Inflated Ovary May Increase the Dispersal Ability of Three Species in the Cold Deserts of Central Asia
Abstract
1. Introduction
2. Results
2.1. Morphological Characteristics of Fruits and Seeds
2.2. Natural Dispersal of Inflated Ovaries
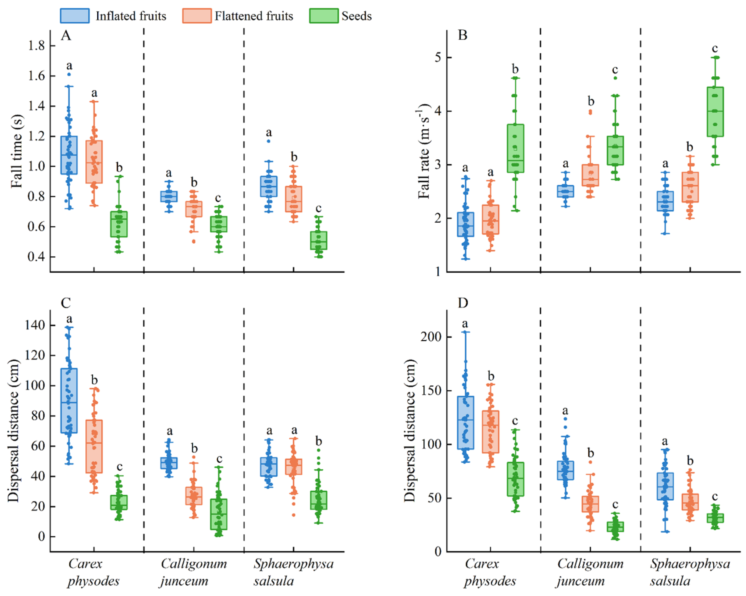
2.3. Effect of an Inflated Ovary on Dispersal by Wind
2.4. Effect of an Inflated Ovary on Dispersal by Water
2.5. Correlation between Morphological and Wind Dispersal Traits of Inflated Ovary
3. Discussion
4. Materials and Methods
4.1. Diaspore Collection and Field Site Description
4.2. Morphological Characteristics of Fruits and Seeds
4.3. Natural Dispersal of Inflated Ovaries
4.4. Effect of Inflated Ovaries on Dispersal by Wind
- (a)
- Dispersal in still air. To measure fall rate in still air, a tube 200 cm tall and 15 cm in diameter was used. For each species, 100 inflated fruits, 100 flattened fruits and 100 seeds were released individually from the top of the tube, and the time required for them to fall from the release point to the bottom of the tube was measured with a digital stopwatch. The fall rate (cm·s−1) was calculated over this height [60,61].
- (b)
- Dispersal in flowing air. For each species, 100 inflated fruits, 100 flattened fruits and 100 seeds were dropped from the mean plant height of each species in the wild (20 cm for C. physodes, 70 cm for C. junceum, and 45 cm for S. salsula). Fruits/seeds were released one by one above a point on the floor and exposed to wind speeds of 4 or 6 m·s−1 generated by using different settings on an electric fan, and the distance diaspores traveled was measured to 0.001 m [62]. An anemometer was used to measure the wind speed at the release point.
4.5. Effect of Inflated Ovaries on Dispersal by Water
- (a)
- Floating in still water. To test buoyancy, 10 replicates of 10 inflated fruits, 10 flattened fruits and 10 seeds were used, and each replicate was placed in a plastic container, which was 10 cm in diameter and 20 cm deep and filled with 500 mL distilled water [63] [3 diaspore/seed treatments × 10 replicates = 30 containers]. The number of floating diaspores was recorded after 1, 2, 4, 6, and 8 h, and then after every 12 h for 11 days.
- (b)
- Floating in shaking water. Floating of intact fruits, flattened fruits and seeds was determined in disturbed water, i.e., at different shaker speeds. Fruits and seeds were placed 60 plastic containers of water, as described above [3 diaspore/seed treatments × two shaker speeds × 10 replicates = 60 containers]. The containers were placed on a shaker (model ST-98A, Shinetek Instruments, Beijing, China), and two shaker speeds of 80 and 160 revolutions per minute (rpm) were used to reduce the influence of surface tension and to simulate water movement [39,64]. Diaspores in 30 containers each were exposed to each speed for 180 min. The number of floating diaspores was counted at 30 min intervals for 180 min from the beginning of the experiment.
