Exploring the Relationship between Remotely-Sensed Spectral Variables and Attributes of Tropical Forest Vegetation under the Influence of Local Forest Institutions
Abstract
:1. Introduction
- To explore the relationship between remotely-sensed spectral variables such as the NDVI, and attributes of forest vegetation, in particular of species richness, tree density, and biomass.
- To investigate how management by local (community) institutions influences vegetation diversity.
- To examine whether the relationship between remotely-sensed spectral variables and attributes of forest vegetation diversity differ in forests managed with and without the participation of local communities.
2. Material and Methods
2.1. Study Area
2.2. Field Data Collection
2.3. Remotely Sensed Data
2.4. Data Analysis
3. Results
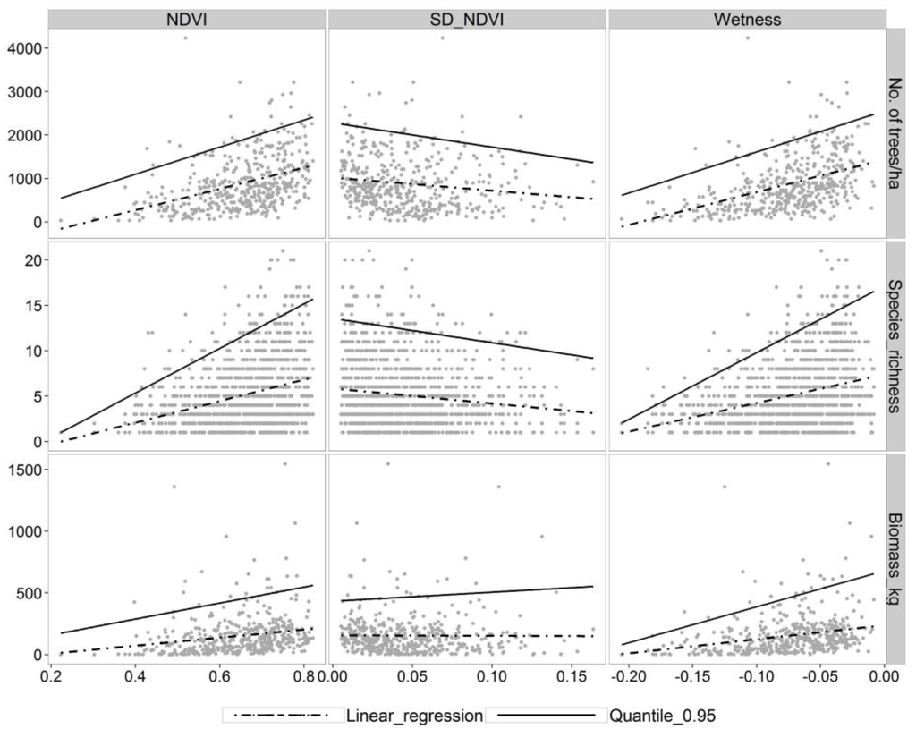
3.1. Relationship between Plant Species and Spectral Diversity
3.2. Impact of Institutions on Plant Species Diversity
3.3. Relationship between Vegetation Diversity and Spectral Values in Presence and Absence of Forest Institutions
3.4. Relationship between Species Dissimilarity and Spectral Dissimilarity
4. Discussion
5. Conclusions
Acknowledgments
Author Contributions
Conflicts of Interest
Abbreviations
| FDCM | Forest Development Corporation of Maharashtra |
| JFM | Joint Forest Management |
| PA | Protected Area |
| PF | Protected Forest |
| RF | Reserve Forest |
| USGS | United State Geological Survey |
| NDVI | Normalized Difference Vegetation Index |
| SD-NDVI | Standard Deviation of Normalized Difference Vegetation Index |
| LiDAR | Light Detection and Ranging |
| CFM | Community forest management |
| GBH | Girth at Breast Height |
| DBH | Diameter at Breast Height |
| WGS84 | World Geodetic System 1984 |
Appendix
| Vegetation Variable | Forest Division | Statistic | p Value |
|---|---|---|---|
| Tree density (no. of trees/ha) | Bhandara | 7033.5 | <00.1*** |
| Brahmapuri | 7137 | <00.1*** | |
| Chandrapur_non_buffer | 5994 | <00.1*** | |
| Gadchiroli | 5701.5 | <00.1*** | |
| Gondia | 5895 | <00.1*** | |
| Nagpur | 3789 | 0.4 | |
| Wadsa | 6525 | <00.1*** | |
| Species richness | Bhandara | 5980.5 | <00.1*** |
| Brahmapuri | 7497 | <00.1*** | |
| Chandrapur_non_buffer | 5251.5 | <00.1*** | |
| Gadchiroli | 5242.5 | <00.1*** | |
| Gondia | 4923 | 0.01** | |
| Nagpur | 3609 | 0.2 | |
| Wadsa | 6129 | <00.1*** | |
| Tree biomass | Bhandara | 6012 | <00.1*** |
| Brahmapuri | 7254 | <00.1*** | |
| Chandrapur_non_buffer | 3159 | 0.01** | |
| Gadchiroli | 3492 | 0.11 | |
| Gondia | 4473 | 0.22 | |
| Nagpur | 3978 | 0.8 | |
| Wadsa | 2412 | <00.1*** |
References
- Groom, M.J.; Meffe, G.K.; Carroll, C.R. Principles of Conservation Biology, 3rd ed.; Sinauer Associates: Sunderland, MA, USA, 2006. [Google Scholar]
