y.G.; Zhang, Y.; Xia, X.C.; Dubcovsky, J.; He, Z.H. Allelic Variation at the Vernalization Genes Vrn-A1, Vrn-B1, Vrn-D1, and Vrn-B3 in Chinese Wheat Cultivars and Their Association with Growth Habit. Crop Sci. 2008, 48, 458–470. [Google Scholar] [CrossRef]
- Würschum, T.; Boeven, P.H.G.; Langer, S.M.; Longin, C.F.H.; Leiser, W.L. Multiply to Conquer: Copy Number Variations at Ppd-B1 and Vrn-A1 Facilitate Global Adaptation in Wheat. BMC Genet. 2015, 16, 96. [Google Scholar] [CrossRef]
- Li, G.; Yu, M.; Fang, T.; Cao, S.; Carver, B.F.; Yan, L. Vernalization Requirement Duration in Winter Wheat Is Controlled by TaVRN-A1 at the Protein Level. Plant J. 2013, 76, 742–753. [Google Scholar] [CrossRef]
- Langer, S.M.; Longin, C.F.H.; Würschum, T. Flowering Time Control in European Winter Wheat. Front. Plant Sci. 2014, 5, 537. [Google Scholar] [CrossRef] [PubMed]
- Kamran, A.; Iqbal, M.; Spaner, D. Flowering Time in Wheat (Triticum aestivum L.): A Key Factor for Global Adaptability. Euphytica 2014, 197, 1–26. [Google Scholar] [CrossRef]
- Würschum, T.; Langer, S.M.; Longin, C.F.H.; Tucker, M.R.; Leiser, W.L. A Three-Component System Incorporating Ppd-D1, Copy Number Variation at Ppd-B1, and Numerous Small-Effect Quantitative Trait Loci Facilitates Adaptation of Heading Time in Winter Wheat Cultivars of Worldwide Origin. Plant Cell Environ. 2018, 41, 1407–1416. [Google Scholar] [CrossRef] [PubMed]
- Tanio, M.; Kato, K. Development of Near-Isogenic Lines for Photoperiod-Insensitive Genes, Ppd-B1 and Ppd-D1, Carried by the Japanese Wheat Cultivars and Their Effect on Apical Development. Breed. Sci. 2007, 57, 65–72. [Google Scholar] [CrossRef]
- Worland, A.J. The Influence of Flowering Time Genes on Environmental Adaptability in European Wheats. Euphytica 1996, 89, 49–57. [Google Scholar] [CrossRef]
- Bentley, A.R.; Horsnell, R.; Werner, C.P.; Turner, A.S.; Rose, G.A.; Bedard, C.; Howell, P.; Wilhelm, E.P. Short, Natural, and Extended Photoperiod Response in BC 2 F 4 Lines of Bread Wheat with Different Photoperiod-1 (Ppd-1) Alleles. J. Exp. Bot. 2013, 64, 1783–1793. [Google Scholar] [CrossRef] [PubMed]
- Worland, A.J.; Bo, A. The Influence of Photoperiod Genes on the Adaptability of European Winter Wheats. Euphytica 1998, 100, 385–394. [Google Scholar] [CrossRef]
- Whittal, A.; Kaviani, M.; Graf, R.; Humphreys, G.; Navabi, A. Allelic Variation of Vernalization and Photoperiod Response Genes in a Diverse Set of North American High Latitude Winter Wheat Genotypes. PLoS ONE 2018, 13, e0209543. [Google Scholar] [CrossRef] [PubMed]
- Grogan, S.M.; Brown-guedira, G.; Haley, S.D.; Mcmaster, G.S.; Reid, D.; Smith, J.; Byrne, P.F. Allelic Variation in Developmental Genes and Effects on Winter Wheat Heading Date in the U.S. Great Plains. PLoS ONE 2016, 11, e0152852. [Google Scholar] [CrossRef] [PubMed]
- Tadesse, W.; Ogbonnaya, F.C.; Jighly, A.; Sanchez-Garcia, M.; Sohail, Q.; Rajaram, S.; Baum, M. Genome-Wide Association Mapping of Yield and Grain Quality Traits in Winter Wheat Genotypes. PLoS ONE 2015, 10, e0141339. [Google Scholar] [CrossRef] [PubMed]
