Abstract
Bus networks are a crucial support for urban commuting. By studying the evolutionary characteristics of bus networks, we can uncover their development patterns, coverage efficiency, and changes in regional balance, providing a scientific basis for sustainable urban development and the optimization of transportation resources. This study systematically analyzes the spatiotemporal evolution characteristics of the bus network in Beijing from 2006 to 2024 using specific spatial analysis tools to analyze spatiotemporal evolution characteristics. By analyzing spatial coverage rates of transit stations using road network and administrative division data, the study reveals the convenience of bus networks in different regions. By combining the research methodology of the Sustainable Development Goals (SDGs) report, a 500-m service radius for bus stops was assessed. A complex network model was used to extract the nodes and edges of the bus network, and the betweenness centrality (BC) characteristics were analyzed. The findings indicate that Beijing’s bus network has gradually expanded from the central urban areas to peripheral regions, with notable expansion in Tongzhou and Yanqing, resulting in an improved balance in the distribution of stations and routes and the emergence of Tongzhou as a new bus hub. The diffusion characteristics of the bus network are significantly influenced by administrative boundaries and the layout of the ring roads. Bus routes and stops are highly concentrated in the central urban areas and within the Second Ring Road, while as the number of ring roads increases, various network indices gradually decrease. The distribution of bus stops shows notable clustering and an uneven directional development. Beijing’s bus stop distribution exhibits significant clustering characteristics, and the areas with a high Population Conveniently Served by Buses (PCSB) are predominantly concentrated in the central urban areas, with a large gap compared to the outer suburban districts. These conclusions expand on the exploration of isolated and static characteristics of the bus network structure, revealing the dynamic mechanisms and evolution patterns of Beijing’s bus network. They provide guidance and recommendations for improving the bus network and offer more comprehensive support for urban planning and resource allocation.
1. Introduction
Under the framework of the United Nations Sustainable Development Goals (SDGs), SDG 11—“Make cities and human settlements inclusive, safe, resilient, and sustainable”—has become a central concern for nations worldwide [1]. Among its key components, building a safe, convenient, and sustainable public transportation system for all humanity is an essential aspect of achieving this goal [2]. At the same time, in the face of worsening global warming and the acceleration of urbanization [3,4,5], promoting public transportation modes can effectively reduce carbon emissions, alleviate traffic congestion, and improve urban environments [6]. This initiative aligns with the requirements of SDG 11 to enhance urban livability and sustainability [7], while also providing strong support for the development of more convenient and livable urban communities. Public transit stations and routes build the city’s road network, constituting the core elements of urban transit systems. Urban public transit systems connect various parts of the city, strengthening interregional links [8,9]. A well-developed public service infrastructure improves the quality of life, narrows social disparities, and ensures sustainable social development [10]. A mature transit network system, as an efficient and sustainable transportation option, provides substantial convenience, relieving pressure on urban traffic congestion [11]. Compared to private vehicle travel, it significantly reduces air pollution and promotes carbon neutrality, playing a crucial role in urban social and economic development [12]. Therefore, given the indispensable role of bus networks in urban areas, a thorough analysis of the characteristics and evolutionary patterns of urban bus networks is of great significance. Such research supports the optimization of transportation infrastructure under the framework of sustainable development goals and plays a crucial role in building more livable and resilient cities.
Urban public transit network evolution is a complex process of system optimization and self-organization, involving temporal nodes, spatial distribution, and transit behavior patterns [13]. The structure, connectivity, and complexity of urban transit networks are constantly adjusted over time [14]. Dynamic studies on transit networks over multiple periods can reveal the intrinsic rules of urban bus network evolution, providing valuable guidance for urban transportation planning. This study adopts a spatiotemporal perspective to analyze bus network evolution across ring roads and administrative divisions, offering insights into the roles of stations and routes within the network and better explaining the development mechanisms of bus networks. Population variables were incorporated into the analysis to comprehensively reveal bus network development trends. Through statistical feature analysis, we derived results regarding the relationships among population, stations, and routes, captured bus network evolution trends, identified patterns and issues, and provided practically significant insights for real-world applications.
The main innovations of this study are as follows. First, it introduces a spatiotemporal perspective to uncover the dynamic evolution patterns of urban bus networks. By analyzing multiple periods and spatial scales, along with a comprehensive examination of different ring roads and administrative divisions, it delves into the dynamic evolution characteristics of urban bus networks. Compared to static network structure analysis, studying the dynamic mechanisms and evolution patterns of urban bus networks can reveal the system’s adaptability and adjustment mechanisms in complex real-world scenarios, providing more comprehensive support for urban planning and resource allocation. Second, it integrates the SDG framework to assess the features of bus networks, revealing their impact on urban sustainability. Under the SDG framework, the study further refines the evaluation of bus network connectivity, complexity, and coverage characteristics, systematically analyzing their contribution to urban sustainability. By analyzing the spatiotemporal evolution characteristics of bus networks from the perspective of sustainable development, this research addresses the gap in studying the evolution processes and dynamic mechanisms of urban bus networks. The evaluation system developed through this approach can be applied to other cities to explore the evolution patterns of their bus networks and evaluate the network’s balance and spatial layout rationality. The structure of this study is as follows: Section 2 reviews related work and summarizes the general research directions of bus networks; Section 3 introduces the study area and specific data for analyzing the evolution of Beijing’s bus network; Section 4 describes the experimental process and specific analytical methods; Section 5 visualizes and provides a detailed description of the experimental results; Section 6 discusses the study as a whole, offering a summary and outlook; and Section 7 concludes the study by summarizing the overall research.
2. Related Work
Urban public transportation has various forms, and buses and rail transit constitute today’s main modes in cities. Compared to rail transit, conventional buses require less investment and offer better route flexibility, playing an essential role in urban transportation systems [15,16]. Early research on bus networks primarily focused on the quality of bus services. Newell analyzed various bus scheduling policies, clarifying the relationships between trips, timetables, and passenger demand during scheduling. He proposed several scheduling models and evaluated their effectiveness in actual operations, providing theoretical support for the design of bus scheduling strategies and specific recommendations on balancing punctuality and service quality in bus systems [17]. Glaister explored the impact of removing capacity regulation on the service quality of bus routes through stochastic simulation [18]. Bly and Oldfield, using London as an example, developed a bus service demand model to assess optimal bus service sizes. They investigated the potential improvements in bus services after introducing smaller buses to optimize London’s existing transportation system [19]. However, due to the limited development of early bus networks and the immature research techniques at the time, studies were more focused on passenger experience but paid less attention to the structural characteristics of bus network changes.
