QTL Mapping of Heat Tolerance in Cucumber (Cucumis sativus L.) at Adult Stage
Abstract
1. Introduction
2. Results
2.1. Inheritance Analysis of Heat Tolerance in Adult Cucumber
2.2. QTL Mapping of Heat Tolerance
2.3. Validation of Molecular Marker Linked to qHT1.1
2.4. Prediction of HT Candidate Gene
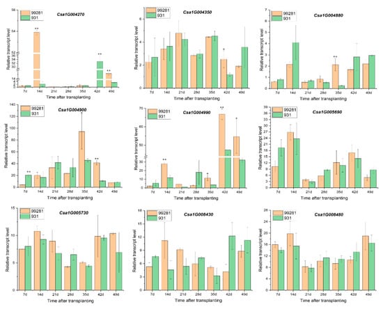
2.5. Gene Expression Pattern Analysis
3. Discussion
4. Materials and Methods
4.1. Plant Materials
4.2. Phenotypic Analysis of Heat Tolerance
4.3. QTL Mapping of Heat Tolerance
4.4. Validation of Indel Markers Linked to Heat Tolerant
4.5. Prediction of Candidate Gene
4.6. Extraction of RNA and qRT-PCR
4.7. Statistical Analysis
5. Conclusions
Supplementary Materials
Author Contributions
Funding
Institutional Review Board Statement
Informed Consent Statement
Data Availability Statement
Acknowledgments
Conflicts of Interest
Abbreviations
| QTL | quantitative trait loci |
| RIL | recombinant inbred line |
| HS | heat stress |
| HII | heat injury index |
| SY | Shunyi |
| NK | Nankou |
| CG | core germplasm |
| SSR | simple sequence repeat |
| RAPD | random amplified polymorphic DNA |
| R/QTL | QTL software package in R |
References
- An, Z.X.; Meng, Q.L.; Liu, W.M. The origin and spread of cucumber. J. Chang. Veget. 2006, 1, 39–40. [Google Scholar]
- Tian, J.; Guo, S.R. Research progress on high-temperature stress injury and heat tolerance of cucumber. China Veget. 2002, 18, 43–52. [Google Scholar]
- Meng, L.B.; Qin, Z.W.; Li, S.M.; Zhou, X.Y. Effect of high temperature on yield and quality of different cucumber cultivars. China Veget. 2004, 05, 5–7. [Google Scholar]
- Sun, Y.L.; Zang, C.J.; Yao, T.T.; Li, X.L.; Yue, L.X. Research advances on heat tolerance of cucumber in China. China Fruit Veget. 2018, 38, 57–62. [Google Scholar]
- Meng, H.W.; Zhang, Y.F.; Cheng, Z.H.; Su, J.; Cui, H.W. The physiological reaction to hot stress and screening of hot tolerance index in cucumber. Acta Agric. Bor. Occid. Sin. 2000, 9, 96–99. [Google Scholar]
- Meng, L.B. Studies on High Temperature Tolerance Character and Selection of High Temperature Tolerance Germplasm in Cucumber (Cucumis sativus L.). Master’s Thesis, Northeast Agricultural University, Harbin, China, 2002. [Google Scholar]
- Li, W.G.; Yang, Y.G.; Wei, Y.; Meng, J.L.; Chen, J.F. Expression of CsHSP70 gene changes of some physiological characters in cucumber seedlings during heat stress. J. Nanjing Agric. Univ. 2010, 33, 47–50. [Google Scholar]
- Yu, B.W.; Dong, R.Y.; Lei, J.J.; Chen, C.M.; Zhou, H.Y.; Cao, B.H. Screening and identification of heat resistance cucumber. Mol. Plant Breed. 2017, 15, 4695–4705. [Google Scholar]
- Ma, D.H.; Pang, J.A.; Li, S.J.; Huo, Z.R. Effects of temperature stress acclimation on some physiological characters in leaves of cucumber seedlings. Acta Hortic. Sin. 1998, 25, 39–44. [Google Scholar]
- Li, X.X.; Zhu, D.W. Descriptors and Data Standard for Cucumber; China Agriculture Press: Beijing, China, 2005; pp. 51–97. [Google Scholar]
