Residual Effects of 50-Year-Term Different Rotations and Continued Bare Fallow on Soil CO2 Emission, Earthworms, and Fertility for Wheat Crops
Abstract
:1. Introduction
2. Results
2.1. Soil CO2 Emissions, Temperature, and Moisture
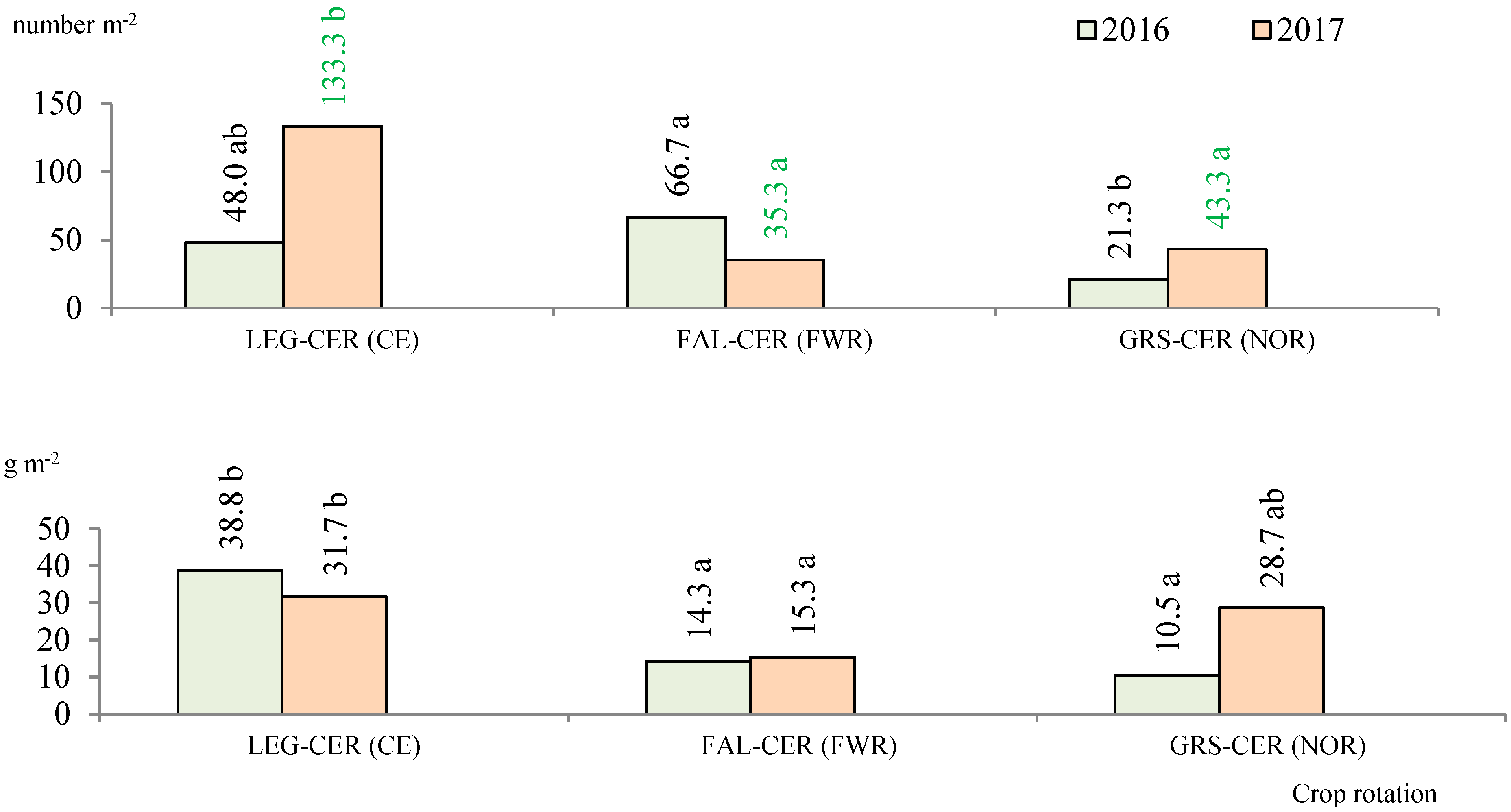
2.2. Number and Mass of Earthworms in the Soil
2.3. Soil Agrochemical Properties
2.4. Cereal Yield Productivity
3. Discussion
4. Materials and Methods
4.1. Experiment Design and Agricultural Practices
4.2. Meteorological Conditions
4.3. Methods and Analysis
4.4. Statistical Analysis
5. Conclusions
- All the agricultural crops increased the soil CO2 emissions compared with the continuous bare fallow field. The highest level of soil CO2 emission was found for the Norfolk crop rotations to which perennial grasses and manure were applied. The lowest level of soil CO2 emissions was found in continuous bare fallow fields. The pre-crops with a higher organic matter input increased CO2 emissions from the soil. The highest contents of organic carbon and total nitrogen were found in the crop rotations where perennial grasses and/or manure were applied: the Norfolk crop rotation and the field with row crops.
