MaxEnt Modeling to Predict the Current and Future Distribution of Pomatosace filicula under Climate Change Scenarios on the Qinghai–Tibet Plateau
Abstract
:1. Introduction
2. Results
2.1. Model Selection and Evaluation
2.2. Critical Environmental Factors
2.3. Current Potential Distribution of P. filicula
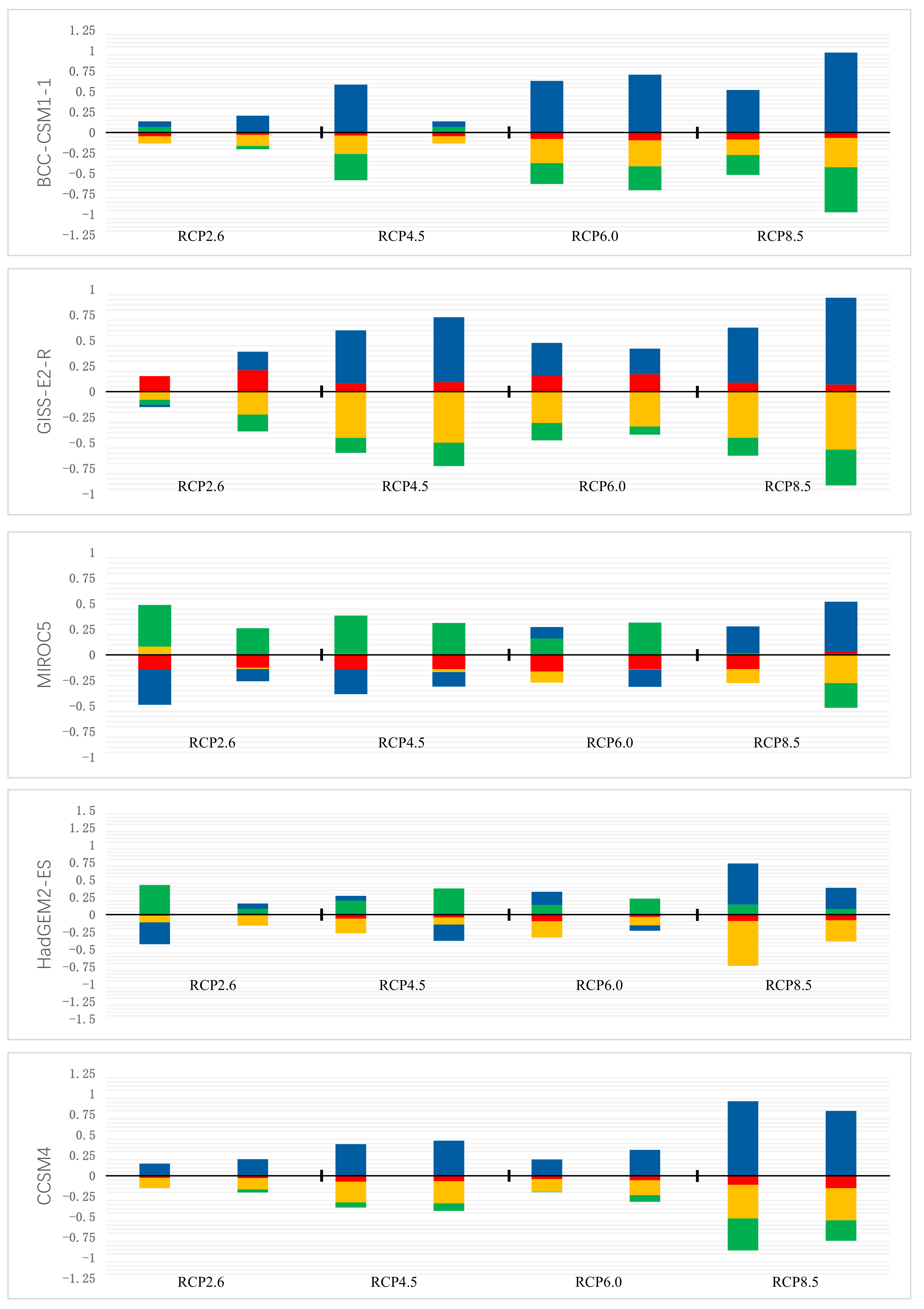
2.4. Prediction and Fluctuation Analysis of Future Suitable Habitat Distribution
3. Discussion
3.1. Analysis of Key Environmental Variables
3.2. Potential Environmental Change Trends in the Qinghai–Tibet Plateau
3.3. Response Measures and Problems
4. Materials and Methods
4.1. Data and Variable Sources
4.2. Environmental Variable Processing
4.3. Species Distribution Model Evaluation
4.3.1. MaxEnt Parameter Optimization
4.3.2. Classification of Suitable Area
4.3.3. Parameter Optimization
5. Conclusions
Supplementary Materials
Author Contributions
Funding
Data Availability Statement
Conflicts of Interest
References
- Bertrand, R.; Lenoir, J.; Piedallu, C.; Riofrio-Dillon, G.; de Ruffray, P.; Vidal, C.; Pierrat, J.C.; Gegout, J.C. Changes in plant community composition lag behind climate warming in lowland forests. Nature 2011, 479, 517–520. [Google Scholar] [CrossRef] [PubMed]
- Bonciu, E. The Climate Change Mitigation through Agricultural Biotechnologies. Ann. Univ. Craiova Agric. Montanol. Cadastre Ser. 2019, 49, 36–43. Available online: http://anale.agro-craiova.ro/index.php/aamc/article/viewFile/963/911 (accessed on 6 September 2021).
- Hu, Z.; Guo, K.; Jin, S.; Pan, H. The influence of climatic changes on distribution pattern of six typical Kobresia species in Tibetan Plateau based on MaxEnt model and geographic information system. Theor. Appl. Climatol. 2019, 135, 375–390. [Google Scholar] [CrossRef]
- Xiao, D.; Liu, D.L.; Wang, B.; Feng, P.; Tang, J. Climate change impact on yields and water use of wheat and maize in the North China Plain under future climate change scenarios. Agric. Water Manag. 2020, 238, 106238. [Google Scholar] [CrossRef]
- Dawson, T.P.; Jackson, S.T.; House, J.I.; Prentice, I.C.; Mace, G.M. Beyond predictions: Biodiversity conservation in a changing climate. Science 2011, 332, 53–58. [Google Scholar] [CrossRef] [Green Version]