- (c)
- To test the role of the IO on the floating ability of the diaspores, 50 intact fruits of each of species were weighed using a Sartorius BS210S electronic balance (0.0001 g). Then, the volume of fruits was calculated using the water displacement method [65,66]. A container large enough to hold the fruit was filled with water, and the fruit was carefully sunk in the water until it was completely underwater. For each species, 10 replications of five fruits each were sunk in water, and the volume was calculated as the mean of the five fruits. Then, the displaced water was aspirated with a pipettor (Vp), and the buoyancy index (BI) was calculated following Zeng and Fan using the following equation [65]:
4.6. Statistical Analysis
Author Contributions
Funding
Data Availability Statement
Acknowledgments
Conflicts of Interest
References
- Askew, A.P.; Corker, D.; Hodkinson, D.J.; Thompson, K. A new apparatus to measure the rate of fall of seeds. Funct. Ecol. 1997, 11, 121–125. [Google Scholar] [CrossRef]
- Anand, M.; Langille, A. A model-based method for estimating effective dispersal distance in tropical plant populations. Theor. Popul. Biol. 2010, 77, 219–226. [Google Scholar] [CrossRef] [PubMed]
- Planchuelo, G.; Catalán, P.; Delgado, J.A. Gone with the wind and the stream: Dispersal in the invasive species Ailanthus altissima. Acta Oecologica 2016, 73, 31–37. [Google Scholar] [CrossRef]
- Nazareno, A.G.; Knowles, L.L.; Dick, C.W.; Lohmann, L.G. By animal, water, or wind: Can dispersal mode predict genetic connectivity in riverine plant species? Front. Plant Sci. 2021, 12, 626405. [Google Scholar] [CrossRef]
- Valenta, K.; Nevo, O. The dispersal syndrome hypothesis: How animals shaped fruit traits, and how they did not. Funct. Ecol. 2020, 34, 1158–1169. [Google Scholar] [CrossRef]
- Gan, S.R.; Guo, J.C.; Zhang, Y.X.; Wang, X.F.; Huang, L.J. “Phoenix in Flight”: An unique fruit morphology ensures wind dispersal of seeds of the phoenix tree (Firmiana simplex (L.) W. Wight). BMC Plant Biol. 2022, 22, 1–12. [Google Scholar] [CrossRef]
- Soons, M.B.; Groot, G.A.; Cuesta Ramirez, M.T.; Fraaije, R.G.A.; Verhoeven, J.T.A.; Jager, M. Directed dispersal by an abiotic vector: Wetland plants disperse their seeds selectively to suitable sites along the hydrological gradient via water. Funct. Ecol. 2017, 31, 499–508. [Google Scholar] [CrossRef]
- Horn, H.S.; Nathan, R.; Kaplan, S.R. Long-distance dispersal of tree seeds by wind. Ecol. Res. 2001, 16, 877–885. [Google Scholar] [CrossRef]
- Jongejans, E.; Telenius, A. Field experiments on seed dispersal by wind in ten umbelliferous species (Apiaceae). Plant Ecol. 2001, 152, 67–78. [Google Scholar] [CrossRef]
- Tackenberg, O.; Römermann, C.; Thompson, K.; Poschlod, P. What does diaspore morphology tell us about external animal dispersal? Evidence from standardized experiments measuring seed retention on animal-coats. Basic Appl. Ecol. 2006, 7, 45–58. [Google Scholar] [CrossRef]
- Zhu, J.L.; Liu, M.H.; Xin, Z.M.; Zhao, Y.M.; Liu, Z.M. Which factors have stronger explanatory power for primary wind dispersal distance of winged diaspores: The case of Zygophyllum xanthoxylon (Zygophyllaceae)? J. Plant Ecol. 2016, 9, 346–356. [Google Scholar] [CrossRef]