- Kerr, J.T.; Ostrovsky, M. From space to species: ecological applications for remote sensing. Trends Ecol. Evol. 2003, 18, 299–305. [Google Scholar] [CrossRef]
- Chambers, J.Q.; Asner, G.P.; Morton, D.C.; Anderson, L.O.; Saatchi, S.S.; Espírito-Santo, F.D.; Palace, M.; Souza, C. Regional ecosystem structure and function: ecological insights from remote sensing of tropical forests. Trends Ecol. Evol. 2007, 22, 414–423. [Google Scholar] [CrossRef] [PubMed]
- Nagendra, H. Using remote sensing to assess biodiversity. Int. J. Remote Sens. 2001, 22, 2377–2400. [Google Scholar] [CrossRef]
- Newton, A.C.; Hill, R.A.; Echeverría, C.; Golicher, D.; Benayas, J.M.R.; Cayuela, L.; Hinsley, S.A. Remote sensing and the future of landscape ecology. Prog. Phys. Geogr. 2009, 33, 528–546. [Google Scholar] [CrossRef]
- Horning, N.; Robinson, J.; Sterling, E.; Turner, W.; Spector, S. Remote Sensing for Ecology and Conservation; Oxford University Press: New York, NY, USA, 2010. [Google Scholar]
- Gaston, K.J.; Spicer, J.I. Biodiversity: An Introduction, 2nd ed.; Blackwell Publishing: Oxford, UK, 2004. [Google Scholar]
- Rocchini, D. Effects of spatial and spectral resolution in estimating ecosystem α-diversity by satellite imagery. Remote Sens. Environ. 2007, 111, 423–434. [Google Scholar] [CrossRef]
- Oldeland, J.; Wesuls, D.; Rocchini, D.; Schmidt, M.; Jürgens, N. Does using species abundance data improve estimates of species diversity from remotely sensed spectral heterogeneity? Ecol. Indic. 2010, 10, 390–396. [Google Scholar] [CrossRef]
- Pettorelli, N.; Vik, J.O.; Mysterud, A.; Gaillard, J.-M.; Tucker, C.J.; Stenseth, N.C. Using the satellite-derived NDVI to assess ecological responses to environmental change. Trends Ecol. Evol. 2005, 20, 503–510. [Google Scholar] [CrossRef] [PubMed]
- Tucker, C.J.; Pinzon, J.E.; Brown, M.E.; Slayback, D.A.; Pak, E.W.; Mahoney, R.; Vermote, E.F.; El Saleous, N. An extended AVHRR 8-km NDVI dataset compatible with MODIS and SPOT vegetation NDVI data. Int. J. Remote Sens. 2005, 26, 4485–4498. [Google Scholar] [CrossRef]
- Pettorelli, N.; Ryan, S.; Mueller, T.; Bunnefeld, N.; Jedrzejewska, B.A.; Lima, M.; Kausrud, K. The Normalized Difference Vegetation Index (NDVI): Unforeseen successes in animal ecology. Climate Res. 2011, 46, 15–27. [Google Scholar] [CrossRef]
- Rocchini, D.; Nagendra, H.; Ghate, R.; Cade, B.S. Spectral distance decay: Assessing species beta-diversity by quantile regression. Photogramm. Eng. Remote Sens. 2009, 75, 1225–1230. [Google Scholar] [CrossRef]
- Morsdorf, F.; Nichol, C.; Malthus, T.; Woodhouse, I.H. Assessing forest structural and physiological information content of multi-spectral LiDAR waveforms by radiative transfer modelling. Remote Sens. Environ. 2009, 113, 2152–2163. [Google Scholar] [CrossRef]