- Purves, D.W.; Dushoff, J. Directed seed dispersal and metapopulation response to habitat loss and disturbance: Application to Eichhornia paniculata. J. Ecol. 2005, 93, 658–669. [Google Scholar] [CrossRef]
- Chen, I.C.; Hill, J.K.; Ohlemuller, R.; Roy, D.B.; Thomas, C.D. Rapid range shifts of species associated with high levels of climate warming. Science 2011, 333, 1024–1026. [Google Scholar] [CrossRef]
- He, X.; Burgess, K.S.; Yang, X.F.; Ahrends, A.; Gao, L.M.; Li, D.Z. Upward elevation and northwest range shifts for alpine Meconopsis species in the Himalaya-Hengduan Mountains region. Ecol. Evol. 2019, 9, 4055–4064. [Google Scholar] [CrossRef] [Green Version]
- Parmesan, C.; Yohe, G. A globally coherent fingerprint of climate change impacts across natural systems. Nature 2003, 421, 37–42. [Google Scholar] [CrossRef]
- Quintero, I.; Wiens, J.J. Rates of projected climate change dramatically exceed past rates of climatic niche evolution among vertebrate species. Ecol. Lett. 2013, 16, 1095–1103. [Google Scholar] [CrossRef]
- Jiang, F.; Zhang, J.; Gao, H.; Cai, Z.; Zhou, X.; Li, S.; Zhang, T. Musk deer (Moschus spp.) face redistribution to higher elevations and latitudes under climate change in China. Sci. Total Environ. 2020, 704, 135335. [Google Scholar] [CrossRef]
- Lambers, J.H. Extinction risks from climate change. Science 2015, 348, 501–502. [Google Scholar] [CrossRef]
- Wiens, J.J. Climate-Related Local Extinctions Are Already Widespread among Plant and Animal Species. PLoS Biol. 2016, 14, e2001104. [Google Scholar] [CrossRef] [Green Version]
- Sony, R.K.; Sandeep, S.; Sunil, K.; Monalisa, S.; Jayahari, K.M. Niche models inform the effects of climate change on the endangered Nilgiri Tahr (Nilgiritragus hylocrius) populations in the southern Western Ghats, India. Ecol. Eng. 2018, 120, 355–363. [Google Scholar] [CrossRef]
- Davis, A. Building a Climate Resilient Coffee Economy for Ethiopia. Coffee & Cocoa International. 2015. Available online: https://www.kew.org/science/our-science/projects/building-climate-resilient-coffee-economy-for-ethiopia (accessed on 8 October 2021).
