Afforestation of Taxodium Hybrid Zhongshanshan Influences Soil Bacterial Community Structure by Altering Soil Properties in the Yangtze River Basin, China
Abstract
1. Introduction
2. Materials and Methods
2.1. Study Location and Site Description
2.2. Experiment Design and Soil Sampling
2.3. Laboratory Analysis
2.4. Soil DNA Extraction, PCR and Processing of the High-Throughput Sequencing Data
2.5. Statistical Analyses
3. Results
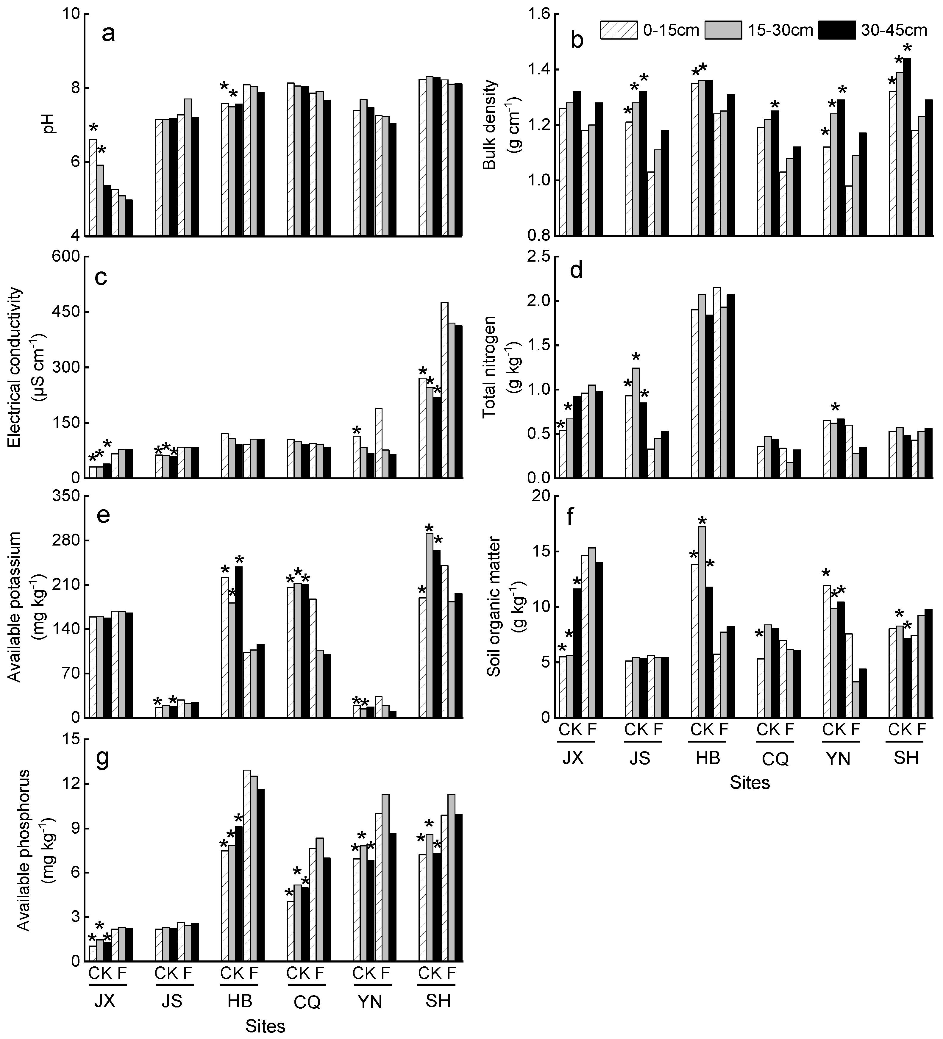
3.1. Changes of Soil Attributes following T. Zhongshanshan Afforestation
3.2. Changes of Soil Bacterial Community Structure following T. Zhongshanshan Afforestation
3.3. Correlations between the Soil Properties and the Microbial Community Composition
4. Discussion
4.1. Effect of T. Zhongshanshan Plantation Establishment on Soil Attributes
4.2. Effect of T. Zhongshanshan Plantation Establishment on Soil Bacterial Community
5. Conclusions
Author Contributions
Funding
Acknowledgments
Conflicts of Interest
References
- Qu, S.; Wang, L.; Lin, A.; Zhu, H.; Yuan, M. What drives the vegetation restoration in Yangtze River Basin, China: Climate change or anthropogenic factors? Ecol. Indic. 2018, 90, 438–450. [Google Scholar] [CrossRef]
- Bryan, B.A.; Gao, L.; Ye, Y.; Sun, X.; Hou, X. China’s response to a national land-system sustainability emergency. Nature 2018, 559, 193–204. [Google Scholar] [CrossRef] [PubMed]
- Bargués Tobella, A.; Reese, H.; Almaw, A.; Bayala, J.; Malmer, A.; Laudon, H.; Ilstedt, U. The effect of trees on preferential flow and soil infiltrability in an agroforestry parkland in semiarid Burkina Faso. Water Resour. Res. 2014, 50, 3342–3354. [Google Scholar] [CrossRef]
- Paul, K.I.; Polglase, P.J.; Nyakuengama, J.; Khanna, P. Change in soil carbon following afforestation. For. Ecol. Manag. 2002, 168, 241–257. [Google Scholar] [CrossRef]
- Hong, S.; Piao, S.; Chen, A.; Liu, Y.; Liu, L.; Peng, S.; Sardans, J.; Sun, Y.; Peñuelas, J.; Zeng, H. Afforestation neutralizes soil pH. Nat. Commun. 2018, 9, 520. [Google Scholar] [CrossRef]
- Friggens, N.L.; Hester, A.J.; Mitchell, R.J.; Parker, T.C.; Subke, J.; Wookey, P.A. Tree planting in organic soils does not result in net carbon sequestration on decadal timescales. Glob. Chang. Biol. 2020, 26, 5178–5188. [Google Scholar] [CrossRef]
- Lima, A.; Silva, I.R.; Neves, J.; Novais, R.F.; Barros, N.F.; MendonçA, E.S.; Smyth, T.J.; Moreira, M.S.; Leite, F.P. Soil organic carbon dynamics following afforestation of degraded pastures with Eucalyptus in southeastern Brazil. For. Ecol. Manag. 2006, 235, 219–231. [Google Scholar] [CrossRef]
- Zhang, D.; Jian, Z.; Yang, W.; Wu, F. Effects of afforestation with Eucalyptus grandis on soil physicochemical and microbiological properties. Soil Res. 2012, 50, 167. [Google Scholar] [CrossRef]
