Spatial Variation of Cladophora Epiphytes in the Nan River, Thailand
Abstract
1. Introduction
2. Materials and Methods
3. Algal Identification
4. Taxonomic Identification of Microbial Taxa
Light Microscopy
5. Taxonomic Informatic Analysis of Amplicons (SSU and ITs)
5.1. DNA Extraction and Sequencing
5.2. Data Analysis
6. Diversity Estimation
6.1. Alpha Diversity
6.2. Beta Diversity
7. Common Organisms in Lotic and Lentic Freshwater Cladophora Microbiome
8. Results
Identification of Cladophora sp.
9. Taxonomic Identification of Microbial Taxa
9.1. Light Microscopy
9.2. Amplicon Analysis
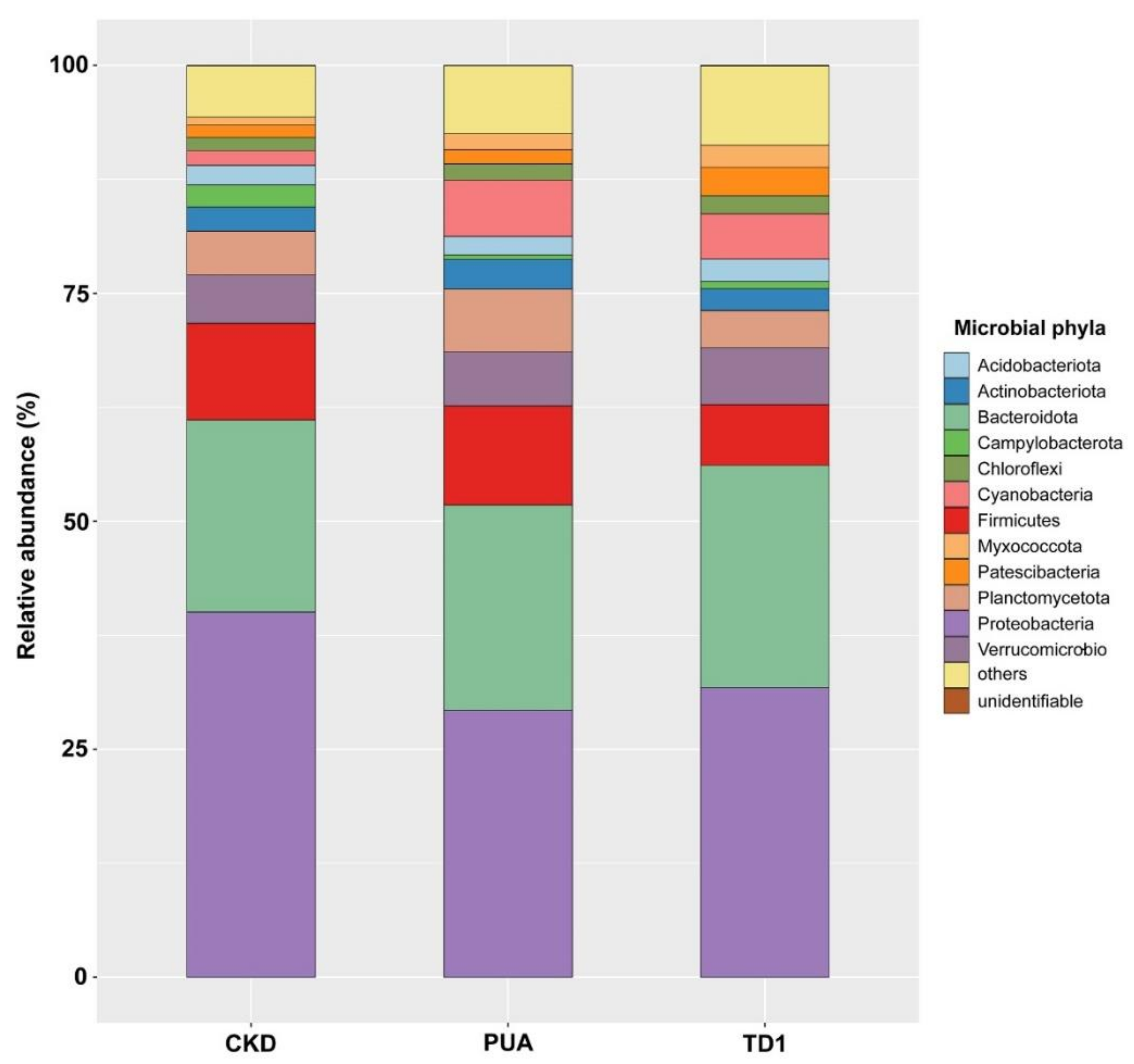
9.2.1. SSU—16S rDNA Amplicon Analysis
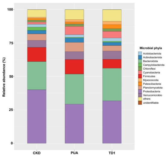
9.2.2. SSU—18S rDNA Amplicon Analysis
9.3. ITS Amplicon Analysis
10. Diversity Estimation
10.1. Alpha Diversity
10.2. Beta Diversity
11. Common Members of Freshwater Cladophora Microbiomes
12. Discussion
Microbiomes of Lentic Cladophora sp.
13. Common Members of Freshwater Cladophora Microbiomes
Supplementary Materials
Author Contributions
Funding
Data Availability Statement
Acknowledgments
Conflicts of Interest
References
- Van den Hoek, C. Revision of the European Species of Cladophora; Brill Academic Publishers: Leiden, The Netherlands, 1963. [Google Scholar]
- Van den Hoek, C. The phytogeography of Cladophora (Chlorophyceae) in the Northern Atlantic Ocean, in comparison to that of other benthic algal species. Helgoländer Wiss. Meeresunters. 1979, 32, 374–393. [Google Scholar] [CrossRef]
- John, D.M.; Whitton, B.A.; Brook, A.J. The Freshwater Algal Flora of the British Isles: An Identification Guide to Freshwater and Terrestrial Algae; Cambridge University Press: Cambridge, New York, USA, 2002. [Google Scholar]
- Zulkifly, S.B.; Graham, J.M.; Young, E.B.; Mayer, R.J.; Piotrowski, M.J.; Smith, I.; Graham, L.E. The genus Cladophora Kützing (Ulvophyceae) as a globally distributed ecological engineer. J. Phycol. 2013, 49, 1–17. [Google Scholar] [CrossRef]
- Dodds, W.; Gudder, D. The ecology of Cladophora. J. Phycol. 1992, 28, 415–427. [Google Scholar] [CrossRef]
- Braus, M.J.; Graham, L.E.; Whitman, T.L. Spatiotemporal dynamics of the bacterial microbiota on lacustrine Cladophora glomerata (Chlorophyta). J. Phycol. 2017, 53, 1255–1262. [Google Scholar] [CrossRef]
- Chun, C.L.; Peller, J.R.; Shively, D.; Byappanahalli, M.N.; Whitman, R.L.; Staley, C.; Zhang, Q.; Ishii, S.; Sadowsky, M.J. Virulence and biodegradation potential of dynamic microbial communities associated with decaying Cladophora in Great Lakes. Sci. Total Environ. 2017, 574, 872–880. [Google Scholar] [CrossRef]
- Depew, D.C.; Houben, A.J.; Guildford, S.J.; Hecky, R.E. Distribution of nuisance Cladophora in the lower Great Lakes: Patterns with land use, near shore water quality and dreissenid abundance. J. Great Lakes Res. 2011, 37, 656–671. [Google Scholar] [CrossRef]
- Graham, L.E.; Knack, J.J.; Graham, M.E.; Graham, J.M.; Zulkifly, S. A metagenome for lacustrine Cladophora (Cladophorales) reveals remarkable diversity of eukaryotic epibionts and genes relevant to materials cycling. J. Phycol. 2015, 51, 408–418. [Google Scholar] [CrossRef]
- Zulkifly, S.; Hanshew, A.; Young, E.B.; Lee, P.; Graham, M.E.; Graham, M.E.; Piotrowski, M.; Graham, L.E. The epiphytic microbiota of the globally widespread macroalga Cladophora glomerata (Chlorophyta, Cladophorales). Am. J. Bot. 2012, 99, 1541–1552. [Google Scholar] [CrossRef]
- Satjarak, A.; Piapukiew, J.; Chanthapatchot, W.; Ruen-Pham, K.; Vangnai, A. Herbicide atrazine alters the microbiota of the filamentous green alga cladophora sp. cultured from Thailand. Sains Malays. 2021, 50, 1255–1265. [Google Scholar] [CrossRef]
- Dion-Phénix, H.; Charmantier, A.; de Franceschi, C.; Bourret, G.; Kembel, S.W.; Réale, D. Bacterial microbiota similarity between predators and prey in a blue tit trophic network. ISME J. 2021, 15, 1098–1107. [Google Scholar] [CrossRef]
- Perrino, E.V.; Valerio, F.; Jallali, S.; Trani, A.; Mezzapesa, G.N. Ecological and biological properties of Satureja cuneifolia Ten. and Thymus spinulosus Ten.: Two wild officinal species of conservation concern in Apulia (Italy). a preliminary survey. Plants 2021, 10, 1952. [Google Scholar] [CrossRef]
- Higgins, S.N.; Malkin, S.Y.; Todd Howell, E.; Guildford, S.J.; Campbell, L.; Hiriart-Baer, V.; Hecky, R.E. An ecological review of Cladophora glomerata (Chlorophyta) in the Laurentian Great Lakes. J. Phycol. 2008, 44, 839–854. [Google Scholar] [CrossRef]
- Byappanahalli, M.N.; Sawdey, R.; Ishii, S.; Shively, D.A.; Ferguson, J.A.; Whitman, R.L.; Sadowsky, M.J. Seasonal stability of Cladophora-associated Salmonella in Lake Michigan watersheds. Water Res. 2009, 43, 806–814. [Google Scholar] [CrossRef]
- Whitman, R.L.; Shively, D.A.; Pawlik, H.; Nevers, M.B.; Byappanahalli, M.N. Occurrence of Escherichia coli and enterococci in Cladophora (Chlorophyta) in nearshore water and beach sand of Lake Michigan. Appl. Environ. Microbiol. 2003, 69, 4714–4719. [Google Scholar] [CrossRef] [PubMed]
- Olapade, O.A.; Depas, M.M.; Jensen, E.T.; McLellan, S.L. Microbial communities and fecal indicator bacteria associated with Cladophora mats on beach sites along Lake Michigan shores. Appl. Environ. Microbiol. 2006, 72, 1932–1938. [Google Scholar] [CrossRef]
- Ishii, S.; Yan, T.; Shively, D.A.; Byappanahalli, M.N.; Whitman, R.L.; Sadowsky, M.J. Cladophora (Chlorophyta) spp. harbor human bacterial pathogens in nearshore water of Lake Michigan. Appl. Environ. Microbiol. 2006, 72, 4545–4553. [Google Scholar] [CrossRef]
- Byappanahalli, M.N.; Nevers, M.B.; Przybyla-Kelly, K.; Ishii, S.; King, T.L.; Aunins, A.W. Great Lakes Cladophora harbors phylogenetically diverse nitrogen-fixing microorganisms. Environ. DNA 2019, 1, 186–195. [Google Scholar] [CrossRef]
- Whitman, R.L.; Byappanahalli, M.; Spoljaric, A.; Przybyla-Kelly, K.; Shively, D.A.; Nevers, M. Evidence for free-living Bacteroides in Cladophora along the shores of the Great Lakes. Aquat. Microb. Ecol. 2014, 72, 117–126. [Google Scholar] [CrossRef][Green Version]
- Marsh, G.A.; Fairbridge, R.W. Lentic and lotic ecosystems. In Environmental Geology (Encyclopedia of Earth Science); Springer: Dordrecht, The Netherlands, 1999; pp. 381–388. [Google Scholar] [CrossRef]
- Junk, W.; Bayley, P.; Sparks, R. The flood pulse concept in river-floodplain systems. Can. Spec. Publ. Fish. Aquat. Sci. 1989, 106, 110–127. [Google Scholar]
- Bayley, P.B. Understanding large river: Floodplain ecosystems. BioScience 1995, 45, 153–158. [Google Scholar] [CrossRef]
- Essington, T.E.; Carpenter, S.R. Mini-review: Nutrient cycling in lakes and streams: Insights from a comparative analysis. Ecosystems 2000, 3, 131–143. [Google Scholar] [CrossRef]