- Monostori, I.; Szira, F.; Tondelli, A.; ÁrendÁs, T.; Gierczik, K.; Cattivelli, L.; Galiba, G.; VÁgújfalvi, A. Genome-Wide Association Study and Genetic Diversity Analysis on Nitrogen Use Efficiency in a Central European Winter Wheat (Triticum aestivum L.) Collection. PLoS ONE 2017, 12, e0189265. [Google Scholar] [CrossRef]
- Li, Z.; Lhundrup, N.; Guo, G.; Dol, K.; Chen, P.; Gao, L.; Chemi, W.; Zhang, J.; Wang, J.; Nyema, T.; et al. Characterization of Genetic Diversity and Genome-Wide Association Mapping of Three Agronomic Traits in Qingke Barley (Hordeum vulgare L.) in the Qinghai-Tibet Plateau. Front. Genet. 2020, 11, 638. [Google Scholar] [CrossRef]
- El Hanafi, S.; Backhaus, A.; Bendaou, N.; Sanchez-Garcia, M.; Al-Abdallat, A.; Tadesse, W. Genome-Wide Association Study for Adult Plant Resistance to Yellow Rust in Spring Bread Wheat (Triticum aestivum L.). Euphytica 2021, 217, 87. [Google Scholar] [CrossRef]
- Kobayashi, F.; Tanaka, T.; Kanamori, H.; Wu, J.; Katayose, Y.; Handa, H. Characterization of a Mini Core Collection of Japanese Wheat Varieties Using Singlenucleotide Polymorphisms Generated by Genotyping-by-Sequencing. Breed. Sci. 2016, 66, 213–225. [Google Scholar] [CrossRef] [PubMed]
- Ogbonnaya, F.C.; Rasheed, A.; Okechukwu, E.C.; Jighly, A.; Makdis, F.; Wuletaw, T.; Hagras, A.; Uguru, M.I.; Agbo, C.U. Genome-Wide Association Study for Agronomic and Physiological Traits in Spring Wheat Evaluated in a Range of Heat Prone Environments. Theor. Appl. Genet. 2017, 130, 1819–1835. [Google Scholar] [CrossRef] [PubMed]
- Sheoran, S.; Jaiswal, S.; Raghav, N.; Sharma, R.; Sabhyata; Gaur, A.; Jaisri, J.; Tandon, G.; Singh, S.; Sharma, P.; et al. Genome-Wide Association Study and Post-Genome-Wide Association Study Analysis for Spike Fertility and Yield Related Traits in Bread Wheat. Front. Plant Sci. 2022, 12, 820761. [Google Scholar] [CrossRef]
- Aslam, M.A.; Ahmed, M.; Stöckle, C.O.; Higgins, S.S.; ul Hassan, F.; Hayat, R. Can Growing Degree Days and Photoperiod Predict Spring Wheat Phenology? Front. Environ. Sci. 2017, 5, 57. [Google Scholar] [CrossRef]
- Zhang, Y.; Liu, W.C.; Li, J.; Wei, H.T.; Hu, X.R.; Li, Y.J.; Lu, B.R.; Yang, W.Y. Distribution and Selective Effects of Vrn-A1, Vrn-B1, and Vrn-D1 Genes in Derivative Varieties from Four Cornerstone Breeding Parents of Wheat in China. Agric. Sci. China 2010, 9, 1389–1399. [Google Scholar] [CrossRef]
- Kamran, A.; Iqbal, M.; Navabi, A.; Randhawa, H.; Pozniak, C.; Spaner, D. Earliness per Se QTLs and Their Interaction with the Photoperiod Insensitive Allele Ppd-D1a in the Cutler × AC Barrie Spring Wheat Population. Theor. Appl. Genet. 2013, 126, 1965–1976. [Google Scholar] [CrossRef] [PubMed]
- Faricelli, M.E.; Valárik, M.; Dubcovsky, J. Control of Flowering Time and Spike Development in Cereals: The Earliness per Se Eps-1 Region in Wheat, Rice, and Brachypodium. Funct. Integr. Genom. 2010, 10, 293–306. [Google Scholar] [CrossRef] [PubMed][Green Version]