- Nagendra, H.; Rocchini, D. High resolution satellite imagery for tropical biodiversity studies: The devil is in the detail. Biodiv. Conserv. 2008, 17, 3431–3442. [Google Scholar] [CrossRef]
- Wulder, M.A.; Masek, J.G.; Cohen, W.B.; Loveland, T.R.; Woodcock, C.E. Opening the archive: How free data has enabled the science and monitoring promise of Landsat. Remote Sens. Environ. 2012, 122, 2–10. [Google Scholar] [CrossRef]
- Brechin, S.R.; Wilshusen, P.R.; Fortwangler, C.L.; West, P.C. Beyond the square wheel: Toward a more comprehensive understanding of biodiversity conservation as social and political process. Soc. Nat. Resour. 2002, 15, 41–64. [Google Scholar] [CrossRef]
- Ostrom, E.; Nagendra, H. Insights on linking forests, trees, and people from the air, on the ground, and in the laboratory. Proc. Natl. Acad. Sci. USA 2006, 103, 19224–19231. [Google Scholar] [CrossRef] [PubMed]
- Holling, C.S. Understanding the complexity of economic, ecological, and social systems. Ecosystems 2001, 4, 390–405. [Google Scholar] [CrossRef]
- Paillet, Y.; Bergès, L.; Hjältén, J.; Ódor, P.; Avon, C.; Bernhardt-Romermann, M.; Bijlsma, R.J.; De Bruyn, L.; Fuhr, M.; Grandin, U. Biodiversity differences between managed and unmanaged forests: Meta-analysis of species richness in Europe. Conserv. Biol. 2010, 24, 101–112. [Google Scholar] [CrossRef] [PubMed]
- Sitzia, T.; Trentanovi, G.; Dainese, M.; Gobbo, G.; Lingua, E.; Sommacal, M. Stand structure and plant species diversity in managed and abandoned silver fir mature woodlands. For. Ecol. Manag. 2012, 270, 232–238. [Google Scholar] [CrossRef]
- Ghate, R.; Nagendra, H. Role of monitoring in institutional performance: forest management in Maharashtra, India. Conserv. Soc. 2005, 3, 509–532. [Google Scholar]
- Nagendra, H.; Pareeth, S.; Ghate, R. People within parks—forest villages, land-cover change and landscape fragmentation in the Tadoba Andhari Tiger Reserve, India. Appl. Geogr. 2006, 26, 96–112. [Google Scholar] [CrossRef]
- Naughton-Treves, L.; Holland, M.B.; Brandon, K. The role of protected areas in conserving biodiversity and sustaining local livelihoods. Annu. Rev. Environ. Resour. 2005, 30, 219–252. [Google Scholar] [CrossRef]
- Karanth, K.K.; DeFries, R. Conservation and management in human-dominated landscapes: Case studies from India. Biol. Conserv. 2010, 143, 2865–2869. [Google Scholar] [CrossRef]
- Hayes, T.M. Parks, people, and forest protection: An institutional assessment of the effectiveness of protected areas. World Dev. 2006, 34, 2064–2075. [Google Scholar] [CrossRef]
- Coleman, E.A.; Fleischman, F.D. Comparing forest decentralization and local institutional change in Bolivia, Kenya, Mexico, and Uganda. World Dev. 2012, 40, 836–849. [Google Scholar] [CrossRef]
