Identification of QTL Associated with Regrowth Vigor Using the Nested Association Mapping Population in Switchgrass
Abstract
1. Introduction
2. Results
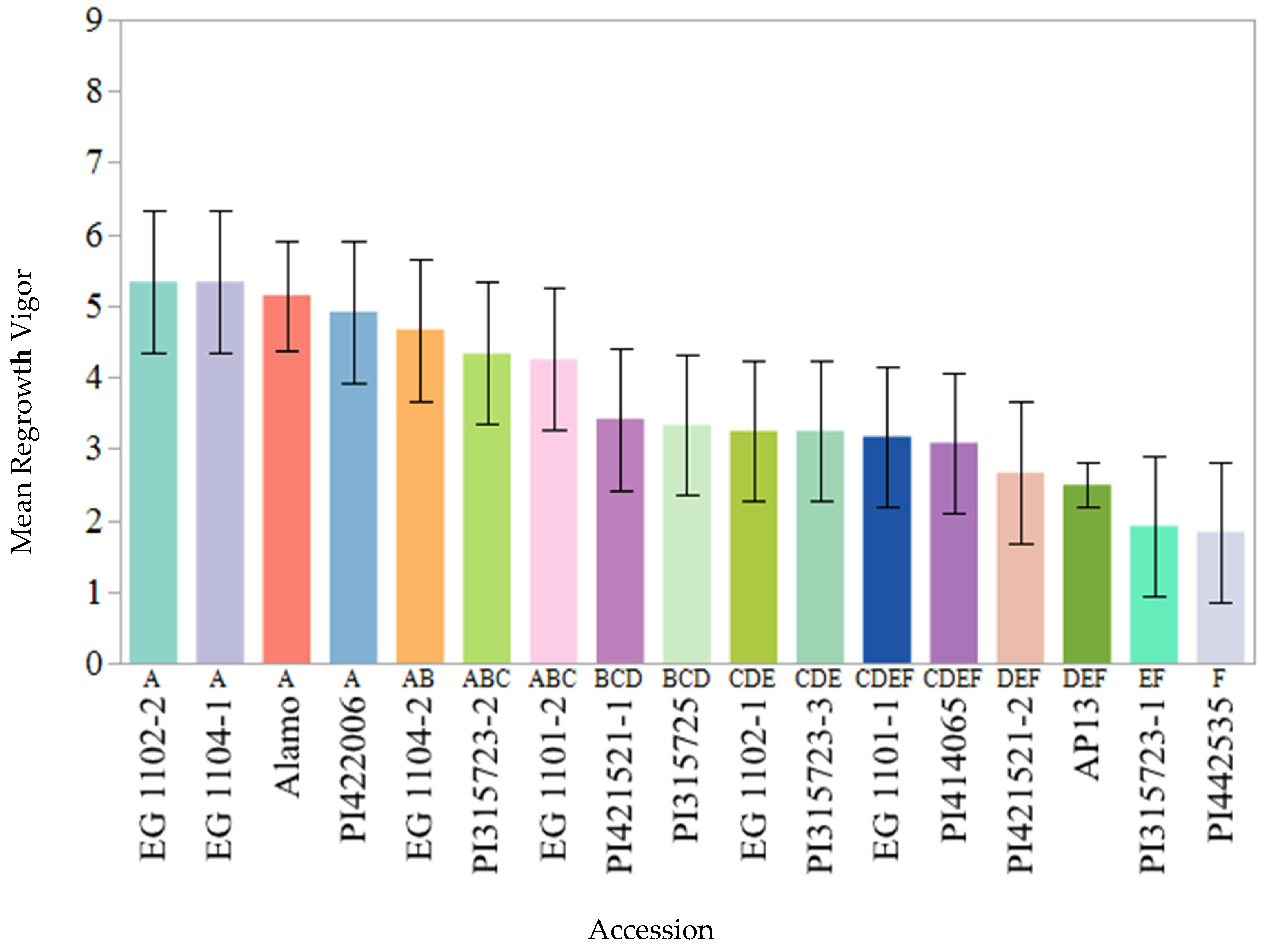
2.1. Analysis of Phenotypic Data
2.2. Genetic Linkage Map
2.3. Genomic Regions Associated with Regrowth Vigor
2.4. Mode of Gene Action of the Identified QTL
2.5. Candidate Gene Search
3. Discussion
4. Materials and Methods
4.1. Plant Materials
4.2. Field Experiment and Phenotypic Data Collection
4.3. Genotyping and Linkage Map Construction
4.4. Phenotypic Data Analysis
4.5. QTL Analysis and Candidate Gene Search
5. Conclusions
Supplementary Materials
Author Contributions
Funding
Institutional Review Board Statement
Informed Consent Statement
Data Availability Statement
Acknowledgments
Conflicts of Interest
References
- Vogel, K.P. Switchgrass. In Warm-Season (C4) Grasses; Moser, L.E., Burson, B.L., Sollenberger, L.E., Eds.; ASA, CSSA and SSSA: Madison, WI, USA, 2004; pp. 561–588. [Google Scholar]
- Porter, C.L. An analysis of variation between upland and lowland switchgrass, Panicum virgatum L., in central Oklahoma. Ecology 1966, 47, 980–992. [Google Scholar] [CrossRef]
- Casler, M.D. Ecotypic variation among switchgrass populations from the Northern USA. Crop Sci. 2005, 45, 388. [Google Scholar] [CrossRef]
- Hopkins, A.A.; Taliaferro, C.M.; Murphy, C.D.; Christian, D. Chromosome number and nuclear DNA content of several switchgrass populations. Crop Sci. 1996, 36, 1192–1195. [Google Scholar] [CrossRef]
- Casler, M.D. Switchgrass breeding, genetics, and genomics. In Switchgrass: A Valuable Biomass Crop for Energy; Monti, A., Ed.; Springer: London, UK, 2012; pp. 29–53. [Google Scholar]
- Nageswara-Rao, M.; Soneji, J.R.; Kwit, C.; Stewart, C.N. Advances in biotechnology and genomics of switchgrass. Biotechnol. Biofuels 2013, 6, 77. [Google Scholar] [CrossRef] [PubMed]
- Sanderson, M.A.; Adler, P.R.; Boateng, A.A.; Casler, M.D.; Sarath, G. Switchgrass as a biofuels feedstock in the USA. Can. J. Plant Sci. 2006, 86, 1315–1325. [Google Scholar] [CrossRef]
- Monti, A.; Bezzi, G.; Pritoni, G.; Venturi, G. Long-term productivity of lowland and upland switchgrass cytotypes as affected by cutting frequency. Bioresour. Technol. 2008, 99, 7425–7432. [Google Scholar] [CrossRef]
