The Effect of Frankia and Hebeloma crustiliniforme on Alnus alnobetula subsp. Crispa Growing in Saline Soil
Abstract
1. Introduction
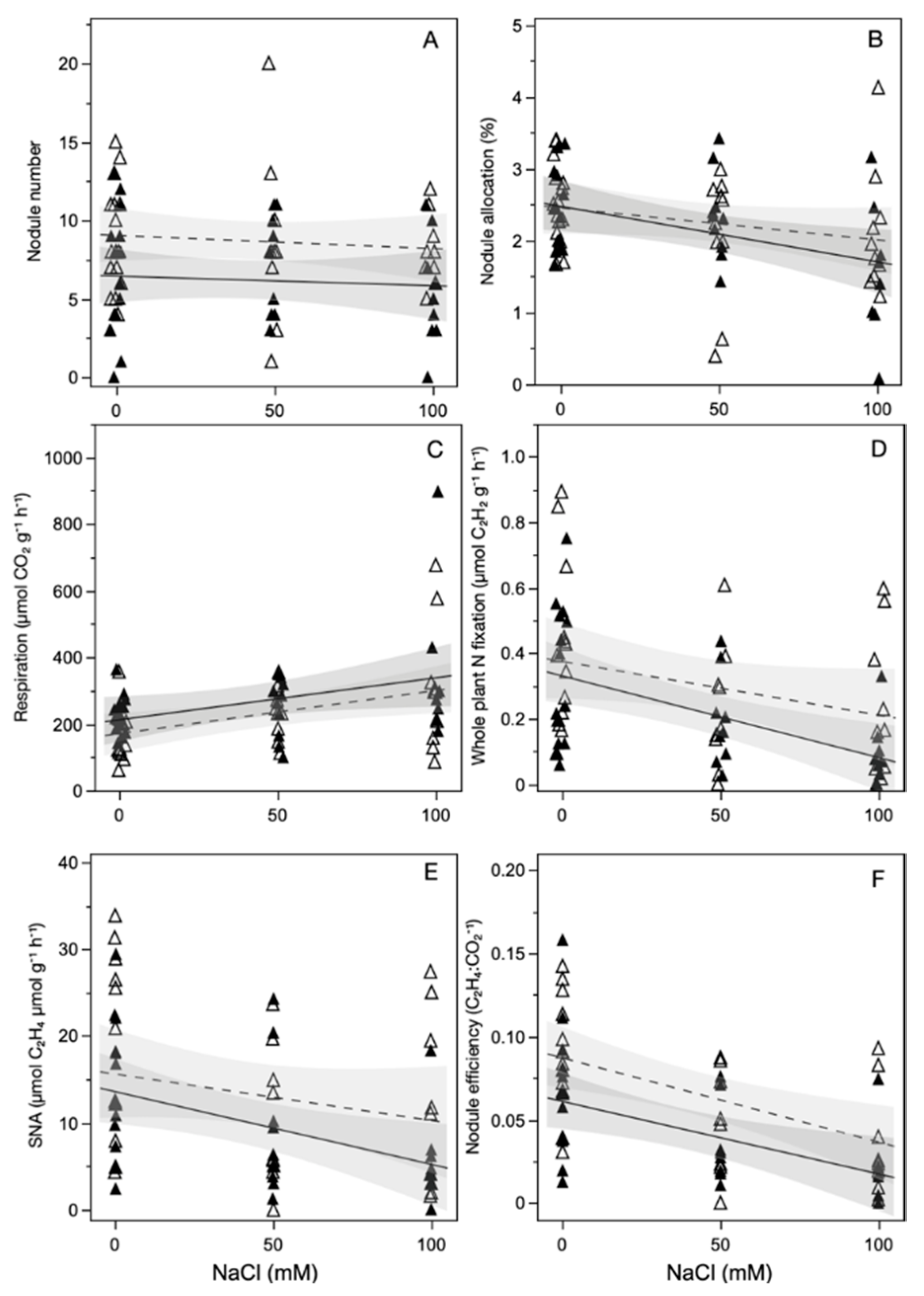
2. Results
3. Discussion
4. Materials and Methods
Author Contributions
Funding
Data Availability Statement
Conflicts of Interest
References
- Munns, R.; Tester, M. Mechanisms of salinity tolerance. Annu. Rev. Plant. Biol. 2008, 59, 651–681. [Google Scholar] [CrossRef] [PubMed]
- Renault, S. Tamarack response to salinity: Effects of sodium chloride on growth and ion, pigment, and soluble carbohydrate levels. Can. J. For. Res. 2005, 35, 2806–2812. [Google Scholar] [CrossRef]
- Renault, S.; Qualizza, C.; MacKinnon, M. Suitability of altai wildrye (Elymus angustus) and slender wheatgrass (Agropyron trachycaulum) for initial reclamation of saline composite tailings of oil sands. Environ. Pollut. 2004, 128, 339–349. [Google Scholar] [CrossRef]
- Bissonnette, C.; Fahlman, B.; Peru, K.M.; Khasa, D.P.; Greer, C.W.; Headley, J.V.; Roy, S. Symbiosis with Frankia sp. benefits the establishment of Alnus viridis ssp. crispa and Alnus incana ssp. rugosa in tailings sand from the Canadian oil sands industry. Ecol. Eng. 2014, 68, 167–175. [Google Scholar] [CrossRef]
- Gupta, B.; Huang, B. Mechanism of Salinity Tolerance in Plants: Physiological, Biochemical, and Molecular Characterization. Int. J. Genom. 2014, 2014, 701596. [Google Scholar] [CrossRef]
- Parida, A.K.; Das, A.B. Salt tolerance and salinity effects on plants: A review. Ecotox. Environ. Safe. 2005, 60, 324–349. [Google Scholar] [CrossRef]
- Shao, J.; Renault, S.; Markham, J. Nitrogen fixation symbiosis and salt tolerance of the boreal woody species Elaeagnus commutata. Physiol. Plant. 2020, 42, 100. [Google Scholar] [CrossRef]
- Chapin III, S.F.; Walker, L.R.; Fastie, C.L.; Sharman, L.C. Mechanisms of primary succession following deglaciation at Glacier Bay, Alaska. Ecol. Monogr. 1994, 64, 149–175. [Google Scholar] [CrossRef]
- Põlme, S.; Bahram, M.; Yamanaka, T.; Nara, K.; Cheng Dai, Y.; Grebenc, T.; Kraigher, H.; Toivonen, M.; Wang, P.-H.; Matsuda, Y.; et al. Biogeography of ectomycorrhizal fungi associated with alders (Alnus spp.) in relation to biotic and abiotic variables at the global scale. New Phytol. 2013, 198, 1239–1249. [Google Scholar] [CrossRef]
- Schwencke, J.; Carú, M. Advances in actinorhizal symbiosis: Host plant-Frankia interactions, biology, and applications in arid land reclamation. Arid Land Res. Manag. 2001, 15, 285–327. [Google Scholar] [CrossRef]
