Ethnobotany, Phytochemistry, Biological, and Nutritional Properties of Genus Crepis—A Review
Abstract
1. Introduction
2. Review Methodology
3. Alimentary Properties and Traditional Uses
3.1. Traditional Uses
3.2. Nutritional Composition
4. Non-Volatile Metabolites
4.1. Occurrence
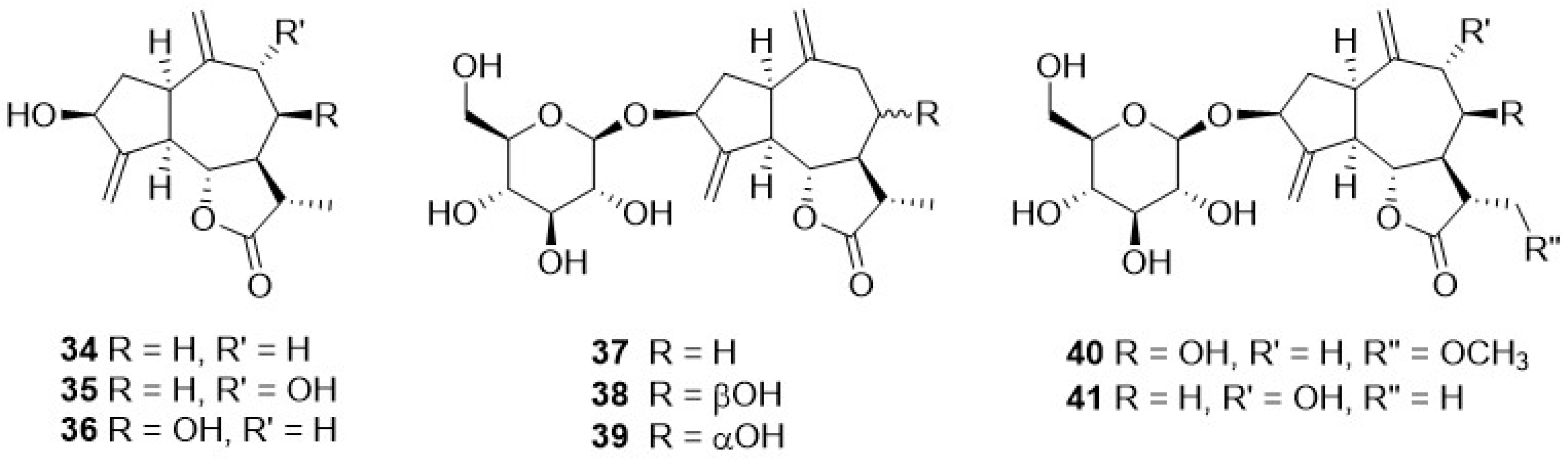
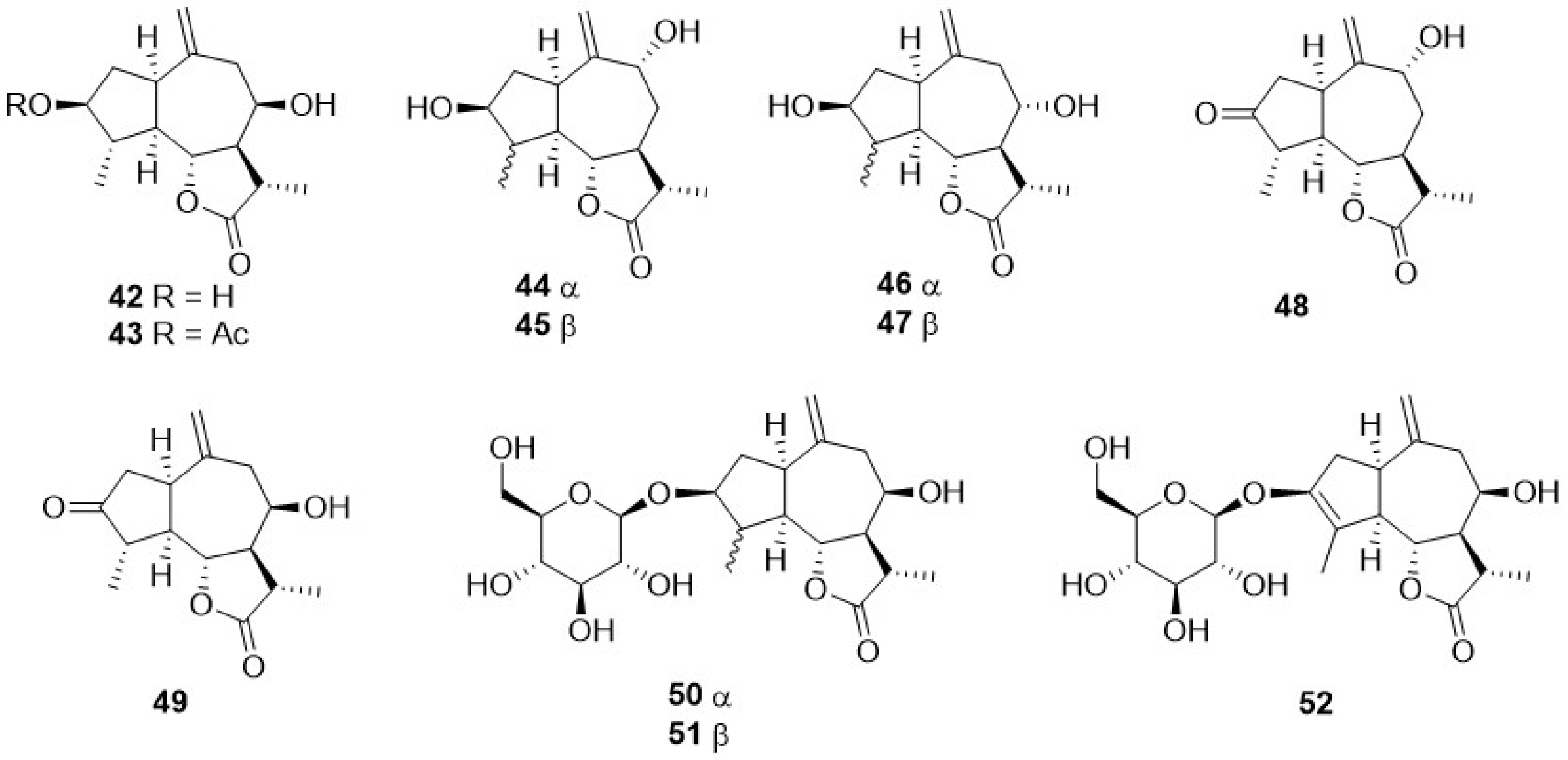
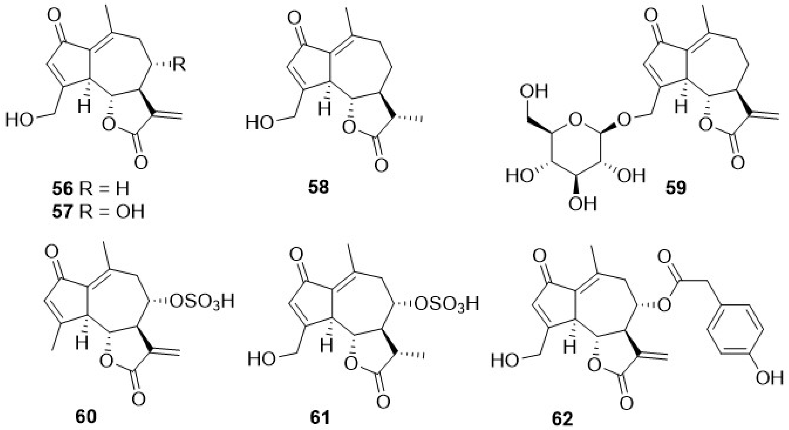
4.2. Sesquiterpenes
4.3. Flavonoids
4.4. Other Metabolites
5. Essential Oils
6. Biological Properties
6.1. Antibacterial and Antifungal Activity
6.2. Antioxidant Activity
6.3. Anti-Inflammatory Activity
6.4. Antidiabetic Activity
6.5. Antiulcer Activity
6.6. Antiviral Activity
6.7. Cytotoxic Activity
6.8. Toxicity
7. Conclusions
Supplementary Materials
Author Contributions
Funding
Institutional Review Board Statement
Informed Consent Statement
Conflicts of Interest
References
- Kilian, N.; Gemeinholzer, B.; Lack, H.W. Cichorieae. In Systematics Evolution, and Biogeography of Compositae; Funk, V.A., Susanna, A., Stuessy, T.F., Bayer, R.J., Eds.; International Association for Plant Taxonomy: Bratislava, Slovakia, 2009; pp. 343–383. [Google Scholar]
- Bremer, K. Asteraceae, Cladistics and Classification; Timber Press: Portland, OR, USA, 1994. [Google Scholar]
- The Plant List. Available online: http://www.theplantlist.org/ (accessed on 10 January 2022).