- Sanderson, M.A.; Read, J.C.; Reed, R.L. Pasture management & forage utilization. Agron. J. 1999, 91, 5–10. [Google Scholar]
- Keyser, P.; Harper, C.; Bates, G.; Waller, J.; Holcomb, E.D. Native Warm-Season Grasses for Mid-South Forage Production. UT, Center for Native Grasslands Management. 2011. Available online: https://extension.tennessee.edu/publications/Documents/SP731-A.pdf (accessed on 30 July 2019).
- Branson, F.A. Two new factors affecting resistance of grasses to grazing. Rangel. Ecol. Manag. 1953, 6, 165. [Google Scholar] [CrossRef]
- Neiland, B.M.; Curtis, J.T. Differential responses to clipping of six prairie grasses in Wisconsin. Ecology 1956, 37, 355–365. [Google Scholar] [CrossRef]
- Beaty, E.R.; Powell, J.D. Response of switchgrass (Panicum virgatum L.) to clipping frequency. Rangel. Ecol. Manag. 1976, 29, 132. [Google Scholar] [CrossRef][Green Version]
- Trócsányi, Z.K.; Fieldsend, A.; Wolf, D. Yield and canopy characteristics of switchgrass (Panicum virgatum L.) as influenced by cutting management. Biomass Bioenergy 2009, 33, 442–448. [Google Scholar] [CrossRef]
- Kering, M.K.; Guretzky, J.A.; Interrante, S.M.; Butler, T.J.; Biermacher, J.T.; Mosali, J. Harvest timing affects switchgrass production, forage nutritive value, and nutrient removal. Crop Sci. 2013, 53, 1809–1817. [Google Scholar] [CrossRef]
- Beaty, E.R.; Engel, J.L.; Powell, J.D. Tiller development and growth in switchgrass. Rangel. Ecol. Manag. 1978, 31, 361. [Google Scholar] [CrossRef]
- Sarath, G.; Baird, L.M.; Mitchell, R. Senescence, dormancy and tillering in perennial C4 grasses. Plant Sci. 2014, 217–218, 140–151. [Google Scholar] [CrossRef] [PubMed]
- Razar, R.M.; Missaoui, A. QTL mapping of winter dormancy and associated traits in two switchgrass pseudo-F1 populations: Lowland × lowland and lowland × upland. BMC Plant Biol. 2020, 20, 537. [Google Scholar] [CrossRef]
- Poudel, H.P.; Sanciangco, M.D.; Kaeppler, S.M.; Buell, C.R.; Casler, M.D. Quantitative trait loci for freezing tolerance in a lowland x upland switchgrass population. Front. Plant Sci. 2019, 10, 372. [Google Scholar] [CrossRef] [PubMed]
- Fike, J.H.; Parrish, D.J.; Wolf, D.D.; Balasko, J.A.; Green, J.T.; Rasnake, M.; Reynolds, J.H. Switchgrass production for the upper southeastern USA: Influence of cultivar and cutting frequency on biomass yields. Biomass Bioenergy 2006, 30, 207–213. [Google Scholar] [CrossRef]