Geography, a discipline that examines spatial phenomena and their causal relationships, provides multi-layered and multi-faceted analytical perspectives [20,21]. With the advancement of GIS technology, integrating geographic knowledge and techniques into the study of bus networks can provide a more comprehensive and scientific foundation for understanding and optimizing urban bus systems. Research on transit networks focuses primarily on GIS technology and complex network theory [22,23]. For example, Li and Guo analyzed urban transit network topologies and fractal characteristics using GIS to quantitatively describe its spatial morphology [24]. Tung et al. used spatial Durbin models to analyze the relationship between dynamic transit network characteristics and spatial structures across 265 Chinese cities [25]. Sienkiewicz and Hołyst analyzed public transit systems in 22 Polish cities, revealing network structures and characteristics [26]. Gao et al. constructed and analyzed transportation flow networks based on traffic flow models, employing a modified ChSch model to simulate traffic flow states and examine how traffic dynamics impact network structure. Varying traffic conditions led to different connection distributions within the network, and three types of small-world networks emerged in traffic flow evolution [27]. Sui et al. hypothesized that urban transportation demand decreases concentrically from the city center outward and that the quantity of transportation demand follows a power-law distribution. Based on this, they constructed a spatial evolution model. The model describes the network structure by defining a set of candidate stations, routes, and node metrics. It is used to balance the impact of passenger and investor demands on the network structure. The model’s validity was verified using actual bus network data from nine Chinese cities obtained from the 8684 website [28]. Wang studied Beijing’s traffic network from the perspectives of network topology construction, evolution, and characteristic analysis using transportation network theory and complex network science [29]. Bin Asad and Yuan, using taxi trajectory data from Nanjing, applied texture analysis algorithms to identify human spatial movement patterns and analyze city traffic patterns [30]. Abenoza et al. conducted surveys on public transit service quality expectations and satisfaction among different market segments, revealing the significance of service quality attributes over time and across groups [31]. Yu et al. built a complex network model and evaluated network density, centrality, clustering coefficients, and average distance to analyze Nanjing’s transit network evolution. This innovative approach described subway network spatial structure characteristics, proposing star and ring structures to depict subway network spatial patterns, and gradually illustrated the city’s commercial spatial layout [32]. Wang et al. conducted spatial configuration studies of urban transit networks, proposing a framework based on geographic spatial network analysis. By constructing an Urban Bus Spatial Network (UBSN), which represents the spatial configuration and connectivity of the urban bus system, they conducted in-depth analyses on macro statistical characteristics, centrality metrics, and community detection. Findings showed evident spatial clustering characteristics in UBSN, revealing the spatial distribution and interconnections of transit stations and routes within urban spaces. Based on these findings, they proposed optimization recommendations for urban transport infrastructure planning [23]. By integrating GIS technology with complex networks, existing studies provide a multi-level and comprehensive analytical framework for bus network structures, uncovering the complexity of transportation networks and their interaction patterns with the surrounding spatial environment.
Bus networks serve urban residents, and good network performance characteristics contribute to the robust operation of cities. Additionally, these performance characteristics are key indicators for evaluating the structural features of public transport networks, encompassing reliability, vulnerability, and resilience [33]. Various factors, such as climate change, disease spread, and information technology, impact the resilience of urban transit networks to varying degrees, which can be evaluated through categorized indicators [34]. Xu and Chopra discussed how Hong Kong’s transit system’s resilience is reliant on interconnectedness and its contribution to network robustness [35]. Liu and Bardaka analyzed the spatial correlation between poverty rates and transit network characteristics by coupling suburbanization in impoverished areas with public transit accessibility [36]. Fan et al. focused on the three major economic circles in Shandong Province, incorporating space syntax theory into analyzing the spatial distribution of compactness and selectivity in road networks using a spatial design network analysis model, which presents its spatial pattern and optimization recommendations [37]. Lee et al. applied a multi-layer network model to model and visualize Seoul’s public transit system, further evaluating urban travel patterns, complexity, and robustness [38]. These studies are no longer limited to the surface-level aspects of bus service efficiency and quality but instead focus on the deeper structure of networks and their interactions with the surrounding spatial environment, providing both theoretical foundations and practical guidance for evaluating and optimizing urban bus networks. Overall, existing research methods on transportation networks are diverse but primarily emphasize single-characteristic analyses, such as complex network theory and spatial analysis [39,40].
However, most of these studies are confined to static analyses of network states during a single period. Research that systematically addresses the dynamic mechanisms and evolution patterns of urban bus networks is relatively scarce, with a lack of exploration of the spatial patterns of bus networks from a spatiotemporal perspective. Compared to the study of static bus network structure characteristics, exploring the dynamic mechanisms and evolution patterns of urban bus networks can reveal the system’s adaptability and adjustment mechanisms under different periods and scenarios. Studying the changes in the network during real-world operations, it allows for a deeper understanding of how the system responds to factors such as population movement, changes in traffic demand, and policy adjustments. This helps identify service gaps in transportation demand, provides support for urban planning and resource allocation, and, from a multi-temporal perspective, serves as an important complement to static network structure analysis.
3. Materials
3.1. Study Area
Beijing, one of the world’s largest cities, is located on the North China Plain in eastern China, with a total area of approximately 16,410 square kilometers [41]. The city consists of 16 county-level administrative divisions aligned longitudinally and 327 streets of varying sizes [42]. According to the Seventh National Census, Beijing’s permanent population reached 21.893 million, a net increase of 2.281 million over the decade since the Sixth Census in 2010 [43]. As an ancient capital of China, Beijing has a rich history and profound cultural heritage. Throughout its history, Beijing has served multiple times as the political and cultural center of China, witnessing the rise and fall of several dynasties [44]. The development and evolution of Beijing’s bus network have paralleled these historical changes. Over a long historical evolution, Beijing’s public transportation system has developed into a distinctive, mature, and complex network [45]. Drawing on both domestic and international advanced practices, it continuously adopts innovative technologies to enhance the quality and efficiency of transit services, making Beijing’s transit system a model for urban transportation networks worldwide [46]. Given the complexity and maturity of its transit network, dense population, and intricate urban structure, Beijing was chosen as the study area, as shown in Figure 1.
Figure 1.
Study area.
3.2. Study Data
The urban bus network is an integral part of urban public facilities, serving the daily lives of city residents. Factors such as major urban events and city policies influence the distribution patterns of public service facilities [47]. Therefore, to better study the evolutionary characteristics of Beijing’s bus network, we selected key temporal nodes corresponding to significant events in Beijing, and, considering the construction timeline of the bus network, we chose to analyze the bus network data from the year following each event. Based on this, we selected bus network data for four time points: 2006, 2009, 2017, and 2024. These datasets effectively capture the evolutionary process of the bus network. Utilizing data from the National Science and Technology Ministry’s 863 Program project “Dynamic Peer-to-Peer Structured Open Navigation and Positioning Electronic Map Service Network Platform Construction and Demonstration”, Wang combined with data from the Beijing Municipal Bureau of Statistics, the Beijing Bus Network, and digital map sources to compile the transit network data for Beijing in 2006 and 2009. He analyzed the spatiotemporal patterns of roads and transit networks over the years from the perspective of complex networks, employing various spatial analysis methods. This study focused on Beijing as the research area, revealing the evolutionary characteristics of its transit network and providing guidance for similar research on urban networks [29] (https://d.wanfangdata.com.cn/thesis/Y2430285 18 October 2023). Data for the 2017 and 2024 bus networks were obtained from Amap’s website, a leading provider of digital map content, navigation, and location-based services in China. Amap is also one of the top ten mobile applications in China. The data obtained from Amap include information such as route names for both the inbound and outbound bus lines, the number of stops, latitude/longitude coordinates, and other relevant details (https://gaode.com/ accessed on 25 May 2024).