- Babcock, E.B. The Genus Crepis. Part One: The Taxonomy, Phylogeny, Distribution and Evolution of Crepis; University of California Press: Oakland, CA, USA, 1947. [Google Scholar]
- Enke, N.; Gemeinholzer, B. Babcock revisited: New insights into generic delimitation and character evolution in Crepis L. (Compositae: Cichorieae) from ITS and MatK sequence data. Taxon 2008, 57, 756–768. [Google Scholar] [CrossRef]
- Guerra, J.G.; Cabello, F.; Fernández-Quintanilla, C.; Peña, J.M.; Dorado, J. How weed management influence plant community composition, taxonomic diversity and crop yield: A long-term study in a Mediterranean vineyard. Agric. Ecosyst. Environ. 2022, 326, 107816. [Google Scholar] [CrossRef]
- Dudley, N.; Alexander, S. Agriculture and biodiversity: A review. Biodiversity 2017, 18, 45–49. [Google Scholar] [CrossRef]
- Tilman, D.; Fargione, J.; Wolff, B.; D’Antonio, C.; Dobson, A.; Howarth, R.; Schindler, D.; Schlesinger, W.H.; Simberloff, D.; Swackhamer, D. Forecasting agriculturally driven global environmental change. Science 2001, 292, 281. [Google Scholar] [CrossRef] [PubMed]
- Ollerton, J.; Winfree, R.; Tarrant, S. How many flowering plants are pollinated by animals. Oikos 2011, 120, 321–326. [Google Scholar] [CrossRef]
- Travlos, I.S. Weeds in Perennial Crops as an unexpected tool of integrated crop management. In Weeds and Their Ecological Functions; Taab, A., Ed.; Nova Publishers: New York, NY, USA, 2013; pp. 97–113. [Google Scholar]
- Juárez-Escario, A.; Conesa, J.A.; Solé-Senan, X.O. Management as a driver of functional patterns and alien species prominence in weed communities of irrigated orchards in Mediterranean areas. Agric. Ecosyst. Environ. 2017, 249, 247–255. [Google Scholar] [CrossRef]
- Mas, M.T.; Poggio, S.L.; Verdú, A.M.C. Weed community structure of mandarin orchards under conventional and integrated management in northern Spain. Agric. Ecosyst. Environ. 2007, 119, 305–310. [Google Scholar] [CrossRef]
- Fried, G.; Cordeau, S.; Metay, A.; Kazakou, E. Relative importance of environmental factors and farming practices in shaping weed communities structure and composition in French vineyards. Agric. Ecosyst. Environ. 2019, 275, 1–13. [Google Scholar] [CrossRef]
- Radicetti, E.; Mancinelli, R.; Campiglia, E. Impact of managing cover crop residues on the floristic composition and species diversity of the weed community of pepper crop (Capsicum annuum L.). Crop Prot. 2013, 44, 109–119. [Google Scholar] [CrossRef]
- Ganser, D.; Knop, E.; Albrecht, M. Sown wildflower strips as overwintering habitat for arthropods: Effective measure or ecological trap? Agric. Ecosyst. Environ. 2019, 275, 123–131. [Google Scholar] [CrossRef]
- Alcalá Herrera, R.; Ruano, F.; Gálvez Ramírez, C. Attraction of green lacewings (Neuroptera: Chrysopidae) to native plants used as ground cover in woody Mediterranean agroecosystems. Biol. Control 2019, 139, 104066. [Google Scholar] [CrossRef]
- Sikorska, D.; Macegoniuk, S.; Łaszkiewicz, E.; Sikorski, P. Energy crops in urban parks as a promising alternative to traditional lawns—Perceptions and a cost-benefit analysis. Urban For. Urban Green. 2020, 49, 126579. [Google Scholar] [CrossRef]
- Russo, A.; Bruno, M.; Avola, R.; Cardile, V.; Rigano, D. Reduction of endogenous defense as a possible mechanism by which chamazulene-rich Artemisia arborescens essential oils affect the cell growth of human melanoma cells. Plants 2020, 9, 1000. [Google Scholar] [CrossRef] [PubMed]
- Ammar, S.; Noui, H.; Djamel, S.; Madani, S.; Maggi, F.; Bruno, M.; Romano, D.; Canale, A.; Pavela, R.; Benelli, G. Essential oils from three Algerian medicinal plants (Artemisia campestris, Pulicaria arabica and Saccocalyx satureioides) as new botanical insecticides? Environ. Sci. Pollut. Res. 2020, 27, 26594–26604. [Google Scholar] [CrossRef] [PubMed]
- Bruno, M.; Modica, A.; Catinella, G.; Canlı, C.; Arasoglu, T.; Çelik, S. Chemical composition of the essential oil of Centaurea tomentella Hand.-Mazz. and C. haussknechtii Boiss. (Asteraceae) collected wild in Turkey and its activity on microorganisms affecting historical art craft. Nat. Prod. Res. 2019, 33, 1092–1100. [Google Scholar] [CrossRef]
- Bruno, M.; Bancheva, S.; Maggio, A.; Rosselli, S. Sesquiterpenoids in subtribe Centaureinae (Cass.) Dumort (tribe Cardueae, Asteraceae): Distribution, 13C-NMR spectral data and biological properties. Phytochemistry 2013, 95, 19–93. [Google Scholar] [CrossRef]
- Formisano, C.; Rigano, D.; Senatore, F.; Bancheva, S.; Maggio, A.; Rosselli, S.; Bruno, M. Flavonoids in Subtribe Centaureinae (Cass.) Dumort (tribe Cardueae, Asteraceae): Distribution and 13C-NMR spectral data. Chem. Biodiv. 2012, 9, 2096–2158. [Google Scholar] [CrossRef]
- Formisano, C.; Rigano, D.; Russo, A.; Cardile, V.; Caggia, S.; Arnold, N.A.; Mari, A.; Piacente, S.; Rosselli, S.; Senatore, F.; et al. Phytochemical profile and apoptotic activity of Onopordum cynarocephalum. Planta Med. 2012, 78, 1651–1660. [Google Scholar] [CrossRef]
- Bruno, M.; Maggio, A.; Rosselli, S.; Safder, M.; Bancheva, S. The metabolites of the genus Onopordum (Asteraceae): Chemistry and biological properties. Curr. Org. Chem. 2011, 15, 888–927. [Google Scholar] [CrossRef]
- Page, M.J.; McKenzie, J.E.; Bossuyt, P.M.; Boutron, I.; Hoffmann, T.C.; Mulrow, C.D.; Shamseer, L.; Tetzlaff, J.M.; Akl, E.A.; Brennan, S.E.; et al. The PRISMA 2020 Statement: An Updated Guideline for Reporting Systematic Reviews. Int. J. Surg. 2021, 88, 105906. [Google Scholar] [CrossRef]
- Idolo, M.; Motti, R.; Mazzoleni, S. Ethnobotanical and phytomedicinal knowledge in a long-history protected area, the Abruzzo, Lazio and Molise National Park (Italian Apennines). J. Ethnopharmacol. 2010, 127, 379–395. [Google Scholar] [CrossRef] [PubMed]
- Schicchi, R.; Geraci, A. Verdure Spontanee per l’Alimentazione e La Salute; Palermo University Press: Palermo, Italy, 2021. [Google Scholar]
- De Natale, A.; Menale, B.; Di Lecce, S.; Pollio, A. An ethnobotanical survey of wild edible plants of Campania (Italy). Bull. Reg. Nat. Hist. 2021, 1, 45–110. [Google Scholar] [CrossRef]
- Lentini, F.; Venza, F. Wild food plants of popular use in Sicily. J. Ethnobiol. Ethnomed. 2007, 3, 15. [Google Scholar] [CrossRef] [PubMed]
- Ndom, J.C.; Mbafor, J.T.; Wansi, J.D.; Kamdem, A.W.; Meva′a, L.M.; Vardamides, J.C.; Toukam, F.; Pegyemb, D.; Ngando, T.M.; Laatsch, H.; et al. Sesquiterpene lactones from Crepis camerronica (Asteraceae). Nat. Prod. Res. 2006, 20, 435–442. [Google Scholar] [CrossRef]
- Uncini Manganelli, R.E.; Camangi, F.; Tomei, P.E. L’uso delle Erbe nella Tradizione Rurale della Toscana; Agenzia Regionale per lo Sviluppo e l’Innovazione nel Settore Agricolo-Forestale: Florence, Italy, 2007; Volume 1, p. 92.