- Wullschleger, S.; Sanderson, M.A.; McLaughlin, S.B.; Biradar, D.P.; Rayburn, A.L. Photosynthetic rates and ploidy levels among populations of switchgrass. Crop Sci. 1996, 36, 306–312. [Google Scholar] [CrossRef]
- Haferkamp, M.R.; Copeland, T.D. Shoot growth and development of Alamo switchgrass as influenced by mowing and fertilization. J. Range Manag. 1984, 37, 406–412. [Google Scholar] [CrossRef]
- Mclaughlin, S.; Bouton, J.; Bransby, D.; Conger, B.; Ocumpaugh, W.; Parrish, D.; Taliaferro, C.; Vogel, K.; Wull-schleger, S. Developing switchgrass as a bioenergy crop. In Perspectives on New Crops and New Uses; Janick, J., Ed.; ASHS Press: Alexandria, VA, USA, 1999; pp. 282–299. [Google Scholar]
- Tao, D.; Fengyi, H.; Yang, Y.; Xu, P.; Li, J.; Sacks, E.; McNally, K.L.; Sripichitt, P. A rhizomatous individual obtained from interspecific BC1F1 progenies between Oryza sativa and O. longistaminata. In Advances in Rice Genetics; Khush, G.S., Brar, D.S., Hardy, B., Eds.; International Rice Research Institute: Los Banos, Philippines, 2003; pp. 151–152. [Google Scholar]
- Paterson, A.H.; Schertz, K.F.; Lin, Y.R.; Liu, S.C.; Chang, Y.L. The weediness of wild plants: Molecular analysis of genes influencing dispersal and persistence of johnsongrass, Sorghum halepense (L.) Pers. Proc. Natl. Acad. Sci. USA 1995, 92, 6127–6131. [Google Scholar] [CrossRef]
- Robins, J.G.; Bauchan, G.R.; Brummer, E.C. Genetic mapping forage yield, plant height, and regrowth at multiple harvests in tetraploid alfalfa (Medicago sativa L.). Crop Sci. 2007, 47, 11–18. [Google Scholar] [CrossRef]
- Ladejobi, O.; Elderfield, J.; Gardner, K.A.; Gaynor, R.; Hickey, J.; Hibberd, J.M.; Mackay, I.J.; Bentley, A.R. Maximizing the potential of multi-parental crop populations. Appl. Transl. Genom. 2016, 11, 9–17. [Google Scholar] [CrossRef] [PubMed]
- Nayak, S.; Bhandari, H.; Pantalone, V.; Saha, M.C.; Ali, S.; Sams, C. Genomic regions associated with salinity tolerance in lowland switchgrass. Crop Sci. 2021, 61, 4022–4037. [Google Scholar] [CrossRef]
- Joint Genome Institute (JGI). Phytozome. Available online: https://phytozome.jgi.doe.gov/ (accessed on 30 July 2019).
