Abstract
In the face of diverse chronic pressures and increased factor mobility, the resilience of urban internal network structures has become a cutting-edge research topic. This study utilizes 2019 mobile signaling big data to construct employment and recreational flow networks among 101 townships and streets within Nanjing City. Based on the characteristics of these network structures, the resilience of the network structure is measured from the perspectives of density, symmetry, and transmissibility through interruption simulation techniques. The results show that the intensity of population mobility within Nanjing presents a general decay from the central urban area to the outer layers. In the employment scenario, cross-river population mobility is more frequent, while in the recreational scenario, the natural barrier effect of the Yangtze River is prominent. Due to the concentration of employment centers and high spatial heterogeneity, the employment flow network exhibits greater vulnerability to sudden shocks. Townships and streets with weighted degree values ranking around 60 and 80 are of great importance for maintaining the normal operation of both employment and recreational flow networks. Strengthening the construction of resilient parks and village planning within resilient cities can enhance the risk resistance of employment and recreational flow networks.
1. Introduction
The spatial structure of urban areas has long been a significant topic in disciplines, such as urban geography and urban–rural planning, playing a crucial role in the construction of modern urban systems, the elucidation of urban–rural relationships, and the allocation of spatial resources. As towns have evolved from isolated nodes of industrial civilization into interconnected networks in the information age, the spatial structure of urban areas is undergoing a research shift from static element distribution to dynamic functional connections [1]. Traditionally, studies on urban spatial structure have relied mainly on statistical data to describe the spatial aggregation of elements, such as population and land [2]. However, with the advancement of new urbanization, the element of flow network, which focuses on human spatiotemporal behavior, has gradually become a new perspective for studying urban spatial structure [3,4,5].
Multi-scale network relationships have penetrated the original geographical spatial structure, increased the heterogeneity and connectivity of geographical spaces, and enriched the connotation of the interweaving of physical infrastructure and virtual networks [2,6]. Some peripheral areas, from the perspective of central places, have gained more development opportunities by leveraging network relationships [7]. However, with the rapid development of urbanization, regional and urban systems face a surge in various accumulated and sudden risks, including economic downturns, population decline, terrorist attacks, and natural disasters [8,9]. While the diverse and frequent flow of resource elements promotes regional production efficiency, it may also lead to the generation, transmission, and spread of some crisis factors [10]. COVID-19 is a typical example of the negative externalities of networks. In recent years, the concept of resilience has become the focus of attention in disciplines, such as disaster prevention and mitigation, risk management, and urban planning, due to its theoretical innovations and practical explorations in dynamic adjustment, comprehensive improvement, multi-party cooperation, and proactive responses [9,11]. The research content and perspectives on urban spatial structure have been expanded through the integration of resilient cities and regional resilience analysis methods [12].
Urban network structures have specific states, spatial attributes, and interrelationships between spatial elements. Even with the same set of nodes, different connection methods and degrees of connection can form functionally distinct network structures, and the differences in structure and function directly affect the resilience of urban areas [13,14]. Evaluating the resilience and sustainability of urban network structures is an important way to understand the interactive relationships between spatial nodes and to assess the resilience of network systems. Both slow-onset and sudden disasters can easily disrupt the normal operation of networks, causing the failure of nodes or edges, thus affecting the flow of elements [15]. Therefore, the resilience performance of network structures in response to disturbances or shocks cannot be ignored. Existing studies on network resilience often start with a comprehensive analysis of network structure [9,12]. How to evaluate the resilience of urban network structures using complex network theory and how to translate theoretical concepts into sustainable regional development are important and prominent issues in this context [16].
Urban network structure resilience is a measure of the resilience of urban areas, referring to the ability of an urban regional network system to maintain normal operation or enhance operational efficiency in response to slow-onset or sudden shocks [17,18]. Interruption simulation, which involves simulating and testing the operational efficiency of a network after node failures in multiple rounds, is an important method to quantify network structure resilience [9,19,20]. This method not only helps to understand the resilience structure of the overall network system but also identifies the key nodes that maintain urban regional resilience. This study explores methods for measuring and comparing the structural characteristics and resilience of two types of population flow networks at the urban scale and achieves interruption simulation through sequentially deleting nodes and recalculating network resilience indicators based on weighted centrality values.
The objectives of this study are as follows: (1) to establish a methodological framework for measuring the resilience of urban population flow network structures; (2) to depict the spatial patterns and resilience characteristics of employment and recreational flows in Nanjing as a case study; and (3) to analyze the network resilience structure under interruption simulation scenarios, extract the key nodes affecting resilience, and propose corresponding resource allocation and urban safety development recommendations.