- Schröder, E. Ethnobotanik-Ethnobotany: Beiträge und Nachträge zur 5. Internationalen Frachkonferenz; Springer: Berlin/Heidelberg, Germany, 1980; p. 347. [Google Scholar]
- Vardavas, C.I.; Majchrzak, D.; Wagner, K.H.; Elmadfa, I.; Kafatos, A. Lipid concentrations of wild edible greens in Crete. Food Chem. 2006, 99, 822–834. [Google Scholar] [CrossRef]
- Zeghichi, S.; Kallithraka, S.; Simopoulos, A.P.; Kypriotakis, Z. Nutritional composition of selected wild plants in the diet of Crete. In Plants in Human Health and Nutrition Policy; Karger: Basel, Switzerland, 2003; Volume 91, pp. 22–40. [Google Scholar]
- Li, Y.; Li, S.; He, S.; Yue, Y.; Ni, Y. Structural analysis and antidiabetic activity study of three acidic-type polysaccharides from Crepis crocea (Lam.) Babc. Nat. Prod. Res. 2021, 35, 4988–4993. [Google Scholar] [CrossRef]
- Singh, K.N.; Lal, B. Ethnomedicines used against four common ailments by the tribal communities of Lahaul-Spiti in western Himalaya. J. Ethnopharmacol. 2008, 115, 147–159. [Google Scholar] [CrossRef]
- Singh, K.N. Traditional knowledge on ethnobotanical uses of plant biodiversity: A detailed study from the Indian western Himalaya. Biodiv. Res. Conserv. 2012, 28, 63–77. [Google Scholar] [CrossRef]
- Altundag, E.; Ozturk, M. Ethnomedicinal studies on the plant resources of east Anatolia, Turkey. Procedia Soc. Behav. Sci. 2011, 19, 756–777. [Google Scholar] [CrossRef]
- Çakılcıoğlu, U.; Sengün, M.T.; Türkoğlu, Đ. An ethnobotanical survey of medicinal plants of Yazıkonak and Yurtbası districts of Elazığ province, Turkey. J. Med. Plants Res. 2010, 4, 567–572. [Google Scholar] [CrossRef]
- Ertuğ, F. An ethnobotanical study in central Anatolia (Turkey). Econ. Bot. 2000, 54, 155–182. [Google Scholar] [CrossRef]
- Kisiel, W.; Barszcz, B. Phenolics from Crepis rhoeadifolia. Fitoterapia 1996, 67, 284–285. [Google Scholar]
- Chamberlin, R.V. The ethno-botany of the Gosiute Indians of Utah. In Memoirs of the American Anthropological Association; Leopold Classic Library: Amsterdam, The Netherlands, 1911; Volume 5, Part 5. [Google Scholar]
- Dalar, A. Plant taxa used in the treatment of diabetes in Van Province, Turkey. Int. J. Second. Metab. 2018, 5, 170–184. [Google Scholar] [CrossRef]
- Munira, S.; Kabir, H.; Bulbul, I.J.; Nesa, L.; Muhit, A.; Haque, I. Pharmacological activities of Youngia japonica extracts. Annu. Res. Rev. Biol. 2018, 25, 1–14. [Google Scholar] [CrossRef]
- Ooi, L.S.; Wang, H.; He, Z.; Ooi, V.E. Antiviral activities of purified compounds from Youngia japonica (L.) DC (Asteraceae, Compositae). J. Ethnopharmacol. 2006, 106, 187–191. [Google Scholar] [CrossRef] [PubMed]
- Rahman, A.H.M.M. An ethnobotanical investigation on Asteraceae family at Rajshahi, Bangladesh. Acad. J. Med. Plants 2013, 1, 92–100. [Google Scholar] [CrossRef]
- Russo, R.; Restucci, B.; Vassalo, A.; Cortese, L.; D’Ambola, M.; Montagnaro, S.; Ciarcia, R.; Florio, S.; De Tommasi, N.; Severino, L. Toxicity of Crepis lacera in grazing ruminants. BMC Vet. Res. 2018, 14, 74. [Google Scholar] [CrossRef]
- Khatib, C.; Nattouf, A.; Hasan Agha, M.I. Ethnobotanical survey of medicinal herbs in the Western region in Syria (Latakia and Tartus). Res. Sq. 2021, 1–75. [Google Scholar] [CrossRef]
- Fleurentin, J.; Hoefler, C.; Lexas, A.; Mortierb, F.; Pelt, J.M. Hepatoprotective properties of Crepis rueppellii and Anisotes trisulcus: Two traditional medicinal plants of Yemen. J. Ethnopharmacol. 1986, 16, 105–111. [Google Scholar] [CrossRef]
- Chekole, G.; Asfaw, Z.; Kelbessa, E. Ethnobotanical study of medicinal plants in the environs of Tara-gedam and Amba remnant forests of Libo Kemkem District, northwest Ethiopia. J. Ethnobiol. Ethnomed. 2015, 11, 4. [Google Scholar] [CrossRef]
- Akyol, Y.; Altan, Y. Ethnobotanical studies in the Maldan Village (Province Manisa, Turkey). Marmara Pharm. J. 2013, 17, 21–25. [Google Scholar] [CrossRef]
- Kilic, O.; Bagci, E. An ethnobotanical survey of some medicinal plants in Keban (Elazığ-Turkey). J. Med. Plants Res. 2013, 7, 1675–1684. [Google Scholar] [CrossRef]
- Sansanelli, S.; Tassoni, A. Wild food plants traditionally consumed in the area of Bologna (Emilia Romagna region, Italy). J. Ethnobiol. Ethnomed. 2014, 10, 69. [Google Scholar] [CrossRef] [PubMed]
- Ranfa, A.; Bodesmo, M. An ethnobotanical investigation of traditional knowledge and uses of edible wild plants in the Umbria Region, Central Italy. J. Appl. Bot. Food Qual. 2017, 90, 246–258. [Google Scholar] [CrossRef]
- Biscotti, N.; Del Viscio, G.; Bonsanto, D. Indagine etnobotanica sull’uso alimentare tradizionale di piante selvatiche in un comprensorio montano della regione Puglia (Subappennino Dauno, Provincia di Foggia). Atti Soc. Tosc. Sci. Nat. Mem. Ser. B 2018, 125, 17–29. [Google Scholar] [CrossRef]
- Pieroni, A.; Nebel, S.; Cassandra Quave, C.; Münz, H.; Heinrich, M. Ethnopharmacology of liakra: Traditional weedy vegetables of the Arbëreshë of the Vulture area in southern Italy. J. Ethnopharmacol. 2002, 81, 165–185. [Google Scholar] [CrossRef]
- Atzei, A.D. Le Piante nella Tradizione Popolare della Sardegna; Delfino, C., Ed.; Carlo Delfino Publisher & C. Snc: Sassari, Italy, 2003. [Google Scholar]
- Loi, M.C.; Poli, F.; Sacchetti, G.; Selenu, M.B.; Ballero, M. Ethnopharmacology of Ogliastra (Villagrande Strisaili, Sardinia, Italy). Fitoterapia 2004, 75, 277–295. [Google Scholar] [CrossRef]
- Gonzalez-Tejero, M.R.; Molero-Mesa, J.; Casares-Porcel, M.; Martinez Lirola, M.J. New contributions to the ethnopharmacology of Spain. J. Ethnopharmacol. 1995, 45, 157–165. [Google Scholar] [CrossRef]
- Simopoulos, A.P.; Gopalan, C. (Eds.) Plants in Human Health and Nutrition Policy; Karger Medical and Scientific Publishers: Basel, Switzerland, 2003; Volume 91, pp. 22–40. [Google Scholar] [CrossRef]
- Harborne, J.B. The rare flavone isoetin as a yellow flower pigment in Heywoodiella oligocephala and in other Cichorieae. Phytochemistry 1978, 17, 915–917. [Google Scholar] [CrossRef]
- Panfili, G.; Niro, S.; Bufano, A.; D’Agostino, A.; Fratianni, A.; Paura, B.; Falasca, L.; Cinquanta, L. Bioactive compounds in wild asteraceae edible plants consumed in the mediterranean diet. Plant Foods Hum. Nutr. 2020, 75, 540–546. [Google Scholar] [CrossRef]
- Zidorn, C. Sesquiterpene lactones and their precursors as chemosystematic markers in the tribe Cichorieae of the Asteraceae. Phytochemistry 2008, 69, 2270–2296. [Google Scholar] [CrossRef]
- Ahmed, A.A.; Mahmoud, A.A.; Hammam, M.A.S.; Abd El-Razek, M.H.; Mabry, T.J. A sesquiterpene lactone and furocoumarin from Crepis aspera. Rev. Latinoam. Quim. 2000, 28, 143–145. [Google Scholar]
- Kisiel, W. Hypocretenolides from Crepis aurea. Fitoterapia 1994, 65, 381. [Google Scholar]
- Michalska, K.; Kisiel, W.; Zidorn, C. Sesquiterpene lactones from Crepis aurea (Asteraceae, Cichorieae). Biochem. System. Ecol. 2013, 46, 1–3. [Google Scholar] [CrossRef]
- Kisiel, W.; Kohlmünzer, S. Ixerin F from Crepis biennis. Planta Med. 1987, 53, 390. [Google Scholar] [CrossRef] [PubMed]
- Kisiel, W. Sesquiterpene lactone glycosides from Crepis capillaris. Phytochemistry 1984, 23, 1955–1958. [Google Scholar] [CrossRef]
- Kisiel, W. 8-Epidesacylcynaropicrin from Crepis capillaris. Planta Med. 1983, 49, 246–247. [Google Scholar] [CrossRef]
- Kisiel, W. Two new guaianolides from Crepis capillaris. Pol. J. Chem. 1983, 57, 139–143. [Google Scholar]
- Kotti, I.; Barda, C.; Karioti, A.; Skaltsa, H. Sesquiterpene lactones and other secondary metabolites from Crepis commutata (Spreng.) Greuter–Asteraceae. Biochem. System. Ecol. 2019, 86, 103917. [Google Scholar] [CrossRef]
- Kisiel, W.; Michalska, K. Sesquiterpenoids and phenolics from Crepis conyzifolia. Zeitschrift für Naturforschung C 2001, 56, 961–964. [Google Scholar] [CrossRef]
- Kisiel, W.; Jakupovic, J.; Huneck, S. Guaianolides from Crepis crocea. Phytochemistry 1994, 35, 269–270. [Google Scholar] [CrossRef]
- Tsoukalas, M.; Gousiadou, C.; Skaltsa, H. Guaianolides and phenolic constituents from Crepis dioscoridis L., growing wild in Greece. Phytochem. Lett. 2014, 7, 202–206. [Google Scholar] [CrossRef]
- Kisiel, W.; Barszcz, B. Sesquiterpenoids and phenolics from roots of Crepis foetida. Pol. J. Chem. 1999, 73, 569–571. [Google Scholar]
- Barda, C.; Ciric, A.; Soković, M.; Tsoukalas, M.; Skaltsa, H. Phytochemical investigation of Crepis incana Sm. (Asteraceae) endemic to southern Greece. Biochem. System. Ecol. 2018, 80, 59–62. [Google Scholar] [CrossRef]
- Miyase, T.; Ueno, A.; Noro, T.; Kuroyanagi, M.; Fukushima, S. Studies on sesquiterpene glycosides from Crepis japonica Benth. Chem. Pharm. Bull. 1985, 33, 4451–4456. [Google Scholar] [CrossRef][Green Version]
