Productivity and Nutrient Balance of an Intensive Rice–Rice Cropping System Are Influenced by Different Nutrient Management in the Red and Lateritic Belt of West Bengal, India
Abstract
1. Introduction
2. Materials and Methods
2.1. Experimental Site
2.2. Experimental Design and Treatments
2.3. Cultural Practices
2.4. Measurements and Analytical Procedures
2.4.1. Growth and Yield Attributes
2.4.2. Collection and Analysis of Plant and Soil Samples
2.4.3. Nutrient Balance
2.5. Calculations and Statistical Analysis
3. Results and Discussion
3.1. Growth Parameters
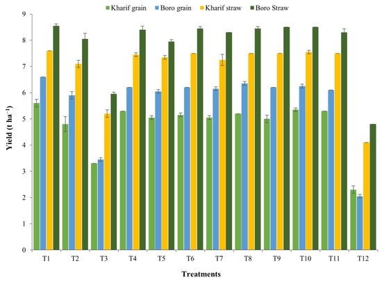
3.2. Yield Attributes and Yield
3.3. Nutrient Uptake
3.3.1. Nitrogen Uptake
3.3.2. Phosphorus Uptake
3.3.3. Potassium Uptake
3.3.4. Zinc Uptake
3.3.5. Sulphur Uptake
3.4. Nutrient Balance
4. Conclusions
Author Contributions
Funding
Institutional Review Board Statement
Informed Consent Statement
Data Availability Statement
Acknowledgments
Conflicts of Interest
References
- Deep, M.; Kumar, R.M.; Saha, S.; Singh, A. Rice-based cropping systems. Indian Farming 2018, 68, 27–30. [Google Scholar]
- Lal, B.; Gautam, P.; Panda, B.B.; Raja, R.; Singh, T.; Tripathi, R.; Shahid, M.; Nayak, A.K. Crop and varietal diversification of rainfed rice based cropping systems for higher productivity and profitability in Eastern India. PLoS ONE 2017, 12, e0175709. [Google Scholar] [CrossRef]
- Bhatt, R.; Kukal, S.S.; Busari, M.A.; Arora, S.; Yadav, M. Sustainability issues on rice—Wheat cropping system. Int. Soil Water Conserv. Res. 2016, 4, 64–74. [Google Scholar] [CrossRef]
- Jat, M.L.; Majumdar, K.; McDonald, A.; Sikka, A.K.; Paroda, R.S. Book of extended summaries. National Dialogue on Efficient Nutrient Management for Improving Soil Health. In Proceedings of the TAAS, ICAR, CIMMYT, IPNI, CSISA, FAI, New Delhi, India, 28–29 September 2015; p. 56. [Google Scholar]
- Jata, R.A.; Dungranib, R.A.; Arvadiab, M.K.; Sahrawatc, K.L. Diversification of rice (Oryza sativa L.) based cropping systems for higher productivity, resource-use efficiency and economic returns in south Gujarat, India. Arch. Agron. Soil Sci. 2012, 58, 561–572. [Google Scholar] [CrossRef][Green Version]
- Ye, T.; Li, Y.; Zhang, J.; Hou, W.; Zhou, W.; Lu, J.; Xing, Y.; Li, X. Nitrogen, phosphorus, and potassium fertilization affects the flowering time of rice (Oryza sativa L.). Glob. Ecol. Conserv. 2019, 20, e00753. [Google Scholar] [CrossRef]
- Di Mola, I.; Ottaiano, L.; Cozzolino, E.; Senatore, M.; Giordano, M.; El-Nakhel, C.; Sacco, A.; Rouphael, Y.; Colla, G.; Mori, M. Plant-based biostimulants influence the agronomical, physiological, and qualitative responses of baby rocket leaves under diverse nitrogen conditions. Plants 2019, 8, 522. [Google Scholar] [CrossRef] [PubMed]
- Fageria, N.K.; Baligar, V.C. Methodology for evaluation of lowland rice genotypes for nitrogen use efficiency. J. Plant Nutr. 2013, 26, 1315–1333. [Google Scholar] [CrossRef]
- Mori, A.; Fukuda, T.; Vejchasarn, P.; Nestler, J.; Pariasca-Tanaka, J.; Wissuwa, M. The role of root size versus root efficiency in phosphorus acquisition in rice. J. Exp. Bot. 2016, 67, 1179–1189. [Google Scholar] [CrossRef] [PubMed]
- Cakmak, I. The role of potassium in alleviating detrimental effects of abiotic stresses in plants. J. Plant Nutr. Soil Sci. 2005, 168, 521–530. [Google Scholar] [CrossRef]
- Patel, P.K.; Kadivala, V.A.H.; Patel, V.N. Role of Sulphur in Oilseed Crops: A Review. J. Plant Dev. Sci. 2019, 11, 109–114. [Google Scholar]
- Impa, S.M.; Johnson-Beebout, S.E. Mitigating zinc deficiency and achieving high grain Zn in rice through integration of soil chemistry and plant physiology research. Plant Soil 2012, 361, 3–41. [Google Scholar] [CrossRef]
- Singh, M.V. Micronutrient Deficiencies in Crops and Soils in India. In Micronutrient Deficiencies in Global Crop Production; Alloway, B.J., Ed.; Springer: Dordrecht, The Netherlands, 2008; pp. 93–125. [Google Scholar] [CrossRef]
- Sharma, A.; Patni, B.; Shankhdhar, D.; Shankhdhar, S.C. Zinc—An indispensable micronutrient. Physiol. Mol. Biol. Plants 2013, 19, 11–20. [Google Scholar] [CrossRef] [PubMed]
- Prasad, R.; Shivay, Y.S.; Kumar, D. Agronomic biofortification of cereal grains with iron and zinc. Adv. Agron. 2014, 125, 55–91. [Google Scholar]
- Singh, V.K.; Dwivedi, B.S.; Mishra, R.P.; Shukla, A.K.; Timsina, J.; Upadhyay, P.K.; Shekhawat, K.; Majumdar, K.; Panwar, A.S. Yields, Soil Health and Farm Profits under a Rice-Wheat System: Long-Term Effect of Fertilizers and Organic Manures Applied Alone and in Combination. Agronomy 2019, 9, 1. [Google Scholar] [CrossRef]
- Majumdar, K.; Jat, M.L.; Pampolino, M.; Satyanarayana, T.; Dutta, S.; Kumar, A. Nutrient management in wheat: Current scenario, improved strategies and future research needs in India. J. Wheat Res. 2013, 4, 1–10. [Google Scholar]
- Shahane, A.A.; Shivay, Y.S.; Prasanna, R. Nutrient removal by rice–wheat cropping system as influenced by crop establishment techniques and fertilization options in conjunction with microbial inoculation. Sci. Rep. 2020, 10, 21944. [Google Scholar] [CrossRef] [PubMed]
