Contrasting Responses and Phytoremediation Potential of Two Poplar Species to Combined Strontium and Diesel Oil Stress
Abstract
1. Introduction
2. Results
2.1. Growth of P. alba and P. russkii under Different Treatments
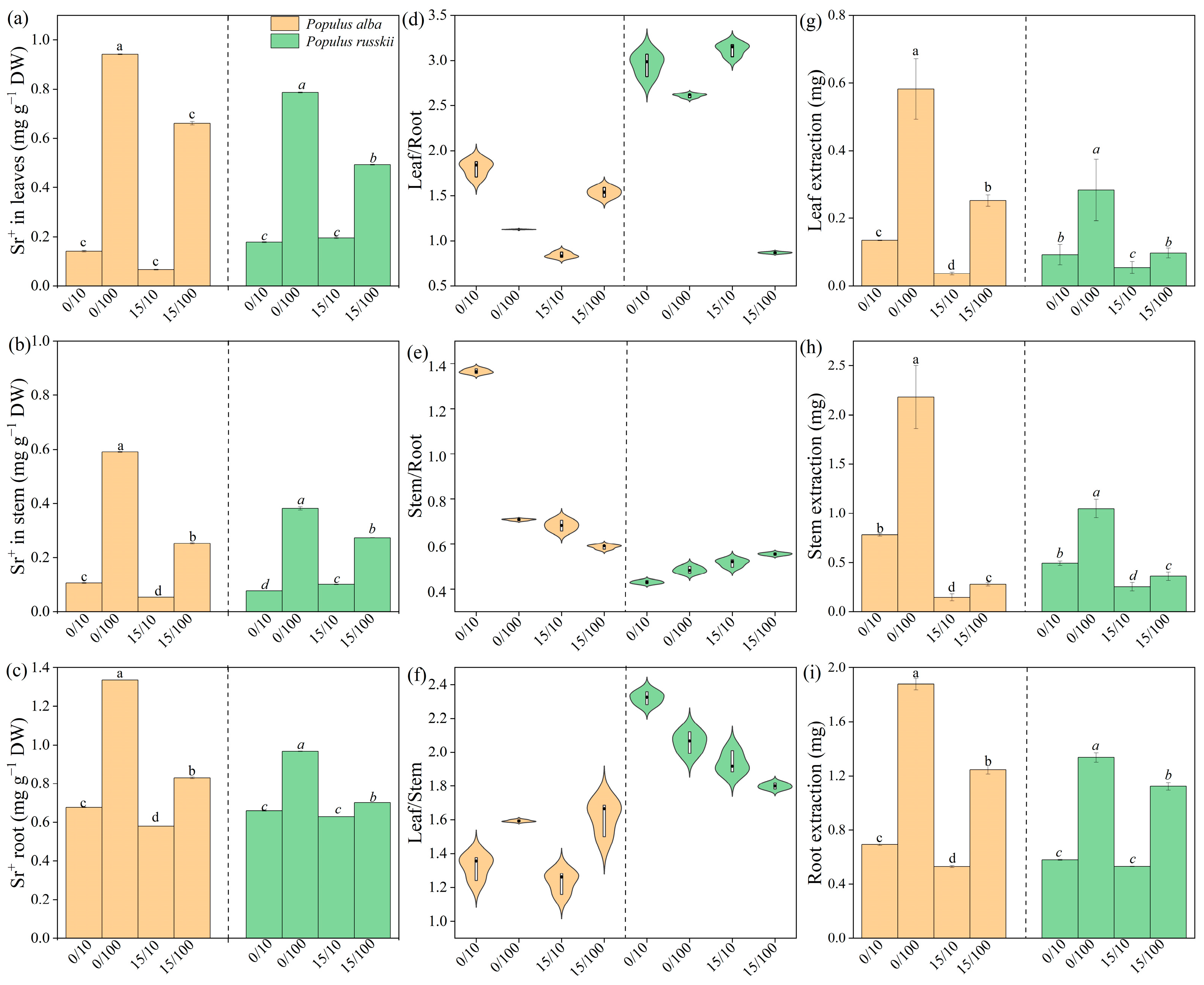
2.2. Sr Concentration and Translocation among Different Tissues of P. alba and P. russkii
2.3. Activities of Antioxidant Enzymes among Different Treatments of P. alba and P. russkii
2.4. Soluble Substance Content among Treatments of P. alba and P. russkii
2.5. Correlations among Growth and Physiological Parameters in P. alba and P. russkii
3. Discussion
3.1. Contrasting Responses of Two Poplar Species to Combined Stresses
3.2. Higher Phytoremediation Potential for P. alba
3.3. Cross-Tolerance between Strontium and Diesel Oil
4. Materials and Methods
4.1. Plant Materials and Experimental Design
4.2. Determination of Enrichment Content of Sr
4.3. Determination of Antioxidant Enzymes and Lipid Peroxidation
4.4. Quantification of Soluble Sugar and Free Proline Contents
4.5. Data Analysis
5. Conclusions
Author Contributions
Funding
Data Availability Statement
Conflicts of Interest
References
- Mitter, E.K.; Germida, J.J.; de Freitas, J.R. Impact of diesel and biodiesel contamination on soil microbial community activity and structure. Sci. Rep. 2021, 11, 14. [Google Scholar] [CrossRef]
- Singha, L.P.; Pandey, P. Rhizosphere assisted bioengineering approaches for the mitigation of petroleum hydrocarbons contamination in soil. Crit. Rev. Biotechnol. 2021, 41, 749–766. [Google Scholar] [CrossRef] [PubMed]
- Qin, G.W.; Niu, Z.D.; Yu, J.D.; Li, Z.H.; Ma, J.Y.; Xiang, P. Soil heavy metal pollution and food safety in China: Effects, sources and removing technology. Chemosphere 2021, 267, 12. [Google Scholar] [CrossRef]
- Xiao, W.; Wang, H.; Li, T.; Zhu, Z.; Zhang, J.; He, Z.; Yang, X. Bioremediation of Cd and carbendazim co-contaminated soil by Cd-hyperaccumulator Sedum alfredii associated with carbendazim-degrading bacterial strains. Environ. Sci. Pollut. Res. 2013, 20, 380–389. [Google Scholar] [CrossRef]
- Jiang, L.; Sun, H.J.; Peng, T.J.; Ding, W.J.; Liu, B.; Liu, Q. Comprehensive evaluation of environmental availability, pollution level and leaching heavy metals behavior in non-ferrous metal tailings. J. Environ. Manag. 2021, 290, 11. [Google Scholar] [CrossRef] [PubMed]