- Giambanelli, E.; D’Antuono, L.F.; Ferioli, F.; Frenich, A.G.; Romero-González, R. Sesquiterpene lactones and inositol 4-hydroxyphenylacetic acid derivatives in wild edible leafy vegetables from Central Italy. J. Food Comp. Anal. 2018, 72, 1–6. [Google Scholar] [CrossRef]
- Kassem, F.F. Guaianolides from Crepis micrantha growing in Egypt. Alex. J. Pharm. Sci. 2007, 21, 55–58. [Google Scholar]
- Kisiel, W.; Zielińska, K.; Joshi, S.P. Sesquiterpenoids and phenolics from Crepis mollis. Phytochemistry 2000, 54, 763–766. [Google Scholar] [CrossRef]
- Fazylova, A.S.; Turdybekov, K.M.; Kadirberlina, G.M.; Rakhimova, B.B.; Adekenov, S.M. Molecular structure of crepidioside A and isolipidiol from Crepis multicaulis. Chem. Nat. Compd. 2000, 36, 177–180. [Google Scholar] [CrossRef]
- Zhao, A.; Peng, X.; Tang, C.; Zhang, R. Isolation and identification of sesquiterpenes from Crepis napifera. Yaoxue Xuebao 2000, 35, 442–444. [Google Scholar]
- Wu, S.; Luo, X.; Ma, Y.; Hao, X.; Wu, D. Anti-gastric ulcer sesquiterpene glycosides from Crepis napifera. Yaoxue Xuebao 2002, 37, 33–36. [Google Scholar]
- Michalska, K.; Szneler, E.; Kisiel, W. Structure elucidation of an unusual new sesquiterpene lactone glucoside ester from Crepis pannonica. Magn. Res. Chem. 2016, 54, 175–177. [Google Scholar] [CrossRef] [PubMed]
- Kisiel, W.; Gromek, D. Guaianolides from Crepis pulchra. Pol. J. Chem. 1994, 68, 535–538. [Google Scholar] [CrossRef]
- Casinovi, C.G.; Fardella, G.; Rossi, C. 4,5-Didydro-11-nor-11-hydroxy-D7,11-santonin, a new nor-sesquiterpene-γ-lactone found in Crepis pygmaea. Planta Med. 1982, 44, 186–187. [Google Scholar] [CrossRef] [PubMed]
- Rossi, C.; Evidente, A.; Menghini, A. A nor-sesquiterpene-c-lactone found in Crepis pygmaea. Phytochemistry 1985, 24, 603–604. [Google Scholar] [CrossRef]
- Kisiel, W.; Barszcz, B. Sesquiterpene lactone glycosides from Crepis pyrenaica. Phytochemistry 1995, 39, 1395–1397. [Google Scholar] [CrossRef]
- Kisiel, W.; Barszcz, B. Sesquiterpene lactone lactones from Crepis rhoeadifolia. Phytochemistry 1996, 43, 823–825. [Google Scholar] [CrossRef]
- Ebada, S.S.; El-Kashef, D.H.; Müller, W.E.G.; Proksch, P. Cytotoxic eudesmane sesquiterpenes from Crepis sancta. Phytochem. Lett. 2019, 33, 46–48. [Google Scholar] [CrossRef]
- Ebada, S.S.; Al-Jawabri, N.A.; Youssef, F.S.; Albohy, A.; Aldalaien, S.M.; Disi, A.M.; Proksch, P. In vivo antiulcer activity, phytochemical exploration, and molecular modelling of the polyphenolic-rich fraction of Crepis sancta extract. Inflammopharmacology 2020, 28, 321–331. [Google Scholar] [CrossRef]
- Kisiel, W.; Kohlmünzer, S. Sesquiterpene lactones from Crepis setosa Hall. Acta Soc. Bot. Pol. 1990, 59, 81–85. [Google Scholar] [CrossRef][Green Version]
- Kisiel, W. Guaianolides from Crepis sibirica. Fitoterapia 1995, 66, 276. [Google Scholar]
- Kisiel, W.; Kohlmünzer, S. Sesquiterpene lactone glycosides from Crepis tectorum. Pol. J. Chem. 1989, 63, 527–530. [Google Scholar] [CrossRef]
- Kisiel, W.; Kohlmünzer, S. A sesquiterpene lactone glycoside from Crepis tectorum. Phytochemistry 1989, 28, 2403–2404. [Google Scholar] [CrossRef]
- Adekenov, S.M.; Kadirberlina, G.M.; Turdybekov, K.M.; Struchkov, Y.T. Terpenoids of Crepis tectorum. Molecular and crystal structure of the sesquiterpene lactone 8-epideacylcinaropicrin. Chem. Nat. Compd. 1991, 27, 562–565. [Google Scholar] [CrossRef]
- Zidorn, C.; Ellmerer-Müller, E.P.; Stuppner, H. Guaianolides from Calycocorsus stipitatus and Crepis tingitana. Phytochemistry 1999, 50, 1061–1062. [Google Scholar] [CrossRef]
- Barbetti, P.; Casinovi, C.G.; Santurbano, B.; Longo, R. A grosheimin from Crepis virens. Collect. Czech. Chem. Commun. 1979, 44, 3123–3127. [Google Scholar]
- Kisiel, W.; Michalska, K.; Szneler, E. Sesquiterpene lactones from Crepis zacintha. Pol. J. Chem. 2002, 76, 1571–1576. [Google Scholar] [CrossRef]
- Zidorn, C.; Schubert, B.; Stuppner, H. Phenolics as chemosystematic markers in and for the genus Crepis (Asteraceae, Cichorieae). Sci. Pharm. 2008, 76, 743–750. [Google Scholar] [CrossRef]
- Màñez, S.; Recio, M.C.; Giner, R.M.; Sanz, M.J.; Terencio, M.C.; Peris, J.B.; Stübing, G.; Rios, J.L. A chematoxonomic review of the subtribe crepidinase based on its phenol constituents. Biochem. System. Ecol. 1994, 22, 297–305. [Google Scholar] [CrossRef]
- Zidorn, C.; Schubert, B.; Stuppner, H. Altitudinal differences in the contents of phenolics in flowering heads of three members of the tribe Lactuceae (Asteraceae) occurring as introduced species in New Zealand. Biochem. Syst. Ecol. 2005, 33, 855–872. [Google Scholar] [CrossRef]
- Rees, S.; Harborne, J.B. Flavonoids and other phenolics of Cichorium and related members of the Lactuceae (Compositae). Bot. J. Linn. Soc. 1984, 89, 313–319. [Google Scholar] [CrossRef]
- Zengin, G. Crepis foetida L. subsp. rhoeadifolia (Bieb.) Celak. as a source of multifunctional agents: Cytotoxic and phytochemical evaluation. J. Funct. Foods 2015, 17, 698–708. [Google Scholar] [CrossRef]
- Bakar, F.; Acıkara, Ö.B.; Ergene, B.; Nebioğlu, S.; Çitoğlu, G.S. Antioxidant activity and phytochemical screening of some asteraceae plants. Turk. J. Pharm. Sci. 2015, 12, 123–132. [Google Scholar] [CrossRef]
- Ooi, L.S.; Wang, H.; Luk, C.-W.; Ooi, V.E. Anticancer and antiviral activities of Youngia japonica (L.) DC (Asteraceae, Compositae). J. Ethnopharmacol. 2004, 94, 117–122. [Google Scholar] [CrossRef]
- Màñez, S.; Giner, R.M.; Recio, M.C.; Terencio, M.C.; Rios, J.L. Phenolics of Crepis and their taxonomic implications. Planta Med. 1992, 58 (Suppl. S1), A698–A699. [Google Scholar] [CrossRef]
- Zidorn, C.; Stuppner, H. Evaluation of chemosystematic characters in the genus Leontodon. Taxon 2001, 50, 115–133. [Google Scholar] [CrossRef]
- Fraisse, D.; Felgines, C.; Texier, O.; Lamaison, J.L. Caffeoyl derivatives: Major antioxidant compounds of some wild herbs of the Asteraceae family. Food Nutr. Sci. 2011, 2, 181–192. [Google Scholar] [CrossRef]
- Zidorn, C.; Ellmerer-Müller, E.P.; Stuppner, H. A germacranolide and three hydroxybenzyl alcohol derivatives from Hieracium murorum and Crepis bocconi. Phytochem. Anal. 2001, 12, 281–285. [Google Scholar] [CrossRef]
- Epifano, F.; Genovese, S. Euphorbol acetate from Crepis lacera. Chem. Nat. Comp. 2012, 48, 910–911. [Google Scholar] [CrossRef]
- He, S.; Li, Y.; Li, S.; Peng, Z.; Li, X.; Ni, Y. Structural characterization of the polysaccharide CTP3-E from Crepis turczaniowii C. A. Mey. Chin. Pharm. J. 2013, 48, 1959–1964. [Google Scholar] [CrossRef]
- Ni, Y.; Lu, F.; Hao, X. Study on chemical constituents in Crepis turczanilwii. Chin. J. Inf. Tradit. Chin. Med. 2007, 14, 51–52. [Google Scholar]
- Pedreiro, S.; da Ressurreição, S.; Lopes, M.; Cruz, M.T.; Batista, T.; Figueirinha, A.; Ramos, F. Crepis vesicaria L. subsp. taraxacifolia leaves: Nutritional profile, phenolic composition and biological properties. Int. J. Environ. Res. Public Health 2021, 18, 151. [Google Scholar] [CrossRef] [PubMed]
- Neff, W.E.; Adlof, R.O.; Konishi, H.; Weisleder, D. High-performance liquid chromatography of the triacylglycerols of Vernonia galamensis and Crepis alpina seed oils. J. Am. Oil Chem. Soc. 1993, 70, 449–455. [Google Scholar] [CrossRef]
- Earle, F.R.; Barclay, A.S.; Wolff, I.A. Compositional variation in seed oils of the Crepis genus. Lipids 1966, 1, 325–327. [Google Scholar] [CrossRef] [PubMed]
- Spencer, G.F.; Plattner, R.D.; Wayne Miller, R. (-)-(S,S)-12-hydroxy-13-octadec-cis-9-enolide, a 14-membered lactone from Crepis conyzaefolia seed oil. Phytochemistry 1977, 16, 764–766. [Google Scholar] [CrossRef]
- Spencer, G.F. Epoxyoctadecadienoic acids from Crepis conyzaefolia seed oil. Phytochemistry 1977, 16, 282–284. [Google Scholar] [CrossRef]
- Barda, C.; Grafakou, M.E.; Kalpoutzakis, E.; Heilmann, J.; Skaltsa, H. Chemical composition of Crepis foetida L. and C. rubra L. volatile constituents and evaluation of the in vitro anti-inflammatory activity of salicylaldehyde rich volatile fraction. Biochem. System. Ecol. 2021, 96, 104256. [Google Scholar] [CrossRef]
- Badalamenti, N.; Ilardi, V.; Rosselli, S.; Bruno, M. The ethnobotany, phytochemistry and biological properties of genus Ferulago—A review. J. Ethnopharmacol. 2021, 274, 114050. [Google Scholar] [CrossRef]
- Mcewen, S.A.; Collignon, P.J. Antimicrobial resistance: A one health perspective. Microbiol. Spectr. 2018, 6, 2. [Google Scholar] [CrossRef]
- O’Neill, J. Tackling Drug-Resistant Infections Globally: Final Report and Recommendations; Government of the United Kingdom: London, UK, 2016.