- Significantly higher numbers and masses of earthworms were found in the cereal crop rotation where the pre-crop used was a vetch and oat mixture for green forage. The prevalence of earthworms in these crop rotations was largely influenced by the organic matter input and the content of organic carbon in the soil.
- Over the study period of two years, we investigated the influence different crop rotations planted in a long-term field experiment (fifty years), revealing the positive effects of perennial grasses and manure fertilization on soil fertility. The highest contents of organic carbon and total nitrogen were found in the crop rotations where perennial grasses and/or manure were applied: the Norfolk crop rotation and the field with row crops. The highest potential for the storage of organic carbon was found in (a) the Norfolk crop rotation, where the crops that reduced soil fertility were rotated with treatments that enhanced soil fertility every year, and (b) the field with row crop rotations, which included perennial grasses and a wide assortment of crops.
- Winter wheat is more sensitive to the application of different pre-crops; therefore, the influence of crop rotation was significant in all years investigated. The best pre-crop identified for wheat was a vetch and oat mixture fertilized with cattle manure in the short-sequence cereal crop rotation. The productivity of winter wheat increased by 8.8% compared with that of wheat grown in the field crop rotation with row crops in a long sequence.
Author Contributions
Funding
Institutional Review Board Statement
Informed Consent Statement
Data Availability Statement
Acknowledgments
Conflicts of Interest
References
- Farina, R.; Marchetti, A.; Francaviglia, R.; Napoli, R.; Di Bene, C. Modeling regional soil C stocks and CO2 emissions under Mediterranean cropping systems and soil types. Agric. Ecosyst. Environ. 2017, 238, 128–141. [Google Scholar] [CrossRef]
- Lal, R. Soil carbon sequestration to mitigate climate change. Geoderma 2004, 123, 1–22. [Google Scholar] [CrossRef]
- Davidson, E.A.; Janssens, I.A. Temperature sensitivity of soilcarbon decomposition and feedbacks to climate change. Nature 2006, 440, 165–173. [Google Scholar] [CrossRef] [PubMed]
- Blouin, M.E.; Hodson, E.A.; Delgado, G.; Baker, L.; Brussaard, K.R.; Butt, J.; Dai, L.; Dendooven, G.; Peres, J.E.; Tondoh, D.; et al. A review of earthworm impact on soil function and ecosystem services. Eur. J. Soil Sci. 2013, 64, 161–182. [Google Scholar] [CrossRef]
- Haimi, J. Decomposer animals and bioremediation of soils. Environ. Pollut. 2000, 107, 233–238. [Google Scholar] [CrossRef]
- Ha¨ttenschwiler, S.; Gasser, P. Soil animals alter plant litterdiversity effects on decomposition. Proc. Natl. Acad. Sci. USA 2005, 102, 1519–1524. [Google Scholar] [CrossRef] [Green Version]
- Laossi, K.R.; Ginot, A.; Noguera, D.C.; Blouin, M.; Barot, S. Earthworm effects on plant growth do not necessarily decrease with soil fertility. Plant Soil 2010, 328, 109–118. [Google Scholar] [CrossRef]