- Peerapornpisal, Y.; Amornlerdpison, D.; Rujjanawate, C.; Ruangrit, K.; Kanjanapothi, D. Two endemic species of macroalgae in Nan River, northern Thailand, as therapeutic agents. ScienceAsia 2006, 32, 71–76. [Google Scholar] [CrossRef]
- Srimaroeng, C.; Ontawong, A.; Saowakon, N.; Vivithanaporn, P.; Pongchaidecha, A.; Amornlerdpison, D.; Soodvilai, S.; Chatsudthipong, V. Antidiabetic and renoprotective effects of Cladophora glomerata Kützing extract in experimental type 2 diabetic rats: A potential nutraceutical product for diabetic nephropathy. J. Diabetes Res. 2015, 320167. [Google Scholar] [CrossRef]
- Laungsuwon, R.; Chulalaksananukul, W. Antioxidant and anticancer activities of freshwater green algae, Cladophora glomerata and Microspora floccosa, from Nan River in northern Thailand. Maejo Int. J. Sci. Technol. 2013, 7, 181–188. [Google Scholar] [CrossRef]
- Laungsuwon, R.; Chulalaksananukul, W. Chemical composition and antibacterial activity of extracts from freshwater green algae, Cladophora glomerata Kützing and Microspora floccosa (Vaucher) Thuret. J. BioSci. Biotechnol. 2014, 3, 211–218. [Google Scholar]
- Surayot, U.; Hun Lee, J.; Kanongnuch, C.; Peerapornpisal, Y.; Park, W.; You, S. Structural characterization of sulfated arabinans extracted from Cladophora glomerata Kützing and their macrophage activation. Biosci. Biotechnol. Biochem. 2016, 80, 972–982. [Google Scholar] [CrossRef] [PubMed]
- Suanmali, W.; Moonmaun, S.; Phoomyai, P. Efficiency of antioxidant compounds from macro edible algae. J. Energy Power Eng. 2017, 11, 173–178. [Google Scholar] [CrossRef]
- Yarnpakdee, S.; Benjakul, S.; Senphan, T. Antioxidant activity of the extracts from freshwater macroalgae (Cladophora glomerata) grown in Northern Thailand and its preventive effect against lipid oxidation of refrigerated eastern little tuna slice. Turk. J. Fish. Aquat. Sci. 2019, 19, 209–219. [Google Scholar] [CrossRef]
- Boonprab, K.; Matsui, K.; Kataoka, N. Preliminary study on bioethanol from fresh water algae, Cladophora glomerata (Sarai Kai) by the fungus, Monascus sp. NP1. J. Appl. Phycol. 2018, 30, 137–141. [Google Scholar] [CrossRef]
- Prescott, G.W. How to Know the Fresh-Water Algae; An Illustrated Key for Identifying the More Common Fresh-Water Algae to Genus with Hundreds of Species Named and Pictured and with Numerous Aids for Their Study; William C. Brown Company: Dubuque, IA, USA, 1964. [Google Scholar]
- Johnson, L.P. Key to some common freshwater protozoa. Bios 1956, 27, 3–32. [Google Scholar]
- Greeson, P.E. An Annotated Key to the Identification of Commonly Occurring and Dominant Genera of Algae Observed in the Phytoplankton of the United States; U.S. Department of the Interior: Washington, DC, USA, 1982. [Google Scholar] [CrossRef]
- Matthews, R. Freshwater algae in Northwest Washington, Volume I. Cyanobacteria; Institute for Watershed Studies, Huxley College of the Environment, Western Washington University: Bellingham, WA, USA, 2016. [Google Scholar] [CrossRef]
- Blanco, S. Diatom taxonomy and identification keys. In Modern Trends in Diatom Identification; Cristóbal, G., Blanco, S., Bueno, G., Eds.; Springer: Cham, Switzerland, 2020; pp. 25–38. [Google Scholar] [CrossRef]
- Klindworth, A.; Pruesse, E.; Schweer, T.; Peplles, J.; Quast, C.; Horn, M.; Glöckner, F.O. Evaluation of general 16S ribosomal RNA gene PCR primers for classical and next-generation sequencing-based diversity studies. Nucleic Acids Res. 2013, 41, e1. [Google Scholar] [CrossRef]
- Bradley, I.M.; Pinto, A.J.; Guest, J.S. Design and evaluation of Illumina MiSeq-compatible, 18S rRNA gene-specific primers for improved characterization of mixed phototrophic communities. Appl. Environ. Microbiol. 2016, 82, 5878–5891. [Google Scholar] [CrossRef]
- Gardes, M.; Bruns, T.D. ITS primers with enhanced specificity for basidiomycetes-application to the identification of mycorrhizae and rusts. Mol. Ecol. 1993, 2, 113–118. [Google Scholar] [CrossRef]
- White, T.J.; Bruns, T.; Lee, S.; Taylor, J. Amplification and direct sequencing of fungal ribosomal RNA genes for phylogenetics. In PCR Protocols: A Guide to Methods and Applications; Innis, M.A., Gelfand, D.H., Eds.; Academic Press, Inc.: London, UK, 1990; pp. 315–322. [Google Scholar]
- Andrews, S. FastQC: A Quality Control Tool for High Throughput Sequence Data 2010. Available online: http://www.bioinformatics.babraham.ac.uk/projects/fastqc (accessed on 10 September 2020).
- Bolger, A.M.; Lohse, M.; Usadel, B. Trimmomatic: A flexible trimmer for Illumina sequence data. Bioinformatics 2014, 30, 2114–2120. [Google Scholar] [CrossRef]
- Quast, C.; Pruesse, E.; Yilmaz, P.; Gerken, J.; Schweer, T.; Yarza, P.; Peplies, J.; Glöckner, F.O. The SILVA ribosomal RNA gene database project: Improved data processing and web-based tools. Nucleic Acids Res. 2013, 41, D590–D596. [Google Scholar] [CrossRef]
- Li, W.; Godzik, A. Cd-hit: A fast program for clustering and comparing large sets of protein or nucleotide sequences. Bioinformatics 2006, 22, 1658–1659. [Google Scholar] [CrossRef]
- Rognes, T.; Flouri, T.; Nichols, B.; Quince, C.; Mahe, F. VSEARCH: A versatile open source tool for metagenomics. PeerJ 2016, 4, e2584. [Google Scholar] [CrossRef]
- Afgan, E.; Baker, D.; Batut, B.; van den Beek, M.; Bouvier, D.; Čech, M.; Chilton, J.; Clements, D.; Coraor, N.; Grüning, B.A.; et al. The Galaxy platform for accessible, reproducible and collaborative biomedical analyses: 2018 update. Nucleic Acids Res. 2018, 46, W537–W544. [Google Scholar] [CrossRef]
- Nilsson, R.H.; Larsson, K.H.; Taylor, A.F.S.; Bengtsson-Palme, J.; Jeppesen, T.S.; Schigel, D.; Kennedy, P.; Picard, K.; Glöckner, F.O.; Tedersoo, L.; et al. The UNITE database for molecular identification of fungi: Handling dark taxa and parallel taxonomic classifications. Nucleic Acids Res. 2019, 47, D259–D264. [Google Scholar] [CrossRef]
- Nilsson, R.H.; Tedersoo, L.; Ryberg, M.; Kristiansson, E.; Hartmann, M.; Unterseher, M.; Porter, T.M.; Bengtsson-Palme, J.; Walker, D.M.; De Sousa, F.; et al. A comprehensive, automatically updated fungal ITS sequence dataset for reference-based chimera control in environmental sequencing efforts. Microbes Environ. 2015, 30, 145–150. [Google Scholar] [CrossRef]
- Oksanen, J.; Blanchet, F.G.; Friendly, M.; Kindt, R.; Legendre, P.; McGlinn, D.; Minchin, P.R.; O’Hara, R.B.; Simpson, G.L.; Solymos, P.; et al. Vegan: Community Ecology Package, R Package Version 2.5–7. 2020. Available online: http://CRAN.R-project.org/package=vegan (accessed on 15 March 2020).
- RStudio Team. RStudio: Integrated Development Environment for R; RStudio, Inc.: Boston, MA, USA, 2021; Available online: http://www.rstudio.com/ (accessed on 15 March 2021).
- De Mendiburu, F. Agricolae: Statistical Procedures for Agricultural Research. Available online: https://CRAN.R-project.org/package=agricolae (accessed on 15 March 2020).