- Badalamenti, N.; Russi, S.; Bruno, M.; Maresca, V.; Vaglica, A.; Ilardi, V.; Zanfardino, A.; Di Napoli, M.; Varcamonti, M.; Cianciullo, P.; et al. Dihydrophenanthrenes from a sicilian accession of Himantoglossum robertianum (Loisel.) P. Delforge showed antioxidant, antimicrobial, and antiproliferative activities. Plants 2021, 10, 2776. [Google Scholar] [CrossRef]
- Di Napoli, M.; Maresca, V.; Varcamonti, M.; Bruno, M.; Badalamenti, N.; Basile, A.; Zanfardino, A. (+)-(E)-Chrysanthenyl acetate: A molecule with interesting biological properties contained in the Anthemis secundiramea (Asteraceae) flowers. Appl. Sci. 2020, 10, 6808. [Google Scholar] [CrossRef]
- Bruno, M.; Milia, A.; Catinella, G.; Bancheva, S. Volatile components from aerial parts of Centaurea diffusa and C. micrantha ssp. melanosticta and their biocidal activity on microorganisms affecting historical art crafts. Nat. Prod. Commun. 2018, 13, 1179–1182. [Google Scholar] [CrossRef]
- Mattio, L.; Catinella, G.; Iriti, M.; Vallone, L. Inhibitory activity of stilbenes against filamentous fungi. Ital. J. Food Saf. 2021, 10, 8461. [Google Scholar] [CrossRef] [PubMed]
- Mattio, L.M.; Catinella, G.; Dallavalle, S.; Pinto, A. Stilbenoids: A natural arsenal against bacterial pathogens. Antibiotics 2020, 9, 336. [Google Scholar] [CrossRef] [PubMed]
- Catinella, G.; Mattio, L.M.; Musso, L.; Arioli, S.; Mora, D.; Beretta, G.L.; Zaffaroni, N.; Pinto, A.; Dallavalle, S. Structural requirements of benzofuran derivatives dehydro-δ-and dehydro-ε-viniferin for antimicrobial activity against the foodborne pathogen listeria monocytogenes. Int. J. Mol. Sci. 2020, 21, 2168. [Google Scholar] [CrossRef]
- Okmen, A.S. Antioxidant and antibacterial activities of different plants extracts against Staphylococcus aureus isolated from soccer player’s shoes and knowledge and applications about foot hygiene of the soccer players. Afr. J. Tradit. Complement. Altern. Med. 2015, 12, 143. [Google Scholar] [CrossRef][Green Version]
- Didem, D.O.; Berrin, O.; Sanem, H.; Mecit, V. Assessment of antioxidant, antibacterial, antimycobacterial, and antifungal activities of some plants used as folk remedies in Turkey against dermatophytes and yeast-like fungi. Turk. J. Biol. 2012, 36, 672–686. [Google Scholar] [CrossRef]
- Badalamenti, N.; Modica, A.; Ilardi, V.; Bruno, M. Chemical constituents and biological properties of genus Doronicum (Asteraceae). Chem. Biodivers. 2021, 18, e2100631. [Google Scholar] [CrossRef]
- Badalamenti, N.; Modica, A.; Ilardi, V.; Bruno, M.; Maresca, V.; Zanfardino, A.; Di Napoli, M.; Castagliuolo, G.; Varcamonti, M.; Basile, A. Daucus carota subsp. maximus (Desf.) Ball from Pantelleria, Sicily (Italy): Isolation of essential oils and evaluation of their bioactivity. Nat. Prod. Res. 2021, in press. [Google Scholar] [CrossRef]
- Badalamenti, N.; Ilardi, V.; Rosselli, S.; Bruno, M.; Maggi, F.; Leporini, M.; Falco, T.; Loizzo, M.R.; Tundis, R. Ferulago nodosa subsp. geniculata (Guss.) Troia & Raimondo from Sicily (Italy): Isolation of essential oil and evaluation of its bioactivity. Molecules 2020, 25, 3249. [Google Scholar] [CrossRef]
- Rosselli, S.; Tundis, R.; Bruno, M.; Leporini, M.; Falco, T.; Gagliano Candela, R.; Badalamenti, N.; Loizzo, M.R. Ceiba speciosa (A. St.-Hil.) seeds oil: Fatty acids profiling by GC-MS and NMR and bioactivity. Molecules 2020, 25, 1037. [Google Scholar] [CrossRef] [PubMed]
- Sut, S.; Maggi, F.; Bruno, S.; Badalamenti, N.; Quassinti, L.; Bramucci, M.; Beghelli, D.; Lupidi, G.; Dall’Acqua, S. Hairy Garlic (Allium subhirsutum) from Sicily (Italy): LC-DAD-MSn analysis of secondary metabolites and in vitro biological properties. Molecules 2020, 25, 2837. [Google Scholar] [CrossRef] [PubMed]
- Magurano, F.; Sucameli, M.; Picone, P.; Micucci, M.; Baggeri, M.; Marchi, A.; Bucci, P.; Gioacchini, S.; Catinella, G.; Borgonovo, G.; et al. Antioxidant activity of Citrus limonoids and investigation of their virucidal potential against SARS-CoV-2 in cellular models. Antioxidants 2021, 10, 1794. [Google Scholar] [CrossRef] [PubMed]
- Cardullo, N.; Catinella, G.; Floresta, G.; Muccilli, V.; Rosselli, S.; Rescifina, A.; Bruno, M.; Tringali, C. Synthesis of rosmarinic acid amides as antioxidative and hypoglycemic agents. J. Nat. Prod. 2019, 82, 573–582. [Google Scholar] [CrossRef]
- Tawaha, K.; Alali, F.Q.; Gharaibeh, M.; Mohammad, M.; El-Elimat, T. Antioxidant activity and total phenolic content of selected Jordanian plant species. Food Chem. 2007, 104, 1372–1378. [Google Scholar] [CrossRef]
- Sytar, O. Phenolic acids in the inflorescences of different varieties of buckwheat and their antioxidant activity. J. King Saud. Univ. Sci. 2015, 27, 136–142. [Google Scholar] [CrossRef]
- Mikropoulou, E.; Vougogiannopoulou, K.; Kalpoutzakis, E.; Sklirou, A.; Skaperda, Z.; Houriet, J.; Wolfender, J.L.; Trougakos, I.; Kouretas, D.; Halabalaki, M.; et al. Phytochemical composition of the decoctions of greek edible greens (chórta) and evaluation of antioxidant and cytotoxic properties. Molecules 2018, 23, 1541. [Google Scholar] [CrossRef]
- Mattio, L.M.; Catinella, G.; Pinto, A.; Dallavalle, S. Natural and nature-inspired stilbenoids as antiviral agents. Eur. J. Med. Chem. 2020, 202, 112541. [Google Scholar] [CrossRef]
- Quan, N.V.; Dang Xuan, T.; Teschke, R. Potential hepatotoxins found in herbal medicinal products: A systematic review. Int. J. Mol. Sci. 2020, 21, 5011. [Google Scholar] [CrossRef]
- Teschke, R.; Vongdala, N.; Quan, N.V.; Quy, T.N.; Dang Xuan, T. Metabolic toxification of 1,2-unsaturated pyrrolizidine alkaloids causes human hepatic sinusoidal obstruction syndrome: The updateint. Int. J. Mol. Sci. 2021, 22, 10419. [Google Scholar] [CrossRef]












| Taxa | Area | Parts | Vernacular Name | Properties | Ref. |
|---|---|---|---|---|---|
| C. biennis | Abruzzo, Italy | young leaves | cicorietta selvatica | Ingredients of the soup ‘brodo del pastore’. Eaten in salads | [26] |
| C. bivoniana | Sicily, Italy | leaves | luciazzi | Used in soups, salads and omelettes | [27] |
| C. bursifolia | Campania, Italy | aerial parts | margarita | Aerial part used in the preparation of ‘minestra terrana’. Basal leaves in salads and soups | [28] |
| Sicily, Italy | leaves | ricuttedda; rizzaredda | Boiled or pan fried leaves as food. Diuretic and antioxidant | [27,29] | |
| C. cameroonica | Cameroon | Treatment of diarrhoea, wounds and fungal infections | [30] | ||
| C. capillaris | Tuscany, Italy | leaves | Raw or boiled leaves are used for salads and soups. Laxative properties. | [31] | |
| C. carbonaria | Africa | Myometrial contractions | [32] | ||
| C. commutata | Crete, Greece | leaves | glucosides | Leaves are usually eaten boiled in salads | [33,34] |
| C. crocea | China | Relieving cough and asthma, antipyretic, benefitting Qi, and reducing inflammation | [35] | ||
| C. flexuosa | Himalaya | whole plant | homa-sili | For jaundice and liver disorder | [36,37] |
| C. foetida ssp. rhoeadifolia | Turkey | aerial parts | yürek out | For cardiovascular diseases | [38,39] |
| Turkey | leaves | kohum | Food | [40] | |
| Anti-cancerous and wound healing agent | [41] | ||||
| C. glauca | Utah, USA | leaves | Leaves have been eaten among Gosiute Indians | [42] | |
| C. hakkarica | Turkey | aerial parts | tahliş | A decoction of the leaves and flowers is used in the treatment of diabetes | [43] |
| C. hyemalis | Sicily, Italy | leaves | luciazzi | Used in soups, salads and with eggs | |
| C. japonica | China | For reducing pyrexia, detoxification and atopy. Antitussive, febrifuge. It is also used in the treatment of boils and snakebites. Internally for the remedies of cold, sore throat, and diarrhoea, and externally as medicated paste to relieve shingles | [44,45] | ||