- Sravan, U.S.; Ramana Murthy, K.V. Enhancing Productivity in Rice-Based Cropping Systems, Plant Competition in Cropping Systems, Daniel Dunea; IntechOpen: London, UK, 2018; Available online: https://www.intechopen.com/chapters/63235 (accessed on 30 May 2021). [CrossRef]
- Ghosh, S.; Guchhait, S.K.; Hu, X.F. Characterization and evolution of primary and secondary laterites in northwestern Bengal Basin, West Bengal, India. J. Palaeogeogr. 2015, 4, 203–230. [Google Scholar] [CrossRef]
- Bouyoucos, G.J. Hydrometer method improved for making particle size analysis of soils. J. Agron. 1962, 54, 464–465. [Google Scholar] [CrossRef]
- Jackson, M.L. Soil Chemical Analysis; Prentice Hall of India Pvt. Ltd.: New Delhi, India, 1973; pp. 183–193. [Google Scholar]
- Subbiah, B.V.; Asija, G.L. A rapid procedure for the determination of available nitrogen in soils. Curr. Sci. 1956, 25, 259–260. [Google Scholar]
- Bray, R.H.; Kurtz, L.T. Determinations of total, organic and available forms of phosphorus in soils. Soil Sci. 1945, 59, 39–45. [Google Scholar] [CrossRef]
- Hanway, J.J.; Heidel, H. Soil analyses methods as used in Iowa State College Soil Testing Laboratory. Iowa Agric. 1952, 57, 1–31. [Google Scholar]
- Lindsay, W.L.; Norvell, W.A. Development of DTPA soil test for Zn, Fe, Mn and Cu. Soil Sci. Soc. Am. J. 1978, 42, 421–428. [Google Scholar] [CrossRef]
- Chesnin, L.; Yien, C.H. Turbid metric Determination of Available Sulphates. Soil Sci. Soc. Am. J. 1950, 15, 149–150. [Google Scholar] [CrossRef]
- Watson, D.J. The physiological basis of variation in yield. Adv. Agron. 1952, 4, 101–145. [Google Scholar]
- Tandon, H.L.S. Soil Nutrient Balance Sheets in India: Importance, Status, Issues, and Concerns. Better Crop. India 2007, 1, 15–19. [Google Scholar]
- Cochran, W.G.; Cox, G.M. Experimental Design; Asia Publishing House: Calcutta, India, 1977; pp. 142–181. [Google Scholar]
- Shankar, T.; Banerjee, M.; Malik, G.C.; Dutta, S.; Maiti, D.; Maitra, S.; Alharby, H.; Bamagoos, A.; Hossain, A.; Ismail, I.A.; et al. The Productivity and Nutrient Use Efficiency of Rice-Rice-Black GramCropping Sequence Are Influencedby Location Specific Nutrient Management. Sustainability 2021, 13, 3222. [Google Scholar] [CrossRef]
- Show, R. Growth and Productivity of Boro Rice under Different Nitrogen and Water Regimes in Lateritic Belt of West Bengal. Ph.D. Thesis, Visva-Bharati University, Santiniketan, West Bengal, India, 2007; pp. 109–114. [Google Scholar]
- Shekara, B.G.; Shreedhara, D. Growth and yield of aerobic rice (Oryza sativa L.) influenced by different levels of NPK in Cauvery command area. J. Maharashtra Agric. Univ. 2010, 35, 195–198. [Google Scholar]
- Pandey, N.; Verma, A.K.; Tripathi, R.S. Effect of planting time and nitrogen on tillering pattern, drymatter accumulation and grain yield of hybrid rice. Ind. J. Agric. Sci. 2001, 71, 337–338. [Google Scholar]
- Pariyani, A.K.; Naik, K.R. Effect of nitrogen level and seedling number on yield attributes and yield of rice hybrid. J. Soils Crop. 2004, 14, 234–236. [Google Scholar]
- Hu, R.; Cao, J.; Huang, J.; Peng, S.; Zhong, X.; Zou, Y.; Yang, J.; Buresh, R.J. Farmer participatory testing of standard and modified site-specific nitrogen management for irrigated rice in China. Agric. Sci. 2007, 94, 331–340. [Google Scholar] [CrossRef]
- Huang, J.; He, F.; Cui, K.; Buresh, R.J.; Xu, B.; Gong, W.; Peng, S. Determination of optimal nitrogen rate for rice varieties using a chlorophyll meter. Field Crop. Res. 2008, 105, 70–80. [Google Scholar] [CrossRef]
- Mohapatra, A.K. Studies on Direct and Residual Effect of Secondary and Micronutrients in Rice (Hybrid)—Rice Cropping Sequence. Ph.D. Thesis, Odisha University of Agriculture & Technology, Department of Agronomy, Bhubaneswar, India, 2003. [Google Scholar]
- Trivedi, V.K.; Pandey, M.R.; Pathak, R.K.; Kala, D.C. Balanced use of nutrients for high crop yield and quality of rice in central uttarpradesh. Int. J. Tech. Res. Appl. 2015, 3, 344–346. [Google Scholar]
- Murthy, K.M.; Rao, A.U.; Vijay, D.; Sridhar, T.V. Effect of levels of nitrogen, phosphorus and potassium on performance of rice. Indian J. Agric. Res. 2015, 49, 83–87. [Google Scholar] [CrossRef]
- Yadav, M.P.; Tiwari, U.S.; Raj, J. Studies on site specific nutrient management (SSNM) for maximization of yield and economics in hybrid rice (Oryza sativa). Plant Arch. 2007, 7, 795–798. [Google Scholar]
- Nath, D.K.; Haque, F.; Amin, F.; Islam, M.S.; Saleque, M.A. Farmers’ participatory site specific nutrient management in gangetic tidal floodplain soil for high yielding Boro rice (Oryza sativa L.). Agriculturists 2013, 11, 8–14. [Google Scholar] [CrossRef]
- Singh, B.B.; Singh, J.; Singh, G.; Kaur, G. Effects of Long Term Application of Inorganic and Organic Fertilizers on Soil Organic Carbon and Physical Properties in Maize—Wheat Rotation. Agronomy 2015, 5, 220–238. [Google Scholar] [CrossRef]