- Clapperton, M.J.; Lee, N.O.; Binet, F.; Conner, R.L. Earthworms indirectly reduce the effects of take-all (Gaeumannomyces graminis var. Tritici) on soft white spring wheat (Triticum aestivum cv. Fielder). Nat. Commun. 2013, 4, 2576. [Google Scholar] [CrossRef]
- Lemtiri, G.; Colinet, T.; Alabi, D.; Cluzeau, L.; Zirbes, E.; Haubruge, F.F. Impacts of earthworms on soil components and dynamics: A review. Biotechnol. Agron. Soc. Environ. 2014, 18, 121–133. [Google Scholar]
- Pommeresche, R.; Løes, A.K. Relations between agronomic practice and eartworms in Norwegian arable soils. Dyn. Soil Dyn. Plant 2009, 3, 129–142. [Google Scholar]
- Kögel-Knabner, I. The macromolecular organic composition of plant and microbial residues as inputs to soil organic matter. Soil Biol. Biochem. 2002, 34, 139–162. [Google Scholar] [CrossRef]
- Paul, B.K.; Vanlauwe, B.; Ayuke, F.; Gassner, A.; Hoogmoed, M.; Hurisso, T.T.; Koala, S.; Lelei, D.; Ndabamenye, T.; Six, J.; et al. Medium-term impact of tillage and residue management on soil aggregate stability, soil carbon and crop productivity. Agric. Ecosyst. Environ. 2013, 164, 14–22. [Google Scholar] [CrossRef]
- Lu, S.; Meng, P.; Zhang, J.S.; Yin, C.J.; Sun, S.Y. Changes in soil organic carbon and total nitrogen in croplands converted to walnut-based agroforestry systems and orchards in southeastern Loess Plateau of China. Environ. Monit. Assess. 2015, 187, 688. [Google Scholar] [CrossRef]
- Čerkasova, N.; Umgiesser, G.; Ertürk, A. Assessing climate change impacts on streamflow, sediment and nutrient loadings of the Minija River (Lithuania): A hillslope watershed discretization application with high–resolution spatial inputs. Water 2019, 11, 676. [Google Scholar] [CrossRef] [Green Version]
- Li, K.; Yang, X.; Tian, H.; Pan, S.; Liu, Z.; Lu, S. Effects of changing climate and cultivar on the phenology and yield of winter wheat in the North China. Int. J. Biometeorol. 2016, 60, 21–32. [Google Scholar] [CrossRef]
- Angus, J.F.; Kirkegaard, J.A.; Hunt, J.R.; Ryan, M.H.; Ohlander, L.; Peoples, M.B. Break crops and rotations for wheat. Crop Pasture Sci. 2015, 66, 523–552. [Google Scholar] [CrossRef]
- FAO; ITPS. Status of the World’s Soil Resources (SWSR)—Main Report; Food and Agriculture Organization: Rome, Italy, 2015. [Google Scholar]
- FAO. Cereal Supply and Demand Brief. 2016. Available online: www.fao.org/worldfoodsituation/csdb/en/ (accessed on 21 November 2021).
- Krištof, K.; Šima, T.; Nozdrovický, L.; Findura, P. The effect of soil tillage intensity on carbon dioxide emissions released from soil into the atmosphere. Agron. Res. 2014, 12, 115–120. [Google Scholar]
- IPCC. Climate Change the Physical Science Basis, 2014, Contribution of Working Group I to the 5th Assessment Report of the IPCC. 2014. Available online: www.ipcc.ch/report/ar5/ (accessed on 21 December 2021).
- FAOSTAT Various Years. Food Production and Supply Demand. Title of Site. 2014. Available online: http://faostat.fao.org (accessed on 11 December 2021).