- Wang, K.; Qiu, Z.; Zhang, M.; Li, X.; Fang, X.; Zhao, M.; Shi, F. Effect of afforestation mode on rhizosphere soil physicochemical properties and bacterial community structure of two major tree species in Xiong’an New Area. For. Ecol. Manag. 2022, 520, 120361. [Google Scholar] [CrossRef]
- Diao, M.; Yang, K.; Zhu, J.; Li, M.; Xu, S. Native broad-leaved tree species play key roles on maintaining soil chemical and microbial properties in a temperate secondary forest, Northeast China. For. Ecol. Manag. 2020, 462, 117971. [Google Scholar] [CrossRef]
- Hua, J.; Han, L.; Wang, Z.; Gu, C.; Yin, Y. Morpho-anatomical and photosynthetic responses of Taxodium hybrid Zhongshanshan 406 to prolonged flooding. Flora 2017, 231, 29–37. [Google Scholar] [CrossRef]
- Shi, Q.; Hua, J.; Creech, D.; Yin, Y. Biomass estimation and carbon storage of Taxodium hybrid Zhongshanshan plantations in the Yangtze River Basin. Forests 2022, 13, 1725. [Google Scholar] [CrossRef]
- Qi, B.; Yang, Y.; Yin, Y.; Xu, M.; Li, H. De novo sequencing, assembly, and analysis of the Taxodium hybrid Zhongshanshan roots and shoots transcriptome in response to short-term waterlogging. BMC Plant Biol. 2014, 14, 201. [Google Scholar] [CrossRef]
- Wang, Z.; Gu, C.; Xuan, L.; Hua, J.; Shi, Q.; Fan, W.; Yin, Y.; Yu, F. Identification of suitable reference genes in Taxodium hybrid Zhongshanshan under abiotic stresses. Trees 2017, 31, 1519–1530. [Google Scholar] [CrossRef]
- Xuan, L.; Hua, J.; Zhang, F.; Wang, Z.; Pei, X.; Yang, Y.; Yin, Y.; Creech, D.L. Identification and functional analysis of ThADH1 and ThADH4 genes involved in tolerance to waterlogging stress in Taxodium hybrid Zhongshanshan 406. Genes 2021, 12, 225. [Google Scholar] [CrossRef]
- Wu, G.; Zhang, Z.F.; Song, F.; Liu, X.; Ma, C.H.; Pang, X.M.; Zhang, J.L.; Liu, Y.Y. Determination of total nitrogen in plant fruits by graphite digestion apparatus and automatic azotometer. Rock Min. Anal. 2020, 39, 311–317. [Google Scholar]
- Shi, Q.; Yin, Y.; Wang, Z.; Creech, D.; Hua, J. Influence of soil properties on the performance of the Taxodium hybrid Zhongshanshan 407 in a short-term pot experiment. Soil Sci. Plant Nutr. 2017, 63, 145–152. [Google Scholar] [CrossRef]
- Deng, Y.; Jiang, Y.; Yang, Y.; He, Z.; Luo, F.; Zhou, J. Molecular ecological network analyses. BMC Bioinf. 2012, 13, 1–20. [Google Scholar] [CrossRef]
- Zhou, J.; Deng, Y.; Luo, F.; He, Z.; Tu, Q.; Zhi, X. Functional molecular ecological networks. MBio 2010, 1, e110–e169. [Google Scholar] [CrossRef]
- Shi, Y.Y.; Deng, M.J.; Jian, T.; Song, X.C.; Wang, H.L.; Qin, Q.Y. Forest soil nutrient classification method based on spatial analysis. Pratacult. Sci. 2016, 33, 1112–1117. [Google Scholar]