| Bangladesh | leaves r. | crepis | The leaves applied to wounds act as a styptic and heal them quickly. The juice of the root possesses antilithic properties. | [46] | |
| C. lacera | Italy | Fatal if frequently ingested by ruminants such as sheep and cattle. Detoxification, purification, diuretic and hypoglycemic effects | [47] | ||
| Campania, Italy | aerial parts | Young basal leaves, flower buds in salads or cooked vegetables | [28] | ||
| C. leontodontoides | Campania, Italy | aerial parts | Aerial part as ingredient of ‘minestra terrana’. Young basal leaves, flower buds in salads or cooked vegetables | [28] | |
| Tuscany, Italy | leaves | Boiled leaves for salads and soups. Laxative properties | [31] | ||
| C. neglecta | Tuscany, Italy | leaves | Boiled leaves for salads and soups | [31] | |
| Campania, Italy | aerial parts | spaccapreti | Young basal leaves, flower buds In salads or cooked vegetables. | [28] | |
| C. neglecta ssp. corymbosa | Campania, Italy | aerial parts | lattarulo | Basal leaves in soups | [28] |
| C. pulchra | Campania, Italy | aerial parts | Young basal leaves, flower buds in salads or cooked vegetable | [28] | |
| C. reuteriana | Syria | young leaves | souraga | As salad for relieve joint diseases pain and as appetiser | [48] |
| C. rueppellii | Yemen | For hepatic disorders (jaundice, hepatitis and gallstones) | [49] | ||
| Ethiopia | roots | Fresh roots are crushed and orally given with water to livestock against Anthrax | [50] | ||
| C. sancta | Turkey | stems | düğmelik | Cooked as digestive | [51] |
| Turkey | fleaves | keklik otu | For eye diseases and as vasodilators | [52] | |
| Emilia Romagna (Italy) | young leaves | ciocapiat | Food, pan-fried or salad, and for its diuretic and laxative effects | [53] | |
| Tuscany, Italy | leaves | Boiled leaves are used for salads and soups | [31] | ||
| Umbria, Italy | leaves | crepide, dolcetta, radicchiella di terrasanta | The young leaves are eaten, boiled or raw | [54] | |
| C. setosa | Campania, Italy | aerial parts | occhi neureddi; occhi rossi; ragno purcello | Young basal leaves, flower buds in salads or cooked vegetable. Basal leaves eaten in soups or as a cooked vegetable | [28] |
| Tuscany, Italy | leaves | Boiled leaves are used for salads and soups | [31] | ||
| C. syriaca | Syria | young leaves | souraga | As salad for relieve joint diseases pain and as appetiser | [48] |
| C. vesicaria | Crete, Greece | leaves | Leaves are usually eaten boiled in salads | [34] | |
| Abruzzo, Italy | young leaves | cicorietta selvatica; cicorietta di montagna | Ingredients of soup “brodo del pastore”. Eaten in salads | [26] | |
| Apulia, Italy | young leaves | cequariùnné | Cooked and consumed as vegetable | [55] | |
| Campania, Italy | aerial parts | lattarole; cicurioni; scazzuoppoli; occhi rossi | Young basal leaves, flower buds in salads or cooked vegetables. Aerial part as ingredient of “minestra maritata”. Basal leaves eaten in soups or as a cooked vegetable | [28] | |
| Tuscany, Italy | leaves | Boiled leaves are used for salads and soups | [31] | ||
| Umbria, Italy | leaves | crepide; dolcetta; radicchiella di terrasanta | The young leaves are eaten, boiled or raw | [54] | |
| Lucania, Italy | leaves | marolje; marosk; liakra sperte | Among the Arbëresh (ethnic Albanian) communities the young whorls are eaten boiled and fried | [56] | |
| Sardinia, Italy | leaves | cicoria areste | The broth of the boiled leaves is used for abdominal colic. The raw or cooked leaves have hypoglycemic, laxative and hypertensive effects | [57,58] | |
| Sicily, Italy | leaves | pizzocorvu | Boiled leaves with laxative and diuretic effects. Used in soups, salads and with eggs. | [27,29] | |
| C. vesicaria ssp. haenseleri | Spain | aerial parts | arnica; flor de arnica | For stomach ailments and problems of arterial circulation; externally applied for wound healing, bruises and inflammations | [59] |
| C. vesicaria ssp. taraxicifolia | Emilia Romagna (Italy) | young leaves | radicchiella; strecapugno | Salads, pan-fried, omelettes, pasta dough. Depurative, refreshing, blood cleaning, diuretic, laxative (cooking water, food) | [53] |
| Taxa | Origin | Parts | Sesquiterenes | Ref. |
|---|---|---|---|---|
| C. aspera | Egypt | aerial parts | 8-epi-isolipidiol (42) | [64] |
| C. aurea | Poland | roots | 14-hydroxy-hypocretenolide (53), 14-hydroxy-hypocretenolide-β-D-glucopyranoside (54), 11,13α-dihydro-14-hydroxy-hypocretenolide-β-D-glucopyranoside (55) | [65] |
| Poland | roots | 8-epi-deacylcynaropicrin (4), integrifolin-3-O-β-D-glucopyranoside (10), ixerisoside A (14), 15, ixerin N (21), ixerin M (22), 8β-hydroxy-4β,15-dihydrozaluzanin C (26), 40, 8-epi-isolipidiol (42), 8-epi-isolipidiol-3-O-β-D-glucopyranoside (50) | [66] | |
| C. biennis | Poland | roots | ixerin F (41) | [67] |
| C. cameroonica | Cameroon | aerial parts | 3β,9β-dihydroxyguaian-4(15),10(14),11(13)-trien-6,12-olide (2), 8-desacylcynaropicrin (3), 8α-hydroxy-4α(15),11β(13)-tetrahydrozaluzanin C (47) | [30] |
| C. capillaris | Poland | roots | integrifolin (8-epi-desacylcynaropicrin) (4), integrifolin-3-O-β-D-glucopyranoside (10), 16, 17, 8-epi-isolipidiol (42), 8-epi-isolipidiol-3-O-β-D-glucopyranoside (50) | [68] |
| Poland | aerial parts | integrifolin (8-epi-desacylcynaropicrin) (4), 8-epi-isolipidiol (42), 8-epi-isoamberboin (49) | [69,70] | |
| C. commutata | Greece | aerial parts | integrifolin-3-O-β-D-glucopyranoside (10), 8-epi-grosheimin (24), 8-epi-isolipidiol (42), 3-acetyl-8-epi-isolipidiol (43), 8-epi-isoamberboin (49) | [71] |
| C. conyzifolia | Poland | roots | 8β-hydroxy-4β,15-dihydrozaluzanin C (26), 4 β,15,1lβ,13-tetrahydrozaluzanin-C-3-O-β-glucopyranoside (31), 8-epi-isolipidiol (42), 8-epi-isolipidiol-3O-β-D-glucopyranoside (50) | [72] |
| C. crocea | Mongolia | aerial parts | integrifolin (8-epi-desacylcynaropicrin) (4), 1lβ,13-dihydrointegrifolin (36), 8-epi-isoamberboin (49) | [73] |
| C. dioscoridis | Greece | aerial parts | integrifolin (4), integrifolin-3O-β-D-glucopyranoside (10), 8-epi-grosheimin (24), crepiside C (29), 1lβ,13-dihydrointegrifolin (36), 1lβ,13-dihydrointegrifolin-3-O-β-D-glucopyranoside (38), 11β,13-dihydro-8-β-hydroxy-4α,15-dihydrozaluzanin 8-epi-isolipidiol-3-O-β-D-glucopyranoside (50), C-3-O-β-D-glucopyranoside (51), 1lβ,13-dihydrocrepiside C (52), 8-deoxylactucin (56) | [74] |
| C. foetida | Poland | roots | 9α-hydroxy-1lβ,13-dihydrozaluzanin (35), 1lβ,13-dihydroglucozaluzanin C (37), ixerin F (41), 44, 45 | [75] |
| C. incana | Greece | aerial parts | crepiside E (9), grosheimin (25), crepiside D (28), taraxinic acid-1′O-β-D-glucopyranoside (72), taraxinic acid (73) | [76] |
| C. japonica | Japan | whole plant | glucozaluzanin C (8), crepiside E (9), crepiside G (11), crepiside B (13), crepiside A (18), crepiside H (19), crepiside I (20), crepiside D (28), crepiside C (29), crepiside F (30) | [77] |
| C. lacera | Italy | aerial parts | integrifolin-3-O-β-D-glucopyranoside (10), 8-epi-grosheimin (24), 8-β-hydroxydehydrozaluzanin C (5), 1lβ,13-dihydrointegrifolin-3-O-β-D-glucopyranoside (38) | [47] |
| C. leontodontoides | Italy | aerial parts | 8-deoxylactucin (56), lactucin (57), 1lβ,13-dihydro-8-deoxylactucin (58), 15-deoxylactucin-8-sulfate (60), 1lβ,13-dihydrolactucin-8-sulfate (61) | [78] |
| C. micrantha | Egypt | aerial parts | 8-desacylcynaropicrin (3), 1lβ,13-dihydrointegrifolin (36), 8-epi-isolipidiol (42) | [79] |