- Feizienė, D.; Feiza, V.; Kadžienė, G.; Vaidelienė, A.; Povilaitis, V.; Deveikytė, I. CO2 fluxes and drivers as affected by soil type, tillage and fertilization. Acta Agric. Scand. Sect. BiSoil Plan Sci. 2012, 62, 311–328. [Google Scholar] [CrossRef]
- Feizienė, D.; Povilaitis, V. Dynamics of soil respiration in crops stands with organic and intensive management. Zemdirb. Agric. 2009, 1, 127–141. [Google Scholar]
- Berecz, K.; Kismanyoky, T.; Debreczeni, K. Studying the effect of organic water recycling combined with mineral N fertilization in long-term field and model pot experiments. Arch. Agron. Soil Sci. 2004, 50, 65–72. [Google Scholar] [CrossRef]
- Hege, U.; Offenberger, K. Effect of different mineral fertilization and organic manuring on yield, product quality and N balance in the international permanent organic nitrogen experimentv (IOSDV) Puch. Arch. Agron. Soil Sci. 2006, 52, 533–550. [Google Scholar] [CrossRef]
- Wiedow, D.; Baum, C.; Leinweber, P. Inoculation with Trichoderma saturnisporum accelerates wheat straw decomposition on soil. Arch. Agron. Soil Sci. 2007, 53, 1–12. [Google Scholar] [CrossRef]
- Lee, X.; Wu, H.J.; Sigler, J.; Oishi, C.; Siccama, T. Rapid and transient response of soil respiration to rain. Glob. Change Biol. 2004, 10, 1017–1026. [Google Scholar] [CrossRef]
- Vinther, F.P.; Hausen, E.M.; Olsen, J.E. Effects of plant residues on crop performance, N mineralization and microbial activity including CO2 and N2O fluxes in unfertilised crop rotations. Nutr. Cycl. Agroecosystems 2004, 70, 189–199. [Google Scholar] [CrossRef]
- Foley, J.A.; Ramankutty, N.; Brauman, K.A.; Cassidy, E.S.; Gerber, J.S.; Johnston, M.; Mueller, N.D.; O’Connell, C.; Ray, D.K.; West, P.C.; et al. Solutions for a cultivated plane. Nature 2011, 478, 337–342. [Google Scholar] [CrossRef] [PubMed] [Green Version]
- Tilman, D.; Balzer, C.; Hill, J.; Befort, B.L. Global food demand and the sustainable intensification of agriculture. Proc. Natl. Acad. Sci. USA 2011, 108, 20260–20264. [Google Scholar] [CrossRef] [PubMed] [Green Version]
- Lipper, L.; Thornton, P.; Campbell, B.M.; Baedeker, T.; Braimoh, A.; Bwalya, M.; Caron, P.; Cattaneo, A.; Garrity, D.; Henry, K.; et al. Climate-smart agriculture for food security. Nat. Clim. Chang. 2014, 4, 1068–1072. [Google Scholar] [CrossRef]
- Lubbers, I.M.; van Groenigen, K.J.; Fonte, S.J.; Six, J.; Brussaard, L.; van Groenigen, J.W. Greenhouse-gas emissions from soils increased by earthworms. Nat. Clim. Chang. 2013, 3, 187–194. [Google Scholar] [CrossRef]
- Zhu-Barker, X.; Bailey, S.K.; Paw, U.K.; Burger, M.; Horwath, W.R. Greenhouse gas emissions from green waste composting windrow. Waste Manag. 2017, 59, 70–79. [Google Scholar] [CrossRef]
- Zhang, W.; Hendrix, P.F.; Dame, L.E.; Burke, R.A.; Wu, J.; Neher, D.A.; Li, J.; Shao, Y.; Fu, S. Earthworms facilitate carbon sequestration through unequal amplification of carbon stabilization compared with mineralization. Nat. Commun. 2013, 4, 2576. [Google Scholar] [CrossRef]
- Lubbers, I.M.; Pulleman, M.M.; van Groenigen, J.W. Can earthworms simultaneously enhance decomposition and stabilization of plant residue carbon? Soil Biol. Biochem. 2017, 105, 12–24. [Google Scholar] [CrossRef]
- van Groenigen, J.W.; Huygens, D.; Boecks, P.; Kuyper, T.W.; Lubbers, I.M.; Rutting, T.; Groffman, P.M. The soil N cycle: New insights and key challenges. Soil 2015, 1, 235–256. [Google Scholar] [CrossRef] [Green Version]
- Zhang, M.Z.X.; Liang, W.J.; Jiang, Y.; Dai, G.H.; Wang, X.G.; Han, S.J. Distribution of soil organic carbon fractions along the altitudinal gradient in Changbai Mountain, China. Pedosphere 2011, 21, 615–620. [Google Scholar] [CrossRef]