- Yang, Y.G.; Li, W.G.; Lou, Q.F.; Chen, J.F. Advances in the research of high temperature injury and heat tolerance in cucumbers. China Cucurbits Veget. 2007, 5, 30–34. [Google Scholar] [CrossRef]
- Zhang, P.; Qin, Z.W. Genetic analysis of heat tolerance in cucumber. J. Northeast Agric. Univ. 2007, 4, 486–490. [Google Scholar]
- Cheng, Z.H.; Nie, W.J.; Meng, H.W.; Wang, M.Q. Screening of identification indexes at seed germination stage and establishment of the forecast equation for cucumber hot tolerance. J. Northwest A F Univ. 2011, 39, 121–126. [Google Scholar]
- Dan, Z.; Mu, W.F.; Su, Y.L. Determination of heat-tolerance evaluation and establishment of mathematical evaluation model in adult stage of European type cucumber under natural high temperature. S. China J. Agric. Sci. 2015, 28, 2213–2217. [Google Scholar]
- Yu, C.S.; Wang, Y.J. Inheritance of heat tolerance in cucumber. Acta Agric. Boreali Sin 2003, 18, 87–89. [Google Scholar]
- Li, W.G. The genetic Analysis of Heat Tolerance and Genotype Difference on Heat Shock Response in Cucumber. Master’s Thesis, Nanjing Agricultural University, Nanjing, China, 2009. [Google Scholar]
- Zhuang, Y. Genetic Analysis and Preliminary QTL Mapping of Heat Tolerance in Cucumber (Cucumis sativus L.). Master’s Thesis, Yangzhou University, Yangzhou, China, 2014. [Google Scholar]
- Xu, Q.; Zhuang, Y.; Lu, J.C.; Qi, X.H.; Chen, X.H. Genetic analysis of heat tolerance in cucumber seedlings. Mol. Plant Breed. 2017, 15, 5128–5133. [Google Scholar]
- Wang, M.; Liu, W.R.; Jiang, B.; Peng, Q.W. Genetic analysis and related gene primary mapping of heat stress tolerance in cucumber using bulked segregant analysis. HortScience 2019, 54, 423–428. [Google Scholar] [CrossRef]
- Yang, Y.G. Studies on the Heat Tolerance and Gene of Heat Stress Response Related in Cucumber. Ph.D. Thesis, Nanjing Ag-ricultural University, Nanjing, China, 2007. [Google Scholar]
- Yang, D.F. Mapping Quantitative Traits Loci for the Heat Tolerance in Cucumber. Master’s Thesis, Northeast Agricultural University, Harbin, China, 2006. [Google Scholar]
- Dong, S.Y.; Zhang, S.; Wei, S.; Liu, Y.Y.; Li, C.X.; Bo, K.L.; Miao, H.; Zhang, S.P.; Gu, X.F. Identification of Quantitative Trait Loci Controlling High-Temperature Tolerance in Cucumber (Cucumis sativus L.) Seedlings. Plants 2020, 9, 1155. [Google Scholar] [CrossRef]
- Liu, K.; Chen, W. Research progress on plant heat stress tolerant genes. J. Plant Genet. Resour. 2015, 16, 127–132. [Google Scholar]
- Jiang, J.J.; Zhang, J.H.; Lei, J.J. Heat stress to cucumber: Physiology, genetics and molecular mechanisms. Guangdong Agric. Sci. 2014, 41, 29–34. [Google Scholar]
- Meng, X.; Wang, J.R.; Wang, G.D.; Liang, X.Q.; Li, X.D.; Meng, Q.W. An R2R3-MYB gene, LeAN2, positively regulated the thermo-tolerance in transgenic tomato. J. Plant Physiol. 2015, 175, 1–8. [Google Scholar] [CrossRef] [PubMed]
- Whitley, D.; Goldberg, S.P.; Jordan, W.D. Heat shock proteins: A review of the molecular chaperones. J. Vasc. Surg. 1999, 29, 748–751. [Google Scholar] [CrossRef]