- De Oliveira, P.; Benevides, C.R.; Greco, A.V.; Leão, L.C.S.; de Araújo-Rodarte, A.T.; de Lima, H.A. Fruiting phenology and dispersal syndromes in a sandy coastal plain in Southeastern Brazil. Rodriguésia 2022, 73, e02012019. [Google Scholar] [CrossRef]
- Wender, N.J.; Polisetty, C.R.; Donohue, K. Density-dependent processes influencing the evolutionary dynamics of dispersal: A functional analysis of seed dispersal in Arabidopsis thaliana (Brassicaceae). Am. J. Bot. 2005, 92, 960–971. [Google Scholar] [CrossRef]
- Saatkamp, A.; Cochrane, A.; Commander, L.; Guja, L.K.; Jimenez-Alfaro, B.; Larson, J.; Nicotra, A.; Poschlod, P.; Silveira, F.A.O.; Cross, A.T.; et al. A research agenda for seed-trait functional ecology. New Phytol. 2019, 221, 1764–1775. [Google Scholar] [CrossRef]
- Phartyal, S.S.; Rosbakh, S.; Ritz, C.; Poschlod, P. Ready for change: Seed traits contribute to the high adaptability of mudflat species to their unpredictable habitat. J. Veg. Sci. 2019, 31, 331–342. [Google Scholar] [CrossRef]
- Wu, Z.Y.; Milne, R.I.; Liu, J.; Nathan, R.; Corlett, R.T.; Li, D.Z. The establishment of plants following long-distance dispersal. Trends Ecol. Evol. 2022, 38, 289–300. [Google Scholar] [CrossRef]
- Imbert, E. Ecological consequences and ontogeny of seed heteromorphism. Perspect. Plant Ecol. Evol. Syst. 2002, 5, 13–36. [Google Scholar] [CrossRef]
- Alcantara, J.M.; Rey, P.J. Conflicting selection pressures on seed size: Evolutionary ecology of fruit size in a bird-dispersed tree, Olea europaea. J. Evol. Biol. 2003, 16, 1168–1176. [Google Scholar] [CrossRef]
- Seale, M.; Nakayama, N. From passive to informed: Mechanical mechanisms of seed dispersal. N. Phytol. 2020, 225, 653–658. [Google Scholar] [CrossRef]
- Mamut, J.; Tan, D.Y.; Baskin, C.C.; Baskin, J.M. Role of trichomes and pericarp in the seed biology of the desert annual Lachnoloma lehmannii (Brassicaceae). Ecol. Res. 2013, 29, 33–44. [Google Scholar] [CrossRef]
- Minami, S.; Azuma, A. Various flying modes of wind-dispersal seeds. J. Theor. Biol. 2003, 225, 1–14. [Google Scholar] [CrossRef] [PubMed]
- Amarasinghe, Y.P.J.; Otsuka, M.; Lim, S.; Ishikawa, R.; Ishii, T. The role of wild rice (Oryza rufipogon) awns in seed dispersal. Seed Sci. Res. 2020, 30, 319–324. [Google Scholar] [CrossRef]
- Mori, S.A.; Brown, J.L. Epizoochorous dispersal by barbs, hooks, and spines in a lowland moist forest in central French Guiana. Brittonia 1998, 50, 165. [Google Scholar] [CrossRef]
- Liang, W.; Liu, Z.; Liu, M.H.; Qin, X.P.; Baskin, C.C.; Baskin, J.M.; Xin, Z.M.; Wang, Z.G.; Su, Z.; Zhou, Q.L. Wing loading, not terminal velocity, is the best parameter to predict capacity of diaspores for secondary wind dispersal. J. Exp. Bot. 2020, 71, 4298–4307. [Google Scholar] [CrossRef] [PubMed]
- Mandák, B.; Pyšek, P. Fruit dispersal and seed banks in Atriplex sagittata: The role of heterocarpy. J. Ecol. 2001, 89, 159–165. [Google Scholar] [CrossRef]
- Hollander, J.L.; Vander Wall, S.B.; Baguley, J.G. Evolution of seed dispersal in north American Ephedra. Evol. Ecol. 2010, 24, 333–345. [Google Scholar] [CrossRef]
- Castro, S.; Ferrero, V.; Loureiro, J.; Espadaler, X.; Silveira, P.; Navarro, L. Dispersal mechanisms of the narrow endemic Polygala vayredae: Dispersal syndromes and spatio-temporal variations in ant dispersal assemblages. Plant Ecol. 2010, 207, 359–372. [Google Scholar] [CrossRef]