- Pijpers, R. Crops and carats: Exploring the interconnectedness of mining and agriculture in Sub-Saharan Africa. Futures 2014, 62, 32–39. [Google Scholar] [CrossRef]
- Nicotra, A.B.; Atkin, O.K.; Bonser, S.P.; Davidson, A.M.; Finnegan, E.J.; Mathesius, U.; Poot, P.; Purugganan, M.D.; Richards, C.L.; Valladares, F. Plant phenotypic plasticity in a changing climate. Trends Plant Sci. 2010, 15, 684–692. [Google Scholar] [CrossRef]
- Giménez-Benavides, L.; Albert, M.J.; Iriondo, J.M.; Escudero, A. Demographic processes of upward range contraction in a long-lived Mediterranean high mountain plant. Ecography 2011, 34, 85–93. [Google Scholar] [CrossRef]
- Pauli, H.; Gottfried, M.; Reiter, K.; Klettner, C.; Grabherr, G. Signals of range expansions and contractions of vascular plants in the high Alps: Observations (1994–2004) at the GLORIA master site Schrankogel, Tyrol, Austria. Glob. Chang. Biol. 2010, 13, 147–156. [Google Scholar] [CrossRef]
- Rumpf, S.B.; Hulber, K.; Klonner, G.; Moser, D.; Schutz, M.; Wessely, J.; Willner, W.; Zimmermann, N.E.; Dullinger, S. Range dynamics of mountain plants decrease with elevation. Proc. Natl. Acad. Sci. USA 2018, 115, 1848–1853. [Google Scholar] [CrossRef] [Green Version]
- Lesica, P.; Steele, B.M. A Method for Monitoring Long-Term Population Trends: An Example Using Rare Arctic-Alpine Plants. Ecol. Appl. 1996, 6, 879–887. [Google Scholar] [CrossRef]
- Thuiller, W.; Lavorel, S.; Araujo, M.B.; Sykes, M.T.; Prentice, I.C. Climate change threats to plant diversity in Europe. Proc. Natl. Acad. Sci. USA 2005, 102, 8245–8250. [Google Scholar] [CrossRef] [Green Version]
- Baker, B.B.; Moseley, R.K. Advancing treeline and retreating glaciers: Implications for conservation in Yunnan, P.R. China. Arct. Antarct. Alp. Res. 2007, 39, 200–209. [Google Scholar] [CrossRef] [Green Version]
- Zhang, L. Potential geographical distribution and conservation of endangered plants in Qinghai-Tibet Plateau. Qinghai Norm. Univ. 2020. [Google Scholar] [CrossRef]
- Yw, A.; Liang, Z.; Jw, C.; Ww, D.; Nn, C.; Yg, E.; Xw, A. Chinese caterpillar fungus (Ophiocordyceps sinensis) in China: Current distribution, trading, and futures under climate change and overexploitation. Sci. Total Environ. 2020, 755, 142548. [Google Scholar] [CrossRef]
- Wang, W.T.; Guo, W.Y.; Jarvie, S.; Svenning, J.C. The fate of Meconopsis species in the Tibeto-Himalayan region under future climate change. Ecol. Evol. 2021, 11, 887–899. [Google Scholar] [CrossRef]
- Wang, Y.J. Molecular phylogeny and biogeography of Androsace (Primulaceae) and the convergent evolution of cushion morphology. Acta Phytotaxon. Sin. 2004, 6, 481–499. [Google Scholar]