- Wickham, H. ggplot2: Elegant Graphics for Data Analysis; Springer: New York, NY, USA, 2018. [Google Scholar] [CrossRef]
- Boedeker, C.; Leliaert, F.; Zuccarello, G.C. Molecular phylogeny of the Cladophoraceae (Cladophorales, Ulvophyceae), with the resurrection of Acrocladus Nägeli and Willeella Børgesen, and the description of Lurbica gen. nov. and Pseudorhizoclonium gen. nov. J. Phycol. 2016, 52, 905–928. [Google Scholar] [CrossRef] [PubMed]
- Thiamdao, S.; Boo, G.H.; Boo, S.M.; Peerapornpisal, Y. Diversity of edible Cladophora (Cladophorales, Chlorophyta) in Northern and Northeastern Thailand, based on morphology and nuclear ribosomal DNA sequences. Chiang Mai J. Sci. 2012, 39, 300–310. [Google Scholar]
- Bengtsson, M.M.; Wagner, K.; Schwab, C.; Urich, T.; Battin, T.J. Light availability impacts structure and function of phototrophic stream biofilms across domains and trophic levels. Mol Ecol. 2018, 27, 2913–2925. [Google Scholar] [CrossRef]
- Bahulikar, R.A.; Kroth, P.G. Localization of EPS components secreted by freshwater diatoms using differential staining with fluorophore-conjugated lectins and other fluorochromes. Eur. J. Phycol. 2007, 42, 199–208. [Google Scholar] [CrossRef]
- Huntsman, S.A.; Sloneker, J.H. An exocellular polysaccharide from the diatom Gomphonema olivaceum. J. Phycol. 1971, 7, 261–264. [Google Scholar] [CrossRef]
- Danilov, R.; Ekelund, N.G.A. The efficiency of seven diversity and one similarity indices based on phytoplankton data for assessing the level of eutrophication in lakes in central Sweden. Sci. Total Environ. 1999, 234, 15–23. [Google Scholar] [CrossRef]
- Spatharis, S.; Roelke, D.L.; Dimitrakopoulos, P.G.; Kokkoris, G.D. Analyzing the (mis)behavior of Shannon index in eutrophication studies using field and simulated phytoplankton assemblages. Ecol. Indic. 2011, 11, 697–703. [Google Scholar] [CrossRef]
- Lee, T.C.; Liu, C.C.K. Assessing eutrophication potential of a freshwater lake by relating its bioproductivity and biodiversity: A case study of Lake Wilson on Central Oahu, Hawaii. Water 2018, 10, 296. [Google Scholar] [CrossRef]
- Heylen, K.; Lebbe, L.; De Vos, P. Acidovorax caeni sp. nov., a denitrifying species with genetically diverse isolates from activated sludge. Int. J. Syst. Evol. Microbiol. 2008, 58, 73–77. [Google Scholar] [CrossRef] [PubMed]
- Feng, L.; Yang, J.; Yu, H.; Lan, Z.; Ye, X.; Yang, G.; Yang, Q.; Zhou, J. Response of denitrifying community, denitrification genes and antibiotic resistance genes to oxytetracycline stress in polycaprolactone supported solid-phase denitrification reactor. Bioresour. Technol. 2020, 308, 123274. [Google Scholar] [CrossRef]
- Bazylinski, D.A.; Palome, E.; Blakemore, N.A.; Blakemore, R.P. Denitrification by Chromobacterium violaceum. Appl. Environ. Microbiol. 1986, 52, 696–699. [Google Scholar] [CrossRef] [PubMed]
- Chen, Y.; Shao, Z.; Kong, Z.; Gu, L.; Fang, J.; Chai, H. Study of pyrite based autotrophic denitrification system for low-carbon source stormwater treatment. J. Water Process. Eng. 2020, 37, 101414. [Google Scholar] [CrossRef]
- Zhang, Q.; Ji, F.; Xu, X. Effects of physicochemical properties of poly-epsilon-caprolactone on nitrate removal efficiency during solid-phase denitrification. Chem. Eng. J. 2016, 283, 604–613. [Google Scholar] [CrossRef]
- Tanikawa, D.; Nakamura, Y.; Tokuzawa, H.; Hirakata, Y.; Hatamoto, M.; Yamaguchi, T. Effluent treatment in an aquaponics-based closed aquaculture system with single-stage nitrification–denitrification using a down-flow hanging sponge reactor. Int. Biodeterior. Biodegrad. 2018, 132, 268–273. [Google Scholar] [CrossRef]
- Martineau, C.; Mauffrey, F.; Villemur, R. Comparative analysis of denitrifying activities of Hyphomicrobium nitrativorans, Hyphomicrobium denitrificans, and Hyphomicrobium zavarzinii. Appl. Environ. Microbiol. 2015, 81, 5003–5014. [Google Scholar] [CrossRef]
- Kalyuhznaya, M.G.; Martens-Habbena, W.; Wang, T.; Hackett, M.; Stolyar, S.M.; Stahl, D.A.; Lidstrom, M.E.; Chistoserdova, L. Methylophilaceae link methanol oxidation to denitrification in freshwater lake sediment as suggested by stable isotope probing and pure culture analysis. Environ. Microbiol. Rep. 2009, 1, 385–392. [Google Scholar] [CrossRef]
- Zhang, L.; Hao, S.; Wang, Y.; Lan, S.; Dou, Q.; Peng, Y. Rapid start-up strategy of partial denitrification and microbially driven mechanism of nitrite accumulation mediated by dissolved organic matter. Bioresour. Technol. 2021, 340, 125663. [Google Scholar] [CrossRef]
- Qi, W.; Taherzadeh, M.J.; Ruan, Y.; Deng, Y.; Chen, J.S.; Lu, H.F.; Xu, X.Y. Denitrification performance and microbial communities of solid-phase denitrifying reactors using poly (butylene succinate)/bamboo powder composite. Bioresour. Technol. 2020, 305, 123033. [Google Scholar] [CrossRef]
- Liu, B.; Mao, Y.; Bergaust, L.; Bakken, L.R.; Frostegard, A. Strains in the genus Thauera exhibit remarkably different denitrification regulatory phenotypes. Environ. Microbiol. 2013, 15, 2816–2828. [Google Scholar] [CrossRef]
- Huang, W.; Gong, B.; He, L.; Wang, Y.; Zhou, J. Intensified nutrients removal in a modified sequencing batch reactor at low temperature: Metagenomic approach reveals the microbial community structure and mechanisms. Chemosphere 2020, 244, 125513. [Google Scholar] [CrossRef]
- Zhao, Y.; Bu, C.; Yang, H.; Qiao, Z.; Ding, S.; Ni, S.-Q. Survey of dissimilatory nitrate reduction to ammonium microbial community at national wetland of Shanghai, China. Chemosphere 2020, 250, 126195. [Google Scholar] [CrossRef]
- Beller, H.R.; Han, R.; Karaoz, U.; Lim, H.; Brodie, E.L. Genomic and physiological characterization of the chromate-reducing, aquifer-derived Firmicute Pelosinus sp. strain HCF1. Appl. Environ. Microbiol. 2013, 79, 63–73. [Google Scholar] [CrossRef]
- Khramenkov, S.V.; Kozlov, M.N.; Kevbrina, M.V.; Dorofeev, A.G.; Kazakova, E.A.; Grachev, V.A.; Kuznetsov, B.B.; Polyakov, D.Y.; Nikolaev, Y.A. A novel bacterium carrying out anaerobic ammonium oxidation in a reactor for biological treatment of the filtrate of wastewater fermented sludge. Microbiology 2013, 82, 628–636. [Google Scholar] [CrossRef]
- Muwawa, E.M.; Obieze, C.C.; Makonde, H.M.; Jefwa, J.M.; Kahindi, J.H.P.; Khasa, D.P. 16S rRNA gene amplicon-based metagenomic analysis of bacterial communities in the rhizospheres of selected mangrove species from Mida Creek and Gazi Bay, Kenya. PLoS ONE 2021, 16, e0248485. [Google Scholar] [CrossRef]
- Podlesnaya, G.V.; Krasnopeev, A.Y.; Potapov, S.A.; Tikhonova, I.V.; Shtykova, Y.R.; Suslova, M.Y.; Timoshkin, O.A.; Belykh, O.I. Diversity of nitrifying bacteria in microbial communities from water and epilithic biofilms of the Lake Baikal littoral zone. Limnol. Freshw. Biol. 2020, 4, 1008–1010. [Google Scholar] [CrossRef]
- Tian, M.; Zhao, F.; Shen, X.; Chu, K.; Wang, J.; Chen, S.; Guo, Y.; Liu, H. The first metagenome of activated sludge from full-scale anaerobic/anoxic/oxic (A2O) nitrogen and phosphorus removal reactor using Illumina sequencing. J. Environ. Sci. 2015, 35, 181–190. [Google Scholar] [CrossRef] [PubMed]
- Wu, Y.F.; Chai, C.W.; Li, Y.N.; Chen, J.; Yuan, Y.; Hu, G.; Rosen, B.P.; Zhang, J. Anaerobic As (III) oxidation coupled with nitrate reduction and attenuation of dissolved Arsenic by Noviherbaspirillum Species. ACS Earth Space Chem. 2021, 5, 2115–2123. [Google Scholar] [CrossRef]
- Goto, M.; Kuwata, H. Rhizobacter daucus gen. nov., sp. nov., the causal agent of carrot bacterial gall. Int. J. Syst. Evol. Microbiol. 1988, 38, 233–239. [Google Scholar] [CrossRef]
- Hubert, C.; Voordouw, G. Oil field souring control by nitrate-reducing Sulfurospirillum spp. that outcompete sulfate-reducing bacteria for organic electron donors. Appl. Environ. Microbiol. 2007, 73, 2644–2652. [Google Scholar] [CrossRef]
- Rameshkumar, N.; Lang, E.; Tanaka, N. Description of Vogesella oryzae sp. nov., isolated from the rhizosphere of saline tolerant pokkali rice. Syst. Appl. Microbiol. 2016, 39, 20–24. [Google Scholar] [CrossRef]
- Ishii, K.; Fujitani, H.; Sekiguchi, Y.; Tsuneda, S. Physiological and genomic characterization of a new ‘Candidatus Nitrotoga’ isolate. Environ. Microbiol. 2020, 22, 2365–2382. [Google Scholar] [CrossRef] [PubMed]
- McIlroy, S.J.; Starnawska, A.; Starnawski, P.; Saunders, A.M.; Nierychlo, M.; Nielsen, P.H.; Nielsen, J.L. Identification of active denitrifiers in full-scale nutrient removal wastewater treatment systems. Environ. Microbiol. 2016, 18, 50–64. [Google Scholar] [CrossRef]
- Hougardy, A.; Klemme, J.-H. Nitrate reduction in a new strain of Rhodoferax fermentans. Arch. Microbiol. 1995, 164, 358–362. [Google Scholar] [CrossRef]
- Masuda, Y.; Yamanaka, H.; Xu, Z.X.; Shiratori, Y.; Aono, T.; Amachi, S.; Senoo, K.; Itoh, H. Diazotrophic anaeromyxobacter isolates from soils. Appl. Environ. Microbiol. 2020, 86, e00956-20. [Google Scholar] [CrossRef]
- Bae, H.S.; Rash, B.A.; Rainey, F.A.; Nobre, M.F.; Tiago, I.; da Costa, M.S.; Moe, W.M. Description of Azospira restricta sp. nov., a nitrogen-fixing bacterium isolated from groundwater. Int. J. Syst. Evol. Microbiol. 2007, 57, 1521–1526. [Google Scholar] [CrossRef] [PubMed]