- Fu, Z.Y.; Tan, D.Y. Characteristics of the production of underground fruits and seed dispersal of Crocus alatavicus, a geophytic-geocarpic species. Biodivers. Sci. 2013, 21, 582–589, (In Chinese with English abstract). [Google Scholar] [CrossRef]
- Sun, Y.; Tan, D.Y.; Baskin, C.C.; Baskin, J.M. Role of mucilage in seed dispersal and germination of the annual ephemeral Alyssum minus (Brassicaceae). Aust. J. Bot. 2012, 60, 439–449. [Google Scholar] [CrossRef]
- Engelbrecht, M.; García-Fayos, P. Mucilage secretion by seeds doubles the chance to escape removal by ants. Plant Ecol. 2012, 213, 1167–1175. [Google Scholar] [CrossRef]
- Li, J.; Song, C.J.; He, C.Y. Chinese lantern in Physalis is an advantageous morphological novelty and improves plant fitness. Sci. Rep. 2019, 9, 596. [Google Scholar] [CrossRef]
- Rojas, T.N.; Zampini, I.C.; Isla, M.I.; Blendinger, P.G. Fleshy fruit traits and seed dispersers: Which traits define syndromes? Ann. Bot. 2022, 129, 831–838. [Google Scholar] [CrossRef]
- He, C.Y.; Münster, T.; Saedler, H. On the origin of floral morphological novelties. FEBS Lett. 2004, 567, 147–151. [Google Scholar] [CrossRef]
- Hu, J.Y.; Saedler, H. Evolution of the Inflated Calyx Syndrome in Solanaceae. Mol. Biol. Evol. 2007, 24, 2443–2453. [Google Scholar] [CrossRef]
- Paton, A. A global taxonomic investigation of Scutellaria (Labiatae). Kew Bull. 1990, 45, 399. [Google Scholar] [CrossRef]
- Knapp, S. Tobacco to Tomatoes: A phylogenetic perspective on fruit diversity in the Solanaceae. J. Exp. Bot. 2002, 53, 2001–2022. [Google Scholar] [CrossRef]
- Khan, M.R.; Hu, J.Y.; Riss, S.; He, C.Y.; Saedler, H. MPF2-Like-A MADS-Box genes control the Inflated Calyx Syndrome in Withania (Solanaceae): Roles of darwinian selection. Mol. Biol. Evol. 2009, 26, 2463–2473. [Google Scholar] [CrossRef]
- Truscott, A.-M.; Soulsby, C.; Palmer, S.C.F.; Newell, L.; Hulme, P.E. The dispersal characteristics of the invasive plant Mimulus guttatus and the ecological significance of increased occurrence of high-flow events. J. Ecol. 2006, 94, 1080–1091. [Google Scholar] [CrossRef]
- Abudureheman, B.; Chen, Y.; Li, X.; Zhang, L.; Liu, H.; Zhang, D.; Guan, K. Patterns of reproductive and seed dispersal and ecological significance of the clonal spring ephemeroid plant Carex physodes in the Gurbantuggut Desert. Planta Daninha 2018, 36, e018167459. [Google Scholar] [CrossRef]
- Andersen, M.C. An analysis of variability in seed settling velocities of several wind-dispersed Asteraceae. Am. J. Bot. 1992, 79, 1087–1091. [Google Scholar] [CrossRef]
- Schulz, B.; Döring, J.; Gottsberger, G. Apparatus for measuring the fall velocity of anemochorous diaspores, with results from two plant communities. Oecologia 1991, 86, 454–456. [Google Scholar] [CrossRef] [PubMed]
- Andersen, M.C. Diaspore morphology and seed dispersal in several wind-dispersed Asteraceae. Am. J. Bot. 1993, 80, 487–492. [Google Scholar] [CrossRef] [PubMed]
- Nilsson, C.; Brown, R.L.; Jansson, R.; Merritt, D.M. The role of hydrochory in structuring riparian and wetland vegetation. Biol. Rev. 2010, 85, 837–858. [Google Scholar] [CrossRef] [PubMed]
- Säumel, I.; Kowarik, I. Propagule morphology and river characteristics shape secondary water dispersal in tree species. Plant Ecol. 2013, 214, 1257–1272. [Google Scholar] [CrossRef]
- Greene, D.F.; Johnson, E.A. Seed mass and dispersal capacity in wind-dispersed diaspores. Oikos 1993, 67, 69–74. [Google Scholar] [CrossRef]