As a vital element in urban development, the population closely is linked with public transportation. This study used 2020 population data at a spatial resolution of 100 m × 100 m, shared on the Figshare platform. This dataset was generated using a downscaling method employing stacking ensemble learning, integrating random forest, XGBoost, and LightGBM models to segment residential areas from geospatial big data based on population data from the Seventh Census, thereby improving the accuracy of population grid data estimation. Compared to mainstream population datasets, this dataset has a coefficient of determination () of 0.8936, outperforming WorldPop ( = 0.7427) and LandScan ( = 0.7165) [48] (https://doi.org/10.5194/essd-16-3705-2024 accessed on 15 July 2024). To ensure the reliability of the population data, this study incorporated data from China’s Seventh National Population Census to calibrate the initial population data (https://www.stats.gov.cn/sj/pcsj/ accessed on 15 July 2024). For this study, the 2024 road network data from OpenStreetMap (OSM) was used to segment Beijing’s land parcels and analyze the distribution of stations. OSM is an open-source map data platform (https://www.openstreetmap.org/ accessed on 20 May 2024), where global users upload data on roads, waterways, buildings, and more. The downloaded road network data includes fields such as road names, types, and numbers [49]. Additionally, vector data for Beijing’s administrative divisions were used to facilitate extraction, partitioning, and other analyses in subsequent experiments.
4. Research Methods
This study aims to analyze the spatial-temporal evolution of Beijing’s transit network through data from multiple years, including transportation networks, road networks, and population data. Figure 2 illustrates the specific methodological workflow of this work. Given the heterogeneous forms of data sources, GIS software was employed for data preprocessing tasks such as coordinate calibration and range clipping to ensure data consistency. First, block units were segmented using road networks of different levels in conjunction with Beijing’s administrative division data and overlay analysis was performed by intersecting segmented block units with transit stops to obtain coverage statistics within different spatial areas, illustrating the overall evolutionary trends. Second, a transit stop service radius of 500 m was established to create service area polygons for each stop. These were then combined with the population grid data, and spatial analysis tools were used to calculate the population proportion of convenient public transport services for each administrative district and ring road in different years, and the visualization charts were displayed [50]. Then, based on the bus network data, a complex network model was established to identify the corresponding relationships between nodes and edges in the route network, and Gephi was used to calculate the betweenness centrality of nodes and corresponding edges. Lastly, multi-distance spatial cluster analysis tools were applied to reveal anisotropic patterns in transit network density over time. From a spatiotemporal perspective, this study aims to reveal the spatiotemporal evolution of Beijing’s bus network, through the coverage rate, density extension, and equity.
Figure 2.
Research framework.
4.1. Coverage Rate (CR)
The coverage rate is an important metric for evaluating the efficiency of public service facilities. It refers to the extent of an area within a certain jurisdiction covered by a service facility, which directly reflects the service range and accessibility of the facility [51]. A higher coverage rate indicates better accessibility, meaning the facility can serve more people or regions [52]. Parcels, as fundamental units in urban research and spatial planning, are widely applied in coverage rate statistics for public service facilities, naturally segmented by road networks within urban areas [51]. This study selects parcels as the smallest unit of analysis and focuses on the coverage rate of bus stops in Beijing.
Beijing’s road network is well-structured and rectangular, making parcels an ideal unit for analysis. Based on open-source map data (OSM), parcels are divided according to the administrative area of Beijing [53]. In the segmentation process, main roads, such as highways and arterials, are selected as dividing lines, while minor roads are excluded to prevent excessive segmentation, which could make statistics complicated and distort results. Based on the administrative area of Beijing, road network data are used to divide the area, and elongated parcels under 5000 square meters without significant socioeconomic functions are excluded [54]. The bus stops within each parcel are then counted, and the number is compared to the parcel area to obtain a score for coverage frequency within different parcels.
represents the coverage rate for a parcel, where denotes the parcel number, represents the number of bus stops in parcel , and is the actual area of parcel .
4.2. PCSB Spatial Statistics
Use software such as Supermap and GIS to create a 500-m buffer zone around bus stops in the public transport network data from 2006 to 2024 and determine the service coverage area for each bus stop. The buffers were overlaid with administrative division data and road network data, ensuring each buffer was assigned to the corresponding district and ring road for more detailed analysis, which facilitated the calculation of PCSB (Population Conveniently Served by Buses). Subsequently, the classified buffers were overlaid with 2020 population data at a 100 m × 100 m resolution to extract population data within each service area, thereby showcasing the PCSB for each region.
To ensure data accuracy, this study incorporates data from the seventh national population census to calibrate the initial population data, refines population details in each service area, and provides a more precise age distribution. By analyzing the calibrated population data, the proportion of PCSB in each service area is determined, areas for improvement are identified, and patterns and potential service gaps in bus accessibility are revealed.
4.3. Betweenness Centrality (BC)
Centrality is an indicator used to assess the importance or influence of nodes within a network. Common types of centralities used to measure network structural characteristics include Degree Centrality, Betweenness Centrality (BC), Closeness Centrality, and Eigenvector Centrality [55]. BC is a measure in complex network theory that identifies key nodes by calculating their frequency on the shortest paths within the network [56]. If a node is on the shortest paths between multiple adjacent nodes and it has a high BC, its significant influence on network efficiency and connectivity is indicated, serving as a crucial hub [46]. In this study, GIS software was first used to combine with bus route data to establish a network dataset spanning from 2006 to 2024. Subsequently, Gephi software was employed to calculate the Betweenness Centrality (BC) of the bus network. This method effectively demonstrates the importance of each node in a complex network.
represents the BC of a bus route node, where is the number of shortest paths between nodes and passing through , is the total number of shortest paths between route nodes and , and denotes the total number of nodes in the entire bus network.
4.4. Multi-Distance Spatial Clustering Analysis (MDSCA)
Using the two-dimensional distribution information of Beijing’s bus stops from 2006 to 2024, Ripley’s function analysis method can quantify the spatial distribution characteristics of the stops. The function, as a covariance indicator, measures the distribution of distances between stops. As the spatial scale changes, reflects the distribution characteristics of stops across different distance ranges [57].
In this formula, represents the number of bus stops; is the spatial distance scale; is the area within the jurisdiction; is the distance between points and , where , , and where , ; and represents the ratio of the arc length of a circle centered on with radius to the circumference within . The indicator function is used to evaluate whether the distance between two bus stops falls within the specified threshold.
To balance variance stability, a square root linear transformation using corrects the data [58], yielding , as follows:
The clustering status of bus stops is determined by the values of , observed values, and expected values.
5. Results and Analysis
5.1. The Global-Scale Evolution Trend Based on Coverage
The road network density in Beijing shows a trend of gradual expansion from the center outward, with coverage rates positively correlated with the complexity of the road network. The complex topography of Beijing features mountainous areas in the northwest and flat terrain in the southeast. Due to natural terrain influences, the road coverage rate is lower in the northwest, where bus stops are relatively scarce, leading to lower bus coverage compared to the southeast (Figure 3). Especially before 2006, public transportation planning in Beijing focused on the city center, resulting in a dense layout of bus stops within the Second Ring Road, particularly around important commercial and administrative centers, as well as concentrated residential areas. During this period, the distribution of bus stops formed a dense pattern centered around the city, with the Second Ring Road as a boundary. The coverage rate in peripheral areas was significantly lower, particularly in the northwest, where the development of bus stops and roads progressed slowly due to terrain constraints.
Figure 3.
Coverage rate.
As the city developed, bus coverage gradually expanded outward. In 2009 and 2017, Beijing’s bus network exhibited a trend of incremental outward diffusion. Coverage rates weakened along the Second Ring, Third Ring, and beyond. By 2024, the bus stop coverage pattern in Beijing formed a concentrated trend centered around the Second Ring Road, and the coverage in peripheral areas remained low, but some regions like Yanqing District had local improvements. The convenience of transportation greatly affects residents’ daily travel and has a profound impact on the sustainability of urban development.