- Ranamukhaarachchi, S.L.; Ratnayake, W.M. The effect of straw, stubble, and potassium on grain yield of rice in rice-rice cropping systems in the mid-country wet zone of Srilanka. Sci. Asia 2006, 32, 151–158. [Google Scholar] [CrossRef]
- Shankar, T.; Malik, G.C.; Banerjee, M.; Ghosh, A. Nutrient optimization on growth and productivity of rice in the red and lateriticbelt of West Bengal. J. Crop Weed 2014, 2, 500–503. [Google Scholar]
- Pampolinoa, M.F.; Manguiata, I.J.; Ramanathanb, S.; Ginesc, H.C.; Tand, P.S.; Chid, T.T.N.; Rajendrane, R.; Buresh, R.J. Environmental impact and economic benefits of site specific nutrient management (SSNM) in irrigated rice systems. Agric. Syst. 2007, 93, 1–24. [Google Scholar] [CrossRef]
- Chandrapala, A.G.; Yakadri, M.; Kumar, R.M.; Raj, G.B. Productivity and economics of rice (Oryza sativa)—Maize (Zea mays) as influenced by methods of crop establishment, Zn and S application in rice. Indian J. Agron. 2010, 55, 171–176. [Google Scholar]
- Porpavai, S.; Devasenapathy, P.; Siddeswaran, K.; Jayaraj, T. Impact of various rice based cropping systems on soil fertility. J. Cereals Oilseeds 2011, 2, 43–46. [Google Scholar]
- Singh, A.K.; Meena, M.K.; Upadhyaya, A. Effect of sulphur and zinc on rice performance and nutrient dynamics in plants and soil of Indo Gangetic plains. J. Agric. Sci. 2012, 4, 162–170. [Google Scholar] [CrossRef]
- Deka, A.M.; Kalita, H.; Borah, N.; Zaman, A.S.N. Nutrient uptake and nutrient balance as influenced by different rice based cropping patterns in Assam. J. Crop Weed 2019, 15, 72–78. [Google Scholar]
- Panwar, A.S.; Shamim, M.; Babu, S.; Ravishankar, N.; Prusty, A.K.; Alam, N.M.; Singh, D.K.; Bindhu, J.S.; Kaur, J.; Dashora, L.N.; et al. Enhancement in Productivity, Nutrients Use Efficiency, and Economics of Rice-Wheat Cropping Systems in India through Farmer’s Participatory Approach. Sustainability 2019, 11, 122. [Google Scholar] [CrossRef]








| Particulars | Characters/Value | Status | Methodology | References |
|---|---|---|---|---|
| Texture | Sandy loam | - | Hydrometer method | [21] |
| pH | 5.65 | Acidic | Determined by pH meter in 1:2.5 ratio of soil–water suspension | [22] |
| Electrical conductivity (EC) (dS m−1) | 0.26 | - | Solubridge method | [22] |
| Organic carbon (%) | 0.35 | Low | Walkley and Black method | [22] |
| Available nitrogen (kg ha−1) | 230.0 | Low | Alkaline permanganate method | [23] |
| Available phosphorous (kg ha−1) | 11.2 | Low | Bray’s method | [24] |
| Available potassium (kg ha−1) | 125.2 | Medium | Flame photometer method | [25] |
| Zinc (mg kg−1) | 0.22 | Low | Diethylenetriaminepentaacetate (DTPA) extractable Zn determination by Atomic Absorption spectroscopy (AAS) | [26] |
| Sulphur (kg ha−1) | 10.5 | Low | Turbidimetric Method | [27] |
| Particulars | Kharif | Boro |
|---|---|---|
| Cropping system | Rice | Rice |
| Variety/hybrid | HYV (High yielding variety) rice variety: MTU 7029 | Hybrid rice: Arize 6444 GOLD |
| Date of transplanting | 3 August 2014; 2 August 2015 | 2 February 2015 and 2016 |
| Duration | 150 days | 150 days |
| Treatments | Plant Height (cm) | |||||||||||
|---|---|---|---|---|---|---|---|---|---|---|---|---|
| 20 DAT | 40 DAT | 60 DAT | 80 DAT | 100 DAT | 120 DAT | |||||||
| 2014 | 2015 | 2014 | 2015 | 2014 | 2015 | 2014 | 2015 | 2014 | 2015 | 2014 | 2015 | |
| Kharif rice | ||||||||||||
| T1 | 46.3 a | 49.9 a | 61.7 a | 64.8 a | 98.0 a | 99.5 a | 118.0 a | 119.4 a | 118.9 a | 119.6 a | 119.7 a | 119.5 a |
| T2 | 41.9 ab | 46.2 a | 59.2 ab | 62.4 a | 84.9 abc | 91.4 ab | 108.9 a | 111.8 a | 110.0 abc | 111.9 abc | 110.2 a | 112.0 a–e |
| T3 | 29.2 cd | 26.1 b | 40.0 cd | 38.4 e | 74.5 cd | 70.0 c | 94.5 a | 92.9 a | 96.1 bc | 93.8 bc | 96.8 a | 94.0 de |
| T4 | 44.1 a | 44.8 a | 60.1 ab | 60.1 ab | 95.0 ab | 95.9 ab | 115.0 a | 116.1 a | 116.6 a | 116.6 ab | 116.8 a | 117.2 ab |
| T5 | 38.7 ab | 39.4 ab | 48.3 bcd | 49.2 d | 79.9 bcd | 80.9 ac | 95.9 a | 97.6 a | 96.2 c | 98.6 abc | 98.5 a | 98.9 cde |
| T6 | 45.3 a | 45.4 a | 57.9 ab | 60.1 ab | 94.3 ab | 93.6 ab | 113.3 a | 114.1 a | 114.5 ab | 114.4 ab | 114.7 a | 115.4 ab |
| T7 | 41.6 ab | 40.2 a | 51.8 abc | 52.0 bcd | 83.0 a–d | 81.2 bc | 96.3 a | 90.8 a | 96.4 bc | 91.3 bc | 96.6 a | 92.5 b–e |
| T8 | 43.8 ab | 44.4 a | 57.1 ab | 59.0 abc | 91.9 ab | 94.7 ab | 111.9 a | 113.9 a | 111.8 abc | 114.7 ab | 111.7 a | 116.6 abc |
| T9 | 34.8 bcd | 34.0 ab | 50.8 a–d | 51.2 bcd | 82.5 a–d | 81.1 bc | 97.1 a | 94.3 a | 98.0 bc | 95.5 abc | 98.9 a | 96.7 a–e |
| T10 | 41.2 ab | 45.6 a | 59.2 ab | 57.0 a–d | 85.0 abc | 95.0 ab | 115.0 a | 110.7 a | 116.2 a | 112.2 abc | 116.3 a | 112.1 a–d |
| T11 | 37.4 abc | 38.7 ab | 51.9 abc | 50.2 cd | 80.7 acd | 80.0 bc | 98.7 a | 93.0 a | 98.1 bc | 94.6 bc | 98.1 a | 93.8 a–e |
| T12 | 26.1 d | 25.6 b | 38.3 d | 34.5 e | 68.3 d | 67.0 c | 88.3 b | 86.3 b | 88.5 c | 87.5 c | 88.6 a | 87.6 e |
| F-test | ** | ** | ** | ** | ** | ** | * | * | ** | ** | * | ** |