- Staugaitis, Ž.; Šlepetienė, A.; Tilvikienė, V.; Kadžiulienė, Ž. The influence of cocksfood fertilization with mineral fertilizers and digestate on total and labile carbon in soil. Žemės Ūkio Moksl. 2016, 23, 123–129. [Google Scholar] [CrossRef] [Green Version]
- Tripolskaja, L.; Šidlauskas, G. The influence of catch crops for green manure and straw on the infiltration of atmospheric precipitation and nitrogen leaching. Zemdirb. Agric. 2010, 97, 83–92. [Google Scholar] [CrossRef]
- Scaglia, B.; Adani, F. Biodegradability of soil water soluble organic carbon extracted from seven different soils. J. Environ. Sci. 2009, 21, 641–646. [Google Scholar] [CrossRef]
- Landgraf, D.; Leinweber, P.; Makeschin, F. Cold and hot water extractable organic matter as indicators of litter decomposition in forest soils. J. Plant Nutr. Soil Sci. 2006, 169, 76–82. [Google Scholar] [CrossRef]
- Liaudanskiene, I.; Šlepetienė, A.; Šlepetys, J. Distribution of organic carbon in humic and granulodensimetric fractions of soil as influenced by tillage and crop rotation. Est. J. Ecol. 2013, 62, 1–17. [Google Scholar] [CrossRef] [Green Version]
- Velykis, A.; Satkus, A. Influence of crop rotations and reduced tillage on weed population dynamics under Lithuania’s heavy conditions. Agron. Res. 2006, 4, 441–445. [Google Scholar]
- Adamiak, E. Weed Infestation Structure and Productivity of Chosen Winter and Spring Crop Agrocenoses Depending on Vegetal Succession and Standing Corn Protection; Rozprawy i Monografie UWM: Olsztyn, Poland, 2007; p. 129. [Google Scholar]
- Smith, R.G.; Gross, K.L.; Robertson, G.P. Effect of crop diversity on agroecosystem function: Crop yield response. Ecosystems 2008, 11, 355–366. [Google Scholar] [CrossRef]
- Bučienė, A. Žemdirbystės Sistemų Ekologiniai Ryšiai: Monografija; Klaipėda University: Klaipėda, Lithuania, 2003; p. 176. [Google Scholar]
- Balnytė, S. Agroecosystem Optimization by Crop Rotation, Catch Crop and Manure in Organic Farming. Ph.D. Thesis, Vytautas Magnus University, Kaunas, Lithuania, 2010; p. 106. [Google Scholar]
- Čiuberkienė, D.; Ežerinskas, V. Agrocheminių rodiklių ir maisto medžiagų migracijos kitimai įvairiai kalkintame ir tręštame dirvožemyje. Zemdirb. Moksl. Darb. 2000, 71, 32–48. [Google Scholar]
- Simanavičienė, O.; Mažvila, J.; Vaišvila, Z.; Ryliškienė, E.; Arbačiauskas, J.; Eitminavičius, L. Skirtingais būdais apskaičiuotų NPK trąšų normų, mėšlo ir šiaudų veiksmingumo palyginimas sėjomainoje. Zemdirb. Moksl. Darb. 2001, 75, 14–28. [Google Scholar]
- Repšienė, R.; Plesevičienė, A.K.; Čiuberkis, S. The effect of manure rates on soil properties and productivity of agrocenosis. Zemdirb. Moksl. Darb. 2005, 1, 18–30. [Google Scholar]
- Bogužas, V.; Skinulienė, L.; Butkevičienė, L.M.; Steponavičienė, V.; Petrauskas, E.; Maršalkienė, N. The Effect of Monoculture, Crop Rotation Combinations, and Continuous Bare Fallow on Soil CO2 Emissions, Earthworms, and Productivity of Winter Rye after a 50-Year Period. Plants 2022, 11, 431. [Google Scholar] [CrossRef]
- Steponavičienė, V.; Bogužas, V.; Sinkevičienė, A.; Skinulienė, L.; Vaisvalavičius, R.; Sinkevičius, A. Soil Water Capacity, Pore Size Distribution, and CO2 Emission in Different Soil Tillage Systems and Straw Retention. Plants 2022, 11, 614. [Google Scholar] [CrossRef]
- Raw, F. Estimating earthworm populations by using formalin. Nature 1959, 184, 1661–1662. [Google Scholar] [CrossRef]
- Raudonius, S.; Jodaugienė, D.; Pupalienė, R.; Trečiokas, K. Mokslinių Tyrimų Metodika; Lithuanian University of Agriculture: Kaunas, Lithuania, 2009; p. 119. [Google Scholar]