5.2. PCSB Analysis
According to the calculated proportions of PCSB in various regions (as shown in Figure 4 and Figure 5), there has been a significant increase from 2006 to 2024 in the proportions of PCSB across Beijing. Notably, areas with high population density, high bus network density, and high public transportation accessibility overlap significantly, indicating that the development of the bus network effectively serves the city’s high-density population areas. Taking Shunyi District as an example, the number of PCSB was 239,850 in 2006, which only provided convenient transport for 19.54% of the district’s residents. By 2024, this number rose to 915,220, with the proportion significantly increasing to 74.54%. The expansion of the bus network and the improvement in infrastructure greatly enhanced bus convenience in Shunyi District. This trend is also prominent in other districts such as Yanqing, Pinggu, and Fangshan, where bus convenience gradually improved, and population accessibility steadily increased. This growth can be attributed to ongoing improvements in transportation infrastructure, the expansion of bus networks, and the continued development of urban fringe areas. In core areas such as Dongcheng and Xicheng, changes in the proportion of PCSB have been relatively small. In Dongcheng, for example, the proportion was 96.94% in 2006, rising slightly to 98.79% by 2024. These core areas already had a very high coverage rate for bus early on, limiting the potential for further increases. Therefore, the further optimization of bus in core areas mainly focuses on improving service quality rather than expanding coverage.
Figure 4.
Overall characteristics of PCSB proportions.
Figure 5.
The changes in PCSB proportions across districts and counties.
Between 2006 and 2009, the number of bus routes and their coverage significantly increased, with many new routes added to the outskirts, optimizing the transportation connections between the core urban areas and peripheral regions. In particular, the convenience of public transportation in the far suburban districts improved dramatically. For example, the proportion of the population with convenient access to public transportation in Changping District rose sharply from 36.33% in 2006 to 71.53% in 2009. This significant growth can be attributed to the acceleration of urbanization and the rapid population increase (according to the 2010 Sixth National Census, Beijing’s population was approximately 19.61 million, a net increase of 6.04 million people, or about 44.6%, compared to the Fifth National Census), which drove an expansion of the city’s bus capacity. Similar changes occurred in districts like Daxing and Shunyi, where the bus networks in these peripheral areas were notably improved between 2006 and 2009, making public transportation more accessible to a larger population. For core urban areas such as Dongcheng and Xicheng, where the proportion of PCSB was already very high in 2006 (96.94% and 98.66%, respectively), the increase in the PCSB ratio was more limited.
Beijing’s ring road traffic network has had a significant impact on bus convenience. As the city expands year by year, the ring road system gradually extends outward, and the PCSB changes accordingly in diverse areas. The specific changes are shown in Figure 6, where the bar chart on the left axis represents the specific number of PCSB, and the line chart on the right axis reflects the PCSB ratio. The x-axis divides the data by different ring roads, with multiple colors representing different years. From the changes in PCSB across the ring roads, it can be observed that as the ring roads expanded, the population within each ring road increased exponentially, and this growth was positively correlated with the expansion of the ring roads. This is because the addition of ring roads also brought an increase in the number of bus stops within each area, which in turn served more residents. In 2017, the PCSB values in the second to fourth ring roads were relatively low, and it is likely due to the Beijing Municipal Government’s official proposal in 2016 for developing Tongzhou District as the city’s sub-center. After that, development resources and bus network construction were no longer fully focused on the central urban areas, leading to a decrease in PCSB in that year. Looking at the PCSB ratio across the ring roads, in the city’s center, the second ring road already had a highly developed bus network in 2006, in which 98.55% of the population can conveniently access to public transportation. With the continued development of the city and the optimization of public transportation services, this ratio further increased to 99.46% by 2024, almost reaching full coverage. The central urban areas have consistently maintained a high level of service. This reflects the fact that the transportation infrastructure in the core areas has long been well-developed, with a wide and dense bus network that meets the travel needs of the vast majority of residents. However, unlike the central urban areas, the proportion of PCSB decreases as one moves further from the city center. For example, in the Sixth Ring Road, the PCSB ratio was only 71.77% in 2006, much lower than that in the core urban areas. This gap was mainly due to the underdeveloped bus network in the far suburban districts, where bus stops were sparse and travel relied heavily on private vehicles. Over time, as Beijing’s urbanization increased, the bus network within the Sixth Ring Road was significantly improved at several key points. By 2024, the PCSB ratio within the Sixth Ring Road had increased to 89.56%. This change reflects the gradual improvement in the bus network in the far suburbs, making public transport more accessible to a larger population and significantly enhancing transportation convenience. Despite these improvements, the issue of uneven public transportation development between the city’s edge and the core urban areas persists.
Figure 6.
The changes in PCSB proportions across different ring roads.
Overall, the number and proportion of PCSB are negatively correlated. This is because, as the ring roads expand, the number of bus stops and routes within their coverage increases, which in turn serves a larger population and contributes to the PCSB count. However, the total population within the area also increases, and since the overall population is much larger than the PCSB count, the two factors are negatively correlated. The development of bus networks in Beijing’s central urban areas and far suburban districts has improved. By 2024, the bus network has gradually expanded to the Sixth Ring Road, significantly enhancing bus convenience in the Sixth Ring and surrounding areas. This also reduced the gap slightly with the central urban areas and improved the travel quality for residents in these regions. This reflects Beijing’s efforts to optimize transportation services in the outer districts through policy support and infrastructure development while expanding the city’s boundaries. The number of bus routes, the density of bus stops, and the connections between the far suburban districts and the core urban areas have significantly improved, leading to notable enhancements in bus convenience and accessibility. Although the overall bus network in Beijing has developed positively, and the PCSB ratio in peripheral areas has gradually increased, there remains a certain gap between the far suburban districts and the core urban areas. The PCSB proportion in several far suburban districts is still around 60% (e.g., in districts like Miyun and Fangshan), while the core urban areas maintain a high ratio of over 90%. This uneven development somewhat limits the balanced growth of the city, impacting the quality of life and economic development potential in the far suburban districts. Given the noticeable spatial gradient in the distribution of bus networks and public service accessibility, further investment in transportation infrastructure is needed in the far suburbs to narrow the gap in transportation convenience with the city center.
5.3. BC Spatial Distribution Characteristics
As shown in Figure 7, panels a, b, c, and d represent the BC maps for the years 2006 to 2024, and panel e shows the topographic map of Beijing. In 2006, areas with high BC in Beijing’s bus network were mainly concentrated in Chaoyang, Haidian, Xicheng, and Dongcheng. These areas not only serve as the city’s commercial hubs but also handle significant commuting traffic, making them central nodes in the bus network. High BC means that these nodes are well-connected and accessible within the network, effectively supporting the transportation needs of other regions. Chaoyang and Haidian, as two of Beijing’s main economic centers, are the core of numerous office buildings, commercial complexes, and educational institutions, attracting a high volume of people. Meanwhile, Xicheng and Dongcheng, as Beijing’s traditional administrative centers, have a relatively well-developed bus system that plays a key role in the city’s bus network. The high BC of these areas highlights their critical position within the network and reflects structural characteristics in Beijing’s urban development.
Figure 7.
Betweenness centrality and Terrain Relief in Beijing (a) BC in 2006; (b) BC in 2009; (c) BC in 2017; (d) BC in 2024; (e) Terrain Relief.