| SEm (±) | 2.5 | 3.0 | 3.3 | 4.2 | 5.1 | 6.0 | 6.5 | 6.2 | 6.3 | 6.3 | 6.6 | 6.3 |
| CV (%) | 7.12 | 13.7 | 8.12 | 12.3 | 6.56 | 7.17 | 10.0 | 11.4 | 8.43 | 8.18 | 9.96 | 8.21 |
| Boro rice | ||||||||||||
| T1 | 51.3 a | 52.9 a | 82.0 a | 84.2 a | 104.1 a | 106.2 a | 121.0 a | 124.1 a | 122.0 a | 124.0 a | 122.0 a | 124.8 a |
| T2 | 46.9 a | 48.6 ab | 72.3 abc | 76.4 abc | 103.8 a | 104.7 a | 116.2 ab | 117.4 abc | 116.0 ab | 118.0 abc | 117.0 a | 119.0 a |
| T3 | 34.1 bc | 33.1 c | 56.3 de | 52.6 e | 78.3 b | 74.4 b | 97.4 a–e | 94.6 bcd | 98.4 abc | 94.3 cd | 98.4 ab | 94.4 ab |
| T4 | 49.1 a | 50.1 ab | 74.3 ab | 84.9 a | 103.6 a | 104.4 a | 118.9 a | 116.1 abc | 118.0 ab | 117.0 abc | 118.0 a | 116.8 ab |
| T5 | 44.6 abc | 45.2 ab | 68.5 bcd | 68.3 cd | 80.0 b | 78.8 b | 91.9 cde | 93.0 cd | 95.4 bc | 94.2 cd | 95.2 ab | 94.5 ab |
| T6 | 47.1 a | 47.9 ab | 75.1 ab | 81.2 a | 102.9 a | 103.7 a | 117.1 ab | 117.6 abc | 119.0 ab | 119.0 ab | 120.0 a | 118.9 a |
| T7 | 45.1 abc | 44.2 abc | 69.1 bc | 69.0 bcd | 84.4 ab | 85.4 ab | 89.9 de | 97.1 bcd | 99.1 abc | 97.6 bcd | 99.3 ab | 98.1 ab |
| T8 | 48.8 a | 49.4 ab | 70.3 abc | 78.7 ab | 103.1 a | 104.3 a | 115.1 abc | 123.3 a | 118.0 ab | 125.0 a | 118.0 a | 124.7 a |
| T9 | 41.8 abc | 42.4 abc | 70.0 abc | 68.1 cd | 86.4 ab | 78.3 b | 91.5 cde | 98.2 bcd | 101.0 abc | 98.6 abc | 101.2 ab | 98.9 ab |
| T10 | 46.2 ab | 47.9 ab | 75.3 ab | 83.7 a | 104.5 a | 105.3 a | 112.3 a–d | 119.4 ab | 116.0 ab | 119.0 ab | 115.0 ab | 119.2 a |
| T11 | 40.2 abc | 40.8 bc | 60.7 cde | 64.0 d | 86.9 ab | 87.1 ab | 93.4 b–e | 94.5 cd | 100.0 abc | 97.9 bcd | 100.1 ab | 98.2 ab |
| T12 | 33.1 c | 32.3 c | 54.0 e | 51.0 e | 71.9 b | 69.7 b | 83.0 e | 80.2 d | 86.5 c | 81.6 d | 87.0 b | 81.7 b |
| F-test | ** | ** | ** | ** | ** | ** | ** | ** | ** | ** | ** | ** |
| SEm (±) | 1.8 | 2.0 | 4.1 | 5.0 | 5.6 | 6.4 | 7.5 | 7.5 | 6.5 | 8.8 | 6.8 | 7.5 |
| CV (%) | 9.26 | 9.14 | 6.26 | 4.83 | 7.50 | 7.77 | 7.77 | 7.85 | 8.09 | 7.62 | 9.27 | 11.5 |
| Treatment | Dry Matter Accumulation (g m−2) | |||||||||||
|---|---|---|---|---|---|---|---|---|---|---|---|---|
| 20 DAT | 40 DAT | 60 DAT | 80 DAT | 100 DAT | 120 DAT | |||||||
| 2014 | 2015 | 2014 | 2015 | 2014 | 2015 | 2014 | 2015 | 2014 | 2015 | 2014 | 2015 | |
| Kharif rice | ||||||||||||
| T1 | 156.1 a | 158.2 a | 416.0 a | 420.9 a | 760.3 a | 768.0 a | 1170.0 a | 1181.5 a | 1280.0 a | 1290.9 a | 1301.1 a | 1315.5 a |
| T2 | 150.8 a | 153.0 a | 390.1 ab | 409.5 a | 728.9 ab | 750.3 a | 1134.4 abc | 1137.6 a | 1240.6 a | 1243.8 a | 1247.6 a | 1257.8 a |
| T3 | 140.8 a | 140.3 a | 305.9 bc | 302.3 ab | 510.1 cd | 518.9 bc | 602.3 d | 606.9 c | 657.6 b | 658.3 d | 660.6 bc | 662.8 d |
| T4 | 153.6 a | 153.8 a | 404.0 a | 407.3 a | 735.4 ab | 750.5 a | 1132.1 abc | 1138.7 a | 1225.9 a | 1236.6 a | 1235.9 a | 1249.2 ab |
| T5 | 141.0 a | 140.8 a | 370.4 ab | 373.8 ab | 506.7 cd | 507.8 bc | 900.0 c | 906.3 b | 1002.9 a | 1006.9 c | 1009.9 ab | 1016.4 c |
| T6 | 155.2 a | 157.3 a | 407.3 a | 409.9 a | 745.6 ab | 750.7 a | 1140.9 ab | 1140.0 a | 1222.8 a | 1233.0 a | 1230.8 a | 1235.6 ab |
| T7 | 140.7 a | 142.9 a | 373.9 ab | 357.3 ab | 521.9 cd | 505.2 bc | 903.3 c | 902.2 b | 1000.4 a | 1008.8 c | 1006.4 ab | 1012.4 c |
| T8 | 155.0 a | 159.2 a | 406.9 a | 410.3 a | 742.9 ab | 750.5 a | 1110.8 abc | 1137.6 a | 1209.8 a | 1225.6 a | 1229.8 a | 1245.6 ab |
| T9 | 140.4 a | 147.6 a | 374.2 ab | 380.6 ab | 506.6 cd | 508.3 bc | 909.8 bc | 908.2 b | 1002.1 a | 1005.3 c | 1003.1 ab | 1009.7 c |
| T10 | 155.7 a | 156.5 a | 403.5 a | 404.8 a | 745.5 ab | 749.5 a | 1108.3 abc | 1111.7 a | 1210.1 a | 1215.9 ab | 1220.1 a | 1225.5 ab |
| T11 | 140.0 a | 147.1 a | 363.0 ab | 370.5 ab | 590.0 bc | 609.7 ab | 950.3 abc | 952.7 b | 1040.3 a | 1040.5 bc | 1042.3 a | 1045.7 bc |
| T12 | 101.7 b | 100.5 b | 260.0 c | 255.3 b | 408.8 d | 407.5 c | 508.3 d | 505.3 c | 535.2 b | 532.3 d | 518.0 c | 514.5 da |
| F-test | * | * | ** | ** | ** | ** | ** | ** | * | ** | ** | ** |
| SEm (±) | 5.1 | 3.6 | 13.7 | 12.6 | 33.4 | 26.4 | 49.7 | 47.4 | 52.3 | 61.5 | 57.0 | 72.3 |
| CV (%) | 7.21 | 5.92 | 7.96 | 13.29 | 8.86 | 10.04 | 8.25 | 4.63 | 10.30 | 5.86 | 11.74 | 6.43 |
| Boro rice | ||||||||||||
| T1 | 177.1 a | 180.0 a | 437.0 a | 452.5 a | 870.3 a | 885.7 a | 1370.0 a | 1380.7 a | 1507.2 a | 1511.1 a | 1519.3 a | 1515.1 a |
| T2 | 175.8 ab | 175.4 a | 411.1 a | 415.8 ab | 830.9 a | 831.6 a | 1300.4 a | 1307.0 a | 1457.7 a | 1408.6 a | 1424.7 a | 1410.6 a |
| T3 | 155.8 a | 154.5 ab | 308.9 a | 304.6 c | 421.1 b | 410.5 b | 656.3 b | 652.6 b | 758.4 b | 768.6 b | 759.2 b | 766.7 b |
| T4 | 172.6 ab | 168.7 a | 425.0 a | 426.6 a | 846.4 a | 847.5 a | 1333.1 a | 1331.4 a | 1492.9 a | 1451.8 a | 1454.0 a | 1451.8 a |
| T5 | 160.0 ab | 155.9 ab | 383.4 a | 387.6 abc | 732.7 a | 728.2 a | 1209.0 a | 1215.2 a | 1309.5 a | 1313.9 a | 1325.0 a | 1313.9 a |
| T6 | 186.2 a | 172.2 a | 428.3 a | 425.6 ab | 849.6 a | 848.6 a | 1335.9 a | 1342.9 a | 1493.3 a | 1452.8 a | 1453.7 | 1452.8 a |