2. Literature Review
2.1. Analysis of Urban Network Structure from the Perspective of Population Mobility
Humans are users of urban spaces and reshape urban functional systems through their activities and feedback. Analyzing urban network structures from the perspective of population activities and mobility not only reflects a humanistic spirit but also allows for the exploration and comparison of various types of networks, such as employment, consumption, and recreation [5,21,22]. Mobile signaling data encapsulates rich information about individual behavioral activities, capable of comprehensively, finely, and dynamically reflecting urban functional systems, providing an opportunity for the scientific identification of urban functional systems and in-depth mining of population mobility information [23]. In terms of identifying urban functional systems, Yue et al. (2017) [24] utilized mobile signaling data combined with clustering algorithms to identify the distribution of functional areas in Beijing. Zhong et al. (2019) [25] analyzed mobile signaling data from Shanghai to discover activity centers and boundaries of different urban areas. These studies all employed spatial clustering analysis techniques to classify urban functional center systems based on activity types, intensities, and aggregation levels. Regarding the mining of spatiotemporal information on population mobility, Zhang et al. (2020) [26] analyzed mobile signaling data from Wuhu, revealing the characteristics of massive population movement within the city and their impact on transportation stress. Cao et al. (2021) [27] and Tian et al. (2023) [28] used mobile signaling data to uncover population mobility patterns within Shenzhen and Chongqing, respectively, and explored population mobility characteristics between different functional areas. The emergence and use of mobile signaling data have extended the focus of previous research on macro-level spatial aggregation and segmentation characteristics to the scale of functional areas and even communities.
Despite the significant progress made in studying urban network structures based on mobile signaling data, there are limitations in two aspects. First, there is the issue of the applicability of research methods and models. The clustering algorithms and network analysis methods used in existing studies are mostly based on data from specific cities, and their applicability to other cities remains to be verified. In fact, different cities exhibit diverse population mobility patterns and spatial structures, necessitating continuous supplementation and comparison of empirical studies across different case areas. For example, Gariazzo et al. (2019) [29] found significant differences in flow network characteristics among different cities. Traditional network edge analysis based on absolute flow intensity tends to weaken information on mid-to-low-level edges, leading to network information distortion. Therefore, comprehensive research should employ attributes, such as flow intensity, vectors, and breadth, especially within largely polarized urban areas where suburban spatial connection characteristics are easily obscured. Second, there is a lack of research results at the intra-urban scale. Existing studies mainly focus on central urban areas, lacking a comprehensive analysis of the entire intra-urban network spatial structure. However, the intra-urban area is precisely the basic unit of residents’ daily activities. Zhang et al. (2020) [26] proposed that the integrated development of intra-urban areas and the establishment of China’s intra-urban-level territorial spatial planning system require an examination of residents’ activity–mobility networks from an overall intra-urban perspective. Additionally, Liu and Zhou (2021) [30] emphasized that research at the intra-urban level can better support the implementation of urban development policies, optimize resource allocation, and improve the overall layout of urban functional areas. Future research should strengthen the study of the overall network structure of intra-urban areas to provide more comprehensive policy recommendations and planning guidance.
2.2. Measurement and Evaluation of Urban Network Structure Resilience
The concept of “resilience” originally meant recovery, but its connotation has expanded continuously when combined with theories or perspectives from different disciplines. As research into resilience has deepened, the concept has undergone two significant shifts, from initial engineering damage and repair to ecological vulnerability and then to the evolutionary resilience of the entire socio-economic system [11,16]. Different interpretations of resilience have led to various definitions and understanding methods [31]. Currently, a commonly used definition of resilience is “the capacity of a system to absorb disturbances and reorganize while undergoing change so as to still maintain essentially the same functions, structures, identities, and feedback loops” [13]. As urban regional systems tend towards networked connections, enhancing the ability of these systems to respond to various disasters has become a hot research topic in the field of urban regional management [32,33]. The definition of network system resilience is generally defined as the ability of a network system to function normally under risk disturbances [15,17].
Existing research on network system resilience can be classified into two types. The first type focuses on industrial cluster networks, including qualitative and quantitative studies on cluster risks, network resilience, network functions, and topological structures. Properties such as node location, node hierarchical distribution, network synergy, diversity, and connectivity are crucial for network resilience [34]. The second type concentrates on regional spatial networks, constructing urban networks through economic [35], informational [36], and transportation infrastructure [37] interconnections among cities. Resilience thinking emerges in the discussion of network structural characteristics such as connectivity, transmission, and stability. However, there are limited studies explicitly focusing on urban network structure resilience, and most remain at the level of theoretical exploration [9]. Existing empirical studies mostly approach from a static perspective, discussing the structural resilience of financial institution distribution networks [38], transportation facility distribution networks [39], and supplier–customer distribution networks [40].