| C. mollis | Poland | roots | integrifolin-3-O-β-D-glucopyranoside (10), 16, 17, 8-epi-grosheimin (24), 1lβ,13-dihydrozaluzanin C (34), 1lβ,13-dihydrointegrifolin-3-O-β-D-glucopyranoside (38), 40, ixerin F (41), 8-epi-isolipidiol (42), 9α-hydroxy-4b,15,1lβ,13-tetra-hydro-dehydrozaluzanin C (48), 8-epi-isolipidiol-3-O-β-D-glucopyranoside (50), picriside B (71) | [80] |
| C. multicaulis | Kazakh. | aerial parts | crepidioside A (59) | [81] |
| C. napifera | China | roots | napiferoside (65) | [82] |
| China | roots | taraxinic acid-1′O-β-D-glucopyranoside (72), 1lβ,13-dihydro-taraxinic acid-1′O-β-D-glucopyranoside (74) | [83] | |
| C. pannonica | Poland | roots | 9α-hydroxy-3-deoxyzaluzanin C (1), macrocliniside A (7), integrifolin-3O-β-D-glucopyranoside (10), pannonicoside (23), 8β-hydroxy-4β,15-dihydrozaluzanin C-3O-β-D-glucopyranoside (32), 8-β-hydroxy-4α,15-dihydrozaluzanin C-3-O-β-D-glucopyranoside (33), 40, ixerin F (41), 8-epi-isolipidiol-3O-β-D-glucopyranoside (50), 11β,13-dihydro-8-β-hydroxy-4α,15-dihydrozaluzanin C-3-O-β-D-glucopyranoside (51) | [84] |
| C. pulchra | Poland | roots | diaspanosise A (6), macrocliniside A (7), glucozaluzanin C (8), 8-epi-isoamberboin (49) | [85] |
| C. pygmaea | Italy | whole plant | 1,2-4,5-tetrahydro-1l-nor-l1-hydroxy-Δ7,11-santonin (63), 4,5-dihydro-1l-nor-l1-hydroxy-Δ7,11-santonin (64) | [86,87] |
| Poland | roots | macrocliniside A (7), integrifolin-3O-β-D-glucopyranoside (10), 16, 17, 8β-hydroxy-4β,15-dihydrozaluzanin C-3O-β-D-glucopyranoside (32), ixerin F (41), 8-epi-isolipidiol-3O-β-D-glucopyranoside (50) | [88] | |
| C. rhoeadifolia | Poland | roots | 1lβ,13-dihydroglucozaluzanin C (37), ixerin F (41), 44, 45 | [89] |
| C. sancta | Jordan | aerial parts | 3-oxo-di-nor-eudesm-4-en-6α-hydroxy-11-oic acid (66), 3-oxo-6β-hydroxy-γ-costic acid (67), 3-oxo-γ-costic acid (68), 3-oxo-γ-costic acid methyl ester (69), (6R,9S)-roseoside (70) | [90] |
| Jordan | aerial parts | 3-oxo-γ-costic acid (68), 3-oxo-γ-costic acid methyl ester (69) | [91] | |
| Italy | aerial parts | 8-deoxylactucin (56), 1lβ,13-dihydro-8-deoxylactucin (58), lactucopicrin (62) | [78] | |
| C. setosa | Poland | roots | 9α-hydroxy-1lβ,13-dihydrozaluzanin (35), 1lβ,13-dihydroglucozaluzanin C (37), 8α-hydroxy-1lβ,13-dihydroglucozaluzanin (39), ixerin F (41) | [92] |
| C. sibirica | Poland | roots | glucozaluzanin C (8), integrifolin-3O-β-D-glucopyranoside (10), 8-epi-isoamberboin (49) | [93] |
| C. tectorum | Poland | roots | glucozaluzanin C (8), tectoroside (12), 16, 17, ixerin F (41), isolipidiol (46), 8-epi-isolipidiol-3-O-β-D-glucopyranoside (50) | [94,95] |
| Kazakh. | aerial parts | integrifolin (8-epi-desacylcynaropicrin) (4), 8-epi-isolipidiol (42) | [81,96] | |
| C. tingitana | Spain | sub aerial parts | integrifolin-3O-β-D-glucopyranoside (10), ixerisoside A (14) | [97] |
| C. vesicaria | Italy | aerial parts | 8-deoxylactucin (56), 1lβ,13-dihydro-8-deoxylactucin (58) | [78] |
| C. virens | Italy | flowers | 8-epi-grosheimin (24) | [98] |
| C. zacintha | Poland | roots | integrifolin-3O-β-D-glucopyranoside (10), ixerin N (21), 8β-hydroxy-4β,15-dihydrozaluzanin C (26), 27, 8β-hydroxy-4β,15-dihydrozaluzanin C-3O-β-D-glucopyranoside (32), 8-β-hydroxy-4α,15-dihydrozaluzanin C-3-O-β-D-glucopyranoside (33), 1lβ,13-dihydroglucozaluzanin C (37), ixerin F (41), 44, 45, 8-epi-isolipidiol-3-O-β-D-glucopyranoside (50), 11β,13-dihydro-8-β-hydroxy-4α,15-dihydrozaluzanin C-3-O-β-D-glucopyranoside (51) | [99] |
| Taxa | Origin | Parts | Sesquiterenes | Ref. |
|---|---|---|---|---|
| C. alpestris | Austria | aerial parts | luteolin (76), luteolin 7-O-glucoside (80), luteolin 7-O-glucuronide (81), luteolin 7-O-gentiobioside (82), luteolin 4′-O-glucoside (83) | [100] |
| C. aurea | Austria | aerial parts | luteolin (76), luteolin 7-O-glucoside (80), luteolin 7-O-glucuronide (81) | [100] |
| C. biennis | Austria | aerial parts | luteolin (76), luteolin 7-O-glucoside (80), luteolin 7-O-glucuronide (81), luteolin 7-O-gentiobioside (82) | [100] |
| C. capillaris | Austria | aerial parts | luteolin (76), luteolin 7-O-glucoside (80), | [100] |
| Spain | aerial parts | luteolin (76), luteolin 7-O-glucoside (80), luteolin 4′-O-glucoside (83) | [101] | |
| New Zeland | flowers | luteolin (76), luteolin 7-O-glucoside (80), luteolin 7-O-glucuronide (81) | [102] | |
| C. commutata | Greece | aerial parts | luteolin (76), luteolin 7-O-glucuronide (81) | [71] |
| C. conyzifolia | Austria | aerial parts | luteolin (76), luteolin 7-O-glucoside (80), luteolin 7-O-glucuronide (81), luteolin 4′-O-glucoside (79) | [100] |
| C. dioscoridis | Greece | aerial parts | apigenin-4′-O-glucoside (83), isorhamnetin (85) | [74] |
| C. divaricata | luteolin (76), quercetin (84) | [103] | ||
| C. foetida | Italy | aerial parts | luteolin (76), luteolin 7-O-glucoside (80), luteolin 7-O-gentiobioside (82) | [100] |
| C. foetida ssp. rhoeadifolia | Turkey | flowers | apigenin (75), quercetin (84), (+)-catechin (94) | [104] |
| Turkey | aerial parts | luteolin (76) | [105] | |
| C. froelichiana. | Italy | aerial parts | luteolin (76), luteolin 7-O-glucoside (80), luteolin 7-O-glucuronide (81), luteolin 4′-O-glucoside (83) | [100] |
| C. incana | Greece | aerial parts | luteolin (76), luteolin 7-O-glucoside (80), quercetin 3-glucoside (93) | [76] |
| C. jacquinii ssp. kerneri | Italy | aerial parts | luteolin (76), luteolin 7-O-glucoside (80) | [100] |
| C. japonica | luteolin-7-O-glucoside (80) | [45,106] | ||
| C. micrantha | Egypt | aerial parts | apigenin (75), luteolin (76) | [79] |
| C. mollis | Austria | aerial parts | luteolin (76), luteolin 7-O-glucoside (80), luteolin 7-O-glucuronide (81), luteolin 7-O-gentiobioside (82) | [100] |
| C. nemausensis | Italy | aerial parts | luteolin (76), luteolin 7-O-glucoside (80), luteolin 7-O-glucuronide (81), luteolin 4′-O-glucoside (83) | [100] |
| C. paludosa | Germany | aerial parts | luteolin (76), luteolin 7-O-glucoside (80), luteolin 7-O-glucuronide (81), luteolin 4′-O-glucoside (83) | [100] |
| C.pygmaea | Italy | aerial parts | luteolin (76), luteolin 7-O-glucoside (80), luteolin 7-O-gentiobioside (82), luteolin 7-O-glucuronide (81) | [100] |
| luteolin (76), quercetin (84) | [103] | |||
| C. rhaetica | Austria | aerial parts | luteolin (76), luteolin 7-O-glucoside (80), luteolin 7-O-glucuronide (81) | [100] |
| C. sancta | Jordan | aerial parts | kumatakenin (86), penduletin (87) | [90] |
| Jordan | aerial parts | kumatakenin (86), penduletin (87), pachypodol (88), jaceidin (89), chrysosplentin (90), casticin (91) 3,5,7-tri-O-methyl-6-methoxy-kaempferol (92) | [91] | |
| C. senecioides | luteolin (76), isoetin (77), scutellarein (78) | [107] | ||
| C. tectorum | isoetin (77), scutellarein (78) | [107] | ||
| C. terglouensis | Switzerland | aerial parts | luteolin (76), luteolin 7-O-glucoside (80), luteolin 7-O-glucuronide (81), luteolin 7-O-gentiobioside (82) | [100] |
| C. tingitana | Spain | aerial parts | luteolin (76), luteolin 7-O-glucoside (80), luteolin 7-O-glucuronide (81), luteolin 4′-O-glucoside (83) | [100] |
| C. vesicaria | Spain | aerial parts | luteolin (76), luteolin 7-O-glucoside (80), luteolin 4′-O-glucoside (83) | [101,108] |
| Taxa | Origin | Parts | Compounds | Ref. |
|---|---|---|---|---|
| C. alpestris | Austria | aerial parts | chlorogenic acid (104), caffeoyltartaric acid (105), 3,5-di-O-dicaffeoylquinic acid (106), cichoric acid (108) | [100] |
| C. aspera | Egypt | aerial parts | oleanolic acid (129), sitosterol 3-O-β-D-glucopyranoside (131) | [64] |
| C. aurea | Poland | roots | syringing (109), 5-methoxy-eugenyl-4-O-β-glucopyranoside (114) | [66] |