- Tornqvist, C.; Taylor, M.; Jiang, Y.; Evans, J.; Buell, C.R.; Kaeppler, S.M.; Casler, M.D. Quantitative trait locus mapping for flowering time in a lowland × upland switchgrass pseudo-F2 population. Plant Genome 2018, 11, 170093. [Google Scholar] [CrossRef] [PubMed]
- Ali, S.; Serba, D.D.; Jenkins, J.; Kwon, S.; Schmutz, J.; Saha, M.C. High-density linkage map reveals QTL underlying growth traits in AP13 × VS16 biparental population of switchgrass. GCB Bioenergy 2019, 11, 672–690. [Google Scholar] [CrossRef]
- Okada, M.; Lanzatella, C.; Saha, M.C.; Bouton, J.; Wu, R.; Tobias, C.M. Complete switchgrass genetic maps reveal subgenome collinearity, preferential pairing and multilocus interactions. Genetics 2010, 185, 745–760. [Google Scholar] [CrossRef] [PubMed]
- Serba, D.; Wu, L.; Daverdin, G.; Bahri, B.A.; Wang, X.; Kilian, A.; Bouton, J.H.; Brummer, E.C.; Saha, M.C.; Devos, K.M. Linkage maps of lowland and upland tetraploid switchgrass ecotypes. BioEnergy Res. 2013, 6, 953–965. [Google Scholar] [CrossRef][Green Version]
- Kaiser, J. Switchgrass for Biomass Production by Variety Selection and Establishment Methods for Missouri, Illinois, and Iowa. 2009. Available online: https://www.nrcs.usda.gov/Internet/FSE_PLANTMATERIALS/publications/mopmstn8511.pdf (accessed on 30 July 2019).
- Germplasm Resources Information Network (GRIN). Available online: https://npgsweb.ars-grin.gov/gringlobal/accessiondetail?id=1918244 (accessed on 21 October 2021).
- Furlani, A.M.C.; Clark, R.B.; Maranville, J.W.; Ross, W.M. Sorghum genotype differences in phosphorus up-take rate and distribution in plant parts. J. Plant Nutr. 1984, 7, 1113–1126. [Google Scholar] [CrossRef]
- Ciarelli, D.M.; Furlani, A.M.C.; Dechen, A.R.; Lima, M. Genetic variation among maize genotypes for phosphorus-uptake and phosphorus-use efficiency in nutrient solution. J. Plant Nutr. 1998, 21, 2219–2229. [Google Scholar] [CrossRef]
- Casler, M.D.; Vogel, K.P.; Taliaferro, C.M.; Wynia, R.L. Latitudinal adaptation of switchgrass populations. Crop Sci. 2004, 44, 293–303. [Google Scholar] [CrossRef]
- Bhandari, H.S.; Saha, M.C.; Mascia, P.N.; Fasoula, V.A.; Bouton, J.H. Variation among half-Sib families and heritability for biomass yield and other traits in lowland switchgrass (Panicum virgatum L.). Crop Sci. 2010, 50, 2355–2363. [Google Scholar] [CrossRef]
- Nayak, S.; Bhandari, H.; Sams, C.; Sykes, V.; Hilafu, H.; Dalid, C.; Senseman, S.; Pantalone, V. Genetic variation for biomass yield and predicted genetic gain in lowland switchgrass “Kanlow”. Agronomy 2020, 10, 1845. [Google Scholar] [CrossRef]
- Serba, D.D.; Daverdin, G.; Bouton, J.H.; Devos, K.M.; Brummer, E.C.; Saha, M.C. Quantitative trait loci (QTL) underlying biomass yield and plant height in switchgrass. BioEnergy Res. 2014, 8, 307–324. [Google Scholar] [CrossRef]
- Murray, S.C.; Sharma, A.; Rooney, W.L.; Klein, P.E.; Mullet, J.E.; Mitchell, S.E.; Kresovich, S. Genetic improvement of sorghum as a biofuel feedstock: I. QTL for stem sugar and grain nonstructural carbohydrates. Crop Sci. 2008, 48, 2165–2179. [Google Scholar] [CrossRef]