- Vogel, J.G.; Gower, S.T. Carbon and nitrogen dynamics of boreal jack pine stands with and without a green alder understory. Ecosystems 1998, 1, 386–400. [Google Scholar] [CrossRef]
- Perinet, P.; Brouillette, J.G.; Fortin, J.A.; Lalonde, M. Large scale inoculation of actinorhizal plants with Frankia. Plant Soil 1985, 87, 175–183. [Google Scholar] [CrossRef]
- Santi, C.; Bogusz, D.; Franche, C. Biological nitrogen fixation in non-legume plants. Ann. Bot. 2013, 111, 743–767. [Google Scholar] [CrossRef] [PubMed]
- Sera, B. Salt-tolerant trees usable for Central European cities—A review. Hortic. Sci. 2017, 44, 43–48. [Google Scholar] [CrossRef]
- Oshone, R.; Mansour, S.; Tisa, L. Effect of salt stress on the physiology of Frankia sp strain CcI6. J. Biosci. 2013, 38, 699–702. [Google Scholar] [CrossRef]
- Lefrancois, E.; Quoreshi, A.; Khasa, D.; Fung, M.; Whyte, L.G.; Roy, S.; Greer, C.W. Field performance of alder-Frankia symbionts for the reclamation of oil sands sites. Appl. Soil Ecol. 2010, 46, 183–191. [Google Scholar] [CrossRef]
- Landeweert, R.; Hoffland, E.; Finlay, R.D.; Kuyper, T.W.; Van Breemen, N. Linking plants to rocks: Ectomycorrhizal fungi mobilize nutrients from minerals. Trends Ecol. Evol. 2001, 16, 248–254. [Google Scholar] [CrossRef]
- Diagne, N.; Thioulouse, J.; Sanguin, H.; Prin, Y.; Krasova-Wade, T.; Sylla, S.; Galiana, A.; Baudoin, E.; Neyra, M.; Svistoonoff, S.; et al. Ectomycorrhizal diversity enhances growth and nitrogen fixation of Acacia mangium seedlings. Soil Biol. Biochem. 2013, 57, 468–476. [Google Scholar] [CrossRef]
- Yamanaka, T.; Li, C.Y.; Bormann, B.T.; Okabe, H. Tripartite associations in an alder: Effects of Frankia and Alpova diplophloeus on the growth, nitrogen fixation and mineral acquisition of Alnus tenuifolia. Plant Soil 2003, 254, 179–186. [Google Scholar] [CrossRef]
- Roy, S.; Khasa, D.; Greer, C.W. Combining alders, frankiae, and mycorrhizae for the revegetation and remediation of contaminated ecosystems. Can. J. Bot. 2007, 85, 237–251. [Google Scholar] [CrossRef]
- Markham, J.H. The effect of Frankia and Paxillus involutus on the performance of Alnus incana spp. rugosa in mine tailings. Can. J. Bot. 2005, 83, 1384–1390. [Google Scholar] [CrossRef]
- Nguyen, H.; Polanco, M.; Zwiazek, J.J. Gas Exchange and Growth Responses of Ectomycorrhizal Picea mariana, Picea glauca, and Pinus banksiana Seedlings to NaCl and Na2SO4. Plant. Biol. 2008, 8, 646–652. [Google Scholar] [CrossRef] [PubMed]
- Yi, H.; Polanco, C.; MacKinnon, M.; Zwiazek, J.J. Responses of ectomycorrhizal Populus tremuloides and Betula papyrifera seedlings to salinity. Exp. Bot. 2008, 62, 357–363. [Google Scholar] [CrossRef]