- Zhang, X.; Zhang, B.; Li, M.; Yin, X.; Huang, L.; Cui, Y.; Xia, X. OsMSR15 encoding a rice C2H2 type zinc finger protein confers enhanced drought tolerance in transgenic Arabidopsis. J. Plant Biol. 2016, 59, 271–281. [Google Scholar] [CrossRef]
- Yu, B.W.; Yan, S.S.; Zhou, H.Y.; Dong, R.Y.; Lei, J.J.; Chen, C.M.; Cao, B.H. Overexpression of CsCaM3 improves high temperature tolerance in cucumber. Front. Plant Sci. 2018, 9, 797. [Google Scholar] [CrossRef] [PubMed]
- Xie, X.X. Identification and Cloning of Genes for Downy Mildew Resistance in Cucumber. Master’s Thesis, Henan Agricuitural University, Zhengzhou, China, 2016. [Google Scholar]
- Fan, Z.H.; Zhou, R.G.; Li, X.Z.; Bai, J. Calcium-Calmodulin and the Inducement of Heat Shock Proteins in Wheat Seedling. Acta Phytophysiol. Sin. 2000, 26, 331–336. [Google Scholar]
- Yan, J. AtCHIP, a U-box-containing E3 ubiquitin ligase, plays a critical role in temperature stress tolerance in Arabidopsis. Plant Physiol. 2003, 132, 861–869. [Google Scholar] [CrossRef] [PubMed]
- Wang, W.; Vinocur, B.; Altman, A. Plant responses to drought, salinity and extreme temperatures: Towards genetic engineering for stress tolerance. Planta 2003, 218, 1–14. [Google Scholar] [CrossRef]
- Feng, P.P.; Chen, P.; Hong, W.J.; Zhao, X.Y.; Liu, X.M. Research progress of MYB transcription factor family in arabidopsis thaliana. Life Sci. Res. 2016, 20, 555–560. [Google Scholar]
- Wei, S.; Zhang, S.; Bo, K.L.; Wang, W.P.; Miao, H.; Dong, S.Y.; Gu, X.F.; Zhang, S.P. Evaluation and genome-wide association study (GWAS) of seedling thermotolerance in cucumber core germplasm. J. Plant Genet. Resour. 2019, 5, 23. [Google Scholar]
- Wang, Y.H.; Bo, K.L.; Gu, X.F.; Pan, J.S.; Li, Y.H.; Chen, J.; Wen, C.; Ren, Z.; Ren, H.; Chen, X.; et al. Molecularly tagged genes and quantitative trait loci in cucumber with recommendations for QTL nomenclature. Hortic. Res. 2020, 7, 1–20. [Google Scholar] [CrossRef] [PubMed]
- Gao, M.L.; Hu, L.L.; Li, Y.H.; Weng, Y.Q. The chlorophyll-deficient golden leaf mutation in cucumber is due to a single nucleotide substitution in CsChlI for magnesium chelatase I subunit. Theor. Appl. Genet. 2016, 129, 1961–1973. [Google Scholar] [CrossRef]
- Qi, J.J.; Liu, X.; Shen, D.; Miao, H.; Xie, B.; Li, X.; Zeng, P.; Wang, S.; Shang, Y.; Gu, X.; et al. A genomic variation map provides insights into the genetic basis of cucumber domestication and diversity. Nat. Genet. 2013, 45, 1510–1515. [Google Scholar] [CrossRef]
- Xie, Q.; Liu, P.N.; Shi, L.X.; Miao, H.; Bo, K.L.; Gu, X.F.; Zhang, S.P. Combined fine mapping, genetic diversity, and transcriptome profiling reveals that the auxin transporter gene ns plays an important role in cucumber fruit spine development. Theor. Appl. Genet. 2018, 131, 1239–1252. [Google Scholar] [CrossRef] [PubMed]
- Jarošová, J.; Kundu, J.K. Research article Validation of reference genes as internal control for studying viral infections in cereals by quantitative real-time RT-PCR. BMC Plant Biol. 2010, 10, 146. [Google Scholar] [CrossRef] [PubMed]