- Salinero, K.K.; Keller, K.; Feil, W.S.; Feil, H.; Trong, S.; Di Bartolo, G.; Lapidus, A. Metabolic analysis of the soil microbe Dechloromonas aromatica str. RCB: Indications of a surprisingly complex life-style and cryptic anaerobic pathways for aromatic degradation. BMC Genom. 2009, 10, 351. [Google Scholar] [CrossRef]
- Rivas, R.; Velázquez, E.; Willems, A.; Vizcaíno, N.; Subba-Rao, N.S.; Mateos, P.F.; Gillis, M.; Dazzo, F.B.; Martínez-Molina, E. A new species of Devosia that forms a unique nitrogen-fixing root-nodule symbiosis with the aquatic legume Neptunia natans (Lf) Druce. Appl. Environ. Microbiol. 2002, 68, 5217–5222. [Google Scholar] [CrossRef]
- Laranjo, M.; Alexandre, A.; Oliveira, S. Legume growth-promoting rhizobia: An overview on the Mesorhizobium genus. Microbiol. Res. 2014, 169, 2–17. [Google Scholar] [CrossRef] [PubMed]
- Takeda, K. Characteristics of a nitrogen-fixing methanotroph, Methylocystis T-1. Antonie Van Leeuwenhoek 1988, 54, 521–534. [Google Scholar] [CrossRef] [PubMed]
- Yu, X.; Kang, X.; Li, Y.; Cui, Y.; Tu, W.; Shen, T.; Yan, M.; Gu, Y.; Zou, L.; Ma, M.; et al. Rhizobia population was favoured during in situ phytoremediation of vanadium-titanium magnetite mine tailings dam using Pongamia pinnata. Environ. Pollut. 2019, 255, 113167. [Google Scholar] [CrossRef]
- Xie, C.H.; Yokota, A. Reclassification of Alcaligenes latus strains IAM 12599T and IAM 12664 and Pseudomonas saccharophila as Azohydromonas lata gen. nov., comb. nov., Azohydromonas australica sp. nov. and Pelomonas saccharophila gen. nov., comb. nov., respectively. Int. J. Syst. Evol. Microbiol. 2005, 55, 2419–2425. [Google Scholar] [CrossRef]
- Sheu, S.Y.; Huang, H.W.; Young, C.C.; Chen, W.M. Rhizobium alvei sp. nov., isolated from a freshwater river. Int. J. Syst. Evol. Microbiol. 2015, 65, 472–478. [Google Scholar] [CrossRef] [PubMed]
- Taulé, C.; Castillo, A.; Villar, S.; Olivares, F.; Battistoni, F. Endophytic colonization of sugarcane (Saccharum officinarum) by the novel diazotrophs Shinella sp. UYSO24 and Enterobacter sp. UYSO10. Plant Soil 2016, 403, 403–418. [Google Scholar] [CrossRef]
- Park, D.; Kim, H.; Yoon, S. Nitrous oxide reduction by an obligate aerobic bacterium, Gemmatimonas aurantiaca strain T-27. Appl. Environ. Microbiol. 2017, 83, e00502-17. [Google Scholar] [CrossRef]
- Gülay, A.; Cekic, Y.; Musovic, S.; Albrechtsen, H.J.; Smets, B.F. Diversity of iron oxidizers in groundwater-fed rapid sand filters: Evidence of Fe(II)-dependent growth by Curvibacter and Undibacterium spp. Front. Microbiol. 2018, 9, 2808. [Google Scholar] [CrossRef]
- Peng, H.; Zhang, Q.; Tan, B.; Li, M.; Zhang, W.; Feng, J. A metagenomic view of how different carbon sources enhance the aniline and simultaneous nitrogen removal capacities in the aniline degradation system. Bioresour. Technol. 2021, 335, 125277. [Google Scholar] [CrossRef]
- Liu, J.; Wang, Z.; Belchik, S.M.; Edwards, M.J.; Liu, C.; Kennedy, D.W.; Merkley, E.D.; Lipton, M.S.; Butt, J.N.; Richardson, D.J.; et al. Identification and characterization of MtoA: A decaheme c-type cytochrome of the neutrophilic Fe (II)-oxidizing bacterium Sideroxydans lithotrophicus ES-1. Front. Microbiol. 2012, 3, 37. [Google Scholar] [CrossRef]
- Falagan, C.; Johnson, D.B. Acidibacter ferrireducens gen. nov., sp. nov.: An acidophilic ferric iron-reducing gammaproteobacterium. Extremophiles 2014, 18, 1067–1073. [Google Scholar] [CrossRef] [PubMed]
- Ridge, J.P.; Lin, M.; Larsen, E.I.; Fegan, M.; McEwan, A.G.; Sly, L.I. A multicopper oxidase is essential for manganese oxidation and laccase-like activity in Pedomicrobium sp. ACM 3067. Environ. Microbiol. 2007, 9, 944–953. [Google Scholar] [CrossRef]
- Seviour, R.J.; Mino, T.; Onuki, M. The microbiology of biological phosphorus removal in activated sludge systems. FEMS Microbiol. Rev. 2003, 27, 99–127. [Google Scholar] [CrossRef]
- Chai, X.; Wu, B.; Xu, Z.; Yang, N.; Song, L.; Mai, J.; Chen, Y.; Dai, X. Ecosystem activation system (EAS) technology for remediation of eutrophic freshwater. Sci. Rep. 2017, 7, 4818. [Google Scholar] [CrossRef] [PubMed]
- Li, C.; Liu, S.; Ma, T.; Zheng, M.; Ni, J. Simultaneous nitrification, denitrification and phosphorus removal in a sequencing batch reactor (SBR) under low temperature. Chemosphere 2019, 229, 132–141. [Google Scholar] [CrossRef]
- Taylor, J.; Parkes, R.J. The cellular fatty acids of the sulphate-reducing bacteria, Desulfobacter sp., Desulfobulbus sp. and Desulfovibrio desulfuricans. Microbiology 1983, 129, 3303–3309. [Google Scholar] [CrossRef]
- Copeland, A.; Spring, S.; Göker, M.; Schneider, S.; Lapidus, A.; Del Rio, T.G.; Tice, H.; Cheng, J.-F.; Chen, F.; Nolan, M.; et al. Complete genome sequence of Desulfomicrobium baculatum type strain (XT). Stand. Genomic Sci. 2009, 1, 29–37. [Google Scholar] [CrossRef] [PubMed]
- Karnachuk, O.V.; Rusanov, I.I.; Panova, I.A.; Grigoriev, M.A.; Zyusman, V.S.; Latygolets, E.A.; Kadyrbaev, M.K.; Gruzdev, E.V.; Beletsky, A.V.; Mardanov, A.V.; et al. Microbial sulfate reduction by Desulfovibrio is an important source of hydrogen sulfide from a large swine finishing facility. Sci. Rep. 2021, 11, 10720. [Google Scholar] [CrossRef]
- Chen, Y.; Feng, X.; He, Y.; Wang, F. Genome analysis of a Limnobacter sp. identified in an anaerobic methane-consuming cell consortium. Front. Mar. Sci. 2016, 3, 257. [Google Scholar] [CrossRef]
- Sun, W.; Xiao, E.; Häggblom, M.; Krumins, V.; Dong, Y.; Sun, X.; Li, F.; Wang, Q.; Li, B.; Yan, B. Bacterial survival strategies in an alkaline tailing site and the physiological mechanisms of dominant phylotypes as revealed by metagenomic analyses. Environ. Sci. Technol. 2018, 52, 13370–13380. [Google Scholar] [CrossRef] [PubMed]
- Fadhlaoui, K.; Ben Hania, W.; Postec, A.; Fauque, G.; Hamdi, M.; Ollivier, B.; Fardeau, M.-L. Fusibacter fontis sp. nov., a sulfur-reducing, anaerobic bacterium isolated from a mesothermic Tunisian spring. Int. J. Syst. Evol. Microbiol. 2015, 65, 3501–3506. [Google Scholar] [CrossRef]
- North, N.N.; Dollhopf, S.L.; Petrie, L.; Istok, J.D.; Balkwill, D.L.; Kostka, J.E. Change in bacterial community structure during in situ biostimulation of subsurface sediment cocontaminated with uranium and nitrate. Appl. Environ. Microbiol. 2004, 70, 4911–4920. [Google Scholar] [CrossRef]
- Masuda, H.; Shiwa, Y.; Yoshikawa, H.; Zylstra, G.J. Draft genome sequence of the versatile alkane-degrading bacterium Aquabacterium sp. strain NJ1. Genome Announc. 2014, 2, e01271-14. [Google Scholar] [CrossRef]
- Harwati, T.U.; Kasai, Y.; Kodama, Y.; Susilaningsih, D.; Watanabe, K. Tropicimonas isoalkanivorans gen. nov., sp. nov., a branched-alkane-degrading bacterium isolated from Semarang Port in Indonesia. Int. J. Syst. Evol. Microbiol. 2009, 59, 388–391. [Google Scholar] [CrossRef] [PubMed]
- Woo, H.L.; Hazen, T.C.; Simmons, B.A.; DeAngelis, K.M. Enzyme activities of aerobic lignocellulolytic bacteria isolated from wet tropical forest soils. Syst. Appl. Microbiol. 2014, 37, 60–67. [Google Scholar] [CrossRef]
- Hatamoto, M.; Kaneshige, M.; Nakamura, A.; Yamaguchi, T. Bacteroides luti sp. nov., an anaerobic, cellulolytic and xylanolytic bacterium isolated from methanogenic sludge. Int. J. Syst. Evol. Microbiol. 2014, 64, 1770–1774. [Google Scholar] [CrossRef] [PubMed]
- Song, N.; Cai, H.-Y.; Yan, Z.-S.; Jiang, H.-L. Cellulose degradation by one mesophilic strain Caulobacter sp. FMC1 under both aerobic and anaerobic conditions. Bioresour. Technol. 2013, 131, 281–287. [Google Scholar] [CrossRef] [PubMed]
- DeBoy, R.T.; Mongodin, E.F.; Fouts, D.E.; Tailford, L.E.; Khouri, H.; Emerson, J.B.; Mohamoud, Y.; Watkins, K.; Henrissat, B.; Gilbert, H.J.; et al. Insights into plant cell wall degradation from the genome sequence of the soil bacterium Cellvibrio japonicus. J. Bacteriol. 2008, 190, 5455–5463. [Google Scholar] [CrossRef] [PubMed]
- Cui, J.; Mai, G.; Wang, Z.; Liu, Q.; Zhou, Y.; Ma, Y.; Liu, C. Metagenomic insights into a cellulose-rich niche reveal microbial cooperation in cellulose degradation. Front. Microbiol. 2019, 10, 618. [Google Scholar] [CrossRef]
- Xie, G.; Bruce, D.C.; Challacombe, J.F.; Chertkov, O.; Detter, J.C.; Gilna, P.; Han, C.S.; Lucas, S.; Misra, M.; Myers, G.L.; et al. Genome sequence of the cellulolytic gliding bacterium Cytophaga hutchinsonii. Appl. Environ. Microbiol. 2007, 73, 3536–3546. [Google Scholar] [CrossRef]
- Cai, L.; Chen, T.-B.; Zheng, S.-W.; Liu, H.-T.; Zheng, G.-D. Decomposition of lignocellulose and readily degradable carbohydrates during sewage sludge biodrying, insights of the potential role of microorganisms from a metagenomic analysis. Chemosphere 2018, 201, 127–136. [Google Scholar] [CrossRef]
- Co, R.; Hug, L.A. Prediction, enrichment and isolation identify a responsive, competitive community of cellulolytic microorganisms from a municipal landfill. FEMS Microbiol. Ecol. 2021, 97, fiab065. [Google Scholar] [CrossRef]