By 2017, with the upgrading of public transportation facilities, Tongzhou District’s BC steadily increased, indicating that the region’s importance and influence within the bus network were growing. The strong connectivity between Tongzhou and core areas like Chaoyang and Dongcheng has not only enhanced commuting convenience but also boosted economic and population mobility, injecting new vitality into the eastern part of Beijing. In contrast, Fangshan District, located in Beijing’s southwest, has relatively low BC in the bus network due to its geographic location and natural conditions. Fangshan’s complex terrain—with plains in the south and mountainous areas in the west and northwest—presents challenges for infrastructure development, making road construction and bus route layout difficult. Furthermore, the district’s relatively low population density and economic activity have limited the pace and extent of bus network expansion. Unlike the flatter southeastern areas, Fangshan’s challenging topography and slower development have left it in a peripheral position within Beijing’s bus network. Thus, the low BC in Fangshan’s bus network indicates the area’s limited capacity to serve as a multi-regional transportation hub.
The distribution and BC shifts within Beijing’s bus network also reflect the optimization of urban spatial layout. In recent years, the Beijing municipal government has promoted spatial rebalancing of urban functions through policy guidance and resource allocation, gradually advancing the development of the sub-center and peripheral areas. With increasing BC in areas like Tongzhou, Beijing’s overall transportation network is transitioning from a single-center structure reliant on core hubs to a network structure shared by multiple central hubs. This trend enhances inter-regional connectivity, promotes rational urban function distribution, and establishes a solid foundation for achieving urban planning goals aimed at “relieving pressure on central urban areas and fostering regional coordinated development”.
5.4. Directional Density Extension Characteristics
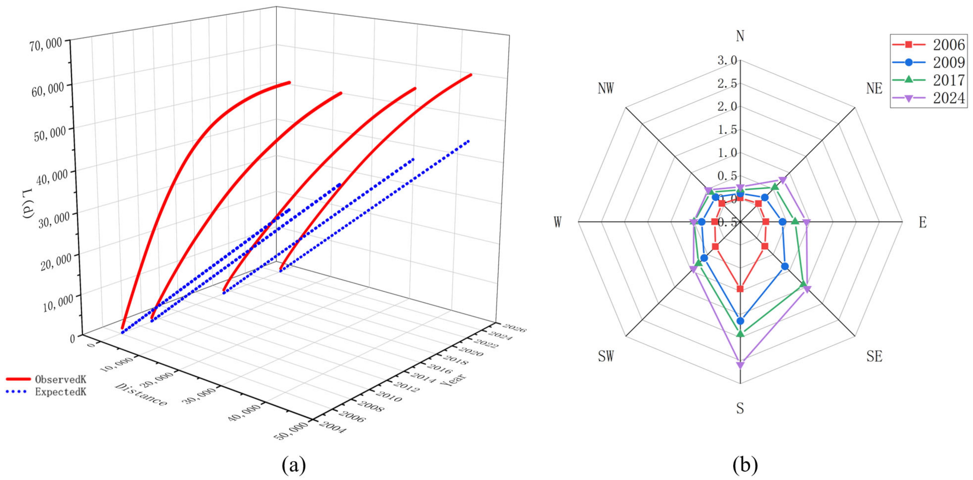
By analyzing the directional density extension characteristics of bus stops in Beijing, a clustering pattern in the distribution of bus stops can be observed, obtaining variations across different time frames and distances. The red curve (Observed K) represents observed values, while the blue curve (Expected K) represents expected values (Figure 8a). Overall, the values of the Observed K curve are generally higher than those of the Expected K curve, indicating a clear clustering pattern rather than a random or dispersed distribution of bus stops in Beijing. This distribution pattern reflects a centralization trend in the layout of bus stops, influenced by urban planning and actual demand. The difference between observed and expected values increases with distance initially, then decreases. The degree of clustering of bus stops varies with distance: it is lower at shorter distances and gradually increases along with distance before decreasing slightly, showing distinctive characteristics across spatial scales.
Figure 8.
Directional density extension characteristics (a) Change with increasing distance; (b) Change with direction.
In 2006, 2009, 2017, and 2024, the differences between observed and expected values reached their maximum at distances of 26,043 m, 36,026 m, 38,150 m, and 36,750 m, respectively, indicating the strongest clustering characteristics at these points. In 2009, 2017, and 2024, the maximum differences all occurred between 36,000 and 38,200 m, a range where the clustering characteristic was most pronounced, reflecting dynamic adjustments in bus stop layout in line with Beijing’s urban expansion and development. From 2006 to 2024, bus stop density extended outward each year, gradually covering a wider area (Figure 8b). However, this expansion was uneven, with notable directional differences in density growth. The southern and southeastern directions became the main areas of bus stop expansion, while the western and northern directions had relatively slower network expansion. The density of bus stops in the southern direction increased from 0.95 in 2006 to 2.59 in 2024, marking it as the highest-density area, highlighting a concentrated trend in bus development in this region. In the southeast, density also rose significantly, from 0.25 to 1.54. In contrast, growth in the western and northern directions was slower, with densities rising from 0.05 and 0.06 to 0.51 and 0.48, respectively. This uneven spatial distribution reflects an imbalance in resource allocation during Beijing’s urban expansion process. Rapid urbanization in the southeast has led to faster infrastructure development, which significantly increases the coverage and density of bus stops. However, the western and northern areas, limited by geographic and resource constraints, experienced relatively slower network expansion, resulting in lower clustering and accessibility of bus stops.
6. Discussion
After years of urbanization, Beijing’s bus network has become a uniquely complex network system, making it a typical case of rapid transportation network development. Although previous studies have delved into various aspects of Beijing’s bus network, such as node characteristics, topological properties, and urban demand, which focus on its overall static structural features [46,59], this study further combines dynamic multi-period and multi-source data to explore the spatiotemporal evolution characteristics of Beijing’s bus network from a spatiotemporal perspective. By analyzing data from 2006 to 2024, we found a clear clustering tendency of the bus network in central urban areas (Figure 3), while peripheral urban areas have shown improvement in recent years. However, compared to the central area, a significant disparity remains in the overall service level, and the network coverage and service levels across various peripheral regions are greatly different (Figure 5), particularly in areas like Tongzhou and Yanqing, which are influenced by key events.
As discussed earlier, the central areas of Beijing exhibit a high clustering of the bus network, with various indices reaching high values, and ring roads significantly impacting network clustering (Figure 7). This finding aligns with previous research. Dai et al. pointed out that central regions like Chaoyang, Haidian, Dongcheng, and Xicheng show high network BC, highlighting the core position of the central urban transportation network [60]. Liu et al. found an oversupply of transportation within the Second Ring Road area and an undersupply in areas beyond the Sixth Ring Road and suburban regions, reflecting an imbalance in transportation resource allocation [61]. Zhang et al., through analyzing the connectivity and service capacity of transportation nodes, identified key transportation network nodes in the Beijing-Tianjin-Hebei region, further highlighting the strong clustering characteristic of Beijing’s bus network in the central region [62]. These findings reveal the complex interaction between the population, terrain, and evolution of the bus network, assessing the inter-regional imbalance in transportation resource allocation and providing a reference value and theoretical support for the sustainable development of public transportation in Beijing.