- Wu, L.; Du, Z.; Hu, Q. Characterization of the complete chloroplast genome of the Qinghai-Tibet Plateau endemic Pomatosace filicula. Mitochondrial DNA Part B 2019, 4, 1211–1212. [Google Scholar] [CrossRef] [Green Version]
- Hu, Q. The geographical distribution of primrose plants. J. Trop. Subtrop. Bot. 1994, 15, 1–14. [Google Scholar]
- Ma, L.; Pan, J. A floristic study on rare and endangered protected plants in Qinghai Province. J. Northwest Norm. Univ. Nat. Sci. Ed. 2012, 48, 78–85. [Google Scholar]
- Ma, L. In situ conservation of rare and endangered protected plants in Qinghai Province. Anhui Agric. Sci. 2012, 40, 6760–6763. [Google Scholar]
- Guo, X.; Li, X.; DuoJie, R.; Li, Q. Textual research on the origin of the Tibetan medicinal material “riguanzima”. Chin. Pharm. 2020, 31, 759–763. [Google Scholar] [CrossRef]
- Zuo, Z.; Feng, C. Textual research and Pharmacognosy of Tibetan medicine “reganba”. Qinghai Med. J. 1985, 6, 51–53. [Google Scholar]
- Gao, Y.; Wu, Q.; Liang, J.; Zhong, G. Research progress on chemical constituents and pharmacological activities of Tibetan medicine “regunba”. J. Jiangxi Coll. Tradit. Chin. Med. 2018, 30, 118–120. [Google Scholar] [CrossRef]
- Yang, X.Q.; Kushwaha, S.; Saran, S.; Xu, J.; Roy, P.S. Maxent modeling for predicting the potential distribution of medicinal plant, Justicia adhatoda L. in Lesser Himalayan foothills. Ecol. Eng. 2013, 51, 83–87. [Google Scholar] [CrossRef]
- Mackey, B.G.; Lindenmayer, D.B. Towards a hierarchical framework for modelling the spatial distribution of animals. J. Biogeogr. 2001, 28, 1147–1166. [Google Scholar] [CrossRef]
- Hijmans, R.J.; Cameron, S.E.; Parra, J.L.; Jones, P.G.; Jarvis, A. Very high resolution interpolated climate surfaces for global land areas. Int. J. Climatol. 2005, 25, 1965–1978. [Google Scholar] [CrossRef]
- Chen, Y.-R.; Xie, H.-M.; Luo, H.-L. Impacts of climate change on the distribution of Cymbidium kanran and the simulation of distribution pattern. J. Appl. Ecol. 2019, 30, 3419–3425. [Google Scholar] [CrossRef]
- Yan, L.; Liu, X. Has climatic warming over the Tibetan Plateau paused or continued in recent years? Earth Ocean. Atmos. Sci. 2014, 1, 13–28. [Google Scholar]
- Wei, Z. A Preliminary Study on Endemic Species of Plants in Qinghai Province. Environ. Qinghai 1996, 1–4. Available online: https://kns-cnki-net-443.webvpn.las.ac.cn/kcms/detail/detail.aspx?dbcode=CJFD&dbname=CJFD9697&filename=QHHJ199601000&uniplatform=NZKPT&v=eYhkfMlIqCzSFUzH2pIVnYpySRJZKWldb7hxs8J2wbYJN_1bBslLPtQx36FZfqGf (accessed on 10 January 2022).