- Chen, X.; Zhong, N.Y.; Luo, Y.Y.; Ni, Y.F.; Liu, Z.Y.; Wu, G.; Zheng, T.; Dang, Y.X.; Chen, H.L.; Li, W. Effects of strontium on the morphological and photosynthetic physiological characteristics of Vicia faba seedlings. Int. J. Phytoremediat. 2022, 25, 811–821. [Google Scholar] [CrossRef] [PubMed]
- Abdullah, S.R.S.; Al-Baldawi, I.A.; Almansoory, A.F.; Purwanti, I.F.; Al-Sbani, N.H.; Sharuddin, S.S.N. Plant-assisted remediation of hydrocarbons in water and soil: Application, mechanisms, challenges and opportunities. Chemosphere 2020, 247, 19. [Google Scholar] [CrossRef]
- Azhar, U.; Ahmad, H.; Shafqat, H.; Babar, M.; Munir, H.M.S.; Sagir, M.; Arif, M.; Hassan, A.; Rachmadona, N.; Rajendran, S.; et al. Remediation techniques for elimination of heavy metal pollutants from soil: A review. Environ. Res. 2022, 214, 16. [Google Scholar] [CrossRef]
- Kang, W.; Bao, J.G.; Zheng, J.; Xu, F.; Wang, L.M. Phytoremediation of heavy metal contaminated soil potential by woody plants on Tonglushan ancient copper spoil heap in China. Int. J. Phytoremediat. 2018, 20, 1–7. [Google Scholar] [CrossRef]
- Ou, Y.B.; Wu, X.L.; Gao, Y.F.; Wu, Y.Q.; Yao, Y.A. Analysis of physiological responses and expression profiling of boron transporter-like genes in response to excess boron in Populus russkii. Chemosphere 2019, 224, 369–378. [Google Scholar] [CrossRef]
- Lopez-Echartea, E.; Strejcek, M.; Mukherjee, S.; Uhlik, O.; Yrjala, K. Bacterial succession in oil-contaminated soil under phytoremediation with poplars. Chemosphere 2020, 243, 12. [Google Scholar] [CrossRef]
- Likon, M.; Remskar, M.; Ducman, V.; Svegl, F. Populus seed fibers as a natural source for production of oil super absorbents. J. Environ. Manag. 2013, 114, 158–167. [Google Scholar] [CrossRef] [PubMed]
- Li, X.Y.; Yang, Z.J.; Li, Y.C.; Zhao, H.X. Different responses to joint exposure to cadmium and zinc depends on the sex in Populus cathayana. Ecotoxicol. Environ. Saf. 2022, 248, 9. [Google Scholar] [CrossRef] [PubMed]
- Chen, J.; Duan, B.L.; Xu, G.; Korpelainen, H.; Niinemets, U.; Li, C.Y. Sexual competition affects biomass partitioning, carbon-nutrient balance, Cd allocation and ultrastructure of Populus cathayana females and males exposed to Cd stress. Tree Physiol. 2016, 36, 1353–1368. [Google Scholar] [CrossRef]
- Liu, M.; Bi, J.W.; Liu, X.C.; Kang, J.Y.; Korpelainen, H.; Niinemets, U.; Li, C.Y. Microstructural and physiological responses to cadmium stress under different nitrogen levels in Populus cathayana females and males. Tree Physiol. 2020, 40, 30–45. [Google Scholar] [CrossRef]