6.1. Suggestions
In light of the issues within Beijing’s bus network, we propose the following recommendations. (1) Although the bus network in Beijing’s central area is well-established, peripheral districts, especially those beyond the Sixth Ring Road, have relatively sparse bus stop layouts, leading to lower public transit convenience. Therefore, priority should be given to the development of public transportation in peripheral areas, reducing regional disparities, and improving the coverage and service level of bus networks in these areas. This can be achieved by increasing the number of bus lines and optimizing station distribution, particularly in areas with high residential density and proximity to important public facilities. Optimizing the connection with the city center and adding rapid bus lines can improve the travel efficiency of residents in peripheral districts, promoting the balanced development of transportation resources across the city and enhancing the overall livability of the city. (2) Bus network expansion and optimization should consider the demand generated by major events, such as the Winter Olympics and international conferences. Beijing’s experience shows that infrastructure improvements from major events can significantly enhance regional bus networks. Similar opportunities in the future should be used to promote overall regional development while ensuring that the facilities established during these events continue to serve residents’ travel needs in the long term. In future urban development, public transit planning and adjustments should be aligned with the development strategies of emerging areas like Beijing’s sub-center in Tongzhou and new urban areas in Changping, ensuring that the bus network in these regions keeps pace with urban expansion. (3) In the northwestern mountainous and complex terrain areas of Beijing (such as Fangshan), the development of public transportation has been relatively lagging, but these areas also have significant ecological protection value. Due to the complex terrain, the coverage of public transportation is low. Therefore, when planning the bus network in these areas, it is recommended to incorporate green transportation concepts and prioritize the development of low-carbon, which is the environmentally friendly mode of transport. This could include the introduction of small electric buses, customized buses, and shared transport tools to improve transportation convenience while minimizing the environmental impact and promoting harmonious coexistence between the city and nature. Additionally, considering factors such as population, ecology, and terrain, the bus routes should be planned rationally to minimize construction costs and enhance the green accessibility of public transportation. (4) For core urban areas (e.g., Dongcheng and Xicheng), where bus stop coverage is nearly saturated, future efforts should focus more on improving the quality of bus services. Measures like increasing service frequency, improving vehicle comfort, and promoting new energy buses can enhance the service level of the bus system, reduce congestion, and improve the travel experience. Further optimization of connections with key commercial and administrative areas would provide efficient and convenient bus services to residents.
6.2. Limitations of This Study and Future Research
This study has some limitations. The study period is limited to data from 2006 to 2024, offering a relatively short period; it does not analyze multiple influencing factors to fully interpret the evolution characteristics of the bus network and lacks suggestions for optimization. Future research should consider bus network data over a longer time frame to explore the influencing factors and mechanisms behind the bus network’s evolution in greater depth, providing better guidance for urban public transit planning and sustainable development. For example, spatial optimization could combine intelligent transportation and big data technology to further optimize the layout of bus routes and stops, which can improve the efficiency and service quality of public transportation and meet residents’ travel needs. The more comprehensive research can offer a valuable empirical foundation for understanding the evolution and future trends of Beijing’s bus network, contributing to sustainable urban transportation planning and management.
7. Conclusions
This study uses spatial analysis methods to examine the bus network across multiple time points, incorporating population distribution information and employing various spatial analysis techniques to investigate the evolution patterns and outcomes of Beijing’s bus network. The evolution of the bus network is closely linked to the relationship between stops and routes, providing essential insights for urban transportation planning and public transit system optimization.
The main conclusions from our findings are as follows:
- (1)
- The number of bus stops and routes has increased year by year, with the network structure becoming more complex, showing a trend of expansion from central to peripheral areas. The coverage of bus stops in Beijing has expanded outward with the increasing complexity of the road network. Road coverage is relatively low in the northwest, where bus stops are sparse, resulting in lower public transportation coverage than in the southeast. The proportion of PCSB in the central area remains relatively stable, while the suburbs indicate significant variation, with change rates exceeding 50% in some areas;
- (2)
- The diffusion characteristics of the bus network are significantly influenced by administrative divisions and ring road layout, with notable expansion in areas like Tongzhou and Yanqing. Bus routes and stops are highly concentrated within the central urban area and the Second Ring Road, with various indices, gradually decreasing as ring roads increase. Over time, the betweenness centrality of routes and stops tends toward regional balance, with an increasing number of central hubs, and Tongzhou is gradually becoming a new transportation hub. The road network-based stop coverage in Yanqing has also markedly improved;
- (3)
- The distribution of bus stations shows significant clustering characteristics, and the directional development is unbalanced. The distribution of bus stations in Beijing shows obvious clustering, particularly in the southeastern areas where urbanization has rapidly developed, leading to a sharp increase in bus station density. In contrast, due to geographical constraints, the expansion of the bus network in the western and northern areas is relatively lagging, which has a slow density growth. Compared to the outer suburban districts, high PCSB value areas are notably concentrated in the central urban areas, with a significant gap of around 30%. This spatial distribution discrepancy reflects the imbalance in resource allocation and urbanization processes in Beijing.
Author Contributions
Conceptualization, Xiao Li and Shaohua Wang; methodology, Xiao Li and Chang Liu; software, Shaohua Wang; validation, Liang Zhou and Shaohua Wang; formal analysis, Liang Zhou; investigation, Yeran Sun; resources, Yeran Sun; data curation, Cheng Su; writing—original draft preparation, Xiao Li; writing—review and editing, Xiao Li, Junyuan Zhou, and Dachuan Xu; supervision, Jiayi Zheng; project administration, Shaohua Wang; funding acquisition, Shaohua Wang. All authors have read and agreed to the published version of the manuscript.
Funding
This study was financially supported by the National Key R&D Program of China (Grant No. 2023YFF0805904), the Talent Introduction Program Youth Project of the Chinese Academy of Sciences (E2Z10501), and the innovation group project of the Key Laboratory of Remote Sensing and Digital Earth Chinese Academy of Sciences (E33D0201-5).
Data Availability Statement
The analysis datasets for the current study are available from the corresponding author upon reasonable request.
Conflicts of Interest
The authors declare no conflicts of interest.