- Allen, A.M.; Winfield, M.O.; Burridge, A.J.; Downie, R.C.; Benbow, H.R.; Barker, G.L.A.; Wilkinson, P.A.; Coghill, J.; Waterfall, C.; Davassi, A.; et al. Characterization of a Wheat Breeders’ Array Suitable for High-Throughput SNP Genotyping of Global Accessions of Hexaploid Bread Wheat (Triticum aestivum). Plant Biotechnol. J. 2017, 15, 390–401. [Google Scholar] [CrossRef]
- Dreisigacke, S.; Sukumaran, S.; Guzmán, C.; He, X.; Lan, C.; Bonnett, D.; Crossa, J. Molecular Marker-Based Selection Tools in Spring Bread Wheat Improvement: CIMMYT Experience and Prospects; Springer: Berlin/Heidelberg, Germany, 2016; Volume 11, ISBN 978-3-319-27088-3. [Google Scholar]
- Fu, D.; Szűcs, P.; Yan, L.; Helguera, M.; Skinner, J.S.; Von Zitzewitz, J.; Hayes, P.M.; Dubcovsky, J. Large Deletions within the First Intron in VRN-1 Are Associated with Spring Growth Habit in Barley and Wheat. Mol. Genet. Genomics 2005, 273, 54–65. [Google Scholar] [CrossRef]
- Beales, J.; Turner, A.; Griffiths, S.; Snape, J.W.; Laurie, D.A. A Pseudo-Response Regulator Is Misexpressed in the Photoperiod Insensitive Ppd-D1a Mutant of Wheat (Triticum aestivum L.). Theor. Appl. Genet. 2007, 115, 721–733. [Google Scholar] [CrossRef]
- Lilin-yin Package ‘CMplot’. 2022. pp. 1–8. Available online: https://github.com/YinLiLin/CMplot (accessed on 1 October 2023).
- Remington, D.L.; Thornsberry, J.M.; Matsuoka, Y.; Wilson, L.M.; Whitt, S.R.; Doebley, J.; Kresovich, S.; Goodman, M.M.; Buckler IV, E.S. Structure of Linkage Disequilibrium and Phenotypic Associations in the Maize Genome. Proc. Natl. Acad. Sci. USA 2001, 98, 11479–11484. [Google Scholar] [CrossRef]
- Yu, G.; Smith, D.K.; Zhu, H.; Guan, Y.; Lam, T.T.Y. Ggtree: An R Package for Visualization and Annotation of Phylogenetic Trees with Their Covariates and Other Associated Data. Methods Ecol. Evol. 2017, 8, 28–36. [Google Scholar] [CrossRef]
- Bradbury, P.J.; Zhang, Z.; Kroon, D.E.; Casstevens, T.M.; Ramdoss, Y.; Buckler, E.S. TASSEL: Software for Association Mapping of Complex Traits in Diverse Samples. Bioinformatics 2007, 23, 2633–2635. [Google Scholar] [CrossRef]
- Frichot, E.; François, O. LEA: An R Package for Landscape and Ecological Association Studies. Methods Ecol. Evol. 2015, 6, 925–929. [Google Scholar] [CrossRef]
- Liu, K.; Muse, S.V. PowerMaker: An Integrated Analysis Environment for Genetic Maker Analysis. Bioinformatics 2005, 21, 2128–2129. [Google Scholar] [CrossRef]
- Wang, E.; Engel, T. Simulation of Phenological Development of Wheat Crops. Agric. Syst. 1998, 58, 1–24. [Google Scholar] [CrossRef]
- White, J.W.; Laing, D.R. Photoperiod Response of Flowering in Diverse Genotypes of Common Bean (Phaseolus vulgaris). F. Crops Res. 1989, 22, 113–128. [Google Scholar] [CrossRef]
- Van Rossum, B.-J. StatgenGxE: Genotype by Environment (GxE) Analysis, Version 1.0.5. 2022. Available online: https://cran.r-project.org/web/packages/statgenGxE/statgenGxE.pdf (accessed on 1 October 2023).