| T7 | 160.7 ab | 153.3 ab | 384.9 a | 380.6 abc | 720.9 a | 730.5 a | 1208.3 a | 1202.8 a | 1300.6 a | 1300.3 a | 1320.9 a | 1320.3 a |
| T8 | 176.0 a | 173.1 a | 417.9 a | 441.1 a | 840.8 a | 845.2 a | 1331.8 a | 1325.2 a | 1491.0 a | 1450.8 a | 1451.2 a | 1450.8 a |
| T9 | 160.4 ab | 154.0 ab | 389.2 a | 383.4 abc | 721.6 a | 753.4 a | 1207.8 a | 1202.5 a | 1303.5 a | 1300.1 a | 1306.9 a | 1310.1 a |
| T10 | 176.7 a | 178.1 a | 424.5 a | 449.1 a | 846.5 a | 847.7 a | 1329.3 a | 1331.0 a | 1495.0 a | 1452.1 a | 1457.8 a | 1452.1 a |
| T11 | 161.0 ab | 150.6 ab | 389.8 a | 384.9 abc | 719.0 a | 755.9 a | 1209.3 a | 1205.5 a | 1302.7 a | 1300.3 a | 1325.0 a | 1315.3 a |
| T12 | 132.7 b | 130.1 b | 321.0 a | 317.0 bc | 450.8 b | 445.6 b | 564.3 b | 560.3 b | 587.0 b | 591.8 b | 582.1 b | 591.8 b |
| F-test | * | * | * | ** | * | * | * | * | * | * | * | * |
| SEm (±) | 5.2 | 4.8 | 9.6 | 13.0 | 37.3 | 39.8 | 51.6 | 55.7 | 62.2 | 56.3 | 62.5 | 59.3 |
| CV (%) | 6.83 | 7.75 | 14.10 | 9.21 | 7.79 | 8.05 | 7.20 | 5.47 | 8.35 | 7.12 | 8.14 | 8.31 |
| Treatment | Leaf Area Index (LAI) | |||||||||
|---|---|---|---|---|---|---|---|---|---|---|
| 20 DAT | 40 DAT | 60 DAT | 80 DAT | 100 DAT | ||||||
| 2014 | 2015 | 2014 | 2015 | 2014 | 2015 | 2014 | 2015 | 2014 | 2015 | |
| Kharif rice | ||||||||||
| T1 | 2.66 | 2.66 | 3.07 | 3.09 | 4.87 | 4.88 | 2.71 | 2.70 | 1.44 | 1.33 |
| T2 | 2.66 | 2.64 | 3.05 | 3.04 | 4.86 | 4.85 | 2.69 | 2.68 | 1.42 | 1.30 |
| T3 | 1.72 | 1.39 | 2.11 | 1.84 | 3.85 | 3.82 | 1.67 | 1.71 | 0.43 | 0.29 |
| T4 | 2.65 | 2.62 | 3.04 | 3.05 | 4.85 | 4.86 | 2.70 | 2.70 | 1.40 | 1.30 |
| T5 | 2.61 | 2.61 | 3.00 | 2.99 | 4.83 | 4.84 | 2.70 | 2.66 | 1.33 | 1.22 |
| T6 | 2.64 | 2.62 | 3.05 | 3.01 | 4.86 | 4.87 | 2.70 | 2.69 | 1.42 | 1.24 |
| T7 | 2.58 | 2.59 | 2.98 | 3.01 | 4.82 | 4.84 | 2.64 | 2.66 | 1.32 | 1.18 |
| T8 | 2.62 | 2.61 | 3.02 | 2.99 | 4.87 | 4.88 | 2.64 | 2.71 | 1.40 | 1.20 |
| T9 | 1.76 | 1.76 | 2.17 | 2.19 | 3.97 | 3.98 | 1.81 | 1.80 | 0.54 | 0.43 |
| T10 | 2.65 | 2.64 | 3.05 | 3.06 | 4.87 | 4.88 | 2.69 | 2.69 | 1.42 | 1.27 |
| T11 | 2.56 | 2.54 | 2.97 | 2.97 | 4.85 | 4.87 | 2.67 | 2.70 | 1.36 | 1.24 |
| T12 | 1.61 | 1.36 | 1.95 | 1.74 | 3.52 | 3.56 | 1.35 | 1.38 | 0.20 | 0.05 |
| F-test | NS | NS | NS | NS | NS | NS | NS | NS | NS | NS |
| SEm (±) | 0.04 | 0.07 | 0.06 | 0.08 | 0.08 | 0.1 | 0.07 | 0.08 | 0.03 | 0.03 |
| CV (%) | 45.49 | 46.78 | 39.11 | 39.82 | 23.79 | 23.79 | 0.2 | 45.02 | 86.57 | 84.88 |
| Boro rice | ||||||||||
| T1 | 2.83 | 2.74 | 3.38 | 3.45 | 5.54 | 5.53 | 3.43 | 3.40 | 2.91 | 2.95 |
| T2 | 2.68 | 2.70 | 3.40 | 3.42 | 5.51 | 5.50 | 3.40 | 3.41 | 2.89 | 2.91 |
| T3 | 1.70 | 1.66 | 2.45 | 2.41 | 4.48 | 4.41 | 2.38 | 2.43 | 1.91 | 1.89 |
| T4 | 2.70 | 2.68 | 3.40 | 3.44 | 5.51 | 5.45 | 3.42 | 3.44 | 2.80 | 2.91 |
| T5 | 2.60 | 2.61 | 3.34 | 3.37 | 5.51 | 5.43 | 3.41 | 3.46 | 2.77 | 2.88 |
| T6 | 2.74 | 2.72 | 3.44 | 3.45 | 5.52 | 5.48 | 3.41 | 3.47 | 2.78 | 2.88 |
| T7 | 2.68 | 2.69 | 3.40 | 3.40 | 5.43 | 5.48 | 3.36 | 3.38 | 2.78 | 2.79 |
| T8 | 2.74 | 2.76 | 3.44 | 3.45 | 5.44 | 5.48 | 3.36 | 3.57 | 2.89 | 2.88 |
| T9 | 1.90 | 1.84 | 2.48 | 2.55 | 4.64 | 4.63 | 2.53 | 2.50 | 2.01 | 2.05 |
| T10 | 2.70 | 2.71 | 3.42 | 3.42 | 5.50 | 5.49 | 3.40 | 3.45 | 2.83 | 2.89 |
| T11 | 2.69 | 2.70 | 3.41 | 3.44 | 5.45 | 5.47 | 3.38 | 3.43 | 2.77 | 2.84 |
| T12 | 1.59 | 1.56 | 2.36 | 2.33 | 4.14 | 4.04 | 1.96 | 1.94 | 1.54 | 1.52 |
| F-test | NS | NS | NS | NS | NS | NS | NS | NS | NS | NS |
| SEm (±) | 0.06 | 0.05 | 0.04 | 0.04 | 0.1 | 0.1 | 0.06 | 0.07 | 0.09 | 0.08 |
| CV (%) | 44.41 | 44.41 | 34.66 | 34.39 | 20.94 | 21.01 | 34.94 | 34.54 | 42.53 | 41.72 |
| Treat | Tillers (m−2) | |||||||||||
|---|---|---|---|---|---|---|---|---|---|---|---|---|
| 20 DAT | 40 DAT | 60 DAT | 80 DAT | 100 DAT | 120 DAT | |||||||
| 2014 | 2015 | 2014 | 2015 | 2014 | 2015 | 2014 | 2015 | 2014 | 2015 | 2014 | 2015 | |
| Kharif rice | ||||||||||||
| T1 | 298.8 a | 299.7 a | 311.2 | 315.8 a | 340.3 | 340.7 a | 327.8 a | 326.8 | 324.7 a | 310.4 | 317.3 a | 306.8 |
| T2 | 296.9 a | 292.1 a | 300.3 | 308.8 a | 330.2 | 333.3 a | 305.3 ab | 312 | 303.6 ab | 298.3 | 298.6 ab | 295.2 |
| T3 | 263.1 a | 228.6 a | 278.8 | 274.1 ab | 280.2 | 295.7 a | 270.5 ab | 286.3 | 263.1 ab | 259.4 | 257.8 ab | 259.1 |
| T4 | 289.1 a | 290.8 a | 290.3 | 298.1 a | 331.7 | 333.3 a | 302.9 ab | 312.7 | 302.5 ab | 294.3 | 300.2 ab | 291.6 |
| T5 | 263.6 a | 265.2 a | 280.1 | 284.9 ab | 280.3 | 288.5 ab | 281.2 ab | 280.2 | 280.9 ab | 275.7 | 280.3 ab | 274.0 |
| T6 | 290.1 a | 292.2 a | 296.3 | 301.1 a | 322.6 | 330.0 a | 319.2 a | 307.8 | 313.1 a | 301.2 | 310.2 a | 296.4 |
| T7 | 265.0 a | 264.0 a | 280.5 | 282.2 ab | 282.3 | 283.7 ab | 280.7 ab | 299.8 | 278.9 ab | 281.2 | 271.5 ab | 277.4 |
| T8 | 291.8 a | 293.3 a | 296.3 | 306.2 a | 337.3 | 340.1 a | 318.7 a | 320.2 | 312.1 a | 297.7 | 309.3 a | 296.0 |
| T9 | 263.3 a | 267.0 a | 273.2 | 283.5 ab | 280.8 | 287.0 ab | 285.0 ab | 302.5 | 280.5 ab | 284.0 | 274.7 ab | 274.1 |