| Austria | aerial parts | chlorogenic acid (104), caffeoyltartaric acid (105), 3,5-di-O-dicaffeoylquinic acid (106), cichoric acid (108) | [100] | |
| C. biennis | Austria | aerial parts | chlorogenic acid (104), caffeoyltartaric acid (105), 3,5-di-O-dicaffeoylquinic acid (106), cichoric acid (108) | [100] |
| C. bocconi | Germany | sub aerial parts | 4-hydroxybenzoic acid 4-β-D-glucopyranosyloxy-benzyl ester (111) | [111] |
| C. capillaris | Austria | aerial parts | chlorogenic acid (104), caffeoyltartaric acid (105), 3,5-di-O-dicaffeoylquinic acid (106), cichoric acid (108) | [100] |
| Spain | aerial parts | chlorogenic acid (104), 3,5-di-O-dicaffeoylquinic acid (106) cichoriin (120) | [101] | |
| New Zeland | flowers | caffeic acid (98), chlorogenic acid (104), caffeoyltartaric acid (105), 3,5-di-O-caffeoylquinic acid (106), cichoric acid (108) | [102] | |
| C. commutata | Greece | aerial parts | p-anisic acid (97), E-caffeic acid (98), p-hydroxyphenylacetic acid (100) | [71] |
| C. conyzifolia | Poland | roots | 5-methoxy-eugenyl-4-O-β-glucopyranoside (114), eugenyl-4-O-β-glucopyranoside (115), cichoriin (120) | [72] |
| Austria | aerial parts | chlorogenic acid (104), 3,5-di-O-dicaffeoylquinic acid (106) | [100] | |
| C. crocea | polysaccarhides | [35] | ||
| C. dioscoridis | Greece | aerial parts | E-caffeic acid (98), ferulic acid (99), isosalicin (116) | [74] |
| C. foetida | Italy | aerial parts | chlorogenic acid (104), caffeoyltartaric acid (105), 3,5-di-O-dicaffeoylquinic acid (106), cichoric acid (108) | [100] |
| C. foetida ssp. rhoeadifolia | Turkey | floers | protocatechuic acid (95), gallic acid (96), caffeic acid (98), chlorogenic acid (104), rosmarinic acid (112) | [104] |
| Turkey | aerial parts. | chlorogenic acid (104) | [105] | |
| Turkey | roots | chlorogenic acid (104) | [105] | |
| C. froelichiana | Italy | aerial parts | chlorogenic acid (104), caffeoyltartaric acid (105), 3,5-di-O-dicaffeoylquinic acid (106), cichoric acid (108) | [100] |
| C. incana | Greece | aerial parts | (3S,5R)-loliolide (123) | [76] |
| Greece | roots | oleanolic acid (129), lupeol (130) | [76] | |
| C. jacquinii ssp. kerneri | Italy | aerial parts | chlorogenic acid (104), caffeoyltartaric acid (105), 3,5-di-O-dicaffeoylquinic acid (106), cichoric acid (108) | [100] |
| C. japonica | 3,5-di-O-dicaffeoylquinic acid (106), 3,4-di-O-caffeoylquinic acid (107) | [45,106] | ||
| C. lacera | Italy | aerial parts | euphorbol acetate (127) | [112] |
| Italy | aerial parts | p-hydroxy-benzyl 7-O-β-glucopyranoside (118), pynoresynol (121) | [47] | |
| C. mollis | Poland | roots | 3-hydroxy-1-(4-hydroxy-3-methoxyphenyl)-1-propanone (101), 5-methoxy-eugenyl-4-O-β-glucopyranoside (114) | [80] |
| Austria | aerial parts | chlorogenic acid (104), caffeoyltartaric acid (105), 3,5-di-O-dicaffeoylquinic acid (106), cichoric acid (108) | [100] | |
| C. napifera | China | roots | acetate taraxasterol (128) | [82] |
| C. nemausensis | Italy | aerial parts | chlorogenic acid (104), caffeoyltartaric acid (105), 3,5-di-O-dicaffeoylquinic acid (106), cichoric acid (108) | [100] |
| C. paludosa | Germany | aerial parts | chlorogenic acid (104), caffeoyltartaric acid (105), 3,5-di-O-dicaffeoylquinic acid (106), cichoric acid (108) | [100] |
| C. pannonica | Poland | roots | syringing (109), dihydrosyringin (110), 5-methoxy-eugenyl-4-O-β-glucopyranoside (114), eugenyl-4-O-β-glucopyranoside (115), benzyl-O-β-glucopyranoside (117), 3-indolecarbaldehyde (124), nicotinamide (125) | [84] |
| C.pygmaea | Italy | aerial parts | chlorogenic acid (104), caffeoyltartaric acid (105), 3,5-di-O-dicaffeoylquinic acid (106), cichoric acid (108) | [100] |
| C. rhaetica | Austria | aerial parts | chlorogenic acid (104), 3,5-dicaffeoylquinic acid, caffeoyltartaric acid (105), cichoric acid (108) | [100] |
| C. rhoeadifolia | Poland | roots | isosalicn (102), helicin(103), dehydrodiconyferyl alcohol diacetate (119) | [41] |
| C. terglouensis | Switzerland | aerial parts | chlorogenic acid (104), caffeoyltartaric acid (105), 3,5-di-O-dicaffeoylquinic acid (106), cichoric acid (108) | [100] |
| C. tingitana | Spain | aerial parts | chlorogenic acid (104), 3,5-di-O-dicaffeoylquinic acid (106) | [100] |
| C. turczaniowii | polysaccarhides | [113] | ||
| phillyrin (122), acetate taraxasterol (128), β-sitosterol (II) (132) | [114] | |||
| C. vesicaria | Spain | aerial parts | chlorogenic acid (104), 4,4′-dihydroxy-stilbene (113) | [101,108] |
| C. vesicaria ssp. taraxicifolia | Portugal | aerial parts | caffeic acid (98), cichoric acid (108), quinic acid (126) | [61] |
| Taxa | Origin | Parts | Fatty Acids | Ref. |
|---|---|---|---|---|
| C. alpina | USA | seeds | crepenynic acid; palmitic acid, stearic acid, oleic acid, linoleic acid | [115] |
| C. aurea | Yugoslavia | seeds | vernolic acid, crepenynic acid, palmitic acid, stearic acid, oleic acid, linoleic acid | [116] |
| C. biennis | Poland | seeds | vernolic acid, crepenynic acid, palmitic acid, stearic acid, oleic acid, linoleic acid | [116] |
| C. conyzaefolia | USA | seeds | (-)-S,S,-l2-hydroxy-l3-octadec-cis-9-enolide, cis-12,13-epoxy-octadeca-trans-6-cis-9-dienoic acid, cis-12,13-epoxyoctadeca-cis-6-cis-9-dienoic acid, vernolic acid | [117,118] |
| C. foetida | Turkey | seeds | crepenynic acid, palmitic acid, stearic acid, oleic acid, linoleic acid | [116] |
| Crepis foetida ssp. rhoeadifolia | Turkey | seeds | crepenynic acid, palmitic acid, stearic acid, oleic acid, linoleic acid | [116] |
| C. intermedia | USA | seeds | vernolic acid, crepenynic acid, palmitic acid, stearic acid, oleic acid, linoleic acid | [116] |
| C. lacera | Italy | aerial parts | palmitoleic acid, stearic acid, palmitic acid, linolenic acid, linoleic acid, oleic acid, isopalmitic acid | [111] |
| C. occidentalis | USA | seeds | vernolic acid, crepenynic acid, palmitic acid, stearic acid, oleic acid, linoleic acid | [116] |
| C. rubra | USA | seeds | crepenynic acid, palmitic acid, stearic acid, oleic acid, linoleic acid | [116] |
| C. thomsonii | Pakistan | seeds | crepenynic acid, palmitic acid, stearic acid, oleic acid, linoleic acid | [116] |
| C. vesicaria ssp. taraxicifolia | Spain | seeds | vernolic acid, crepenynic acid, palmitic acid, stearic acid, oleic acid, linoleic acid | [116] |
| Portugal | leaves | α-linolenic acid, linoleic acid, oleic acid; palmitic acid, gondoic acid, arachidic acid, stearic acid; margaric acid | [114] |
Publisher’s Note: MDPI stays neutral with regard to jurisdictional claims in published maps and institutional affiliations. |
© 2022 by the authors. Licensee MDPI, Basel, Switzerland. This article is an open access article distributed under the terms and conditions of the Creative Commons Attribution (CC BY) license (https://creativecommons.org/licenses/by/4.0/).
Share and Cite
Badalamenti, N.; Sottile, F.; Bruno, M. Ethnobotany, Phytochemistry, Biological, and Nutritional Properties of Genus Crepis—A Review. Plants 2022, 11, 519. https://doi.org/10.3390/plants11040519
Badalamenti N, Sottile F, Bruno M. Ethnobotany, Phytochemistry, Biological, and Nutritional Properties of Genus Crepis—A Review. Plants. 2022; 11(4):519. https://doi.org/10.3390/plants11040519
Chicago/Turabian StyleBadalamenti, Natale, Francesco Sottile, and Maurizio Bruno. 2022. "Ethnobotany, Phytochemistry, Biological, and Nutritional Properties of Genus Crepis—A Review" Plants 11, no. 4: 519. https://doi.org/10.3390/plants11040519
APA StyleBadalamenti, N., Sottile, F., & Bruno, M. (2022). Ethnobotany, Phytochemistry, Biological, and Nutritional Properties of Genus Crepis—A Review. Plants, 11(4), 519. https://doi.org/10.3390/plants11040519