- Meharg, A.A.; Cairney, J.W.G. Ectomycorrhizas—Extending the capabilities of rhizosphere remediation? Soil Biol. Biochem. 2000, 32, 1475–1484. [Google Scholar] [CrossRef]
- Markham, J.H.; Zekveld, C. Nitrogen fixation makes allocation to roots independent of nitrogen supply. Can. J. Bot. 2007, 85, 787–793. [Google Scholar] [CrossRef]
- Bloom, A.; Epstein, E. Varietal differences in salt- induced respiration in barley. Plant. Sci. Lett. 1984, 35, 1–3. [Google Scholar] [CrossRef]
- Houlton, B.Z.; Wang, Y.-P.; Vitousek, P.; Field, C.B. A unifying framework for dinitrogen fixation in the terrestrial biosphere. Nature 2008, 454, 327–330. [Google Scholar] [CrossRef]
- Wang, Y.-P.; Houlton, B.Z.; Field, C.B. A model of biogeochemical cycles of carbon, nitrogen, and phosphorus including symbiotic nitrogen fixation and phosphatase production. Glob. Biogeochem. Cycles 2007, 21, gb1018. [Google Scholar] [CrossRef]
- Chodak, M.; Niklinska, M. The effect of different tree species on the chemical and microbial properties of reclaimed mine soils. Biol. Fertl. Soils 2010, 46, 555–566. [Google Scholar] [CrossRef]
- Giardina, C.P.; Huffman, S.; Binkley, D.; Caldwell, B.A. Alders increase soil phosphorus availability in a Douglas-fir plantation. Can. J. For. Res. 1995, 25, 1652–1657. [Google Scholar] [CrossRef]
- Png, G.; Turner, B.L.; Albornoz, F.E.; Hayes, P.E.; Lambers, H.; Laliberté, E. Greater root phosphatase activity in nitrogen-fixing rhizobial but not actinorhizal plants with declining phosphorus availability. J. Ecol. 2017, 105, 1246–1255. [Google Scholar] [CrossRef]
- Flasinski, S.; Zamorski, R.; Kotowska, U. The effect of water and salt stresses on the phosphorus content and acid phosphatase activity in oilseed rape. Acta Soc. Bot. Pol. 1989, 58, 47–57. [Google Scholar] [CrossRef][Green Version]
- Barrett-Lennard, E.G.; Robin, E.G.; Greenway, H. Effect of phosphorus deficiency and water deficit on phosphatase activities from wheat leaves. J. Exp. Bot. 1982, 33, 682–693. [Google Scholar] [CrossRef]
- Sharma, A.; Thakur, M.; Rana, M.; Singh, K. Effect of plant growth hormones and abiotic stresses on germination, growth and phosphatase activities in Sorghum bicolor (L.) Moench seeds. Afr. J. Biotechnol. 2004, 3, 308–312. [Google Scholar] [CrossRef]
- Mushin, T.; Zwiazek, J. Colonization with Hebeloma crustuliniforme increases water conductance and limits shoot sodium uptake in white spruce (Picea glauca) seedlings. Plant Soil 2002, 238, 217–225. [Google Scholar] [CrossRef]