- Nsabimana, D.; Klemedtson, L.; Kaplin, B.; Wallin, G. Soil carbon and nutrient accumulation under forest plantations in southern Rwanda. Afr. J. Environ. Sci. Technol. 2008, 2, 142–149. [Google Scholar]
- Mishra, A.; Sharma, S.; Khan, G. Improvement in physical and chemical properties of sodic soil by 3, 6 and 9 years old plantation of Eucalyptus tereticornis: Biorejuvenation of sodic soil. For. Ecol. Manag. 2003, 184, 115–124. [Google Scholar] [CrossRef]
- Turner, J.; Lambert, M.J.; Johnson, D.W. Experience with patterns of change in soil carbon resulting from forest plantation establishment in eastern Australia. For. Ecol. Manag. 2005, 220, 259–269. [Google Scholar] [CrossRef]
- Hartemink, A.E. Assessing soil fertility decline in the tropics using soil chemical data. Adv. Agron. 2006, 89, 179–225. [Google Scholar]
- Hailu, Z. Ecological Impact Evaluation of Eucalyptus Plantations in Comparison with Agricultural and Grazing Land-Use Types in the Highlands of Ethiopia; Institute of Forest Ecology, Vienna University of Agricultural Sciences: Vienna, Austria, 2002. [Google Scholar]
- Podrázský, V.; Holubík, O.; Vopravil, J.; Khel, T.; Moser, W.; Prknová, H. Effects of afforestation on soil structure formation in two climatic regions of the Czech Republic. J. For. Sci. 2015, 61, 225–234. [Google Scholar] [CrossRef]
- Wang, X.; Zhong, Z.; Li, W.; Liu, W.; Han, X. Effects of Robinia pseudoacacia afforestation on aggregate size distribution and organic C dynamics in the central Loess Plateau of China: A chronosequence approach. J. Environ. Manag. 2020, 268, 110558. [Google Scholar] [CrossRef]
- Wei, X.; Shao, M.; Gale, W.J.; Zhang, X.; Li, L. Dynamics of aggregate-associated organic carbon following conversion of forest to cropland. Soil Biol. Biochem. 2013, 57, 876–883. [Google Scholar] [CrossRef]
- Ren, C.; Chen, J.; Deng, J.; Zhao, F.; Han, X.; Yang, G.; Tong, X.; Feng, Y.; Shelton, S.; Ren, G. Response of microbial diversity to C: N: P stoichiometry in fine root and microbial biomass following afforestation. Biol. Fertil. Soils 2017, 53, 457–468. [Google Scholar] [CrossRef]
- Zhang, Y.; Li, Q.; Chen, Y.L.; Dai, Q.G.; Hu, J. Dynamic change in enzyme activity and bacterial community with long-term rice cultivation in mudflats. Curr. Microbiol. 2019, 76, 361–369. [Google Scholar] [CrossRef]
- Feng, W.; Zhang, Y.; Yan, R.; Lai, Z.; Qin, S.; Sun, Y.; She, W.; Liu, Z. Dominant soil bacteria and their ecological attributes across the deserts in northern China. Eur. J. Soil Sci. 2020, 71, 524–535. [Google Scholar] [CrossRef]
- Su, Y.G.; Jie, L.; Zhang, B.C.; Zhao, H.M.; Gang, H. Habitat-specific environmental factors regulate spatial variability of soil bacterial communities in biocrusts across northern China’s drylands. Sci. Total Environ. 2020, 719, 137479. [Google Scholar] [CrossRef] [PubMed]