- Ravachol, J.; de Philip, P.; Borne, R.; Mansuelle, P.; Maté, M.J.; Perret, S.; Fierobe, H.-P. Mechanisms involved in xyloglucan catabolism by the cellulosome-producing bacterium Ruminiclostridium cellulolyticum. Sci. Rep. 2016, 6, 22770. [Google Scholar] [CrossRef]
- Gao, C.; Zhang, A.; Chen, K.; Hao, Z.; Tong, J.; Ouyang, P. Characterization of extracellular chitinase from Chitinibacter sp. GC72 and its application in GlcNAc production from crayfish shell enzymatic degradation. Biochem. Eng. J. 2015, 97, 59–64. [Google Scholar] [CrossRef]
- Joung, Y.; Lee, B.-I.; Kang, H.; Kim, H.; Joh, K. Chitinimonas viridis sp. nov., isolated from a mesotrophic artificial lake. Int. J. Syst. Evol. Microbiol. 2014, 64, 1123–1126. [Google Scholar] [CrossRef]
- Chen, Q.; Meyer, W.A.; Zhang, Q.; White, J.F. 16S rRNA metagenomic analysis of the bacterial community associated with turf grass seeds from low moisture and high moisture climates. Peerj 2020, 8, e8417. [Google Scholar] [CrossRef]
- Kulichevskaya, I.S.; Naumoff, D.G.; Ivanova, A.A.; Rakitin, A.L.; Dedysh, S.N. Detection of chitinolytic capabilities in the freshwater Planctomycete Planctomicrobium piriforme. Microbiology 2019, 88, 423–432. [Google Scholar] [CrossRef]
- Vedler, E.; Heinaru, E.; Jutkina, J.; Viggor, S.; Koressaar, T.; Remm, M.; Heinaru, A. Limnobacter spp. as newly detected phenol-degraders among Baltic Sea surface water bacteria characterised by comparative analysis of catabolic genes. Syst. Appl. Microbiol. 2013, 36, 525–532. [Google Scholar] [CrossRef] [PubMed]
- Fan, X.; Nie, L.; Shi, K.; Wang, Q.; Xia, X.; Wang, G. Simultaneous 3-/4-hydroxybenzoates biodegradation and arsenite oxidation by Hydrogenophaga sp. H7. Front. Microbiol. 2019, 10, 1346. [Google Scholar] [CrossRef] [PubMed]
- Kim, E.; Yulisa, A.; Kim, S.; Hwang, S. Monitoring microbial community structure and variations in a full-scale petroleum refinery wastewater treatment plant. Bioresour. Technol. 2020, 306, 123178. [Google Scholar] [CrossRef] [PubMed]
- Kane, S.R.; Chakicherla, A.Y.; Chain, P.S.G.; Schmidt, R.; Shin, M.W.; Legler, T.C.; Scow, K.M.; Larimer, F.W.; Lucas, S.M.; Richardson, P.M.; et al. Whole-genome analysis of the methyl tert-butyl ether-degrading beta-proteobacterium Methylibium petroleiphilum PM1. J. Bacteriol. 2007, 189, 1931–1945. [Google Scholar] [CrossRef]
- Mechichi, T.; Stackebrandt, E.; Gad’on, N.; Fuchs, G. Phylogenetic and metabolic diversity of bacteria degrading aromatic compounds under denitrifying conditions, and description of Thauera phenylacetica sp. nov., Thauera aminoaromatica sp. nov., and Azoarcus buckelii sp. nov. Arch. Microbiol. 2002, 178, 26–35. [Google Scholar] [CrossRef]
- Verma, H.; Dhingra, G.G.; Sharma, M.; Gupta, V.; Negi, R.K.; Singh, Y.; Lal, R. Comparative genomics of Sphingopyxis spp. unravelled functional attributes. Genomics 2020, 112, 1956–1969. [Google Scholar] [CrossRef]
- Shu, D.; He, Y.; Yue, H.; Zhu, L.; Wang, Q. Metagenomic insights into the effects of volatile fatty acids on microbial community structures and functional genes in organotrophic anammox process. Bioresour. Technol. 2015, 196, 621–633. [Google Scholar] [CrossRef]
- Kumar, V.; Chandra, R. Metagenomics analysis of rhizospheric bacterial communities of Saccharum arundinaceum growing on organometallic sludge of sugarcane molasses-based distillery. 3 Biotech 2020, 10, 316. [Google Scholar] [CrossRef]
- Raux, E.; Lanois, A.; Warren, M.J.; Rambach, A.; Thermes, C. Cobalamin (vitamin B12) biosynthesis: Identification and characterization of a Bacillus megaterium cobI operon. Biochem. J. 1998, 335, 159–166. [Google Scholar] [CrossRef] [PubMed]
- Brewer, T.E.; Handley, K.M.; Carini, P.; Gilbert, J.A.; Fierer, N. Genome reduction in an abundant and ubiquitous soil bacterium ‘Candidatus Udaeobacter copiosus’. Nat. Microbiol. 2016, 2, 16198. [Google Scholar] [CrossRef]
- Tekedar, H.C.; Karsi, A.; Reddy, J.S.; Nho, S.W.; Kalindamar, S.; Lawrence, M.L. Comparative genomics and transcriptional analysis of Flavobacterium columnare strain ATCC 49512. Front. Microbiol. 2017, 8, 588. [Google Scholar] [CrossRef] [PubMed]
- Krohn-Molt, I.; Alawi, M.; Förstner, K.U.; Wiegandt, A.; Burkhardt, L.; Indenbirken, D.; Thieß, M.; Grundhoff, A.; Kehr, J.; Tholey, A.; et al. Insights into microalga and bacteria interactions of selected phycosphere biofilms using metagenomic, transcriptomic, and proteomic approaches. Front. Microbiol. 2017, 8, 1941. [Google Scholar] [CrossRef] [PubMed]
- Roper, J.M.; Raux, E.; Brindley, A.A.; Schubert, H.L.; Gharbia, S.E.; Shah, H.N.; Warren, M.J. The enigma of cobalamin (vitamin B12) biosynthesis in Porphyromonas gingivalis: Identification and characterization of a functional corrin pathway. J. Biol. Chem. 2000, 275, 40316–40323. [Google Scholar] [CrossRef]
- Cameron, B.; Briggs, K.; Pridmore, S.; Brefort, G.; Crouzet, J. Cloning and analysis of genes involved in coenzyme B12 biosynthesis in Pseudomonas denitrificans. J. Bacteriol. 1989, 171, 547–557. [Google Scholar] [CrossRef]
- Kurmayer, R.; Christiansen, G.; Holzinger, A.; Rott, E. Single colony genetic analysis of epilithic stream algae of the genus Chamaesiphon spp. Hydrobiologia 2018, 811, 61–75. [Google Scholar] [CrossRef]
- Komárek, J.; Kopecký, J.; Cepák, V. Generic characters of the simplest cyanoprokaryotes Cyanobium, Cyanobacterium and Synechococcus. Cryptogam. Algol. 1999, 20, 209–222. [Google Scholar] [CrossRef]
- Herter, S.; Fuchs, G.; Bacher, A.; Eisenreich, W. A bicyclic autotrophic CO2 fixation pathway in Chloroflexus aurantiacus. J. Biol. Chem. 2002, 277, 20277–20283. [Google Scholar] [CrossRef] [PubMed]
- Yan, S.; Fuchs, B.M.; Lenk, S.; Harder, J.; Wulf, J.; Jiao, N.-Z.; Amann, R. Biogeography and phylogeny of the NOR5/OM60 clade of Gammaproteobacteria. Syst. Appl. Microbiol. 2009, 32, 124–139. [Google Scholar] [CrossRef]
- Yutin, N.; Béjà, O. Putative novel photosynthetic reaction centre organizations in marine aerobic anoxygenic photosynthetic bacteria: Insights from metagenomics and environmental genomics. Environ. Microbiol. 2005, 7, 2027–2033. [Google Scholar] [CrossRef]
- Jung, D.O.; Achenbach, L.A.; Karr, E.A.; Takaichi, S.; Madigan, M.T. A gas vesiculate planktonic strain of the purple non-sulfur bacterium Rhodoferax antarcticus isolated from Lake Fryxell, Dry Valleys, Antarctica. Arch. Microbiol. 2004, 182, 236–243. [Google Scholar] [CrossRef] [PubMed]
- Tarhriz, V.; Hirose, S.; Fukushima, S.-I.; Hejazi, M.A.; Imhoff, J.F.; Thiel, V.; Hejazi, M.S. Emended description of the genus Tabrizicola and the species Tabrizicola aquatica as aerobic anoxygenic phototrophic bacteria. Antonie Van Leeuwenhoek 2019, 112, 1169–1175. [Google Scholar] [CrossRef]
- Li, R.Y.; Fang, H.H.P. Hydrogen production characteristics of photoheterotrophic Rubrivivax gelatinosus L31. Int. J. Hydrog. Energy 2008, 33, 974–980. [Google Scholar] [CrossRef]
- Tamaki, H.; Tanaka, Y.; Matsuzawa, H.; Muramatsu, M.; Meng, X.-Y.; Hanada, S.; Mori, K.; Kamagata, Y. Armatimonas rosea gen. nov., sp. nov., of a novel bacterial phylum, Armatimonadetes phyl. nov., formally called the candidate phylum OP10. Int. J. Syst. Evol. Microbiol. 2011, 61, 1442–1447. [Google Scholar] [CrossRef] [PubMed]
- Kulichevskaya, I.S.; Ivanova, A.A.; Baulina, O.I.; Rijpstra, W.I.C.; Sinninghe Damsté, J.S.; Dedysh, S.N. Fimbriiglobus ruber gen. nov., sp. nov., a Gemmata-like planctomycete from Sphagnum peat bog and the proposal of Gemmataceae fam. nov. Int. J. Syst. Evol. Microbiol. 2017, 67, 218–224. [Google Scholar] [CrossRef]
- Yoon, M.-H.; Im, W.-T. Flavisolibacter ginsengiterrae gen. nov., sp. nov. and Flavisolibacter ginsengisoli sp. nov., isolated from ginseng cultivating soil. Int. J. Syst. Evol. Microbiol. 2007, 57, 1834–1839. [Google Scholar] [CrossRef]
- Schlesner, H.; Bartels, C.; Sittig, M.; Dorsch, M.; Stackebrandt, E. Taxonomic and phylogenetic studies on a new taxon of budding, hyphal Proteobacteria, Hirschia baltica gen. nov., sp. nov. Int. J. Syst. Evol. Microbiol. 1990, 40, 443–451. [Google Scholar] [CrossRef]
- Khan, S.T.; Fukunaga, Y.; Nakagawa, Y.; Harayama, S. Emended descriptions of the genus Lewinella and of Lewinella cohaerens, Lewinella nigricans and Lewinella persica, and description of Lewinella lutea sp. nov. and Lewinella marina sp. nov. Int. J. Syst. Evol. Microbiol. 2007, 57, 2946–2951. [Google Scholar] [CrossRef] [PubMed]
- Chen, Z.; Lei, X.; Lai, Q.; Li, Y.; Zhang, B.; Zhang, J.; Zhang, H.; Yang, L.; Zheng, W.; Tian, Y.; et al. Phaeodactylibacter xiamenensis gen. nov., sp. nov., a member of the family Saprospiraceae isolated from the marine alga Phaeodactylum tricornutum. Int. J. Syst. Evol. Microbiol. 2014, 64, 3496–3502. [Google Scholar] [CrossRef]
- Watanabe, M.; Kojima, H.; Fukui, M. Aerosticca soli gen. nov., sp. nov., an aerobic gammaproteobacterium isolated from crude oil-contaminated soil. Arch. Microbiol. 2020, 202, 1069–41076. [Google Scholar] [CrossRef] [PubMed]
- Albuquerque, L.; Santos, J.; Travassos, P.; Nobre, M.F.; Rainey, F.A.; Wait, R.; Empadinhas, N.; Silva, M.T.; da Costa, M.S. Albidovulum inexpectatum gen. nov., sp. nov., a nonphotosynthetic and slightly thermophilic bacterium from a marine hot spring that is very closely related to members of the photosynthetic genus Rhodovulum. Appl. Environ. Microbiol. 2002, 68, 4266–4273. [Google Scholar] [CrossRef]