- Bois, G.; Bigras, F.J.; Bertrand, A.; Piche, Y.; Fung, M.Y.P.; Khasa, D.P. Ectomycorrhizal fungi affect the physiological responses of Picea glauca and Pinus banksiana seedlings exposed to an NaCl gradient. Tree Physiol. 2006, 26, 1185–1196. [Google Scholar] [CrossRef]
- Langenfeld-Heyser, R.; Gao, J.; Ducic, T.; Tachd, P.; Lu, C.F.; Fritz, E.; Gafur, A.; Polle, A. Paxillus involutus mycorrhiza attenuate NaCl-stress responses in the salt-sensitive hybrid poplar Populus × canescens. Mycorrhiza 2007, 17, 121–131. [Google Scholar] [CrossRef]
- Ba, A.M.; Balaji, B.; Piche, Y. Effect of time of inoculation on in vitro ectomycorrhizal colonization and nodule initiation in Acacia holosericea seedlings. Mycorrhiza 1994, 4, 109–119. [Google Scholar] [CrossRef]
- Ribeiro-Barros, A.I.; Pawlowski, K.; Ramalho, J.C. Mechanisms of salt stress tolerance in Casuarina: A review of recent research. J. For. Res. 2022, 27, 113–116. [Google Scholar] [CrossRef]
- Batista-Santos, P.; Duro, N.; Rodrigues, A.P.; Semedo, J.N.; Alves, P.; da Costa, M.; Graça, I.; Pais, I.P.; Scotti-Campos, P.; Lidon, F.; et al. Is salt stress tolerance in Casuarina glauca Sieb. ex Spreng. associated with its nitrogen- fixing root- nodule symbiosis? An analysis at the photosynthetic level. Plant Physiol. Biochem. 2015, 96, 97–109. [Google Scholar] [CrossRef]
- Tani, C.; Sasakawa, H. Salt tolerance of Casuarina equisetifolia and Frankia Ceq1 strain isolated from the root nodules of C. equisetifolia. Soil Sci. Plant Nutr. 2003, 49, 215–222. [Google Scholar] [CrossRef]
- Qin, J.; Dong, W.; He, K.; Chen, J.; Liu, J.; Wang, Z. Physiological responses to salinity in silver buffaloberry (Shepherdia argentea) introduced to Qinghai high- cold and saline area, China. Photosynthetica 2010, 48, 51–58. [Google Scholar] [CrossRef]
- Khamzina, A.; Lamers, L.P.M.; Vlek, P.L.G. Nitrogen fixation by Elaeagnus angustifolia in the reclamation of degraded croplands of central Asia. Tree Physiol. 2009, 29, 799–808. [Google Scholar] [CrossRef] [PubMed]
- Maimmaiti, A.; Yunus, Q.; Iwanaga, F.; Mori, F.; Tanaka, K.; Yamanaka, N. Effects of salinity on growth, photosynthesis, inorganic and organic osmolyte accumulation in Elaeagnus oxycarpa seedlings. Acta Physiol. Plant. 2014, 36, 881–892. [Google Scholar] [CrossRef]
- Chen, H.; Renault, S.; Markham, J. The effect of Frankia and multiple ectomycorrhizal fungal species on Alnus growing in low fertility soil. Symbiosis 2020, 80, 207–215. [Google Scholar] [CrossRef]