References
- Schmidt-Traub, G.; Kroll, C.; Teksoz, K.; Durand-Delacre, D.; Sachs, J.D. National baselines for the Sustainable Development Goals assessed in the SDG Index and Dashboards. Nat. Geosci. 2017, 10, 547–555. [Google Scholar] [CrossRef]
- Caudill, C.M.; Pulsifer, P.L.; Thumbadoo, R.V.; Taylor, D.R.F. Meeting the Challenges of the UN Sustainable Development Goals through Holistic Systems Thinking and Applied Geospatial Ethics. ISPRS Int. J. Geo-Inf. 2024, 13, 110. [Google Scholar] [CrossRef]
- Liu, X.; Pei, F.; Wen, Y.; Li, X.; Wang, S.; Wu, C.; Cai, Y.; Wu, J.; Chen, J.; Feng, K.; et al. Global urban expansion offsets climate-driven increases in terrestrial net primary productivity. Nat. Commun. 2019, 10, 5558. [Google Scholar] [CrossRef]
- Melnikova, I.; Yokohata, T.; Ito, A.; Nishina, K.; Tachiiri, K.; Shiogama, H. Emergent constraints on future Amazon climate change-induced carbon loss using past global warming trends. Nat. Commun. 2024, 15, 7623. [Google Scholar] [CrossRef]
- Wang, Y.; Sarkar, A.; Hasan, A.K.; Tian, Y.; Wu, Q.; Hossain, M.S.; Wei, F. The evaluation of temporal and spatial trends of global warming and extreme ocean surface temperatures: A case study of Canada. ISPRS Int. J. Geo-Inf. 2021, 11, 21. [Google Scholar] [CrossRef]
- Ercan, T.; Onat, N.C.; Tatari, O. Investigating carbon footprint reduction potential of public transportation in United States: A system dynamics approach. J. Clean. Prod. 2016, 133, 1260–1276. [Google Scholar] [CrossRef]
- Almulhim, A.I.; Sharifi, A.; Aina, Y.A.; Ahmad, S.; Mora, L.; Filho, W.L.; Abubakar, I.R. Charting sustainable urban development through a systematic review of SDG11 research. Nat. Cities 2024, 1, 677–685. [Google Scholar] [CrossRef]
- Wang, W.; Wang, Y.; Correia, G.H.A.; Chen, Y. A Network—Based Model of Passenger Transfer Flow between Bus and Metro: An Application to the Public Transport System of Beijing. J. Adv. Transp. 2020, 2020, 6659931. [Google Scholar] [CrossRef]
- Liu, L.; Yu, H.; Zhao, J.; Wu, H.; Peng, Z.; Wang, R. Multiscale effects of multimodal public facilities accessibility on housing prices based on MGWR: A case study of Wuhan, China. ISPRS Int. J. Geo-Inf. 2022, 11, 57. [Google Scholar] [CrossRef]
- Xu, Y.; Olmos, L.E.; Abbar, S.; González, M.C. Deconstructing laws of accessibility and facility distribution in cities. Sci. Adv. 2020, 6, eabb4112. [Google Scholar] [CrossRef]
- Zhang, L.; Yuan, J.; Gao, X.; Jiang, D. Public transportation development decision-making under public participation: A large-scale group decision-making method based on fuzzy preference relations. Technol. Forecast. Soc. Change 2021, 172, 121020. [Google Scholar] [CrossRef]
- Bi, S.; Hu, J.; Shao, L.; Feng, T.; Appolloni, A. Can public transportation development improve urban air quality? Evidence from China. Urban Clim. 2024, 54, 101825. [Google Scholar] [CrossRef]
- Tranos, E.; Mack, E. Big data: A new opportunity for transport geography? J. Transp. Geogr. 2019, 76, 232–234. [Google Scholar] [CrossRef]
- Freudendal-Pedersen, M. Sustainable urban futures from transportation and planning to networked urban mobilities. Transp. Res. Part D Transp. Environ. 2020, 82, 102310. [Google Scholar] [CrossRef]
- Vuchic, V.R. Urban Public Transportation Systems; University of Pennsylvania: Philadelphia, PA, USA, 2002; Volume 5, pp. 2532–2558. [Google Scholar]
- Chen, N.; Liu, S.; Wang, S. Spatial Evolution Features of Transit Bus: An Empirical Study of Guangzhou. Sci. Geogr. Sin. 2017, 37, 55–63. [Google Scholar] [CrossRef]
- Newell, G.F. Dispatching policies for a transportation route. Transp. Sci. 1971, 5, 91–105. [Google Scholar] [CrossRef]
- Glaister, S. Competition on an urban bus route. J. Transp. Econ. Policy 1985, 19, 65–81. [Google Scholar]
- Bly, P.H.; Oldfield, R.H. Competition between minibuses and regular bus services. J. Transp. Econ. Policy 1986, 20, 47–68. [Google Scholar]
- Gao, B.; Yang, J.; Chen, Z.; Sugihara, G.; Li, M.; Stein, A.; Kwan, M.; Wang, J. Causal inference from cross-sectional earth system data with geographical convergent cross mapping. Nat. Commun. 2023, 14, 5875. [Google Scholar] [CrossRef] [PubMed]
- Zhang, C.; Lin, H.; Chen, M.; Zhang, X.; Li, R.; Ding, Y. A modelling system with adjustable emission inventories for cross-boundary air quality management in Hong Kong and the Pearl River Delta, China. Comput. Environ. Urban Syst. 2017, 62, 222–232. [Google Scholar] [CrossRef]
- Ma, J.; Yang, Y.; Guan, W.; Wang, F.; Liu, T.; Tu, W.; Song, C. Large-Scale Demand Driven Design of a Customized Bus Network: A Methodological Framework and Beijing Case Study. J. Adv. Transp. 2017, 2017, 3865701. [Google Scholar] [CrossRef]
- Wang, Y.; Deng, Y.; Ren, F.; Zhu, R.; Wang, P.; Du, T.; Du, Q. Analysing the spatial configuration of urban bus networks based on the geospatial network analysis method. Cities 2020, 96, 102406. [Google Scholar] [CrossRef]
- Li, J.; Guo, Q.S. Quantitative representing complexity of urban traffic network base on GIS. J. Cent. China Norm. Univ. (Nat. Sci.) 2002, 4, 534–537. [Google Scholar] [CrossRef]
- Tung, C.L.; He, S.; Mei, L.; Zhang, H. Exploring the influence of transportation on urban spatial structure using the spatial Durbin model: Evidence from 265 prefecture-level cities in China. Comput. Urban Sci. 2024, 4, 5. [Google Scholar] [CrossRef]
- Sienkiewicz, J.; Hołyst, J.A. Statistical analysis of 22 public transport networks in Poland. Phys. Rev. E 2005, 72, 046127. [Google Scholar] [CrossRef]
- Gao, Z.; Li, K.; Li, X.; Huang, H.; Mao, B.H. Scaling laws of the network traffic flow. Phys. A Stat. Mech. Its Appl. 2007, 380, 577–584. [Google Scholar] [CrossRef]
- Sui, Y.; Shao, F.; Sun, R.; Li, S. Space evolution model and empirical analysis of an urban public transport network. Phys. A Stat. Mech. Its Appl. 2012, 391, 3708–3717. [Google Scholar] [CrossRef]
- Wang, S. Research on Evolution and Characteristics of Urban Traffic Network—Case of Beijing. 2013. Available online: https://webvpn.lzjtu.edu.cn/https/494a553139386968732a235e35546e2834614a7f1404eb0e2856ebc694a6fb2fdd4ab9ef/thesis/Y2430285 (accessed on 18 October 2023).
- Bin Asad, K.M.; Yuan, Y. The impact of scale on extracting urban mobility patterns using texture analysis. Comput. Urban Sci. 2023, 3, 33. [Google Scholar] [CrossRef]
- Abenoza, R.F.; Cats, O.; Susilo, Y.O. Travel satisfaction with public transport: Determinants, user classes, regional disparities and their evolution. Transp. Res. Part A Policy Pract. 2017, 95, 64–84. [Google Scholar] [CrossRef]
- Yu, W.; Chen, J.; Yan, X. Space–time evolution analysis of the Nanjing metro network based on a complex net-work. Sustainability 2019, 11, 523. [Google Scholar] [CrossRef]
- Gu, Y.; Fu, X.; Liu, Z.; Xu, X.; Chen, L. Performance of transportation network under perturbations: Reliability, vulnerability, and resilience. Transp. Res. Part E Logist. Transp. Rev. 2020, 133, 101809. [Google Scholar] [CrossRef]
- Serdar, M.Z.; Koç, M.; Al-Ghamdi, S.G. Urban transportation networks resilience: Indicators, disturbances, and assessment methods. Sustain. Cities Soc. 2022, 76, 103452. [Google Scholar] [CrossRef]
- Xu, Z.; Chopra, S.S. Interconnectedness enhances network resilience of multimodal public transportation systems for Safe-to-Fail urban mobility. Nat. Commun. 2023, 14, 4291. [Google Scholar] [CrossRef]
- Liu, C.; Bardaka, E. The suburbanization of poverty and changes in access to public transportation in the Triangle Region, NC. J. Transp. Geogr. 2021, 90, 102930. [Google Scholar] [CrossRef]
- Fan, W.; Zhang, J.; Wang, J.; Shan, B. Traffic Network Pattern and Optimization of the Three Economic Circles in Shandong Province from the Perspective of Space Syntax. Geogr. Geo-Inf. Sci. 2023, 39, 55–61. Available online: https://www.geores.com.cn/dlydlxxkx/CN/Y2023/V39/I01/55 (accessed on 1 August 2024).