| T10 | 287.3 a | 293.7 a | 290.1 | 294.2 ab | 325.5 | 325.3 a | 313.0 a | 309.5 | 309.6 a | 296.6 | 305.3 a | 293.1 |
| T11 | 280.2 a | 285.1 a | 281.5 | 290.4 ab | 281.9 | 301.7 a | 282.0 ab | 299.4 | 280.3 ab | 276.3 | 275.2 ab | 271.3 |
| T12 | 198.3 b | 151.3 b | 206.0 | 205.7 b | 212.7 | 210.7 b | 208.7 b | 208.0 | 204.5 b | 200.8 | 201.7 b | 195.9 |
| F-test | * | * | NS | * | NS | ** | ** | NS | ** | NS | ** | NS |
| SEm (±) | 7.7 | 10.2 | 9.4 | 9.6 | 9.6 | 12.7 | 10.5 | 10.4 | 8.7 | 8.4 | 11.2 | 9.8 |
| CV (%) | 13.49 | 9.54 | 13.65 | 10.53 | 15.50 | 9.31 | 11.84 | 18.94 | 11.98 | 23.91 | 12.16 | 12.42 |
| Boro rice | ||||||||||||
| T1 | 340.8 a | 346.8 a | 361.2 | 362.7 a | 386.3 a | 388.3 a | 380.8 a | 365.7 | 366.7 a | 366.0 | 361.3 a | 360.3 a |
| T2 | 326.9 a | 325.1 a | 330.3 | 335.1 a | 383.6 a | 383.8 a | 375.3 a | 372.3 | 368.6 a | 363.0 | 360.0 a | 361.8 a |
| T3 | 293.1 a | 308.6 a | 310.8 | 316.3 a | 342.0 ab | 340.3 ab | 330.5 ab | 331.7 | 321.1 a | 325.7 | 300.8 ab | 320.3 ab |
| T4 | 332.1 a | 325.8 a | 339.3 | 336.7 a | 371.7 a | 373.6 a | 362.5 a | 367.3 | 359.9 a | 366.0 | 357.2 a | 353.0 a |
| T5 | 299.6 a | 323.0 a | 330.1 | 330.3 a | 345.3 ab | 337.4 ab | 331.2 ab | 328.5 | 326.9 a | 323.5 | 320.3 ab | 320.3 ab |
| T6 | 337.1 a | 332.2 a | 346.3 | 348.3 a | 362.6 a | 372.9 a | 359.2 a | 370.0 | 353.1 a | 369.2 | 347.2 a | 362.5 a |
| T7 | 303.0 a | 320.0 a | 331.0 | 330.7 a | 350.3 ab | 343.3 a | 330.7 ab | 330.7 | 325.9 a | 326.5 | 321.5 ab | 323.3 ab |
| T8 | 338.8 a | 333.3 a | 340.3 | 341.3 a | 383.3 a | 373.1 a | 358.7 a | 363.6 | 352.1 a | 361.3 | 350.3 a | 352.7 a |
| T9 | 303.3 a | 307.0 a | 313.2 | 322.2 a | 342.0 ab | 346.3 ab | 338.6 ab | 332.0 | 331.5 a | 326.5 | 321.7 ab | 323.5 ab |
| T10 | 327.3 a | 333.7 a | 328.1 | 330.3 a | 365.5 a | 373.5 a | 353.0 a | 365.3 | 350.6 a | 363.5 | 345.3 a | 356.9 a |
| T11 | 309.2 a | 319.0 a | 323.5 | 325.0 a | 349.9 ab | 345.9 ab | 342.0 a | 330.7 | 335.3 a | 322.2 | 315.2 ab | 320.3 ab |
| T12 | 208.3 b | 211.3 b | 226.0 | 221.7 b | 252.7 b | 257.3 b | 245.7 b | 240.7 | 233.5 b | 228.0 | 229.7 b | 223.3 b |
| F-test | * | * | NS | * | ** | ** | ** | NS | * | NS | ** | ** |
| SEm (±) | 10.2 | 11.3 | 9.9 | 10.4 | 12.2 | 13.9 | 12 | 11.4 | 10.2 | 10 | 13.2 | 10.8 |
| CV (%) | 7.46 | 8.12 | 16.50 | 9.30 | 9.44 | 10.90 | 9.37 | 17.68 | 8.56 | 22.52 | 9.83 | 12.30 |
| Treatments | Yield Attributes of Rice | |||||||||
|---|---|---|---|---|---|---|---|---|---|---|
| Panicles m−2 | Grains Panicle−1 | Spikelets Panicle−1 | Test Weight (g) | Panicle Length (cm) | ||||||
| 2014 | 2015 | 2014 | 2015 | 2014 | 2015 | 2014 | 2015 | 2014 | 2015 | |
| Kharif rice | ||||||||||
| T1 | 246.1 a | 249.8 | 131.0 a | 133.1 | 148.3 a | 151.0 | 23.5 a | 24.2 | 30.0 | 31.2 |
| T2 | 241.1 b | 244.8 | 127.0 b | 128.2 | 146.5 ab | 146.3 | 22.6 a | 22.8 | 28.7 | 29.7 |
| T3 | 200.2 f | 219.7 | 110.0 d | 110.5 | 133.0 ef | 132.1 | 22.5 a | 22.3 | 26.0 | 22.0 |
| T4 | 245.0 a | 245.9 | 120.0 c | 124.5 | 143.0 c | 148.0 | 22.8 a | 23.2 | 29.9 | 30.9 |
| T5 | 221.1 b | 220.2 | 111.5 d | 112.5 | 135.1 de | 135.5 | 22.2 a | 22.6 | 26.4 | 26.8 |
| T6 | 232.7 c | 236.5 | 125.2 b | 128.6 | 147.5 ab | 150.9 | 21.8 a | 23.8 | 28.2 | 29.9 |
| T7 | 220.2 d | 221.0 | 112.1 d | 114.8 | 136.5 d | 135.1 | 22.6 a | 23.6 | 26.3 | 26.1 |
| T8 | 245.0 a | 247.0 | 122.2 c | 127.6 | 147.3 ab | 148.8 | 22.5 a | 23.2 | 29.3 | 30.6 |
| T9 | 220.2 d | 214.2 | 112.1 d | 113.2 | 136.2 d | 135.0 | 22.2 a | 23.5 | 26.2 | 26.7 |
| T10 | 245.0 a | 245.1 | 111.0 d | 125.4 | 144.9 bc | 146.1 | 22.2 a | 23.2 | 27.0 | 30.4 |
| T11 | 220.6 d | 220.2 | 112.1 d | 114.0 | 131.3 fg | 136.0 | 22.2 a | 23.0 | 25.0 | 25.7 |
| T12 | 212.3 e | 204.0 | 65.5 e | 61.8 | 129.7 g | 127.1 | 20.0 b | 19.7 | 21.0 | 19.1 |
| F-test | ** | NS | ** | NS | ** | NS | * | NS | NS | NS |
| SEm (±) | 8.8 | 9.8 | 6.4 | 6.1 | 3.9 | 5.1 | 1.7 | 1 | 1.1 | 1.4 |
| CV (%) | 24.9 | 28.7 | 18.8 | 17.8 | 11.4 | 14.9 | 4.9 | 2.9 | 3.4 | 4.1 |
| Boro rice | ||||||||||
| T1 | 281.0 | 282.2 | 140.0 | 145.4 | 155.1 | 159.4 | 24.0 | 25.6 | 32.5 | 33.2 |
| T2 | 269.7 | 280.4 | 133.0 | 136.0 | 151.0 | 152.2 | 22.9 | 22.8 | 29.9 | 30.3 |
| T3 | 239.8 | 234.7 | 90.0 | 91.5 | 126.2 | 125.1 | 21.0 | 20.3 | 26.6 | 25.3 |
| T4 | 260.4 | 274.3 | 125.0 | 140.1 | 154.9 | 156.1 | 23.3 | 23.5 | 31.4 | 33.1 |
| T5 | 233.9 | 236.4 | 121.2 | 120.0 | 131.3 | 136.0 | 22.7 | 22.6 | 26.4 | 27.1 |
| T6 | 277.6 | 279.5 | 130.0 | 132.3 | 155.0 | 158.0 | 22.3 | 23.8 | 30.1 | 32.3 |
| T7 | 232.5 | 237.7 | 120.0 | 121.1 | 130.4 | 131.7 | 23.1 | 23.4 | 29.0 | 28.7 |
| T8 | 278.0 | 281.4 | 134.9 | 136.3 | 150.6 | 153.0 | 23.0 | 23.2 | 31.5 | 32.1 |
| T9 | 232.0 | 235.2 | 120.0 | 122.0 | 134.4 | 137.9 | 23.8 | 24.9 | 22.4 | 24.1 |
| T10 | 267.0 | 268.1 | 137.9 | 138.2 | 151.1 | 155.3 | 22.6 | 23.6 | 25.5 | 27.2 |
| T11 | 236.6 | 230.2 | 121.6 | 121.2 | 130.7 | 131.0 | 22.0 | 23.1 | 24.9 | 26.6 |