- Molina, R.; Myrold, D.D.; Li, C.Y. Root symbioses of red alder: Technological opportunities for enhanced regeneration and soil improvement. In The Biology and Management of Red Alder; Schwintzer, C.R., Tjepkema, J.D., Eds.; Oregon State University Press: Corvallis, OR, USA, 1994; pp. 23–46. [Google Scholar]
- Treseder, K.K.; Vitousek, P. Effects of soil nutrient availability on investment in acquisition of N and P in Hawaiian rain forests. Ecology 2001, 82, 946–954. [Google Scholar] [CrossRef]


| Total Mass | Root: Shoot | Extracellular Phosphatase * | Root Respiration | Chlorophyll Fluorescence | ||
|---|---|---|---|---|---|---|
| Week 0 | Week 6 | |||||
| Frankia | <0.0001 | <0.0001 | <0.0001 | 0.0142 | 0.9729 | <0.0001 |
| ECMF | 0.5392 | 0.5599 | 0.3161 | 0.6995 | 0.2407 | 0.1390 |
| NaCl | <0.0001 | <0.0001 | <0.0001 | 0.0258 | 0.0808 | 0.7787 |
| Frankia × ECMF | 0.5384 | 0.7750 | 0.6225 | 0.6394 | 0.4793 | 0.3789 |
| Frankia × NaCl | 0.4615 | 0.0001 | 0.7563 | 0.0017 | 0.2561 | 0.0268 |
| ECMF × NaCl | 0.9535 | 0.6063 | 0.6772 | 0.3803 | 0.1492 | 0.0603 |
| Frankia × ECMF × NaCl | 0.1458 | 0.2164 | 0.1330 | 0.3955 | 0.2882 | 0.0522 |
| Nodule Number | Nodule Allocation | Nodule Respiration | SNA | Nodule Efficiency | |
|---|---|---|---|---|---|
| ECMF | <0.0001 | 0.5198 | 0.2023 | 0.1389 | 0.0100 |
| NaCl | 0.3617 | 0.0065 | 0.0015 | 0.0122 | <0.00001 |
| ECMF × NaCl | 0.9911 | 0.4512 | 0.9695 | 0.5681 | 0.7450 |
Publisher’s Note: MDPI stays neutral with regard to jurisdictional claims in published maps and institutional affiliations. |
© 2022 by the authors. Licensee MDPI, Basel, Switzerland. This article is an open access article distributed under the terms and conditions of the Creative Commons Attribution (CC BY) license (https://creativecommons.org/licenses/by/4.0/).
Share and Cite
Chen, H.; Renault, S.; Markham, J. The Effect of Frankia and Hebeloma crustiliniforme on Alnus alnobetula subsp. Crispa Growing in Saline Soil. Plants 2022, 11, 1860. https://doi.org/10.3390/plants11141860
Chen H, Renault S, Markham J. The Effect of Frankia and Hebeloma crustiliniforme on Alnus alnobetula subsp. Crispa Growing in Saline Soil. Plants. 2022; 11(14):1860. https://doi.org/10.3390/plants11141860
Chicago/Turabian StyleChen, Haoran, Sylvie Renault, and John Markham. 2022. "The Effect of Frankia and Hebeloma crustiliniforme on Alnus alnobetula subsp. Crispa Growing in Saline Soil" Plants 11, no. 14: 1860. https://doi.org/10.3390/plants11141860
APA StyleChen, H., Renault, S., & Markham, J. (2022). The Effect of Frankia and Hebeloma crustiliniforme on Alnus alnobetula subsp. Crispa Growing in Saline Soil. Plants, 11(14), 1860. https://doi.org/10.3390/plants11141860