- Rodríguez-Álvarez, M.X.; Boer, M.P.; van Eeuwijk, F.A.; Eilers, P.H.C. Correcting for Spatial Heterogeneity in Plant Breeding Experiments with P-Splines. Spat. Stat. 2018, 23, 52–71. [Google Scholar] [CrossRef]
- Rodríguez-Álvarez, M.X.; Boer, M.P.; van Eeuwijk, F.A.; Eilers, P.H.C. Spatial Models for Field Trials. arXiv 2016, arXiv:1607.08255. [Google Scholar]
- Tossim, H.A.; Nguepjop, J.R.; Diatta, C.; Sambou, A.; Seye, M.; Sane, D.; Rami, J.F.; Fonceka, D. Assessment of 16 Peanut (Arachis hypogaea L.) CSSLs Derived from an Interspecific Cross for Yield and Yield Component Traits: QTL Validation. Agronomy 2020, 10, 583. [Google Scholar] [CrossRef]
- Wang, J.; Zhang, Z. GAPIT Version 3: Boosting Power and Accuracy for Genomic Association and Prediction. Genom. Proteom. Bioinforma. 2021, 19, 629–640. [Google Scholar] [CrossRef]
- Price, A.L.; Patterson, N.J.; Plenge, R.M.; Weinblatt, M.E.; Shadick, N.A.; Reich, D. Principal Components Analysis Corrects for Stratification in Genome-Wide Association Studies. Nat. Genet. 2006, 38, 904–909. [Google Scholar] [CrossRef]
- Zhang, Z.; Ersoz, E.; Lai, C.Q.; Todhunter, R.J.; Tiwari, H.K.; Gore, M.A.; Bradbury, P.J.; Yu, J.; Arnett, D.K.; Ordovas, J.M.; et al. Mixed Linear Model Approach Adapted for Genome-Wide Association Studies. Nat. Genet. 2010, 42, 355–360. [Google Scholar] [CrossRef]
- Li, M.; Liu, X.; Bradbury, P.; Yu, J.; Zhang, Y.M.; Todhunter, R.J.; Buckler, E.S.; Zhang, Z. Enrichment of Statistical Power for Genome-Wide Association Studies. BMC Biol. 2014, 12, 73. [Google Scholar] [CrossRef]
- VanRaden, P.M. Efficient Methods to Compute Genomic Predictions. J. Dairy Sci. 2008, 91, 4414–4423. [Google Scholar] [CrossRef] [PubMed]
- Lipka, A.E.; Tian, F.; Wang, Q.; Peiffer, J.; Li, M.; Bradbury, P.J.; Gore, M.A.; Buckler, E.S.; Zhang, Z. GAPIT: Genome Association and Prediction Integrated Tool. Bioinformatics 2012, 28, 2397–2399. [Google Scholar] [CrossRef] [PubMed]
- Chen, H.; Wang, C.; Conomos, M.P.; Stilp, A.M.; Li, Z.; Sofer, T.; Szpiro, A.A.; Chen, W.; Brehm, J.M.; Celedón, J.C.; et al. Control for Population Structure and Relatedness for Binary Traits in Genetic Association Studies via Logistic Mixed Models. Am. J. Hum. Genet. 2016, 98, 653–666. [Google Scholar] [CrossRef] [PubMed]









| Major Allele Frequency | Number of SNPs | Genetic Diversity | PIC | |
|---|---|---|---|---|
| Chromosome | ||||
| 1A | 0.70 | 534 | 0.43 | 0.37 |
| 1B | 0.70 | 710 | 0.42 | 0.36 |
| 1D | 0.70 | 221 | 0.41 | 0.35 |
| 2A | 0.73 | 661 | 0.38 | 0.33 |
| 2B | 0.68 | 787 | 0.46 | 0.39 |
| 2D | 0.68 | 234 | 0.43 | 0.36 |
| 3A | 0.70 | 451 | 0.43 | 0.37 |
| 3B | 0.67 | 777 | 0.47 | 0.40 |