- DeFries, R.; Karanth, K.K.; Pareeth, S. Interactions between protected areas and their surroundings in human-dominated tropical landscapes. Biol. Conserv. 2010, 143, 2870–2880. [Google Scholar] [CrossRef]
- Fleischman, F. Understanding India’s forest bureaucracy: A review. Reg. Environ. Change 2015, 1–13. [Google Scholar] [CrossRef]
- Sarin, M.; Singh, N.M.; Sundar, N.; Bhogal, R.K. Devolution as a Threat to Democratic Decision-Making in Forestry? Findings from Three States in India; Overseas Development Institute: London, UK, 2003. [Google Scholar]
- Shahabuddin, G.; Rangarajan, M. Making Conservation Work: Securing Biodiversity in this New Century; Permanent Black: New Delhi, India, 2007. [Google Scholar]
- Cohen, W.B.; Goward, S.N. Landsat’s role in ecological applications of remote sensing. BioScience 2004, 54, 535–545. [Google Scholar] [CrossRef]
- Joshi, A.; Vaidyanathan, S.; Mondol, S.; Edgaonkar, A.; Ramakrishnan, U. Connectivity of tiger (Panthera tigris) populations in the human-influenced forest mosaic of Central India. PLoS ONE 2013, 8, e77980. [Google Scholar] [CrossRef] [PubMed]
- Pretty, J.; Smith, D. Social capital in biodiversity conservation and management. Conserv. Biol. 2004, 18, 631–638. [Google Scholar] [CrossRef]
- Ostrom, E. How types of goods and property rights jointly affect collective action. J. Theor. Polit. 2003, 15, 239–270. [Google Scholar] [CrossRef]
- Hayes, T.; Ostrom, E. Conserving the world’s forests: Are protected areas the only way? Indiana Law Rev. 2005, 38, 595–617. [Google Scholar]
- Ghate, R.; Ghate, S.; Ostrom, E. Can communities plan, grow and sustainably harvest from forests? Econ. Polit. Wkly. 2013, 48, 59–67. [Google Scholar]
- Census of India. Available online: http://censusindia.gov.in/ (accessed on 11 October 2014).
- Ghate, R.; Ghate, S.; Ostrom, E. Cultural norms, cooperation, and communication: taking experiments to the field in indigenous communities. Int. J. Commons 2013, 7, 498–520. [Google Scholar] [CrossRef]
- Team, Q.D. QGIS Geographic Information System, 2015. Open Source Geospatial Foundation Project. Available online: http://qgis.org/ (accessed on 1 September 2013).
- Chave, J.; Andalo, C.; Brown, S.; Cairns, M.; Chambers, J.; Eamus, D.; Fölster, H.; Fromard, F.; Higuchi, N.; Kira, T. Tree allometry and improved estimation of carbon stocks and balance in tropical forests. Oecologia 2005, 145, 87–99. [Google Scholar] [CrossRef] [PubMed]
- Zanne, A.; Lopez-Gonzalez, G.; Coomes, D.; Ilic, J.; Jansen, S.; Lewis, S.; Miller, R.; Swenson, N.; Wiemann, M.; Chave, J. Global Wood Density Database 2009. Available online: http://datadryad.org/resource/doi:10.5061/dryad.234/1?show=full (accessed on 29 July 2015).