- Lenoir, J.; Gegout, J.C.; Marquet, P.A.; de Ruffray, P.; Brisse, H. A significant upward shift in plant species optimum elevation during the 20th century. Science 2008, 320, 1768–1771. [Google Scholar] [CrossRef]
- Jump, A.S.; Huang, T.J.; Chou, C.H. Rapid altitudinal migration of mountain plants in Taiwan and its implications for high altitude biodiversity. Ecography 2012, 35, 204–210. [Google Scholar] [CrossRef]
- Skov, F.; Svenning, C. Potential impact of climatic change on the distribution of forest herbs in Europe. Ecography 2004, 27, 827–828. [Google Scholar] [CrossRef]
- Xu, W.; Xiao, Y.; Zhang, J.; Yang, W.; Zhang, L.; Hull, V.; Wang, Z.; Zheng, H.; Liu, J.; Polasky, S.; et al. Strengthening protected areas for biodiversity and ecosystem services in China. Proc. Natl. Acad. Sci. USA 2017, 114, 1601–1606. [Google Scholar] [CrossRef] [Green Version]
- Guisan, A.; Thuiller, W.; Zimmermann, N.E. Habitat Suitability and Distribution Models: With Applications in R; Cambridge University Press: Cambridge, UK, 2017; Volume 12, pp. 217–219. [Google Scholar]
- Wei, J.; Li, X.; Lu, Y.; Zhao, L.; Zhang, H.; Zhao, Q. Modeling the Potential Global Distribution of Phenacoccus madeirensis Green under Various Climate Change Scenarios. Forests 2019, 10, 773. [Google Scholar] [CrossRef] [Green Version]
- Narkis, M.S.; Fernandes, C.I.; Victoria, B.-G. MaxEnt’s parameter configuration and small samples: Are we paying attention to recommendations? A systematic review. PeerJ 2017, 5, e3093. [Google Scholar]
- Hill, M.P.; Hoffmann, A.A.; Mccoll, S.A.; Umina, P.A. Distribution of cryptic blue oat mite species in Australia: Current and future climate conditions. Agric. For. Entomol. 2012, 14, 127–137. [Google Scholar] [CrossRef]
- Ficetola, G.F.; Thuiller, W.; Miaud, C. Prediction and validation of the potential global distribution of a problematic alien invasive species—The American bullfrog. Divers. Distrib. 2007, 13, 476–485. [Google Scholar] [CrossRef]
- West, A.M.; Kumar, S.; Brown, C.S.; Stohlgren, T.J.; Bromberg, J. Field validation of an invasive species Maxent model. Ecol. Inform. 2016, 36, 126–134. [Google Scholar] [CrossRef] [Green Version]
- Alizadeh-Noughani, M.; Farashi, A. Effects of models and spatial resolutions on the species distribution model performance. Model. Earth Syst. Environ. 2018, 4, 263–268. [Google Scholar]
- Saatchi, S.; Buermann, W.; Steege, H.T.; Mori, S.; Smith, T.B. Modeling distribution of Amazonian tree species and diversity using remote sensing measurements. Remote Sens. Environ. 2008, 112, 2000–2017. [Google Scholar] [CrossRef]
- Yi, Y.; Cheng, X.; Yang, Z.; Wieprecht, S.; Zhang, S.; Wu, Y. Evaluating the ecological influence of hydraulic projects: A review of aquatic habitat suitability models. Renew. Sustain. Energy Rev. 2017, 68, 748–762. [Google Scholar] [CrossRef]
- Yan, H.; Feng, L.; Zhao, Y.; Feng, L.; Zhu, C. Prediction of the spatial distribution of Alternanthera philoxeroides in China based on ArcGIS and MaxEnt. Glob. Ecol. Conserv. 2019, 21, e00856. [Google Scholar] [CrossRef]
- Aderoju, D.O.; Festus, A.G.; Chidinma, O.K.; Oluwatodimu, F.G. Predicting the distribution of the invasive species Hyptis suaveolens in Nigeria. Eur. J. Environ. Sci. 2020, 10, 98–106. [Google Scholar] [CrossRef]