- Swift, M.L. GraphPad prism, data analysis, and scientific graphing. J. Chem. Inf. Comp. Sci. 1997, 37, 411–412. [Google Scholar] [CrossRef]








| Environment | Parental Lines (Mean ± SE) | F1 (Mean ± SE) | Homozygous Individuals of RILs | ||||
|---|---|---|---|---|---|---|---|
| “99281” | “931” | (Mean ± SE) | SD | Skewness | Kurtosis | ||
| Shunyi_2018 | 17.50 ± 2.50 ** | 86.50 ± 1.50 | 50.00 ± 2.00 | 36.43 ± 2.88 | 26.75 | 0.39 | −1.44 |
| Shunyi_2019 | 14.00 ± 2.00 ** | 93.75 ± 1.03 | 24.00 ± 1.79 | 44.85 ± 2.69 | 24.96 | 0.48 | −1.24 |
| Nankou_2020 | 9.33 ± 1.33 ** | 73.33 ± 0.00 | 26.00 ± 2.00 | 32.62 ± 1.67 | 15.52 | 0.80 | −0.36 |
| Environment | Population | QTL | Chromosome | Marker Interval | Peak Location | LOD | R2 (%) |
|---|---|---|---|---|---|---|---|
| Shunyi_2018 | RIL | qHT1.1 | Chr.1 | SSR23757 | 4.0 cM | 20.96 | 59.60 |
| Shunyi_2019 | RIL | qHT1.1 | Chr.1 | SSR23757 | 4.0 cM | 24.84 | 58.10 |
| Nankou_2020 | RIL | qHT1.1 | Chr.1 | SSR23757 | 4.0 cM | 12.72 | 40.10 |
| Gene ID | Location on Chr.1 | Gene Function Annotation |
|---|---|---|
| Csa1G004270 | 757,308–761,377 | JmjC domain-containing protein |
| Csa1G004350 | 807,495–821,790 | MORC family CW-type zinc finger protein |
| Csa1G004880 | 848,104–850,314 | WD repeat-containing protein |
| Csa1G004900 | 858,938–861,275 | Myb family transcription factor |
| Csa1G004990 | 987,005–990,966 | RING finger protein |
| Csa1G005690 | 1,120,999–1,126,651 | Calmodulin binding protein |
| Csa1G005730 | 1,142,413–1,144,240 | U-box domain-containing protein |
| Csa1G008430 | 1,275,027–1,276,369 | MYB transcription factor |
| Csa1G008480 | 1,297,918–1,307,476 | RING finger and CHY zinc finger domain-containing protein |
Publisher’s Note: MDPI stays neutral with regard to jurisdictional claims in published maps and institutional affiliations. |
© 2021 by the authors. Licensee MDPI, Basel, Switzerland. This article is an open access article distributed under the terms and conditions of the Creative Commons Attribution (CC BY) license (http://creativecommons.org/licenses/by/4.0/).
Share and Cite
Liu, Y.; Dong, S.; Wei, S.; Wang, W.; Miao, H.; Bo, K.; Gu, X.; Zhang, S. QTL Mapping of Heat Tolerance in Cucumber (Cucumis sativus L.) at Adult Stage. Plants 2021, 10, 324. https://doi.org/10.3390/plants10020324
Liu Y, Dong S, Wei S, Wang W, Miao H, Bo K, Gu X, Zhang S. QTL Mapping of Heat Tolerance in Cucumber (Cucumis sativus L.) at Adult Stage. Plants. 2021; 10(2):324. https://doi.org/10.3390/plants10020324
Chicago/Turabian StyleLiu, Yanyan, Shaoyun Dong, Shuang Wei, Weiping Wang, Han Miao, Kailiang Bo, Xingfang Gu, and Shengping Zhang. 2021. "QTL Mapping of Heat Tolerance in Cucumber (Cucumis sativus L.) at Adult Stage" Plants 10, no. 2: 324. https://doi.org/10.3390/plants10020324
APA StyleLiu, Y., Dong, S., Wei, S., Wang, W., Miao, H., Bo, K., Gu, X., & Zhang, S. (2021). QTL Mapping of Heat Tolerance in Cucumber (Cucumis sativus L.) at Adult Stage. Plants, 10(2), 324. https://doi.org/10.3390/plants10020324