- Kulichevskaya, I.S.; Suzina, N.E.; Liesack, W.; Dedysh, S.N. Bryobacter aggregatus gen. nov., sp. nov., a peat-inhabiting, aerobic chemo-organotroph from subdivision 3 of the Acidobacteria. Int. J. Syst. Evol. Microbiol. 2010, 60, 301–306. [Google Scholar] [CrossRef]
- Vandamme, P.; Bernardet, J.-F.; Segers, P.; Kersters, K.; Holmes, B. New perspectives in the classification of the flavobacteria: Description of Chryseobacterium gen. nov., Bergeyella gen-nov, and Empedobacter nom-rev. Int. J. Syst. Evol. Microbiol. 1994, 44, 827–831. [Google Scholar] [CrossRef]
- Yoon, J.; Matsuo, Y.; Katsuta, A.; Jang, J.-H.; Matsuda, S.; Adachi, K.; Kasai, H.; Yokota, A. Haloferula rosea gen. nov., sp. nov., Haloferula harenae sp. nov., Haloferula phyci sp. nov., Haloferula helveola sp. nov. and Haloferula sargassicola sp. nov., five marine representatives of the family Verrucomicrobiaceae within the phylum ‘Verrucomicrobia’. Int. J. Syst. Evol. Microbiol. 2008, 58, 2491–2500. [Google Scholar] [CrossRef] [PubMed]
- Weiner, R.M.; Melick, M.; O’Neill, K.; Quintero, E. Hyphomonas adhaerens sp. nov., Hyphomonas johnsonii sp. nov. and Hyphomonas rosenbergii sp. nov., marine budding and prosthecate bacteria. Int. J. Syst. Evol. Microbiol. 2000, 50, 459–469. [Google Scholar] [CrossRef]
- Tanasupawat, S.; Takehana, T.; Yoshida, S.; Hiraga, K.; Oda, K. Ideonella sakaiensis sp. nov., isolated from a microbial consortium that degrades poly(ethylene terephthalate). Int. J. Syst. Evol. Microbiol. 2016, 66, 2813–2818. [Google Scholar] [CrossRef]
- Vancanneyt, M.; Nedashkovskaya, O.I.; Snauwaert, C.; Mortier, S.; Vandemeulebroecke, K.; Hoste, B.; Dawyndt, P.; Frolova, G.M.; Janssens, D.; Swings, J. Larkinella insperata gen. nov., sp. nov., a bacterium of the phylum ‘Bacteroidetes’ isolated from water of a steam generator. Int. J. Syst. Evol. Microbiol. 2006, 56, 237–241. [Google Scholar] [CrossRef] [PubMed][Green Version]
- Christensen, P.; Cook, F.D. Lysobacter, a new genus of nonfruiting, gliding bacteria with a high base ratio. Int. J. Syst. Evol. Microbiol. 1978, 28, 367–393. [Google Scholar] [CrossRef]
- Takeuchi, M.; Hamana, K.; Hiraishi, A. Proposal of the genus Sphingomonas sensu stricto and three new genera, Sphingobium, Novosphingobium and Sphingopyxis, on the basis of phylogenetic and chemotaxonomic analyses. Int. J. Syst. Evol. Microbiol. 2001, 51, 1405–1417. [Google Scholar] [CrossRef] [PubMed]
- Irgens, R.L.; Gosink, J.J.; Staley, J.T. Polaromonas vacuolata gen. nov., sp. nov., a psychrophilic, marine, gas vacuolate bacterium from Antarctica. Int. J. Syst. Evol. Microbiol. 1996, 46, 822–826. [Google Scholar] [CrossRef][Green Version]
- Larkin, J.M.; Williams, P.M. Runella slithyformis gen. nov., sp. nov., a curved, nonflexible, pink bacterium. Int. J. Syst. Evol. Microbiol. 1978, 28, 32–36. [Google Scholar] [CrossRef]
- Pascual, J.; Wüst, P.K.; Geppert, A.; Foesel, B.U.; Huber, K.J.; Overmann, J. Novel isolates double the number of chemotrophic species and allow the first description of higher taxa in Acidobacteria subdivision 4. Syst. Appl. Microbiol. 2015, 38, 534–544. [Google Scholar] [CrossRef] [PubMed]
- Albuquerque, L.; Simões, C.; Nobre, M.F.; Pino, N.M.; Battista, J.R.; Silva, M.T.; Rainey, F.A.; de Costa, M.S. Truepera radiovictrix gen. nov., sp. nov., a new radiation resistant species and the proposal of Trueperaceae fam. nov. FEMS Microbiol. Lett. 2005, 247, 161–169. [Google Scholar] [CrossRef]
- Kulichevskaya, I.S.; Baulina, O.I.; Bodelier, P.L.E.; Rijpstra, W.I.C.; Damsté, J.S.S.; Dedysh, S.N. Zavarzinella formosa gen. nov., sp. nov., a novel stalked, Gemmata-like planctomycete from a Siberian peat bog. Int. J. Syst. Evol. Microbiol. 2009, 59, 357–364. [Google Scholar] [CrossRef] [PubMed]
- Strömpl, C. Anaeromusa. In Bergey's Manual of Systematics of Archaea and Bacteria; John Wiley & Sons, Inc.: Hoboken, NJ, USA, 2015; pp. 1–2. [Google Scholar] [CrossRef]
- Del Dot, T.; Osawa, R.; Stackebrandt, E. Phascolarctobacterium faecium gen. nov, spec. nov., a novel taxon of the Sporomusa group of bacteria. Syst. Appl. Microbiol. 1993, 16, 380–384. [Google Scholar] [CrossRef]
- Chen, S.; Niu, L.; Zhang, Y. Saccharofermentans acetigenes gen. nov., sp. nov., an anaerobic bacterium isolated from sludge treating brewery wastewater. Int. J. Syst. Evol. Microbiol. 2010, 60, 2735–2738. [Google Scholar] [CrossRef]
- Möller, B.; Oßmer, R.; Howard, B.H.; Gottschalk, G.; Hippe, H. Sporomusa, a new genus of gram-negative anaerobic bacteria including Sporomusa sphaeroides spec. nov. and Sporomusa ovata spec. nov. Arch. Microbiol. 1984, 139, 388–396. [Google Scholar] [CrossRef]
- Song, Y.; Könönen, E.; Rautio, M.; Liu, C.; Bryk, A.; Eerola, E.; Finegold, S.M. Alistipes onderdonkii sp. nov. and Alistipes shahii sp. nov., of human origin. Int. J. Syst. Evol. Microbiol. 2006, 56, 1985–1990. [Google Scholar] [CrossRef]
- Li, T.; Guo, F.; Lin, Y.; Li, Y.; Wu, G. Metagenomic analysis of quorum sensing systems in activated sludge and membrane biofilm of a full-scale membrane bioreactor. J. Water Process. Eng. 2019, 32, 100952. [Google Scholar] [CrossRef]
- Bai, Y.; Zhou, X.; Li, N.; Zhao, J.; Ye, H.; Zhang, S.; Yang, H.; Pi, Y.; Tao, S.; Han, D.; et al. In vitro fermentation characteristics and fiber-degrading enzyme kinetics of cellulose, arabinoxylan, β-glucan and glucomannan by pig fecal microbiota. Microorganisms 2021, 9, 1071. [Google Scholar] [CrossRef] [PubMed]
- Abt, B.; Göker, M.; Scheuner, C.; Han, C.; Lu, M.; Misra, M.; Lapidus, A.; Nolan, M.; Lucas, S.; Hammon, N.; et al. Genome sequence of the thermophilic fresh-water bacterium Spirochaeta caldaria type strain (H1T), reclassification of Spirochaeta caldaria, Spirochaeta stenostrepta, and Spirochaeta zuelzerae in the genus Treponema as Treponema caldaria comb. nov., Treponema stenostrepta comb. nov., and Treponema zuelzerae comb. nov., and emendation of the genus Treponema. Stand. Genom. Sci. 2013, 8, 88–105. [Google Scholar] [CrossRef][Green Version]
- Sun, Y.-T.; Zhou, N.; Wang, B.-J.; Liu, X.-D.; Jiang, C.-Y.; Ge, X.; Liu, S.-J. Vallitalea okinawensis sp. nov., isolated from Okinawa Trough sediment and emended description of the genus Vallitalea. Int. J. Syst. Evol. Microbiol. 2019, 69, 404–410. [Google Scholar] [CrossRef]
- Stams, A.J.M.; Hansen, T.A. Fermentation of glutamate and other compounds by Acidaminobacter hydrogenoformans gen. nov. sp. nov., an obligate anaerobe isolated from black mud. Studies with pure cultures and mixed cultures with sulfate-reducing and methanogenic bacteria. Arch. Microbiol. 1984, 137, 329–337. [Google Scholar] [CrossRef]
- Matthies, C.; Evers, S.; Ludwig, W.; Schink, B. Anaerovorax odorimutans gen. nov., sp. nov., a putrescine-fermenting, strictly anaerobic bacterium. Int. J. Syst. Evol. Microbiol. 2000, 50, 1591–1594. [Google Scholar] [CrossRef]
- Su, X.-L.; Tian, Q.; Zhang, J.; Yuan, X.-Z.; Shi, X.-S.; Guo, R.-B.; Que, Y.-L. Acetobacteroides hydrogenigenes gen. nov., sp. nov., an anaerobic hydrogen-producing bacterium in the family Rikenellaceae isolated from a reed swamp. Int. J. Syst. Evol. Microbiol. 2014, 64, 2986–2991. [Google Scholar] [CrossRef]
- Yang, G.; Wang, J. Changes in microbial community structure during dark fermentative hydrogen production. Int. J. Hydrogen Energy 2019, 44, 25542–25550. [Google Scholar] [CrossRef]
- Lu, J.-H.; Chen, C.; Huang, C.; Lee, D.-J. Glucose fermentation with biochar-amended consortium: Microbial consortium shift. Bioengineered 2020, 11, 272–280. [Google Scholar] [CrossRef]
- Haack, S.K.; Breznak, J.A. Cytophaga xylanolytica sp. nov., a xylan-degrading, anaerobic gliding bacterium. Arch. Microbiol. 2004, 159, 6–15. [Google Scholar] [CrossRef]
- Haack, F.S.; Poehlein, A.; Kröger, C.; Voigt, C.A.; Piepenbring, M.; Bode, H.B.; Daniel, R.; Schäfer, W.; Streit, W.R. Molecular Keys to the Janthinobacterium and Duganella spp. interaction with the plant pathogen Fusarium graminearum. Front. Microbiol. 2016, 7, 1668. [Google Scholar] [CrossRef]
- Starr, M.P.; Baigent, N.L. Parasitic interaction of Bdellovibrio bacteriovorus with other bacteria. J. Bacteriol. 1966, 91, 2006–2017. [Google Scholar] [CrossRef]
- Kiss, H.; Nett, M.; Domin, N.; Martin, K.; Maresca, J.A.; Copeland, A.; Lapidus, A.; Lucas, S.; Berry, K.W.; Del Rio, T.G.; et al. Complete genome sequence of the filamentous gliding predatory bacterium Herpetosiphon aurantiacus type strain (114-95T). Stand. Genom. Sci. 2011, 5, 356–370. [Google Scholar] [CrossRef]
- Esson, K.C.; Lin, X.; Kumaresan, D.; Chanton, J.P.; Murrell, J.C.; Kostka, J.E. Alpha- and gammaproteobacterial methanotrophs codominate the active methane-oxidizing communities in an acidic boreal peat bog. Appl. Environ. Microbiol. 2016, 82, 2363–2371. [Google Scholar] [CrossRef] [PubMed]