- Raudonius, S. Application of statistics in plant and crop research: Important issues. Zemdirb. Agric. 2017, 104, 377. [Google Scholar] [CrossRef] [Green Version]






| Pre-Crop (Crop Rotation) | 2016 | 2017 | |
|---|---|---|---|
| Corg (g/kg) | FAL-CONTROL | 9.10 a | 10.2 a |
| LEG-CER (CE) | 14.0 b | 15.2 b | |
| FAL-CER (FWR) | 13.9 b | 14.4 b | |
| GRS-CER (NOR) | 17.3 b | 19.5 c | |
| Nsum (g/kg) | FAL-CONTROL | 0.73 a | 0.75 b |
| LEG-CER (CE) | 1.07 b | 1.13 a | |
| FAL-CER (FWR) | 1.13 b | 1.05 a | |
| GRS-CER (NOR) | 1.36 c | 1.33 c | |
| P2O5 (mg/kg) | FAL-CONTROL | 196.1 a | 167.1 b |
| LEG-CER (CE) | 326.6 b | 265.0 a | |
| FAL-CER (FWR) | 298.9 b | 225.9 b | |
| GRS-CER (NOR) | 348.2 b | 409.5 c | |
| K2O (mg/kg) | FAL-CONTROL | 210.2 a | 248.4 a |
| LEG-CER (CE) | 453.6 b | 667.3 b | |
| FAL-CER (FWR) | 383.6 c | 357.2 a | |
| GRS-CER (NOR) | 431.6 bc | 580.3 b |
| Treatments | Components of Crop Rotation |
|---|---|
| Continuous Bare Fallow (FAL-CONTROL) | No Crops for 50 Years |
| Cereal (CE) | (1) Vetch and oats (Vicia sativa L. + Avena sativa L.) mixture for green forage, (2) winter wheat (Triticum aestivum L.), (3) oats (Avena sativa L.), (4) spring barley (Hordeum vulgare L.). |
| Field with row crops (FWR) | (1) Winter wheat (Triticum aestivum L.) + undersowing, (2) perennial grasses (Trifolium pratense L. + Phleum pratense L.) of the 1st harvest year, (3) perennial grasses (Trifolium pratense L. + Phleum pratense L.) of the 2nd harvest year, (4) winter rye (Secale cereale L.), (5) sugar beet (Beta vulgaris L.), (6) spring barley (Hordeum vulgare L.), (7) oats (Avena sativa L.), (8) black fallow. |
| Norfolk (NOR) | (1) Clover–timothy mixture (Trifolium pratense L. + Phleum pratense L.), (2) winter wheat (Triticum aestivum L.), (3) potatoes (Solanum tuberosum L.), (4) spring barley (Hordeum vulgare L.). |
Publisher’s Note: MDPI stays neutral with regard to jurisdictional claims in published maps and institutional affiliations. |
© 2022 by the authors. Licensee MDPI, Basel, Switzerland. This article is an open access article distributed under the terms and conditions of the Creative Commons Attribution (CC BY) license (https://creativecommons.org/licenses/by/4.0/).
Share and Cite
Skinulienė, L.; Marcinkevičienė, A.; Butkevičienė, L.M.; Steponavičienė, V.; Petrauskas, E.; Bogužas, V. Residual Effects of 50-Year-Term Different Rotations and Continued Bare Fallow on Soil CO2 Emission, Earthworms, and Fertility for Wheat Crops. Plants 2022, 11, 1279. https://doi.org/10.3390/plants11101279
Skinulienė L, Marcinkevičienė A, Butkevičienė LM, Steponavičienė V, Petrauskas E, Bogužas V. Residual Effects of 50-Year-Term Different Rotations and Continued Bare Fallow on Soil CO2 Emission, Earthworms, and Fertility for Wheat Crops. Plants. 2022; 11(10):1279. https://doi.org/10.3390/plants11101279
Chicago/Turabian StyleSkinulienė, Lina, Aušra Marcinkevičienė, Lina Marija Butkevičienė, Vaida Steponavičienė, Ernestas Petrauskas, and Vaclovas Bogužas. 2022. "Residual Effects of 50-Year-Term Different Rotations and Continued Bare Fallow on Soil CO2 Emission, Earthworms, and Fertility for Wheat Crops" Plants 11, no. 10: 1279. https://doi.org/10.3390/plants11101279
APA StyleSkinulienė, L., Marcinkevičienė, A., Butkevičienė, L. M., Steponavičienė, V., Petrauskas, E., & Bogužas, V. (2022). Residual Effects of 50-Year-Term Different Rotations and Continued Bare Fallow on Soil CO2 Emission, Earthworms, and Fertility for Wheat Crops. Plants, 11(10), 1279. https://doi.org/10.3390/plants11101279