| T12 | 215.3 | 210.0 | 80.0 | 76.0 | 121.0 | 120.0 | 20.2 | 20.0 | 22.8 | 20.3 |
| F-test | NS | NS | NS | NS | NS | NS | NS | NS | NS | NS |
| SEm (±) | 8 | 8.5 | 6.2 | 6.9 | 6 | 5.9 | 1.8 | 1 | 1 | 1.4 |
| CV (%) | 23.4 | 25.1 | 18.1 | 20.1 | 17.6 | 17.3 | 5.2 | 2.8 | 2.8 | 4.0 |
| Treatment | N Uptake in Grain | N Uptake in Straw | P Uptake in Grain | P Uptake in Straw | K Uptake in Grain | |||||
|---|---|---|---|---|---|---|---|---|---|---|
| 2014 | 2015 | 2014 | 2015 | 2014 | 2015 | 2014 | 2015 | 2014 | 2015 | |
| T1 | 68.5 | 71.7 | 29.6 | 31.9 | 19.3 | 21.0 | 11.8 | 14.1 | 23.6 | 24.9 |
| T2 | 55.7 | 61.8 | 25.2 | 27.4 | 17.3 | 18.5 | 10.4 | 13.3 | 20.9 | 22.8 |
| T3 | 30.9 | 28.7 | 9.7 | 11 | 16.1 | 15.3 | 10.2 | 9.7 | 19.3 | 14.2 |
| T4 | 64.3 | 65.5 | 27.7 | 28.5 | 16.5 | 18.4 | 10.2 | 12.2 | 21.6 | 22.1 |
| T5 | 64.3 | 64.8 | 28.4 | 29.7 | 16.0 | 15.5 | 8.8 | 9.2 | 20.5 | 20.9 |
| T6 | 65.9 | 65.6 | 28.4 | 29.1 | 17.7 | 19.2 | 11.2 | 12.5 | 16.4 | 16.9 |
| T7 | 65.3 | 63.8 | 27.9 | 29.8 | 16.9 | 18.4 | 10.9 | 13.2 | 10.1 | 9.1 |
| T8 | 64.5 | 65.7 | 27.9 | 30.8 | 17.4 | 18.5 | 11.3 | 13.2 | 22.4 | 22.7 |
| T9 | 66.4 | 63.7 | 27.7 | 29.8 | 16.8 | 18.0 | 11.8 | 13.3 | 20.9 | 22.8 |
| T10 | 66.4 | 67 | 27.5 | 30.3 | 17.0 | 18.7 | 11.5 | 13.1 | 21.7 | 22.8 |
| T11 | 65.5 | 66.5 | 27.5 | 30.3 | 17.9 | 18.4 | 11.8 | 13.3 | 22.4 | 22.4 |
| T12 | 20.8 | 16.4 | 14.3 | 9.4 | 7.57 | 6.45 | 4.5 | 4.6 | 4.34 | 3.11 |
| F-test | NS | NS | NS | NS | NS | NS | NS | NS | NS | NS |
| SEm (±) | 1.33 | 2.26 | 0.83 | 0.83 | 0.8 | 0.83 | 0.49 | 0.48 | 1.2 | 0.9 |
| CV (%) | 3.91 | 6.63 | 2.44 | 2.43 | 2.50 | 2.40 | 1.40 | 1.41 | 3.5 | 2.65 |
| Treatment | K uptake in straw | Zn uptake in grain | Zn uptake in straw | S uptake in grain | S uptake in straw | |||||
| 2014 | 2015 | 2014 | 2015 | 2014 | 2015 | 2014 | 2015 | 2014 | 2015 | |
| T1 | 47.8 | 47.9 | 0.13 | 0.14 | 0.29 | 0.30 | 6.7 | 7.0 | 3.1 | 3.2 |
| T2 | 43.0 | 45.0 | 0.12 | 0.12 | 0.26 | 0.25 | 6.6 | 6.5 | 2.9 | 3.0 |
| T3 | 32.1 | 32.0 | 0.07 | 0.06 | 0.18 | 0.17 | 3.4 | 3.7 | 1.7 | 1.8 |
| T4 | 45.9 | 47.1 | 0.13 | 0.11 | 0.27 | 0.26 | 6.4 | 6.5 | 2.7 | 3.0 |
| T5 | 45.4 | 44.8 | 0.10 | 0.10 | 0.25 | 0.23 | 6.0 | 6.1 | 2.5 | 2.8 |
| T6 | 32.8 | 36.2 | 0.12 | 0.11 | 0.27 | 0.28 | 6.3 | 6.6 | 2.8 | 3.1 |
| T7 | 30.0 | 38.4 | 0.11 | 0.13 | 0.26 | 0.29 | 6.5 | 6.6 | 2.9 | 3.0 |
| T8 | 45.5 | 45.7 | 0.10 | 0.10 | 0.20 | 0.18 | 6.6 | 6.9 | 2.9 | 2.9 |
| T9 | 44.5 | 45.4 | 0.09 | 0.08 | 0.13 | 0.10 | 6.6 | 6.5 | 2.8 | 3.0 |
| T10 | 45.1 | 45.8 | 0.11 | 0.12 | 0.26 | 0.26 | 5.7 | 5.6 | 2.3 | 2.5 |
| T11 | 40.8 | 45.7 | 0.11 | 0.11 | 0.28 | 0.27 | 5.3 | 4.4 | 2.3 | 2.1 |
| T12 | 10.9 | 10.5 | 0.04 | 0.03 | 0.12 | 0.11 | 1.98 | 1.72 | 1.12 | 1.1 |
| F-test | NS | NS | NS | NS | NS | NS | NS | NS | NS | NS |
| SEm (±) | 1.67 | 1.92 | 0.004 | 0.009 | 0.01 | 0.009 | 0.14 | 0.19 | 0.1 | 0.1 |
| CV (%) | 4.89 | 5.64 | 0.012 | 0.027 | 0.028 | 0.027 | 0.41 | 0.56 | 0.28 | 0.29 |
| Treatments | N Uptake in Grain | N Uptake in Straw | P Uptake in Grain | P Uptake in Straw | K Uptake in Grain | |||||
|---|---|---|---|---|---|---|---|---|---|---|
| 2014–2015 | 2015–2016 | 2014–2015 | 2015–2016 | 2014–2015 | 2015–2016 | 2014–2015 | 2015–2016 | 2014–2015 | 2015–2016 | |
| T1 | 98.9 | 107.7 | 57.5 | 56.4 | 34.3 | 38.3 a | 28.9 a | 30.2 a | 28.5 | 33.0 a |
| T2 | 76.7 | 81.1 | 41.2 | 51.5 | 28.5 | 30.8 f | 25.3 de | 25.8 ef | 27.0 | 30.5 f |
| T3 | 17.3 | 15.9 | 18.3 | 14.2 | 17.9 | 17.3 h | 15.0 h | 17.2 h | 15.0 | 16.3 h |
| T4 | 87.6 | 100.5 | 52.4 | 54.1 | 25.5 | 27.8 g | 20.8 g | 24.3 g | 27.4 | 30.8 d |
| T5 | 86.6 | 99.9 | 57.2 | 56.2 | 15.3 | 12.8 i | 10.2 i | 7.0 i | 27.7 | 30.7 de |
| T6 | 90.1 | 99.3 | 55.4 | 54.4 | 31.0 | 33.6 e | 24.8 ef | 25.3 f | 19.9 | 25.1 g |
| T7 | 87.7 | 97.2 | 53.2 | 52.2 | 30.6 | 33.7 d | 25.8 cd | 26.9 cd | 12.1 | 10.0 i |
| T8 | 88.1 | 102.4 | 52.3 | 54.5 | 32.1 | 33.7 d | 26.1 c | 28.0 b | 27.0 | 31.0 c |
| T9 | 88.7 | 98.6 | 52.1 | 53.6 | 32.0 | 34.0 b | 24.7 ef | 26.4 de | 26.9 | 30.6 ef |
| T10 | 87.3 | 100.3 | 52.4 | 55.3 | 32.0 | 33.8 c | 27.5 b | 27.7 bc | 26.6 | 30.5 f |
| T11 | 88.7 | 95.5 | 51.4 | 51.1 | 31.1 | 33.8 c | 24.2 f | 26.6 de | 27.9 | 31.9 b |
| T12 | 6.3 | 12.4 | 16.9 | 11 | 4.86 | 4.16 j | 4.29 j | 3.45 j | 2.92 | 2.62 j |
| F-test | NS | NS | NS | NS | NS | ** | ** | ** | ** | ** |
| SEm (±) | 3.5 | 3.6 | 1.7 | 1.9 | 1.92 | 1.67 | 1.67 | 2.46 | 0.67 | 0.83 |
| CV (%) | 11.7 | 10.2 | 4.9 | 5.7 | 5.64 | 4.89 | 4.89 | 7.22 | 1.96 | 2.44 |
| Treatments | K uptake in straw | Zn uptake in grain | Zn uptake in straw | S uptake in grain | S uptake in straw | |||||
| 2014–2015 | 2015–2016 | 2014–2015 | 2015–2016 | 2014–2015 | 2015–2016 | 2014–2015 | 2015–2016 | 2014–2015 | 2015–2016 | |
| T1 | 53.3 a | 64.3 a | 0.19 | 0.19 | 0.35 a | 0.34 ab | 9.2 a | 9.3 a | 6.4 a | 6.7 a |
| T1 | 48.5 d | 59.5 c | 0.18 | 0.18 | 0.32 a | 0.33 ab | 8.6 ab | 8.6 ab | 6.4 a | 6.3 abc |
| T2 | 37.7 f | 36.2 h | 0.12 | 0.14 | 0.20 bc | 0.21 bc | 4.7 d | 4.7 d | 4.2 d | 4.5 d |