- Cheptou, P.O.; Carrue, O.; Rouifed, S.; Cantarel, A. Rapid evolution of seed dispersal in an urban environment in the weed Crepis sancta. Proc. Natl. Acad. Sci. USA 2008, 105, 3796–3799. [Google Scholar] [CrossRef]
- Schurr, F.M.; Bond, W.J.; Midgley, G.F.; Higgins, S.I. A mechanistic model for secondary seed dispersal by wind and its experimental validation. J. Ecol. 2005, 93, 1017–1028. [Google Scholar] [CrossRef]
- Nathan, R.; Katul, G.G.; Bohrer, G.; Kuparinen, A.; Soons, M.B.; Thompson, S.E.; Trakhtenbrot, A.; Horn, H.S. Mechanistic models of seed dispersal by wind. Theor. Ecol. 2011, 4, 113–132. [Google Scholar] [CrossRef]
- Soomers, H.; Karssenberg, D.; Soons, M.B.; Verweij, P.A.; Verhoeven, J.T.A.; Wassen, M.J. Wind and water dispersal of wetland plants across fragmented landscapes. Ecosystems 2013, 16, 434–451. [Google Scholar] [CrossRef]
- Nathan, R.; Katul, G.G.; Horn, H.S.; Thomas, S.M.; Oren, R.; Avissar, R.; Pacala, S.W.; Levin, S.A. Mechanisms of long-distance dispersal of seeds by wind. Nature 2002, 418, 409–413. [Google Scholar] [CrossRef]
- Eriksson, O.; Kainulainen, K. The evolutionary ecology of dust seeds. Perspect. Plant Ecol. Evol. Syst. 2011, 13, 73–87. [Google Scholar] [CrossRef]
- Zhang, X.; Zhang, Z.; Stützel, T. Ontogeny of the ovule and seed wing in Catha edulis (Vahl) Endl. (Celastraceae). Flora—Morphol. Distrib. Funct. Ecol. Plants 2014, 209, 179–184. [Google Scholar] [CrossRef]
- Ren, Y.Q.; Huang, C.L.; Zhang, J.M.; Ma, Y.P.; Tian, X.L. Dispersal and germination of winged seeds of Brandisia hancei, a shrub in karst regions of China. Plant Divers. 2020, 43, 234–238. [Google Scholar] [CrossRef]
- Reichman, O.J. Spatial and temporal variation of seed distributions in Sonoran Desert soils. J. Biogeogr. 1984, 11, 1–11. [Google Scholar] [CrossRef]
- Zhu, J.L.; Liu, M.H.; Xin, Z.M.; Liu, Z.M.; Schurr, F.M. A trade-off between primary and secondary seed dispersal by wind. Plant Ecol. 2019, 220, 541–552. [Google Scholar] [CrossRef]
- Zhu, J.L.; Buchmann, C.M.; Schurr, F.M. Effects of seed morphology and orientation on secondary seed dispersal by wind. J. Plant Ecol. 2022, 15, 1257–1272. [Google Scholar] [CrossRef]
- Morse, D.H.; Schmitt, J. Propagule size, dispersal ability, and seedling performance in Asclepias syriaca. Oecologia 1985, 67, 372–379. (accessed on 8 April 2023). [Google Scholar] [CrossRef]
- Säumel, I.; Kowarik, I. Urban rivers as dispersal corridors for primarily wind-dispersed invasive tree species. Landsc. Urban Plan. 2010, 94, 244–249. [Google Scholar] [CrossRef]
- Chu, H.J.; Jiang, Z.G.; Ge, Y.; Jiang, F.; Tao, Y.S.; Wang, C. Population densities and number of khulan and goitred gazelle in Mt. Kalamaili Ungulate Nature Reserve. Biodivers. Sci. 2009, 17, 414–422, (In Chinese with English abstract). [Google Scholar] [CrossRef]
- Gravuer, K.; Wettberg, E.J.; Schmitt, J. Dispersal biology of Liatris scariosa Var. novae-angliae (Asteraceae), a rare New England grassland perennial. Am. J. Bot. 2003, 90, 1159–1167. [Google Scholar] [CrossRef]
- Lu, J.J.; Tan, D.Y.; Baskin, J.M.; Baskin, C.C. Fruit and seed heteromorphism in the cold desert annual ephemeral Diptychocarpus strictus (Brassicaceae) and possible adaptive significance. Ann. Bot. 2010, 105, 999–1014. [Google Scholar] [CrossRef] [PubMed]