- Kröber, E.; Cunningham, M.R.; Peixoto, J.; Spurgin, L.; Wischer, D.; Kruger, R.; Kumaresan, D. Comparative genomics analyses indicate differential methylated amine utilization trait within members of the genus Gemmobacter. Environ. Microbiol. Rep. 2021, 13, 195–208. [Google Scholar] [CrossRef] [PubMed]
- Jimenez-Infante, F.; Ngugi, D.K.; Vinu, M.; Alam, I.; Kamau, A.A.; Blom, J.; Bajic, V.B.; Stingl, U. Comprehensive genomic analyses of the OM43 clade, including a novel species from the Red Sea, indicate ecotype differentiation among marine methylotrophs. Appl. Environ. Microbiol. 2016, 82, 1215–1226. [Google Scholar] [CrossRef]
- Zhao, Y.; Jiang, B.; Tang, X.; Liu, S. Metagenomic insights into functional traits variation and coupling effects on the anammox community during reactor start-up. Sci. Total Environ. 2019, 687, 50–60. [Google Scholar] [CrossRef] [PubMed]
- Esposito, A.; Pagnanelli, F.; Lodi, A.; Solisio, C.; Vegliò, F. Biosorption of heavy metals by Sphaerotilus natans: An equilibrium study at different pH and biomass concentrations. Hydrometallurgy 2001, 60, 129–141. [Google Scholar] [CrossRef]
- Fernández-Trujillo, J.P.; Martínez, J.A.; Salmerón, M.C.; Artés, F. Isolation of Acremonium species causing postharvest decay of peaches of Spain. Plant Dis. 1997, 81, 958. [Google Scholar] [CrossRef]
- Woudenberg, J.H.C.; Groenewald, J.Z.; Binder, M.; Crous, P.W. Alternaria redefined. Stud. Mycol. 2013, 75, 171–212. [Google Scholar] [CrossRef] [PubMed]
- Crous, P.W.; Groenewald, J.Z. A phylogenetic re-evaluation of Arthrinium. IMA Fungus 2013, 4, 133–154. [Google Scholar] [CrossRef] [PubMed]
- de Vries, R.P.; Visser, J. Aspergillus enzymes involved in degradation of plant cell wall polysaccharides. Microbiol. Mol. Biol. Rev. 2001, 65, 497–522. [Google Scholar] [CrossRef] [PubMed]
- Gleason, F.H.; Kagami, M.; Lefevre, E.; Sime-Ngando, T. The ecology of chytrids in aquatic ecosystems: Roles in food web dynamics. Fungal Biol. Rev. 2008, 22, 17–25. [Google Scholar] [CrossRef]
- Sert, H.B.; Sümbül, H.; Sterflinger, K. A new species of Capnobotryella from monument surfaces. Mycol. Res. 2007, 111, 1235–1241. [Google Scholar] [CrossRef]
- Rungjindamai, N.; Sakayaroj, J.; Plaingam, N.; Somrithipol, S.; Jones, E.B.G. Putative basidiomycete teleomorphs and phylogenetic placement of the coelomycete genera: Chaetospermum, Giulia and Mycotribulus based on nu-rDNA sequences. Mycol. Res. 2008, 112, 802–810. [Google Scholar] [CrossRef]
- Reisert, P.S.; Fuller, M.S. Decomposition of chitin by Chytriomyces species. Mycologia 1962, 54, 647–657. [Google Scholar] [CrossRef]
- Bensch, K.; Braun, U.; Groenewald, J.Z.; Crous, P.W. The genus Cladosporium. Stud. Mycol. 2012, 72, 1–401. [Google Scholar] [CrossRef]
- Zuccaro, A.; Summerbell, R.C.; Gams, W.; Schroers, H.-J.; Mitchell, J.I. A new Acremonium species associated with Fucus spp., and its affinity with a phylogenetically distinct marine Emericellopsis clade. Stud. Mycol. 2004, 50, 283–297. [Google Scholar]
- Longcore, J.E. Morphology and zoospore ultrastructure of Entophlyctis luteolus sp. nov. (Chytridiales): Implications for chytrid taxonomy. Mycologia 1995, 87, 25–33. [Google Scholar] [CrossRef]
- Fracchia, S.; Garcia-Romera, I.; Godeas, A.; Ocampo, J.A. Effect of the saprophytic fungus Fusarium oxysporum on arbuscular mycorrhizal colonization and growth of plants in greenhouse and field trials. Plant Soil 2000, 223, 175–184. [Google Scholar] [CrossRef]
- Varnaitė, R.; Raudonienė, V.; Bridžiuvienė, D. Enzymatic biodegradation of lignin-cellulose complex in plant origin material. Mater. Sci. 2011, 17, 99–103. [Google Scholar] [CrossRef]
- Giraldo, A.; Hernández-Restrepo, M.; Crous, P.W. New plectosphaerellaceous species from Dutch garden soil. Mycol. Prog. 2019, 18, 1135–1154. [Google Scholar] [CrossRef]
- Fedosova, A.G.; Popov, E.S.; Lizon, P.; Kučera, V. Towards an understanding of the genus Glutinoglossum with emphasis on the Glutinoglossum glutinosum species complex (Geoglossaceae, Ascomycota). Persoonia 2018, 41, 18–38. [Google Scholar] [CrossRef] [PubMed]
- Landell, M.F.; Brandão, L.R.; Barbosa, A.C.; Ramos, J.P.; Safar, S.V.B.; Gomes, F.C.O.; Sousa, F.M.P.; Morais, P.B.; Broetto, L.; Leoncini, O.; et al. Hannaella pagnoccae sp. nov., a tremellaceous yeast species isolated from plants and soil. Int. J. Syst. Evol. Microbiol. 2014, 64, 1970–1977. [Google Scholar] [CrossRef] [PubMed]
- Zhang, Y.; Liu, Y.; Zhou, Y.; Zhang, X.; Cui, B.-K.; He, S.; Fournier, J. Helicascus gallicus sp. nov., a new freshwater pleosporalean ascomycete from France. Phytotaxa 2014, 183, 183–192. [Google Scholar] [CrossRef]
- White, J.F., Jr.; Morgan-Jones, G.; Morrow, A.C. Taxonomy, life cycle, reproduction and detection of Acremonium endophytes. Agric., Ecosyst. Environ. 1993, 44, 13–37. [Google Scholar] [CrossRef]
- Calabon, M.S.; Jones, E.B.G.; Hyde, K.D.; Boonmee, S.; Tibell, S.; Tibell, L.; Pang, K.-L.; Phookamsak, R. Phylogenetic assessment and taxonomic revision of Halobyssothecium and Lentithecium (Lentitheciaceae, Pleosporales). Mycol. Prog. 2021, 20, 701–720. [Google Scholar] [CrossRef]
- Li, F.; Chen, L.; Redmile-Gordon, M.; Zhang, J.; Zhang, C.; Ning, Q.; Li, W. Mortierella elongata's roles in organic agriculture and crop growth promotion in a mineral soil. Land Degrad. Dev. 2018, 29, 1642–1651. [Google Scholar] [CrossRef]
- Marano, A.V.; Pires-Zottarelli, C.L.A.; Barrera, M.D.; Steciow, M.M.; Gleason, F.H. Diversity, role in decomposition, and succession of zoosporic fungi and straminipiles on submerged decaying leaves in a woodland stream. Hydrobiologia 2011, 659, 93–109. [Google Scholar] [CrossRef]
- Machouart, M.; Samerpitak, K.; de Hoog, G.S.; Gueidan, C. A multigene phylogeny reveals that Ochroconis belongs to the family Sympoventuriaceae (Venturiales, Dothideomycetes). Fungal Divers. 2014, 65, 77–88. [Google Scholar] [CrossRef]
- Ali, B.R.S.; Zhou, L.; Graves, F.M.; Freedman, R.B.; Black, G.W.; Gilbert, H.J.; Hazlewood, G.P. Cellulases and hemicellulases of the anaerobic fungus Piromyces constitute a multiprotein cellulose-binding complex and are encoded by multigene families. FEMS Microbiol. Lett. 1995, 125, 15–21. [Google Scholar] [CrossRef]
- Khan, Z.; Ahmad, S.; Kapila, K.; Ramaswamy, N.V.; Alath, P.; Joseph, L.; Chandy, R. Pyrenochaeta romeroi: A causative agent of phaeohyphomycotic cyst. J. Med. Microbiol. 2011, 60, 842–846. [Google Scholar] [CrossRef] [PubMed]
- Wang, Q.-M.; Bai, F.-Y. Four new yeast species of the genus Sporobolomyces from plant leaves. FEMS Yeast Res. 2004, 4, 579–586. [Google Scholar] [CrossRef] [PubMed]
- Suetrong, S.; Rungjindamai, N.; Sommai, S.; Rung-Areerate, P.; Somrithipol, S.; Jones, E.B.G. Wiesneriomyces a new lineage of Dothideomycetes (Ascomycota) basal to Tubeufiales. Phytotaxa 2014, 176, 283–297. [Google Scholar] [CrossRef]
- Corsaro, D.; Walochnik, J.; Venditti, D.; Steinmann, J.; Müller, K.-D.; Michel, R. Microsporidia-like parasites of amoebae belong to the early fungal lineage Rozellomycota. Parasitol. Res. 2014, 113, 1909–1918. [Google Scholar] [CrossRef] [PubMed]
- Shin, W.; Boo, S.M.; Longcore, J.E. Entophlyctis apiculata, a chytrid parasite of Chlamydomonas sp. (Chlorophyceae). Can. J. Bot. 2011, 79, 1083–1089. [Google Scholar] [CrossRef]
- Letcher, P.; Powell, M.J. Phylogenetic position of Phlyctochytrium planicorne (Chytridiales, Chytridiomycota) based on zoospore ultrastructure and partial nuclear LSU rRNA gene sequence analysis. Nova Hedwig. 2005, 80, 135–146. [Google Scholar] [CrossRef]
- Gromov, B.V.; Pljusch, A.V.; Mamkaeva, K.A. Cultures of Rhizophydium spp. (Chytridiales)–parasites of chlorococcalean algae. Algol. Stud. 1999, 95, 115–123. [Google Scholar] [CrossRef]
- Hirotani-Akabane, E.; Saikawa, M. Germination and morphology of zygospores in two Cochlonema and one Acaulopage species. Mycologia 2010, 102, 39–43. [Google Scholar] [CrossRef]
- Karpov, S.A.; Mamkaeva, M.A.; Benzerara, K.; Moreira, D.; López-García, P. Molecular phylogeny and ultrastructure of Aphelidium aff. melosirae (Aphelida, Opisthosporidia). Protist 2014, 165, 512–526. [Google Scholar] [CrossRef] [PubMed]
- Karpov, S.A.; Cvetkova, V.S.; Annenkova, N.V.; Vishnyakov, A.E. Kinetid structure of Aphelidium and Paraphelidium (Aphelida) suggests the features of the common ancestor of fungi and Opisthosporidia. J. Eukaryot. Microbiol. 2019, 66, 911–924. [Google Scholar] [CrossRef] [PubMed]
- Pereira, P.T.; de Carvalho, M.M.; Gírio, F.M.; Roseiro, J.C.; Amaral-Collaço, M.T. Diversity of microfungi in the phylloplane of plants growing in a Mediterranean ecosystem. J. Basic Microbiol. 2002, 42, 396–407. [Google Scholar] [CrossRef]
- Srisuk, N.; Nutaratat, P.; Surussawadee, J.; Limtong, S. Yeast communities in sugarcane phylloplane. Microbiology 2019, 88, 353–369. [Google Scholar] [CrossRef]
- Limtong, S.; Kaewwichian, R. The diversity of culturable yeasts in the phylloplane of rice in Thailand. Ann. Microbiol. 2014, 65, 667–675. [Google Scholar] [CrossRef]
- Into, P.; Pontes, A.; Sampaio, J.P.; Limtong, S. Yeast diversity associated with the phylloplane of corn plants cultivated in Thailand. Microorganisms 2020, 8, 80. [Google Scholar] [CrossRef]