- Huang, X.; Ma, L.; Chen, C.; Zhou, H.; Ma, Z. Predicting the Suitable Geographical Distribution of Sinadoxa Corydalifolia under Different Climate Change Scenarios in the Three-River Region Using the MaxEnt Model. Plants 2020, 9, 1015. [Google Scholar] [CrossRef]
- Hosni, E.M.; Nasser, M.G.; Al-Ashaal, S.A.; Rady, M.H.; Kenawy, M.A. Modeling current and future global distribution of Chrysomya bezziana under changing climate. Sci. Rep. 2020, 10, 4947. [Google Scholar] [CrossRef]
- Yan, H.; Feng, L.; Zhao, Y.; Feng, L.; Wang, H. Predicting the potential distribution of an invasive species, Erigeron canadensis L.; in China with a maximum entropy model. Glob. Ecol. Conserv. 2019, 21, e00822. [Google Scholar] [CrossRef]
- Gonzalez, S.C.; Soto-Centeno, J.A.; Reed, D.L. Population distribution models: Species distributions are better modeled using biologically relevant data partitions. BMC Ecol. 2011, 11, 20. [Google Scholar] [CrossRef] [Green Version]
- Phillips, S.J.; Dudík, M.; Schapire, R.E. A maximum entropy approach to species distribution modeling. In Proceedings of the Twenty-First International Conference on Machine Learning–ICML, Banff, AB, Canada, 4–8 July 2004. [Google Scholar]
- Phillips, S.J.; Dudík, M. Modeling of species distributions with Maxent: New extensions and a comprehensive evaluation. Ecography 2008, 31, 161–175. [Google Scholar] [CrossRef]







| Bioclimatic Variables | Description | Units | Contribution Percentages | Rankings |
|---|---|---|---|---|
| alt | Elevation | m | 52.4 | 1 |
| bio12 | Annual precipitation | mm | 15.3 | 2 |
| bio7 | Temperature annual range (BIO5–BIO6) | °C | 15.1 | 3 |
| bio3 | Isothermality (BIO2/BIO7 × 100) | % | 6.6 | 4 |
| an | Available nitrogen | mg/kg | 3.9 | 5 |
| bio4 | Temperature seasonality (standard deviation × 100) | % | 2.8 | 6 |
| bio15 | Precipitation seasonality (coefficient of variation) | 1 | 2.2 | 7 |
| bio1 | Annual mean temperature | °C | 0.8 | 8 |
| tk | Total potassium | mg/L | 0.5 | 9 |
| ap | Available phosphorus | mg/kg | 0.4 | 10 |
Publisher’s Note: MDPI stays neutral with regard to jurisdictional claims in published maps and institutional affiliations. |
© 2022 by the authors. Licensee MDPI, Basel, Switzerland. This article is an open access article distributed under the terms and conditions of the Creative Commons Attribution (CC BY) license (https://creativecommons.org/licenses/by/4.0/).
Share and Cite
Chen, K.; Wang, B.; Chen, C.; Zhou, G. MaxEnt Modeling to Predict the Current and Future Distribution of Pomatosace filicula under Climate Change Scenarios on the Qinghai–Tibet Plateau. Plants 2022, 11, 670. https://doi.org/10.3390/plants11050670
Chen K, Wang B, Chen C, Zhou G. MaxEnt Modeling to Predict the Current and Future Distribution of Pomatosace filicula under Climate Change Scenarios on the Qinghai–Tibet Plateau. Plants. 2022; 11(5):670. https://doi.org/10.3390/plants11050670
Chicago/Turabian StyleChen, Kaiyang, Bo Wang, Chen Chen, and Guoying Zhou. 2022. "MaxEnt Modeling to Predict the Current and Future Distribution of Pomatosace filicula under Climate Change Scenarios on the Qinghai–Tibet Plateau" Plants 11, no. 5: 670. https://doi.org/10.3390/plants11050670
APA StyleChen, K., Wang, B., Chen, C., & Zhou, G. (2022). MaxEnt Modeling to Predict the Current and Future Distribution of Pomatosace filicula under Climate Change Scenarios on the Qinghai–Tibet Plateau. Plants, 11(5), 670. https://doi.org/10.3390/plants11050670