- Baig, M.H.A.; Zhang, L.; Shuai, T.; Tong, Q. Derivation of a tasselled cap transformation based on Landsat 8 at-satellite reflectance. Remote Sens. Lett. 2014, 5, 423–431. [Google Scholar] [CrossRef]
- Cade, B.S.; Noon, B.R. A gentle introduction to quantile regression for ecologists. Front. Ecol. Environ. 2003, 1, 412–420. [Google Scholar] [CrossRef]
- Koenker, R.; Bassett, G., Jr. Regression quantiles. Econometrica 1978, 46, 33–50. [Google Scholar] [CrossRef]
- Rocchini, D.; Balkenhol, N.; Carter, G.A.; Foody, G.M.; Gillespie, T.W.; He, K.S.; Kark, S.; Levin, N.; Lucas, K.; Luoto, M. Remotely sensed spectral heterogeneity as a proxy of species diversity: Recent advances and open challenges. Ecol. Inform. 2010, 5, 318–329. [Google Scholar] [CrossRef]
- Koenker, R. The Quantreg Package Version 5.11 2015. Available online: https://cran.r-project.org/web/packages/quantreg/index.html (accessed on 29 December 2015).
- Oksanen, J.; Blanchet, F.G.; Legendre, P.; Minchin, P.R.; O’Hara, R.B.; Simpson, G.L.; Solymos, P.; Stevens, M.H.H.; Wagner, H. The Vegan Package Version 2.3-1 2015. Available online: https://cran.r-project.org/web/packages/vegan/index.html (accessed on 25 November 2015).
- Krishnaswamy, J.; Bawa, K.S.; Ganeshaiah, K.; Kiran, M. Quantifying and mapping biodiversity and ecosystem services: Utility of a multi-season NDVI based Mahalanobis distance surrogate. Remote Sens. Environ. 2009, 113, 857–867. [Google Scholar] [CrossRef]
- Nagendra, H.; Rocchini, D.; Ghate, R.; Sharma, B.; Pareeth, S. Assessing plant diversity in a dry tropical forest: Comparing the utility of Landsat and IKONOS satellite images. Remote Sens. 2010, 2, 478–496. [Google Scholar] [CrossRef]
- He, K.S.; Zhang, J.; Zhang, Q. Linking variability in species composition and MODIS NDVI based on beta diversity measurements. Acta Oecol. 2009, 35, 14–21. [Google Scholar] [CrossRef]
- Murphy, P.G.; Lugo, A.E. Ecology of tropical dry forest. Annu. Rev. Ecol. Syst. 1986, 67, 67–88. [Google Scholar] [CrossRef]
- Shahabuddin, G.; Rao, M. Do community-conserved areas effectively conserve biological diversity? Global insights and the Indian context. Biol. Conserv. 2010, 143, 2926–2936. [Google Scholar] [CrossRef]
- Ostrom, E. Collective action and the evolution of social norms. J. Econ. Perspect. 2000, 14, 137–158. [Google Scholar] [CrossRef]
- Agrawal, A.; Ostrom, E. Collective action, property rights and decentralization in resource use in India and Nepal. Polit. Soc. 2001, 29, 485–514. [Google Scholar] [CrossRef]
- Poteete, A.R.; Ostrom, E. Heterogeneity, group size and collective action: the role of institutions in forest management. Dev. Chang. 2004, 35, 435–461. [Google Scholar] [CrossRef]
- Nagendra, H.; Mairota, P.; Marangi, C.; Lucas, R.; Dimopoulos, P.; Honrado, J.; Niphadkar, M.; Mucher, C.; Tomaselli, V.; Panitsa, M. Satellite remote sensing to monitor pressure in protected areas. Int. J. Appl. Earth Observ. Geoinf. 2015, 37, 124–132. [Google Scholar] [CrossRef]








| Different Types of Management Regimes | Rules |
|---|---|
| Reserve Forest (RF) | RF patches are legally government property, and under control of government officials. Within RFs, plantation, beat cutting (cut down trees based on predetermined range of DBH in the selected coupe/beat for plantation) and other forestry practices are conducted according to 5 year plans of the forest department. There are restrictions on logging and hunting. Local residents can collect fuelwood only through head-loads. Taking bullock-carts, bicycles and axes for wood collection is prohibited. |