- Washburn, J.D.; Murray, S.C.; Burson, B.L.; Klein, R.R.; Jessup, R.W. Targeted mapping of quantitative trait locus regions for rhizomatousness in chromosome SBI ̶ 01 and analysis of overwintering in a Sorghum bicolor × S. propinquum population. Mol. Breed. 2013, 31, 153–162. [Google Scholar] [CrossRef] [PubMed]
- Westerbergh, A.; Doebley, J. Quantitative trait loci controlling phenotypes related to the perennial versus annual habit in wild relatives of maize. Theor. Appl. Genet. 2004, 109, 1544–1553. [Google Scholar] [CrossRef] [PubMed]
- Vogel, K.P.; Mitchell, R.B. Heterosis in switchgrass: Biomass yield in swards. Crop Sci. 2008, 48, 2159–2164. [Google Scholar] [CrossRef]
- Bhandari, H.S.; Nayak, S.; Dalid, C.; Sykes, V.R. Biomass yield heterosis in lowland switchgrass. Crop Sci. 2017, 57, 2015–2023. [Google Scholar] [CrossRef]
- Duque, P. A role for SR proteins in plant stress responses. Plant Signal. Behav. 2011, 6, 49–54. [Google Scholar] [CrossRef]
- Larson, E.M.; Idnurm, A. Two origins for the gene encoding α-isopropylmalate synthase in Fungi. PLoS ONE 2010, 5, e11605. [Google Scholar] [CrossRef] [PubMed]
- Rohrmeier, T.; Lehle, L.; Regensburg, U. WIPI, a wound-inducible gene from maize with homology to Bowman-Birk proteinase inhibitors. Plant Mol. Biol. 1993, 22, 783–792. [Google Scholar] [CrossRef]
- Bourdenx, B.; Bernard, A.; Domergue, F.; Pascal, S.; Léger, A.; Roby, D.; Pervent, M.; Vile, D.; Haslam, R.P.; Napier, J.A.; et al. Overexpression of Arabidopsis ECERIFERUM1 promotes wax very-long-chain alkane biosynthesis and influences plant response to biotic and abiotic stresses. Plant Physiol. 2011, 156, 29–45. [Google Scholar] [CrossRef]
- Ho, C.K.; Hotta, T.; Kong, Z.; Jing, C.; Zeng, T.; Sun, J.; Lee, Y.J.; Liu, B. Augmin plays a critical role in organizing the spindle and phragmoplast microtubule arrays in Arabidopsis. Plant Cell 2011, 23, 2606–2618. [Google Scholar]
- Cheng, Y.; Dai, X.; Zhao, Y. Auxin synthesized by the YUCCA flavin monooxygenases is essential for embryogenesis and leaf formation in Arabidopsis. Plant Cell 2007, 19, 2430–2439. [Google Scholar] [CrossRef]
- Bielskiene, K.; Bagdoniene, L.; Labeikyte, D.; Juodka, B.; Sjakste, N. Analysis of proteins in tightly bound DNA-protein complexes from barley primary leaves. Biologija 2009, 55, 7–13. [Google Scholar] [CrossRef]
- Zhang, X.; Roberts, J.A. F-box proteins in plants. Annu. Plant Rev. 2019, 2, 1–21. [Google Scholar]
- Miura, K.; Jin, J.B.; Hasegawa, P.M. Sumoylation, a post-translational regulatory process in plants. Curr. Opin. Plant Biol. 2007, 10, 495–502. [Google Scholar] [CrossRef]
- Evans, J.; Kim, J.; Childs, K.L.; Vaillancourt, B.; Crisovan, E.; Nandety, A.; Gerhardt, D.J.; Richmond, T.A.; Jeddeloh, J.A.; Kaeppler, S.M.; et al. Data from: Nucleotide polymorphism and copy number variant detection using exome capture and next generation sequencing in the polyploid grass Panicum virgatum. Plant J. 2014, 79, 993. [Google Scholar] [CrossRef]
- Kosambi, D.D. The estimation of map distances from recombination values. Ann. Eugen. 1943, 12, 172–175. [Google Scholar] [CrossRef]