- Liu, J.; Dang, P.; Gao, Y.; Zhu, H.; Zhu, H.; Zhao, F.; Zhao, Z. Effects of tree species and soil properties on the composition and diversity of the soil bacterial community following afforestation. For. Ecol. Manag. 2018, 427, 342–349. [Google Scholar] [CrossRef]
- Zhao, F.Z.; Fan, X.D.; Ren, C.J.; Zhang, L.; Han, X.H.; Yang, G.H.; Wang, J.; Doughty, R. Changes of the organic carbon content and stability of soil aggregates affected by soil bacterial community after afforestation. Catena 2018, 171, 622–631. [Google Scholar] [CrossRef]
- Sun, X.; Zhang, L.; Pei, J.; Huang, L.F. Regulatory relationship between quality variation and environment of Cistanche deserticola in three ecotypes based on soil microbiome analysis. Sci. Rep. 2020, 10, 6662. [Google Scholar] [CrossRef]
- Cao, H.; Du, Y.; Gao, G.; Rao, L.; Zhang, Y. Afforestation with Pinus sylvestris var. mongolica remodelled soil bacterial community and potential metabolic function in the Horqin Desert. Glob. Ecol. Conserv. 2021, 29, e01716. [Google Scholar]
- Liu, J.; Yang, Z.; Dang, P.; Zhu, H.; Zhao, Z. Response of soil microbial community dynamics to Robinia pseudoacacia L. afforestation in the Loess Plateau: A chronosequence approach. Plant Soil 2018, 423, 327–338. [Google Scholar] [CrossRef]
- Lozano, Y.M.; Hortal, S.; Armas, C.; Pugnaire, F.I. Interactions among soil, plants, and microorganisms drive secondary succession in a dry environment. Soil Biol. Biochem. 2014, 78, 298–306. [Google Scholar] [CrossRef]







| Sites | Age | Soil Colour | Coordinate | Mean Height (m) | Mean DBH (cm) | CD (m × m) | Density (Stems ha−1) | AGB (t ha−1) |
|---|---|---|---|---|---|---|---|---|
| JX | 6 | red | 116°7′4″ E 28°30′49″ N | 7.7 | 10.7 | 1.6 × 2.2 | 1111 | 20.3 |
| JS | 8 | yellow-brown | 118°49′35″ E 32°10′59″ N | 8.9 | 12.6 | 1.9 × 2.6 | 1111 | 34.8 |
| HB | 9 | yellow-brown | 112°13′37″ E 30°19′34″ N | 10.4 | 14.1 | 2.9 × 4.0 | 1111 | 61.9 |
| CQ | 11 | purple | 108°27′3″ E 30°45′58″ N | 13.4 | 17.1 | 4.4 × 6.1 | 920 | 131.7 |
| YN | 13 | yellow-red | 102°46′41″ E 24°49′43″ N | 13.7 | 23.3 | 5.6 × 6.1 | 1111 | 180.1 |
| SH | 14 | yellow | 121°38′29″ E 31°34′57″ N | 14.2 | 22.7 | 6.4 × 7.2 | 830 | 152.6 |
| Sites | Treatments | Depth (cm) | Shannon | Simpson | Chao1 |
|---|---|---|---|---|---|
| JX | CK | 0–15 | 8.22b | 0.99a | 1513b |
| 15–30 | 8.14b | 0.99a | 1646b | ||
| 30–45 | 8.06b | 0.99a | 1639a | ||
| F | 0–15 | 8.92a | 0.99a | 1723a | |
| 15–30 | 8.98a | 0.99a | 1966a | ||
| 30–45 | 8.64a | 0.99a | 1570a | ||
| JS | CK | 0–15 | 8.34b | 0.99a | 1957a |
| 15–30 | 8.19b | 0.99a | 1721b | ||