| T3 | 51.6 b | 63.4 b | 0.18 | 0.18 | 0.31 a | 0.34 ab | 8.6 ab | 8.6 ab | 6.2 ab | 6.5 ab |
| T4 | 48.7 cd | 56.9 e | 0.16 | 0.16 | 0.27 ab | 0.32 ab | 8.2 b | 8.5 ab | 5.6 bc | 5.7 c |
| T5 | 37.0 f | 41.2 g | 0.18 | 0.18 | 0.31 a | 0.32 ab | 8.6 ab | 8.7 ab | 6.0 ab | 6.2 abc |
| T6 | 34.9 g | 51.0 f | 0.18 | 0.18 | 0.33 a | 0.35 a | 8.9 ab | 8.8 ab | 6.0 ab | 6.3 abc |
| T7 | 48.6 d | 63.8 ab | 0.13 | 0.12 | 0.22 b | 0.23 abc | 8.8 ab | 8.8 ab | 6.5 a | 6.3 abc |
| T8 | 45.5 e | 58.6 d | 0.10 | 0.09 | 0.11 d | 0.10 c | 8.3 b | 8.4 b | 5.0 c | 5.9 bc |
| T9 | 50.7 b | 56.8 e | 0.18 | 0.18 | 0.34 a | 0.34 ab | 6.8 c | 6.9 c | 3.1 e | 3.5 e |
| T10 | 49.6 c | 56.8 e | 0.18 | 0.18 | 0.34 a | 0.34 ab | 4.9 d | 4.6 d | 2.0 f | 2.1 f |
| T11 | 12.6 h | 11.98 i | 0.03 | 0.02 | 0.12 cd | 0.11 c | 1.62 e | 1.51 e | 1.23 g | 1.08 g |
| F-test | ** | ** | NS | NS | ** | ** | ** | ** | ** | ** |
| SEm (±) | 1.8 | 2.67 | 0.006 | 0.007 | 0.012 | 0.01 | 0.23 | 0.25 | 0.15 | 0.17 |
| CV (%) | 5.28 | 7.82 | 0.018 | 0.021 | 0.037 | 0.03 | 0.69 | 0.75 | 0.43 | 0.49 |
| Treatment | Initial Soil Status (kg/mg ha−1) | The 2nd Year of Boro Rice (kg/mg ha−1) | Nutrient Balance (kg/mg ha−1) | ||||||||||||
|---|---|---|---|---|---|---|---|---|---|---|---|---|---|---|---|
| N | P | K | Zn | S | N | P | K | Zn | S | N | P | K | Zn | S | |
| T1 | 230.5 | 11.2 | 125.2 | 0.2 | 10.5 | 290.5 | 31.7 | 211.2 | 0.6 | 27.2 | 60.0 | 20.5 | 86.0 | 0.4 | 16.7 |
| T2 | 230.5 | 11.2 | 125.2 | 0.2 | 10.5 | 242.3 | 27.9 | 209.2 | 0.5 | 24.9 | 11.8 | 16.7 | 84.0 | 0.3 | 14.4 |
| T3 | 230.5 | 11.2 | 125.2 | 0.2 | 10.5 | 216.4 | 28.5 | 208.3 | 0.4 | 24.5 | −14.1 | 17.3 | 83.1 | 0.2 | 14.0 |
| T4 | 230.5 | 11.2 | 125.2 | 0.2 | 10.5 | 286.3 | 26.6 | 210.2 | 0.5 | 25.5 | 55.8 | 15.4 | 85.0 | 0.3 | 15.0 |
| T5 | 230.5 | 11.2 | 125.2 | 0.2 | 10.5 | 286.6 | 9.0 | 207.8 | 0.5 | 24.4 | 56.1 | −2.2 | 82.6 | 0.2 | 13.9 |
| T6 | 230.5 | 11.2 | 125.2 | 0.2 | 10.5 | 285.8 | 30.3 | 196.0 | 0.6 | 24.4 | 55.3 | 19.1 | 70.8 | 0.3 | 13.9 |
| T7 | 230.5 | 11.2 | 125.2 | 0.2 | 10.5 | 282.8 | 28.6 | 112.1 | 0.6 | 24.1 | 52.3 | 17.4 | −13.1 | 0.3 | 13.6 |
| T8 | 230.5 | 11.2 | 125.2 | 0.2 | 10.5 | 282.7 | 28.3 | 207.8 | 0.4 | 24.2 | 52.2 | 17.1 | 82.6 | 0.2 | 13.7 |
| T9 | 230.5 | 11.2 | 125.2 | 0.2 | 10.5 | 280.7 | 28.7 | 204.9 | 0.1 | 25.0 | 50.2 | 17.5 | 79.7 | −0.1 | 14.5 |
| T10 | 230.5 | 11.2 | 125.2 | 0.2 | 10.5 | 284.2 | 29.0 | 202.4 | 0.5 | 16.2 | 53.7 | 17.8 | 77.2 | 0.3 | 5.7 |
| T11 | 230.5 | 11.2 | 125.2 | 0.2 | 10.5 | 276.0 | 27.2 | 201.9 | 0.4 | 3.4 | 45.5 | 16.0 | 76.7 | 0.2 | −7.1 |
| T12 | 230.5 | 11.2 | 125.2 | 0.2 | 10.5 | 214.3 | 8.8 | 112.4 | 0.1 | 3.2 | −16.2 | −2.4 | −12.8 | −0.1 | −7.3 |
| STDEV | 0.00 | 0.00 | 0.00 | 0.00 | 0.00 | 27.99 | 7.81 | 36.73 | 0.17 | 8.49 | 27.99 | 7.81 | 36.7 | 0.16 | 8.49 |
| ±SEm | 0.00 | 0.00 | 0.00 | 0.00 | 0.00 | 8.08 | 2.26 | 10.60 | 0.05 | 2.45 | 8.08 | 2.26 | 10.6 | 0.05 | 2.45 |
Publisher’s Note: MDPI stays neutral with regard to jurisdictional claims in published maps and institutional affiliations. |
© 2021 by the authors. Licensee MDPI, Basel, Switzerland. This article is an open access article distributed under the terms and conditions of the Creative Commons Attribution (CC BY) license (https://creativecommons.org/licenses/by/4.0/).
Share and Cite
Shankar, T.; Malik, G.C.; Banerjee, M.; Dutta, S.; Maitra, S.; Praharaj, S.; Sairam, M.; Kumar, D.S.; Dessoky, E.S.; Hassan, M.M.; et al. Productivity and Nutrient Balance of an Intensive Rice–Rice Cropping System Are Influenced by Different Nutrient Management in the Red and Lateritic Belt of West Bengal, India. Plants 2021, 10, 1622. https://doi.org/10.3390/plants10081622
Shankar T, Malik GC, Banerjee M, Dutta S, Maitra S, Praharaj S, Sairam M, Kumar DS, Dessoky ES, Hassan MM, et al. Productivity and Nutrient Balance of an Intensive Rice–Rice Cropping System Are Influenced by Different Nutrient Management in the Red and Lateritic Belt of West Bengal, India. Plants. 2021; 10(8):1622. https://doi.org/10.3390/plants10081622
Chicago/Turabian StyleShankar, Tanmoy, Ganesh Chandra Malik, Mahua Banerjee, Sudarshan Dutta, Sagar Maitra, Subhashisa Praharaj, Masina Sairam, Duvvada Sarath Kumar, Eldessoky S. Dessoky, Mohamed M. Hassan, and et al. 2021. "Productivity and Nutrient Balance of an Intensive Rice–Rice Cropping System Are Influenced by Different Nutrient Management in the Red and Lateritic Belt of West Bengal, India" Plants 10, no. 8: 1622. https://doi.org/10.3390/plants10081622
APA StyleShankar, T., Malik, G. C., Banerjee, M., Dutta, S., Maitra, S., Praharaj, S., Sairam, M., Kumar, D. S., Dessoky, E. S., Hassan, M. M., Ismail, I. A., Saif, T., Skalicky, M., Brestic, M., & Hossain, A. (2021). Productivity and Nutrient Balance of an Intensive Rice–Rice Cropping System Are Influenced by Different Nutrient Management in the Red and Lateritic Belt of West Bengal, India. Plants, 10(8), 1622. https://doi.org/10.3390/plants10081622