- Ahmad, Z.; Khan, S.M.; Page, S. Politics of the natural vegetation to balance the hazardous level of elements in marble polluted ecosystem through phytoremediation and physiological responses. J. Hazard. Mater. 2021, 414, 14. [Google Scholar] [CrossRef]
- Wu, Y.; Feng, Y.; Tang, R.; Long, L.; Ou, Y. The Growth and Physiological Responses of Hydroponic Populus russkii to Excessive Boron. Acta Bot. Boreali-Occident. Sin. 2018, 38, 1299–1305. [Google Scholar] [CrossRef]
- Chinnusamy, V.; Schumaker, K.; Zhu, J.K. Molecular genetic perspectives on cross-talk and specificity in abiotic stress signalling in plants. J. Exp. Bot. 2004, 55, 225–236. [Google Scholar] [CrossRef]
- Thomas, T.T.D.; Dinakar, C.; Puthur, J.T. Effect of UV-B priming on the abiotic stress tolerance of stress-sensitive rice seedlings: Priming imprints and cross-tolerance. Plant Physiol. Biochem. 2020, 147, 21–30. [Google Scholar] [CrossRef]
- Hossain, M.A.; Li, Z.G.; Hoque, T.S.; Burritt, D.J.; Fujita, M.; Munne-Bosch, S. Heat or cold priming-induced cross-tolerance to abiotic stresses in plants: Key regulators and possible mechanisms. Protoplasma 2018, 255, 399–412. [Google Scholar] [CrossRef]
- Hossain, M.A.; Mostofa, M.; Fujita, M. Cross Protection by Cold-shock to Salinity and Drought Stress-induced Oxidative Stress in Mustard (Brassica campestris L.) Seedlings. Mol. Plant Breed. 2013, 4, 50–70. [Google Scholar] [CrossRef]
- Sabehat, A.; Lurie, S.; Weiss, D. Expression of small heat-shock proteins at low temperatures—A possible role in protecting against chilling injuries. Plant Physiol. 1998, 117, 651–658. [Google Scholar] [CrossRef] [PubMed]
- An, Q.R.; He, X.L.; Zheng, N.; Hou, S.N.; Sun, S.Y.; Wang, S.J.; Li, P.Y.; Li, X.Q.; Song, X. Physiological and genetic effects of cadmium and copper mixtures on carrot under greenhouse cultivation. Ecotoxicol. Environ. Saf. 2020, 206, 9. [Google Scholar] [CrossRef]
- Rusin, M.; Gospodarek, J.; Barczyk, G.; Nadgorska-Socha, A. Antioxidant responses of Triticum aestivum plants to petroleum-derived substances. Ecotoxicology 2018, 27, 1353–1367. [Google Scholar] [CrossRef] [PubMed]
- Huang, Y.P.; Song, Y.Z.; Johnson, D.; Huang, J.Y.; Dong, R.; Liu, H.G. Selenium enhanced phytoremediation of diesel contaminated soil by Alternanthera philoxeroides. Ecotoxicol. Environ. Saf. 2019, 173, 347–352. [Google Scholar] [CrossRef]