- Lee, S.; Kim, S.; Kim, J. Robustness Analysis of Public Transportation Systems in Seoul Using General Multilayer Network Models. J. Supercomput. 2024, 80, 26589–26613. [Google Scholar] [CrossRef]
- De Bona, A.A.; de Oliveira Rosa, M.; Fonseca, K.V.O.; Lüders, R. A reduced model for complex network analysis of public transportation systems. Phys. A Stat. Mech. Its Appl. 2021, 567, 125715. [Google Scholar] [CrossRef]
- Dadhich, P.N.; Hanaoka, S. Spatial investigation of the temporal urban form to assess impact on transit services and public transportation access. Geo-Spat. Inf. Sci. 2012, 15, 187–197. [Google Scholar] [CrossRef]
- Song, X.; Zhang, J.; AghaKouchak, A.; Sen Roy, S.; Xuan, Y.; Wang, G.; He, R.; Wang, X.; Liu, C. Rapid urbanization and changes in spatiotemporal characteristics of precipitation in Beijing metropolitan area. J. Geophys. Res. Atmos. 2014, 119, 11250–11271. [Google Scholar] [CrossRef]
- Yu, Q.; Gu, Y.; Yang, S.; Zhou, M. Discovering Spatiotemporal Patterns and Urban Facilities Determinants of Cycling Activities in Beijing. J. Geovis. Spat. Anal. 2021, 5, 16. [Google Scholar] [CrossRef]
- Hu, R.; Zhang, C. Research on Urban Evolution in China from an Ecological Perspective: A Case of Beijing. J. Urban Plan. Dev. 2023, 149, 05022047. [Google Scholar] [CrossRef]
- Kong, L. Cultural icons and urban development in Asia: Economic imperative, national identity, and global city status. Political Geogr. 2007, 26, 383–404. [Google Scholar] [CrossRef]
- The People’s Government of Beijing Municipality. 20 October 2024. The People’s Government of Beijing Municipality. Available online: https://www.beijing.gov.cn/gate/big5/www.beijing.gov.cn/ywdt/gzdt/202410/t20241010_3915407.html (accessed on 28 October 2024).
- Du, C.; Wang, J.; Liu, B.; Huang, D. Impacts of street and public transport network centralities on housing rent: A case study of Beijing. Prog. Geogr. 2019, 38, 1831–1842. [Google Scholar] [CrossRef]
- Zhan, D.; Zhang, W.; Chen, L.; Yu, X.; Dang, Y. Research progress and its enlightenment of urban public service facilities allocation. Prog. Geogr. 2019, 38, 506–519. [Google Scholar] [CrossRef]
- Chen, Y.; Xu, C.; Ge, Y.; Zhang, X.; Zhou, Y. A 100-m gridded population dataset of China’s seventh census using ensemble learning and geospatial big data. Earth Syst. Sci. Data Discuss. 2024, 16, 3705–3718. [Google Scholar] [CrossRef]
- Zhao, P.; Jia, T.; Qin, K.; Shan, J.; Jiao, C. Statistical analysis on the evolution of OpenStreetMap road networks in Beijing. Phys. A Stat. Mech. Its Appl. 2015, 420, 59–72. [Google Scholar] [CrossRef]
- Zhong, E. Deep Mapping—A Critical Engagement of Cartography with Neuroscience. Geomat. Inf. Sci. Wuhan Univ. 2022, 47, 1988–2002. [Google Scholar] [CrossRef]
- Murray, A.T.; O’Kelly, M.E.; Church, R.L. Regional service coverage modeling. Comput. Oper. Res. 2008, 35, 339–355. [Google Scholar] [CrossRef]
- Yao, J.; Zhang, X.; Murray, A.T. Location optimization of urban fire stations: Access and service coverage. Comput. Environ. Urban Syst. 2019, 73, 184–190. [Google Scholar] [CrossRef]
- Liu, X.; Long, Y. Automated identification and characterization of parcels with OpenStreetMap and points of interest. Environ. Plan. B Plan. Des. 2016, 43, 341–360. [Google Scholar] [CrossRef]
- Chen, W.; Huang, H.; Dong, J.; Zhang, Y.; Tian, Y.; Yang, Z. Social functional mapping of urban green space using remote sensing and social sensing data. ISPRS J. Photogramm. Remote Sens. 2018, 146, 436–452. [Google Scholar] [CrossRef]
- Chen, Y.; Chen, Y.; Yin, G.; Song, C.; Hou, Y. The Influence of Road Network Centrality on the Spatial Distribution of Catering: A Case Study of Qingdao Main Urban Area. Sci. Geogr. Sin. 2022, 42, 1609–1618. [Google Scholar] [CrossRef]
- Zhang, B.; Cheng, S.; Wang, P.; Lu, F. Inferring freeway traffic volume with spatial interaction enhanced betweenness centrality. Int. J. Appl. Earth Obs. Geoinf. 2024, 129, 103818. [Google Scholar] [CrossRef]
- Liao, Z.; Zhang, L. Spatial distribution characteristics and accessibility analysis of characteristic towns in Guangdong Province based on Ripley’s K function. J. Math. 2022, 2022, 2873707. [Google Scholar] [CrossRef]
- Ge, Y.; Liu, W.; Li, Y. Algorithm Modification and Estimation Comparison of Ripley’s K-function. Geomat. Inf. Sci. Wuhan Univ. 2023, 48, 970–978. [Google Scholar] [CrossRef]
- Zheng, X.; Chen, J.; Shao, J.; Bie, L. Analysis on topological properties of Beijing urban public transit based on complex network theory. Acta Phys. Sin. 2012, 61, 95–105. [Google Scholar] [CrossRef]
- Dai, T.; Ding, T.; Liu, Q.; Liu, B. Node centrality comparison between bus line and passenger flow networks in Beijing. Sustainability 2022, 14, 15454. [Google Scholar] [CrossRef]
- Liu, J.; Meng, B.; Xu, J.; Li, R. Exploring Public Transportation Supply–Demand Structure of Beijing from the Perspective of Spatial Interaction Network. ISPRS Int. J. Geo-Inf. 2023, 12, 213. [Google Scholar] [CrossRef]
- Zhang, Y.; Zheng, S.; Chen, Y. Identification of key nodes in comprehensive transportation network: A case study in Beijing-Tianjin-Hebei urban agglomeration, china. Transp. Res. Rec. 2024, 2678, 827–840. [Google Scholar] [CrossRef]
Disclaimer/Publisher’s Note: The statements, opinions and data contained in all publications are solely those of the individual author(s) and contributor(s) and not of MDPI and/or the editor(s). MDPI and/or the editor(s) disclaim responsibility for any injury to people or property resulting from any ideas, methods, instructions or products referred to in the content. |
© 2025 by the authors. Published by MDPI on behalf of the International Society for Photogrammetry and Remote Sensing. Licensee MDPI, Basel, Switzerland. This article is an open access article distributed under the terms and conditions of the Creative Commons Attribution (CC BY) license (https://creativecommons.org/licenses/by/4.0/).