- Wang, S.; Basten, C.J.; Zeng, Z.B. Windows QTL Cartographer V2.5; Department of Statistics, North Carolina State University: Raleigh, NC, USA, 2012. [Google Scholar]



| Sources of Variation | 2017 | 2018 | Combined |
|---|---|---|---|
| Variance Component | |||
| Rep † | 0.09 | 0.05 | 0.05 |
| Family | 0.12 ** | 0.09 ** | 0.08 * |
| Genotype (Family) | - | 0.53 *** | - |
| Family × Year | - | - | 0.02 * |
| Genotype (Family) × Rep | - | - | 1.82 *** |
| Residual | 2.52 *** | 2.12 *** | 0.62 *** |
| Test of fixed effects (F-values) | |||
| Year | - | - | 302.9 *** |
| Population | 2017 | 2018 | Combined | ||||||
|---|---|---|---|---|---|---|---|---|---|
| Mean | Min | Max | Mean | Min | Max | Mean | Min | Max | |
| NAM | 2.9 (1.6) a | 0 | 9 | 2.0 (1.6) a | 0 | 9 | 2.5 (1.6) a | 0 | 9 |
| Founder Parents | 4.0 (2.2) b | 0 | 9 | 3.3 (2.4) bc | 0 | 9 | 3.6 (2.3) b | 0 | 9 |
| Chain-cross Parents | 4.0 (1.9) b | 0 | 9 | 3.0 (1.9) b | 0 | 9 | 3.5 (2.0) b | 0 | 9 |
| AP13 | 2.8 (1.5) a | - | - | 2.1 (1.4) a | - | - | 2.5 (1.5) a | - | - |
| Alamo | 6.1 (2.2) c | - | - | 4.2 (2.5) c | - | - | 5.1 (2.5) c | - | - |
| Trait | Regrowth Vigor 2017 | Regrowth Vigor 2018 | Spring Emergence 2015 | Spring Emergence 2016 | Biomass Yield 2015 |
|---|---|---|---|---|---|
| Regrowth Vigor 2018 | 0.73 *** | ||||
| Spring Emergence 2015 | −0.28 *** | −0.27 *** | |||
| Spring Emergence 2016 | −0.29 *** | −0.33 *** | 0.30 *** | ||
| Biomass Yield 2015 | 0.56 *** | 0.53 *** | −0.30 *** | −0.37 *** | |
| Biomass Yield 2016 | 0.61 *** | 0.62 *** | −0.23 *** | −0.39 *** | 0.81 *** |
| QTL | Chr ‡ | Environment | Position | Nearest SNP | LOD | AE ¶ | d/a † | PVE (%) |
|---|---|---|---|---|---|---|---|---|
| QRV.kn17.1B | 1B | 2017 | 120 | c1b_53443735 | 3.6 | −0.15 | −0.46 | 4.3 |
| QRV.kn17.5A-1 | 5A | 2017 | 34.2 | c5a_61728698 | 4.0 | 0.12 | 2.08 | 3.0 |
| QRV.kn17.5A-2 | 5A | 2017 | 140.6 | c5a_9165315 | 4.1 | −0.15 | −1.4 | 4.7 |
| QRV.kn17.5A-3 | 5A | 2017 | 169.1 | c5a_15120636 | 8.3 | 0.26 | 0.38 | 3.1 |
| QRV.kn17.6B | 6B | 2017 | 72.1 | c6b_20112532 | 3.8 | 0.07 | 3.57 | 3.1 |
| QRV.kn17.7B | 7B | 2017 | 47.8 | c7b_17213104 | 4.9 | 0.20 | 1.00 | 3.2 |
| QRV.kn18.5A | 5A | 2018 | 168.1 | c5a_15120636 | 3.3 | 0.16 | 0.37 | 3.7 |
| QRV.kn18.5B | 5B | 2018 | 165 | c5b_71514101 | 3.2 | 0.12 | 1.08 | 3.2 |
| QRV.kn18.6B | 6B | 2018 | 48 | c6b_3764436 | 4.5 | 0.16 | 1.00 | 2.6 |
| QRV.kn18.8A | 8A | 2018 | 86.7 | c8a_14434016 | 3.1 | 0.14 | 0.01 | 3.8 |
| QRV.kn.1B | 1B | Combined | 120 | c1b_53443735 | 3.4 | −0.13 | −0.61 | 3.1 |
| QRV.kn.5A | 5A | Combined | 168.1 | c5a_15120636 | 5.5 | 0.19 | 0.52 | 3.0 |
| QRV.kn.6B | 6B | Combined | 48 | c6b_3764436 | 4.1 | 0.15 | 0.86 | 1.6 |
| QRV.kn.7B | 7B | Combined | 47.8 | c7b_17213104 | 4.3 | 0.15 | 0.98 | 2.3 |
| QRV.kn.8A | 8A | Combined | 86.7 | c8a_14434016 | 3.4 | 0.16 | 0.14 | 2.9 |
| QTL. | Nearest SNP | Homolog-Based Annotation of Candidate Gene | Homolog Description (Reference Sequence, Species) | Identity Similarity | E-Value |
|---|---|---|---|---|---|