- Gaudet, M.; Pietrini, F.; Beritognolo, I.; Iori, V.; Zacchini, M.; Massacci, A.; Mugnozza, G.S.; Sabatti, M. Intraspecific variation of physiological and molecular response to cadmium stress in Populus nigra L. Tree Physiol. 2011, 31, 1309–1318. [Google Scholar] [CrossRef]
- Lu, Z.W.; Zhang, Z.; Su, Y.; Liu, C.F.; Shi, G.R. Cultivar variation in morphological response of peanut roots to cadmium stress and its relation to cadmium accumulation. Ecotoxicol. Environ. Saf. 2013, 91, 147–155. [Google Scholar] [CrossRef]
- Ali, S.; Abbas, Z.; Seleiman, M.F.; Rizwan, M.; Yavas, I.; Alhammad, B.A.; Shami, A.; Hasanuzzaman, M.; Kalderis, D. Glycine Betaine Accumulation, Significance and Interests for Heavy Metal Tolerance in Plants. Plants 2020, 9, 23. [Google Scholar] [CrossRef]
- Cheng, X.N.; Chen, C.; Hu, Y.M.; Guo, X.L.; Wang, J.L. Photosynthesis and growth of Amaranthus tricolor under strontium stress. Chemosphere 2022, 308, 136234. [Google Scholar] [CrossRef]
- Lin, Q.; Shen, K.; Zhao, H.; Li, W. Growth response of Zea mays L. in pyrene–copper co-contaminated soil and the fate of pollutants. J. Hazard. Mater. 2008, 150, 515–521. [Google Scholar] [CrossRef]
- Ren, H.; Huang, R.H.; Li, Y.; Li, W.T.; Zheng, L.L.; Lei, Y.B.; Chen, K. Photosynthetic regulation in response to strontium stress in moss Racomitrium japonicum L. Environ. Sci. Pollut. Res. 2023, 30, 20923–20933. [Google Scholar] [CrossRef] [PubMed]
- Moons, A. Ospdr9, which encodes a PDR-type ABC transporter, is induced by heavy metals, hypoxic stress and redox perturbations in rice roots. FEBS Lett. 2003, 553, 370–376. [Google Scholar] [CrossRef] [PubMed]
- Mithofer, A.; Schulze, B.; Boland, W. Biotic and heavy metal stress response in plants: Evidence for common signals. FEBS Lett. 2004, 566, 1–5. [Google Scholar] [CrossRef]
- Cicek, N.; Cakirlar, H. Effects of salt stress on some physiological and photosynthetic parameters at three different temperatures in six soya bean (Glycine max L. Merr.) cultivars. J. Agron. Crop Sci. 2008, 194, 34–46. [Google Scholar] [CrossRef]
- Cao, S.Q.; Bian, X.H.; Jiang, S.T.; Chen, Z.Y.; Jian, H.Y.; Sun, Z.H. Cold treatment enhances lead resistance in Arabidopsis. Acta Physiol. Plant. 2010, 32, 19–25. [Google Scholar] [CrossRef]
- Zhang, C.Y.; Zhang, Z.K.; Zhou, J.H.; Wang, Y.; Ai, Y.M.; Li, X.P.; Zhang, P.J.; Zhou, S.B. Responses of the root morphology and photosynthetic pigments of ryegrass to fertilizer application under combined petroleum-heavy metal stress. Environ. Sci. Pollut. Res. 2022, 29, 87874–87883. [Google Scholar] [CrossRef]