| 30–45 | 7.80b | 0.99a | 1329b | ||
| F | 0–15 | 8.90a | 1.00a | 1869a | |
| 15–30 | 8.87a | 1.00a | 2063a | ||
| 30–45 | 8.71a | 0.99a | 1957a | ||
| HB | CK | 0–15 | 8.67b | 0.99a | 2261b |
| 15–30 | 8.60b | 0.99a | 2036b | ||
| 30–45 | 8.40b | 0.99a | 1879a | ||
| F | 0–15 | 9.04a | 1.00a | 2534a | |
| 15–30 | 9.08a | 1.00a | 2524a | ||
| 30–45 | 8.96a | 1.00a | 2316a | ||
| CQ | CK | 0–15 | 8.92a | 0.99a | 2296a |
| 15–30 | 8.64b | 0.99a | 2328a | ||
| 30–45 | 8.42b | 0.99a | 2009b | ||
| F | 0–15 | 9.13a | 1.00a | 2298a | |
| 15–30 | 9.10a | 1.00a | 2342a | ||
| 30–45 | 9.07a | 1.00a | 2382a | ||
| YN | CK | 0–15 | 9.01a | 1.00a | 1922b |
| 15–30 | 9.01a | 1.00a | 2157b | ||
| 30–45 | 8.98a | 1.00a | 2194b | ||
| F | 0–15 | 9.20a | 0.99a | 2395a | |
| 15–30 | 9.15a | 0.99a | 2565a | ||
| 30–45 | 8.96a | 0.97a | 2476a | ||
| SH | CK | 0–15 | 9.03a | 1.00a | 2210a |
| 15–30 | 9.06a | 1.00a | 2205a | ||
| 30–45 | 9.05a | 1.00a | 2194a | ||
| F | 0–15 | 9.11a | 1.00a | 2262a | |
| 15–30 | 9.09a | 0.99a | 2327a | ||
| 30–45 | 8.99a | 0.99a | 2102a |
Publisher’s Note: MDPI stays neutral with regard to jurisdictional claims in published maps and institutional affiliations. |
© 2022 by the authors. Licensee MDPI, Basel, Switzerland. This article is an open access article distributed under the terms and conditions of the Creative Commons Attribution (CC BY) license (https://creativecommons.org/licenses/by/4.0/).
Share and Cite
Shi, Q.; Zhou, Z.; Wang, Z.; Lu, Z.; Han, J.; Xue, J.; Creech, D.; Yin, Y.; Hua, J. Afforestation of Taxodium Hybrid Zhongshanshan Influences Soil Bacterial Community Structure by Altering Soil Properties in the Yangtze River Basin, China. Plants 2022, 11, 3456. https://doi.org/10.3390/plants11243456
Shi Q, Zhou Z, Wang Z, Lu Z, Han J, Xue J, Creech D, Yin Y, Hua J. Afforestation of Taxodium Hybrid Zhongshanshan Influences Soil Bacterial Community Structure by Altering Soil Properties in the Yangtze River Basin, China. Plants. 2022; 11(24):3456. https://doi.org/10.3390/plants11243456
Chicago/Turabian StyleShi, Qin, Zhidong Zhou, Ziyang Wang, Zhiguo Lu, Jiangang Han, Jianhui Xue, David Creech, Yunlong Yin, and Jianfeng Hua. 2022. "Afforestation of Taxodium Hybrid Zhongshanshan Influences Soil Bacterial Community Structure by Altering Soil Properties in the Yangtze River Basin, China" Plants 11, no. 24: 3456. https://doi.org/10.3390/plants11243456
APA StyleShi, Q., Zhou, Z., Wang, Z., Lu, Z., Han, J., Xue, J., Creech, D., Yin, Y., & Hua, J. (2022). Afforestation of Taxodium Hybrid Zhongshanshan Influences Soil Bacterial Community Structure by Altering Soil Properties in the Yangtze River Basin, China. Plants, 11(24), 3456. https://doi.org/10.3390/plants11243456