| 3D | 0.65 | 106 | 0.47 | 0.40 |
| 4A | 0.72 | 383 | 0.4 | 0.35 |
| 4B | 0.70 | 308 | 0.43 | 0.37 |
| 4D | 0.67 | 32 | 0.44 | 0.36 |
| 5A | 0.66 | 596 | 0.46 | 0.39 |
| 5B | 0.72 | 815 | 0.41 | 0.36 |
| 5D | 0.69 | 137 | 0.42 | 0.36 |
| 6A | 0.69 | 503 | 0.44 | 0.38 |
| 6B | 0.68 | 674 | 0.44 | 0.38 |
| 6D | 0.72 | 76 | 0.4 | 0.35 |
| 7A | 0.70 | 525 | 0.44 | 0.38 |
| 7B | 0.68 | 470 | 0.45 | 0.38 |
| 7D | 0.72 | 83 | 0.4 | 0.34 |
| Major Allele Frequency | Sample Size | Genetic Diversity | PIC | |
| Region | ||||
| Central Asia | 0.81 | 9 | 0.27 | 0.22 |
| CGIAR | 0.72 | 65 | 0.39 | 0.35 |
| Europe | 0.74 | 48 | 0.38 | 0.34 |
| North America | 0.72 | 62 | 0.39 | 0.35 |
| Other | 0.75 | 11 | 0.33 | 0.28 |
| Western Asia | 0.70 | 54 | 0.42 | 0.37 |
| Region | ||||
|---|---|---|---|---|
| Source | df | Mean Sq | Sum Sq | Percentage |
| Among Region | 5 | 28,330 | 141,652 | 6% |
| Within Central Asia | 8 | 6843 | 54,748 | 2% |
| Within CGIAR | 64 | 8921 | 570,931 | 26% |
| Within Europe | 47 | 8685 | 408,211 | 18% |
| Within North America | 61 | 8413 | 513,164 | 23% |
| Within Other | 10 | 3830 | 38,298 | 2% |
| Within Western Asia | 53 | 9118 | 483,267 | 22% |
| Region | Central Asia | CGIAR | Europe | North America | Other | Western Asia |
|---|---|---|---|---|---|---|
| Central Asia | 0.00 | 0.05 | 0.07 | 0.08 | 0.10 | 0.06 |
| CGIAR | 0.05 | 0.00 | 0.03 | 0.03 | 0.06 | 0.01 |
| Europe | 0.07 | 0.03 | 0.00 | 0.04 | 0.06 | 0.03 |
| North America | 0.08 | 0.03 | 0.04 | 0.00 | 0.05 | 0.04 |
| Other | 0.10 | 0.06 | 0.06 | 0.05 | 0.00 | 0.06 |
| Western Asia | 0.06 | 0.01 | 0.03 | 0.04 | 0.06 | 0.00 |
| Experiment | Vernalization (Days at 5 °C) | Photoperiod (Hour in Days/Night) |
|---|---|---|
| V+P+ | 49 | 20/4 |
| V−P+ | 0 | 20/4 |
| V+P− | 49 | 14/10 |
| Treatment | Mean | Min | Max | Variance | Genetic Variance | Heritability |
|---|---|---|---|---|---|---|
| V+P+ | 1273.13 | 1013.9 | 1629.42 | 18,120.59 | 16,994.02 | 0.92 |
| V−P+ | 1417.13 | 896.85 | 2241.87 | 138,772.3 | 124,085.4 | 0.91 |
| V+P− | 1705.05 | 1270 | 2150 | 35,540.15 | 25,163.1 | 0.81 |
| Df | Sum sq | Mean sq | F Value | Pr (>F) | |
|---|---|---|---|---|---|
| Treatment | 2 | 20,430,313 | 10,215,157 | 2681.48 | <2.2 × 10−16 *** |
| Genotype | 234 | 12,550,473 | 53,635 | 14.079 | 4.459 × 10−16 *** |
| GenotypeXTreatment | 255 | 11,103,562 | 43,543 | 11.43 | 1.820 × 10−14 *** |
| Residuals | 40 | 152,381 | 3810 |
| Trait 1 | Marker | Chromosome | Position | −log10(p) | R2 |
|---|---|---|---|---|---|
| Strict photosensitive | Ppd-D1 * | 2D | 36207497 | 11.82 | 0.41 |
| Strict photosensitive | AX-94406957 | 2D | 35069143 | 4.5 | 0.31 |