| QRV.kn17.1B | c1b_53443735 | Serine/arginine-rich splicing factor RSZ21A | XM_004954123.4, Setaria italica | 90% | 0.00 |
| QRV.kn17.5A-1 | c5a_61728698 | Phosphoribosylformylglycinamidine synthase | XM_025959288.1, Panicum hallii | 97% | 0.00 |
| QRV.kn17.5A-2 | c5a_9165315 | Bowman–Birk type wound-induced proteinase inhibitor W1P1 | XM_002457398.2, Sorghum bicolor | 91% | 2 × 10−58 |
| QRV.kn17.5A-3 | c5a_15120636 | Probable indole-3-pyruvate monooxygenase YUCCA10 | XM_004967692.3, Setaria italica | 90% | 0.00 |
| QRV.kn17.6B | c6b_20112532 | AUGMIN subunit 1 | XM_004972433.2, Setaria italica | 91% | 0.00 |
| QRV.kn17.7B | c7b_17213104 | Protein ECERIFERUM 1 | XM_002448115.2, Sorghum bicolor | 91% | 1 × 10−141 |
| QRV.kn18.5A | c5a_15120636 | Probable indole-3-pyruvate monooxygenase YUCCA10 | XM_004967692.3, Setaria italica | 90% | 0.00 |
| QRV.kn18.5B | c5b_71514101 | Scarecrow-like protein 9 | XM_004970484.3, Setaria italica | 90% | 0.00 |
| QRV.kn18.6B | c6b_3764436 | F-box protein SKIP28 | XM_004973424.2, Setaria italica | 95% | 5 × 10−132 |
| QRV.kn18.8A | c8a_14434016 | SUMO-activating enzyme subunit 1A | XM_002449480.2, Sorghum bicolor | 83% | 9 × 10−96 |
| Founder Parent | Chain-Cross Parent (Pseudo F1s) | Pseudo F2 Progenies |
|---|---|---|
| PI414065 | F1-1 | 75 |
| PI442535 | F1-2 | 200 |
| PI421521-1 | F1-3 | 75 |
| PI421521-2 | F1-4 | 200 |
| PI315725 | F1-5 | 75 |
| PI315723-1 | F1-6 | 200 |
| PI315723-2 | F1-7 | 200 |
| PI315723-3 | F1-8 | 200 |
| PI422006 | F1-9 | 75 |
| EG 1101-1 | F1-10 | 75 |
| EG 1101-2 | F1-11 | 75 |
| EG 1102-1 | F1-12 | 75 |
| EG 1102-2 | F1-13 | 200 |
| EG 1104-1 | F1-14 | 200 |
| EG 1104-2 | F1-15 | 75 |
| Total: 2000 | ||
Publisher’s Note: MDPI stays neutral with regard to jurisdictional claims in published maps and institutional affiliations. |
© 2022 by the authors. Licensee MDPI, Basel, Switzerland. This article is an open access article distributed under the terms and conditions of the Creative Commons Attribution (CC BY) license (https://creativecommons.org/licenses/by/4.0/).
Share and Cite
Nayak, S.; Bhandari, H.; Saha, M.C.; Ali, S.; Sams, C.; Pantalone, V. Identification of QTL Associated with Regrowth Vigor Using the Nested Association Mapping Population in Switchgrass. Plants 2022, 11, 566. https://doi.org/10.3390/plants11040566
Nayak S, Bhandari H, Saha MC, Ali S, Sams C, Pantalone V. Identification of QTL Associated with Regrowth Vigor Using the Nested Association Mapping Population in Switchgrass. Plants. 2022; 11(4):566. https://doi.org/10.3390/plants11040566
Chicago/Turabian StyleNayak, Santosh, Hem Bhandari, Malay C. Saha, Shahjahan Ali, Carl Sams, and Vince Pantalone. 2022. "Identification of QTL Associated with Regrowth Vigor Using the Nested Association Mapping Population in Switchgrass" Plants 11, no. 4: 566. https://doi.org/10.3390/plants11040566
APA StyleNayak, S., Bhandari, H., Saha, M. C., Ali, S., Sams, C., & Pantalone, V. (2022). Identification of QTL Associated with Regrowth Vigor Using the Nested Association Mapping Population in Switchgrass. Plants, 11(4), 566. https://doi.org/10.3390/plants11040566