| Forest Development Corporation of Maharashtra (FDCM) | Some RF compartments are leased to the Forest Development Corporation of Maharashtra for afforestation and timber extraction and sale. Local community work in FDCM forests for daily wages is permitted, but workers are not allowed to access forest resources for their livelihood. They are sometimes allowed to use resources that are not commercially useful for the FDCM department. |
| Protected Forest (PF) | PFs are similar to RFs; however, there are fewer restrictions on village residents in terms of using the former as compared to the latter. The term PF is sometimes interchangeably used with village forest. Village residents are allowed to collect fuelwood, timber and other NTFPs. |
| Community Forest Management (CFM) | Some patches of RFs and PFs are informally managed by local communities, who formulate rules and regulations on use and management. Some of these community associations later received formal recognition through Joint Forest Management (JFM), with forest patches continuing to be managed by the local community but with limited authority, under the overall control of the Forest Department. Recently, some local communities have claimed rights over forest patches through the Community Forest Rights section of the Forest Rights Act (FRA). |
| Variable | Parameter | Quantile Regression (tau = 0.95) | Linear Regression | ||
|---|---|---|---|---|---|
| Estimate | p Value | Estimate | p Value | ||
| Tree density | Intercept: NDVI | −4.68 (±7.9) | 0.55 | −21.98 (±3.0) | <0.001*** |
| Slope: NDVI | 97.97 (±11.29) | <0.001 | 76.5 (±4.6) | <0.001*** | |
| Intercept: SD–NDVI | 71.67 (± 2.5) | <0.001 | 32.07 (±0.9) | <0.001*** | |
| Slope: SD–NDVI | −175.81 (±46.6) | <0.001 | −94.68 (±17.5) | <0.001*** | |
| Intercept: Wetness | 80.22 (±4.0) | <0.001 | 45.29 (±1.0) | <0.001*** | |
| Slope: Wetness | 296.36 (±36.7) | <0.001 | 236.9 (±12.9) | <0.001*** | |
| Species richness | Intercept: NDVI | −4.47 (±1.5) | <0.001 | −2.65 (±0.6) | <0.001*** |
| Slope: NDVI | 24.57 (±2.4) | <0.001 | 11.85 (±0.9) | <0.001*** | |
| Intercept: SD–NDVI | 13.57 (±0.7) | <0.001 | 5.86 (±0.1) | <0.001*** | |
| Slope: SD–NDVI | −26.89 (±10.6) | 0.01 | −16.65 (±3.4) | <0.001*** | |
| Intercept: Wetness | 17.14 (±0.6) | <0.001 | 7.39 (±0.2) | <0.001*** | |
| Slope: Wetness | 73.41 (±7.1) | <0.001 | 31.42 (±2.7) | <0.001*** | |
| Tree biomass | Intercept: NDVI | 29.5 (±176.0) | 0.80 | −57.82 (±28.7) | <0.001*** |
| Slope: NDVI | 647.52 (±268.5) | 0.01 | 326.11 (±43.7) | <0.001*** | |
| Intercept: SD–NDVI | 432.06 (±44.3) | <0.001 | 155.87 (±8.5) | <0.001*** | |
| Slope: SD–NDVI | 735.88 (±988.7) | 0.45 | −40.02 (±154.6) | 0.79 | |
| Intercept: Wetness | 679.04 (±31.5) | <0.001 | 238.7 (±10.1) | <0.001*** | |
| Slope: Wetness | 2911.19 (±196.1) | <0.001 | 1141.29 (±121.9) | <0.001*** | |
| Predictor Variable | Parameter | Estimate | p Value |
|---|---|---|---|
| NDVI | institutions present | 28.93 (±12.44) | 0.02* |
| institutions absent | −53.51 (±16.0) | <0.001*** | |
| institutions present: NDVI | 56.35 (±22.3) | 0.01** | |
| institutions absent: NDVI | 58.41 (±27.5) | 0.03* | |
| SD–NDVI | institutions present | 74.31 (±7.8) | <0.001*** |
| institutions absent | −14.27 (±8.3) | 0.08· | |