| Strict photosensitive | AX-94656988 | 7D | 197665753 | 3.46 | 0.25 |
| Strict photosensitive | AX-94383404 | 7B | 137485354 | 3.12 | 0.25 |
| Strict vernalization | Vrn-B1 * | 5B | 577015200 | 7.75 | 0.36 |
| Strict vernalization | AX-95166397 | 5B | 583535223 | 3.76 | 0.27 |
| Strict vernalization | AX-95194633 | 1A | 500679531 | 3.37 | 0.28 |
| Strict vernalization | AX-94913041 | 5A | 598190302 | 3.31 | 0.27 |
| Strict vernalization | AX-94918769 | 5B | 589762586 | 3.3 | 0.26 |
| Eps | Vrn-B1 | 5B | 577015200 | 3.74 | 0.12 |
| RRP | AX-94523405 | 5D | 398019882 | 3.68 | 0.1 |
| RRP | AX-94669768 | 5A | 377557215 | 3.04 | 0.09 |
| RRV | AX-94796479 | 5A | 590225939 | 5.09 | 0.49 |
| RRV | Vrn-A1 | 5A | 590399578 | 4.05 | 0.44 |
| RRV | AX-94404219 | 5A | 590702992 | 3.48 | 0.42 |
| RRV | AX-94926419 | 5B | 578719444 | 3.31 | 0.41 |
| RRV | AX-94679692 | 2D | 572933785 | 3.08 | 0.4 |
Disclaimer/Publisher’s Note: The statements, opinions and data contained in all publications are solely those of the individual author(s) and contributor(s) and not of MDPI and/or the editor(s). MDPI and/or the editor(s) disclaim responsibility for any injury to people or property resulting from any ideas, methods, instructions or products referred to in the content. |
© 2023 by the authors. Licensee MDPI, Basel, Switzerland. This article is an open access article distributed under the terms and conditions of the Creative Commons Attribution (CC BY) license (https://creativecommons.org/licenses/by/4.0/).
Share and Cite
El Baouchi, A.; Ibriz, M.; Dreisigacker, S.; Lopes, M.S.; Garcia, M.S. Genetic Diversity and Genome-Wide Association Study for the Phenology Response of Winter Wheats of North America, Western Asia, and Europe. Plants 2023, 12, 4053. https://doi.org/10.3390/plants12234053
El Baouchi A, Ibriz M, Dreisigacker S, Lopes MS, Garcia MS. Genetic Diversity and Genome-Wide Association Study for the Phenology Response of Winter Wheats of North America, Western Asia, and Europe. Plants. 2023; 12(23):4053. https://doi.org/10.3390/plants12234053
Chicago/Turabian StyleEl Baouchi, Adil, Mohammed Ibriz, Susanne Dreisigacker, Marta S. Lopes, and Miguel Sanchez Garcia. 2023. "Genetic Diversity and Genome-Wide Association Study for the Phenology Response of Winter Wheats of North America, Western Asia, and Europe" Plants 12, no. 23: 4053. https://doi.org/10.3390/plants12234053
APA StyleEl Baouchi, A., Ibriz, M., Dreisigacker, S., Lopes, M. S., & Garcia, M. S. (2023). Genetic Diversity and Genome-Wide Association Study for the Phenology Response of Winter Wheats of North America, Western Asia, and Europe. Plants, 12(23), 4053. https://doi.org/10.3390/plants12234053