- Telenius, A.; Torstensson, P. The seed dimorphism of Spergularia marina in relation to dispersal by wind and water. Oecologia 1989, 80, 206–210. [Google Scholar] [CrossRef] [PubMed]
- Arshad, W.; Sperber, K.; Steinbrecher, T.; Nichols, B.; Jansen, V.A.A.; Leubner-Metzger, G.; Mummenhoff, K. Dispersal biophysics and adaptive significance of dimorphic diaspores in the annual Aethionema arabicum (Brassicaceae). New Phytol. 2019, 221, 1434–1446. [Google Scholar] [CrossRef] [PubMed]
- Hughes, S.W. Archimedes revisited: A faster, better, cheaper method of accurately measuring the volume of small objects. Phys. Educ. 2005, 40, 468–474. [Google Scholar] [CrossRef]
- Zeng, C.; Fan, H.Q. Studies on shape and structure of mangrove Heritiera littoralis fruits and seed. Guangxi Sci. 2006, 13, 147–150, (In Chinese with English abstract). [Google Scholar]
- Wang, X.; Ma, Y.; Wang, H.W.; Tao, Z.Y. Analysis on the climate characteristics of sandstorms in North Xinjiang. Acta Sci. Nat. Univ. Pekin. 2002, 38, 681–687, (In Chinese with English abstract). [Google Scholar] [CrossRef]






| Carex physodes | Calligonum junceum | Sphaerophysa salsula | |
|---|---|---|---|
| Lifestyle | Perennial herbs | Shrubs | Perennial herbs |
| Habitat | Sandy desert | Gravel desert | Gravel desert |
| Mass of 100 fruits (g) | 0.68 ± 0.01 | 4.43 ± 0.01 | 22.24 ± 0.59 |
| Fruit length (mm) | 15.16 ± 0.31 | 9.89 ± 0.85 | 22.95 ± 0.35 |
| Fruit width (mm) | 6.98 ± 0.11 | 8.86 ± 0.01 | 18.50 ± 0.21 |
| Fruit thickness (mm) | 5.36 ± 0.11 | 9.86 ± 0.09 | 15.60 ± 0.23 |
| Buoyancy Index | 0.93 ± 0.03 | 0.25 ± 0.01 | 0.33 ± 0.01 |
| Mass of 100 seeds (g) | 0.23 ± 0.01 | 1.13 ± 0.02 | 0.54 ± 0.17 |
| Seed length (mm) | 3.39 ± 0.07 | 4.65 ± 0.05 | 2.53 ± 0.02 |
| Seed width (mm) | 1.69 ± 0.02 | 2.70 ± 0.04 | 2.46 ± 0.03 |
| Seed thickness (mm) | 0.88 ± 0.01 | 2.63 ± 0.05 | 1.14 ± 0.03 |
Disclaimer/Publisher’s Note: The statements, opinions and data contained in all publications are solely those of the individual author(s) and contributor(s) and not of MDPI and/or the editor(s). MDPI and/or the editor(s) disclaim responsibility for any injury to people or property resulting from any ideas, methods, instructions or products referred to in the content. |
© 2023 by the authors. Licensee MDPI, Basel, Switzerland. This article is an open access article distributed under the terms and conditions of the Creative Commons Attribution (CC BY) license (https://creativecommons.org/licenses/by/4.0/).
Share and Cite
Mamut, J.; Chen, K.; Baskin, C.C.; Tan, D. Inflated Ovary May Increase the Dispersal Ability of Three Species in the Cold Deserts of Central Asia. Plants 2023, 12, 1950. https://doi.org/10.3390/plants12101950
Mamut J, Chen K, Baskin CC, Tan D. Inflated Ovary May Increase the Dispersal Ability of Three Species in the Cold Deserts of Central Asia. Plants. 2023; 12(10):1950. https://doi.org/10.3390/plants12101950
Chicago/Turabian StyleMamut, Jannathan, Kewei Chen, Carol C. Baskin, and Dunyan Tan. 2023. "Inflated Ovary May Increase the Dispersal Ability of Three Species in the Cold Deserts of Central Asia" Plants 12, no. 10: 1950. https://doi.org/10.3390/plants12101950
APA StyleMamut, J., Chen, K., Baskin, C. C., & Tan, D. (2023). Inflated Ovary May Increase the Dispersal Ability of Three Species in the Cold Deserts of Central Asia. Plants, 12(10), 1950. https://doi.org/10.3390/plants12101950