| Factor | Enzyme Activity and Soluble Substances | Growth Indicators | |||||||
|---|---|---|---|---|---|---|---|---|---|
| APX | POD | SOD | MDA | Sugar | Proline | Leaf Area | Plant Height | Biomass | |
| Species | <0.001 | <0.001 | <0.001 | <0.001 | <0.001 | <0.001 | <0.001 | 0.210 | 0.006 |
| Oil | <0.001 | <0.001 | 0.073 | <0.001 | <0.001 | <0.001 | <0.001 | <0.001 | <0.001 |
| Sr | 0.043 | <0.001 | <0.001 | <0.001 | <0.001 | <0.001 | <0.001 | <0.001 | <0.001 |
| Species × oil | <0.001 | <0.001 | <0.001 | <0.001 | <0.001 | <0.001 | <0.001 | <0.001 | 0.680 |
| Species × Sr | <0.001 | <0.001 | <0.001 | <0.001 | <0.001 | <0.001 | <0.001 | 0.456 | 0.541 |
| Oil × Sr | <0.001 | 0.003 | <0.001 | <0.001 | <0.001 | <0.001 | <0.001 | <0.001 | 0.123 |
| Species × oil × Sr | <0.001 | 0.138 | 0.511 | <0.001 | <0.001 | <0.001 | <0.001 | 0.005 | 0.588 |
Disclaimer/Publisher’s Note: The statements, opinions and data contained in all publications are solely those of the individual author(s) and contributor(s) and not of MDPI and/or the editor(s). MDPI and/or the editor(s) disclaim responsibility for any injury to people or property resulting from any ideas, methods, instructions or products referred to in the content. |
© 2023 by the authors. Licensee MDPI, Basel, Switzerland. This article is an open access article distributed under the terms and conditions of the Creative Commons Attribution (CC BY) license (https://creativecommons.org/licenses/by/4.0/).
Share and Cite
Liang, Z.; Zeng, H.; Kong, J. Contrasting Responses and Phytoremediation Potential of Two Poplar Species to Combined Strontium and Diesel Oil Stress. Plants 2023, 12, 2145. https://doi.org/10.3390/plants12112145
Liang Z, Zeng H, Kong J. Contrasting Responses and Phytoremediation Potential of Two Poplar Species to Combined Strontium and Diesel Oil Stress. Plants. 2023; 12(11):2145. https://doi.org/10.3390/plants12112145
Chicago/Turabian StyleLiang, Ziyan, Hanyong Zeng, and Jijun Kong. 2023. "Contrasting Responses and Phytoremediation Potential of Two Poplar Species to Combined Strontium and Diesel Oil Stress" Plants 12, no. 11: 2145. https://doi.org/10.3390/plants12112145
APA StyleLiang, Z., Zeng, H., & Kong, J. (2023). Contrasting Responses and Phytoremediation Potential of Two Poplar Species to Combined Strontium and Diesel Oil Stress. Plants, 12(11), 2145. https://doi.org/10.3390/plants12112145