- Ozimek, E.; Hanaka, A. Mortierella species as the plant growth-promoting fungi present in the agricultural soils. Agriculture 2021, 11, 7. [Google Scholar] [CrossRef]
- Ma, L.-J.; Geiser, D.M.; Proctor, R.H.; Rooney, A.P.; O’Donnell, K.; Trail, F.; Gardiner, D.M.; Manners, J.M.; Kazan, K. Fusarium pathogenomics. Annu. Rev. Microbiol. 2013, 67, 399–416. [Google Scholar] [CrossRef]
- Que, Y.; Xu, L.; Wu, Q.; Liu, Y.; Ling, H.; Liu, Y.; Zhang, Y.; Guo, J.; Su, Y.; Chen, J.; et al. Genome sequencing of Sporisorium scitamineum provides insights into the pathogenic mechanisms of sugarcane smut. BMC Genom. 2014, 15, 996. [Google Scholar] [CrossRef]
- Corsaro, D.; Köhsler, M.; Wylezich, C.; Venditti, D.; Walochnik, J.; Michel, R. New insights from molecular phylogenetics of amoebophagous fungi (Zoopagomycota, Zoopagales). Parasitol. Res. 2018, 117, 157–167. [Google Scholar] [CrossRef]
- Persmark, L.; Marban-Mendoza, N.; Jansson, H.-B. Nematophagous fungi from agricultural soils of Central America. Nematropica 1995, 25, 117–124. [Google Scholar]
- Rodrigues, L.; Bicudo, D. Similarity among periphyton algal communities in a lentic-lotic gradient of the upper Paraná river floodplain, Brazil. Rev. Bras. Bot. 2001, 24, 235–248. [Google Scholar] [CrossRef]
- Krebs, R.A.; Prescott, T.J.; Clapham, W.B.; Klarer, D.M. Freshwater mussel assemblages at the lotic-lentic interface along Lake Erie. Am. Malacol. Bull. 2018, 36, 31–41. [Google Scholar] [CrossRef]
- Kollár, J.; Fránková, M.; Hašler, P.; Letáková, M.; Poulíčková, A. Epiphytic diatoms in lotic and lentic waters—Diversity and representation of species complexes. Fottea 2015, 15, 259–271. [Google Scholar] [CrossRef]







| Ecological Functions | Bacterial Genera |
|---|---|
| Nitrogen cycling | |
| Denitrification | Acidovorax [62] Arenimonas [63] Chromobacterium [64] CL500-29 marine group [65] Comamonas [66] Devosia [67] Hyphomicrobium [68] Leptothrix [63] Methylotenera [69] OLB13 [70] Opitutus [67] Paracoccus [63] Pseudomonas [67] Rhodobacter [67] SM1A02 [71] Thauera [72] |
| Denitrifying phosphorus-accumulation | Candidatus Accumulibacter [73] Dechloromonas [73] |
| Dissimilatory reduction of nitrate to ammonium | Aeromonas [74] Geobacter [74] Lacunisphaera [74] Pelosinus [75] |
| Ammonium oxidation | Blastopirellula [76] Brevifollis [77] Ellin6067 [78] Gemmata [79] mle1-7 [78] oc32 [78] Pirellula [79] |
| Nitrate reduction | Noviherbaspirillum [80] Rhizobacter [81] Sulfurospirillum [82] Thauera [82] Vogesella [83] |
| Nitrite oxidation | Candidatus Nitrotoga [84] |
| Nitrite reduction | Arenimonas [73] Azoarcus [73] Dechloromonas [85] Haliangium [85] Rhodoferax [86] Sulfuritalea [85] |
| Nitrogen fixation | Anaeromyxobacter [87] Azospira [88] Dechloromonas [89] Devosia [90] Mesorhizobium [91] Methylocystis [92] Nordella [93] Pelomonas [94] Rhizobium [95] Shinella [96] |
| Nitrous oxide reduction | Gemmatimonas [97] |
| Iron cycling | |
| Fe (II) oxidation | Curvibacter [98] Leptothrix [99] Noviherbaspirillum [80] Sideroxydans [100] Undibacterium [98] |
| Fe (III) reduction | Acidibacter [101] Geobacter [99] Rhodoferax [99] |
| Manganese cycling | |
| Mn (II) oxidation | Pedomicrobium [102] Sideroxydans [100] |
| Mn (IV) reduction | Geobacter [99] Rhodoferax [99] |
| Phosphorous cycling | |
| Polyphosphate accumulation | Acinetobacter [103] Arcicella [104] Limnohabitans [104] Propionivibrio [105] |
| Sulfur cycling | |
| Sulfate reduction | Desulfobulbus [106] Desulfomicrobium [107] Desulfovibrio [108] |
| Sulfur oxidation | Limnobacter [109] Meiothermus [110] |
| Sulfur reduction | Fusibacter [111] |
| Uranium cycling | |
| U (IV) reduction | Anaeromyxobacter [112] Geobacter [112] |
| Degradation | |
| Alkane degradation | Aquabacterium [113] Tropicimonas [114] |
| Cellulose degradation | Aquitalea [115] Bacteroides [116] Caulobacter [117] Cellvibrio [118] Cloacibacterium [119] Cytophaga [120] Exiguobacterium [119] Ilumatobacter [121] Paludibacter [119] Roseimarinus [122] Ruminiclostridium [123] |
| Chitin degradation | Chitinibacter [124] Chitinimonas [125] Massilia [126] SH-PL14 [127] |
| Degradation of aromatic compounds | Acinetobacter [128] Azoarcus [99] Hydrogenophaga [129] Hyphomicrobium [130] Leptothrix [99] Limnobacter [128] Methylibium [131] Ottowia [130] Pseudomonas [128] Sulfuritalea [130] Thauera [132] |
| Degradation of biodegradable plastics | Sphingopyxis [133] |
| Volatile fatty acid degradation | Ohtaekwangia [134] |
| Other organic pollutant degradation | Rheinheimera [135] |
| Vitamin biosynthesis | |
| Cobalamin (vitamin B12) biosynthesis | Bacillus [136] Candidatus Udaeobacter [137] Flavobacterium [138] Mycobacterium [70] Porphyrobacter [139] Porphyromonas [140] Pseudomonas [141] |
| Phototrophy | |
| Cyanobacterial phototrophy | Chamaesiphon [142] Cyanobium [143] |
| Bacterial phototrophy | Chloroflexus [144] |
| Anoxygenic phototrophy | NOR5/OM60 clade [145] Rhodobacter [146] Rhodoferax [147] Tabrizicola [148] |
| Photoheterotrophy | Rubrivivax [149] |
| Chemotrophy | |
| Aerobic chemoheterotrophy | Armatimonas [150] Fimbriiglobus [151] Flavisolibacter [152] Hirschia [153] Lewinella [154] Phaeodactylibacter [155] |
| Aerobic chemoorganotrophy | Ahniella [156] Albidovulum [157] Bryobacter [158] Chryseobacterium [159] Haloferula [160] Hyphomonas [161] Ideonella [162] Larkinella [163] Lysobacter [164] Novosphingobium [165] Polaromonas [166] Runella [167] Stenotrophobacter [168] Truepera [169] Zavarzinella [170] |
| Anaerobic chemoorganotrophy | Anaeromusa and Anaeroarcus [171] Phascolarctobacterium [172] Saccharofermentans [173] Sporomusa [174] |
| Carbohydrate fermentation | Alistipes [175] Ferruginibacter [176] Prevotella 9 [177] Treponema [178] Vallitalea [179] |
| Animo acid fermentation | Anaerovorax [180] Acidaminobacter [181] |
| Fermentative hydrogen production | Acetobacteroides [182] Clostridium sensu stricto 1 [183] Clostridium sensu stricto 12 [184] Cytophaga xylanolytica [185] |
| Other | |
| Antifungal effect | Duganella [186] |
| Predator | Bdellovibrio [187] Herpetosiphon [188] |
| Methane oxidation | Methylocystis [92] Methylovulum [189] |
| Methylotrophy | Gemmobacter [190] OM43 clade [191] |
| Extracellular polymeric substance (EPS) secretion | Terrimonas [192] |
| Biosorption of heavy metals | Sphaerotilus [193] |
| Ecological Functions | Fungal Genera |
|---|---|
| Decomposing fungi | |
| Saprotrophy | Acremoniuma [194] Alternaria a [195] Arthrinium [196] Aspergillus a [197] Avachytrium b [198] Capnobotryella b [199] Chaetospermum [200] Chytriomyces [201] Cladosporium a [202] Emericellopsis [203] Entophlyctis b [204] Fusarium a [205] Galactomyces [206] Gibellulopsis a [207] Glutinoglossum b [208] Hannaella a [209] Helicascus [210] Inocybe b [211] Lentithecium [212] Mortierella a [213] Nowakowskiella [214] Ochroconis a [215] Piromyces [216] Pyrenochaeta a [217] Sporobolomyces a [218] Wiesneriomyces [219] |
| Parasitism | |
| Endoparasitic chytrid | Rozella [220] |
| Hyperparasites on other fungi | Cladosporiuma [202] |
| Parasites of algae | Entophlyctisb [221] Phlyctochytrium [222] Rhizophydium [223] |
| Parasites of amoebae | Acaulopage [224] Cochlonema [224] Paramicrosporidium [220] |
| Parasitoids of algae | Aphelidium [225] Paraphelidium [226] |
| Plant-fungal interaction | |
| Ectomycorrhizal fungi | Inocybeb [211] |
| Endophytic fungi | Acremoniuma [211] Alternaria a [195] Arthrinium [196] Cladosporium a [202] |
| Phylloplane fungi | Cladosporiuma [202] Geotrichum [227] Hannaella a [209] Occultifur a [228] Pichia [229] Rhodotorula a [230] Sporobolomyces a [229] Vishniacozyma a [230] |
| Plant growth-promoting fungi | Mortierellaa [231] |
| Plant pathogen | Alternariaa [195] Arthrinium [196] Cladosporium a [202] Fusarium a [232] Gibellulopsis a [207] Sporisorium a [233] |
| Predation | |
| Amoebophagous fungi | Stylopage [234] |
| Nematophagous fungi | Stylopage [235] |
| Mutualism | |
| Lichen-forming fungi | Capnobotryellab [198] |
Publisher’s Note: MDPI stays neutral with regard to jurisdictional claims in published maps and institutional affiliations. |
© 2021 by the authors. Licensee MDPI, Basel, Switzerland. This article is an open access article distributed under the terms and conditions of the Creative Commons Attribution (CC BY) license (https://creativecommons.org/licenses/by/4.0/).
Share and Cite
Ruen-Pham, K.; Graham, L.E.; Satjarak, A. Spatial Variation of Cladophora Epiphytes in the Nan River, Thailand. Plants 2021, 10, 2266. https://doi.org/10.3390/plants10112266
Ruen-Pham K, Graham LE, Satjarak A. Spatial Variation of Cladophora Epiphytes in the Nan River, Thailand. Plants. 2021; 10(11):2266. https://doi.org/10.3390/plants10112266
Chicago/Turabian StyleRuen-Pham, Karnjana, Linda E. Graham, and Anchittha Satjarak. 2021. "Spatial Variation of Cladophora Epiphytes in the Nan River, Thailand" Plants 10, no. 11: 2266. https://doi.org/10.3390/plants10112266
APA StyleRuen-Pham, K., Graham, L. E., & Satjarak, A. (2021). Spatial Variation of Cladophora Epiphytes in the Nan River, Thailand. Plants, 10(11), 2266. https://doi.org/10.3390/plants10112266