| institutions present: SD–NDVI | −161.17 (±155.8) | 0.30 | |
| institutions absent: SD–NDVI | −28.73 (±162.3) | 0.85 | |
| Wetness | institutions present | 79.31 (±7.2) | <0.001*** |
| institutions absent | −3.21 (±8.2) | 0.69 | |
| institutions present: Wetness | 212.71 (±80.3) | <0.001*** | |
| institutions absent: Wetness | 129.53 (±89.9) | 0.15 |
| Predictor Variable | Parameter | Estimate | p Value |
|---|---|---|---|
| NDVI | institutions present | 0.92 (±4.1) | 0.82 |
| institutions absent | −5.8 (±4.4) | 0.18 | |
| institutions present: NDVI | 17.72 (±5.9) | <0.001*** | |
| institutions absent: NDVI | 6.19 (±6.6) | 0.35 | |
| SD–NDVI | institutions present | 14.29 (±0.9) | <0.001*** |
| institutions absent | −1.85 (±1.3) | 0.18 | |
| institutions present: SD–NDVI | −24.92 (±11.6) | 0.03* | |
| institutions absent: SD–NDVI | −9.98 (±22.8) | 0.66 | |
| Wetness | institutions present | 17.03 (±0.9) | <0.001*** |
| institutions absent | −2.17 (±1.3) | 0.11 | |
| institutions present: Wetness | 66.01 (±12.2) | <0.001*** | |
| institutions absent: Wetness | −10.94 (±15.0) | 0.46 |
| Parameter | Institutions Present | Institutions Absent | ||
|---|---|---|---|---|
| Estimate | p Value | Estimate | p Value | |
| Intercept: tau 0.95 | 0.51 (±0.003) | <0.001*** | 0.51(±0.005) | <0.001*** |
| Slope: tau 0.95 | −0.00009 (0) | <0.001*** | −0.00009 (0) | <0.001*** |
| Intercept: tau 0.90 | 0.45 (±0.003) | <0.001*** | 0.43 (±0.004) | <0.001*** |
| Slope: tau 0.90 | −0.00009 (0) | <0.001*** | −0.00009 (0) | <0.001*** |
| Intercept: tau 0.75 | 0.33 (±0.002) | <0.001*** | 0.30 (±0.002) | <0.001*** |
| Slope: tau 0.75 | −0.0007 (0) | <0.001*** | −0.00008 (0) | <0.001*** |
| Intercept: tau 0.50 | 0.20 (±0.001) | <0.001*** | 0.17 (±0.001) | <0.001*** |
| Slope: tau 0.50 | −0.00004 (0) | <0.001*** | −0.00005 (0) | <0.001*** |
© 2016 by the authors; licensee MDPI, Basel, Switzerland. This article is an open access article distributed under the terms and conditions of the Creative Commons Attribution (CC-BY) license (http://creativecommons.org/licenses/by/4.0/).
Share and Cite
Agarwal, S.; Rocchini, D.; Marathe, A.; Nagendra, H. Exploring the Relationship between Remotely-Sensed Spectral Variables and Attributes of Tropical Forest Vegetation under the Influence of Local Forest Institutions. ISPRS Int. J. Geo-Inf. 2016, 5, 117. https://doi.org/10.3390/ijgi5070117
Agarwal S, Rocchini D, Marathe A, Nagendra H. Exploring the Relationship between Remotely-Sensed Spectral Variables and Attributes of Tropical Forest Vegetation under the Influence of Local Forest Institutions. ISPRS International Journal of Geo-Information. 2016; 5(7):117. https://doi.org/10.3390/ijgi5070117
Chicago/Turabian StyleAgarwal, Shivani, Duccio Rocchini, Aniruddha Marathe, and Harini Nagendra. 2016. "Exploring the Relationship between Remotely-Sensed Spectral Variables and Attributes of Tropical Forest Vegetation under the Influence of Local Forest Institutions" ISPRS International Journal of Geo-Information 5, no. 7: 117. https://doi.org/10.3390/ijgi5070117
APA StyleAgarwal, S., Rocchini, D., Marathe, A., & Nagendra, H. (2016). Exploring the Relationship between Remotely-Sensed Spectral Variables and Attributes of Tropical Forest Vegetation under the Influence of Local Forest Institutions. ISPRS International Journal of Geo-Information, 5(7), 117. https://doi.org/10.3390/ijgi5070117