Only a few empirical analyses have examined the dynamic trends of inter-urban element flows and the resilience levels of their network structures. Peng et al. (2018) [18] took the urban agglomeration in the middle reaches of the Yangtze River as the research object. Based on the construction of three types of contact networks (economic, information) and transportation, and relying on the Gephi social network analysis tool, they evaluated the spatial characteristics of the network structure’s disability capabilities. Wei and Xiu (2020) [41] discussed from a theoretical perspective how the urban network structure, function, and system with “flow” and “connection” as the core exhibit resilience characteristics and argued that the structural resilience of the inter-urban element flow network is an important dimension to the resilience of the urban network. Wei and Pan (2021) [9] constructed information, population flow, and economic connection networks among 334 cities in China, measuring network resilience levels using hierarchy, matching, transmission, and diversity and revealing resilience changes after node failures. Guo et al. (2022) [20] simulated the city’s “closure” scenario under emergency events by deleting nodes, depicting the dynamic changes in the operating capacity of the high-speed railway network. Zhang et al. (2022) [26] analyzed the resilience of information dissemination and economic connection networks among 13 cities in the Beijing–Tianjin–Hebei urban agglomeration from the perspectives of degree distribution, matching, and transmissibility. Their research provided new insights into resilience from the angle of element flows and optimized allocation, suggesting that an appropriate network hierarchy aids resource elements diffusion, with small cities connecting to large ones to achieve element exchange and combination, thereby breaking path dependency and enhancing risk resistance. This viewpoint contrasts with supplier–customer distribution network research, which argues that the flatter the network, the easier it is to mitigate adverse effects following specific node failures.
The above research has provided at least two important inspirations for subsequent related research. First, the structural resilience of urban networks can be characterized and measured through core variables; second, the core variables and their judgment criteria are not fixed and need to be based on network attributes and network operation conditions. However, it also exposed research gaps in at least two aspects. Firstly, research objects are limited to macro-scale regions, such as entire countries and urban agglomerations, lacking a unified and effective evaluation framework for the resilience of intra-urban network structures. Methodologically, there is a lack of research on the resilience process, including how the resilience level of the network system changes in response to risk shocks, where the key areas for maintaining network resilience are, and what attributes they have. These aspects remain entirely unknown, whereas this is precisely the key to formulating targeted risk prevention and control policies.
Based on previous research and practical experience, this study conducts innovative explorations of resilience levels and resilience processes based on the specific scenario of daily population flows within a city in order to enrich research on the resilience of urban network structures from the perspective of population flows. Compared with transportation infrastructure networks and firm networks, the population mobility network is a network with more prominent self-organizing characteristics. It rarely shows signs of instantaneous damage or complete collapse but shows more flexible self-adjustment capabilities. The practical conditions for the smooth development of this study are that urban internal network structure research based on mobile signaling data has gradually formed a mature path of “description of population spatiotemporal activity characteristics-abstraction of urban network structure” [5], providing methodological guidance for depicting urban internal spatial structures. Additionally, the study area, Nanjing, lies in a cross-river development and uses a multi-center structural strategy that was implemented over many years, which provides a practical basis for evaluating population mobility network resilience.
3. Research Scope, Data, and Methods
3.1. Research Scope
Nanjing, a central city in the Yangtze River Delta and the core city of the Nanjing metropolitan area aims to achieve cross-river development and a multi-center structure as its spatial organization goals. With the construction of the Jiangbei New Area as a national strategy in 2015, Nanjing’s spatial development pattern has been planned to form “one main city, one new city, three sub-cities, and one river with two sides” (Figure 1). The entire city is divided into two major sections by the Yangtze River: Jiangnan (south of the river) and Jiangbei (north of the river). Jiangnan main city and Jiangbei new main city constitute the central urban area, which is the primary bearer of Nanjing’s central city functions. According to the “Nanjing Metropolitan Area Development Plan” released in 2021, the next phase of Nanjing’s intra-urban spatial structure will expand east–west along the Yangtze River to radiate and drive the surrounding cities.
Figure 1.
The spatial development pattern of Nanjing City.
3.2. Data Collection and Processing
The data used in this study include mobile signaling data from China Unicom in Nanjing, enterprise data from the Qichacha platform, Baidu POI data, road vector data, and green space vector data from OpenStreetMap. The mobile signaling data were collected over the entire month of June 2019. The locations where users spent the longest daytime hours were identified as employment locations, while the locations where users spent the longest nighttime hours were identified as residential locations. Locations where users spent the longest during non-working periods, excluding residential and employment locations, were identified as recreational locations. Based on these three types of locations, the raw travel data for residence–employment trips on workdays and residence-recreation trips on rest days were extracted. The total number of residence–employment trips reached 192 million, and the total number of residence–recreation trips reached 231 million. The processing of raw travel data mainly consists of the following two steps.
(1) Acquiring OD (Origin–Destination) Connections of Population Mobility Between Townships and Streets. First, the entire Nanjing area was divided into uniform grid cells with a side length of 500 m, with each grid cell corresponding to a unique identifier ID. Then, based on the weighted latitude and longitude of the origin and destination in the mobile signaling travel data, the origin and destination were mapped to respective grid units and identified by grid ID. Next, the township and street administrative division data of Nanjing were intersected with the 500 m grid data in a GIS to obtain a corresponding table of township and street IDs with grid IDs. By connecting IDs and using the proportion of grid area, the population flow between various townships and streets was calculated, resulting in 8942 OD travel records of residence–employment trips and 10,065 OD travel records of residence–recreation trips among the 101 townships and streets of Nanjing.
(2) Constructing a Directed Weighted Population Mobility Network. Following the complex network analysis approach, the central points of Nanjing’s townships and streets were abstracted as nodes, and the population mobility connections between them were considered as network edges. This formed a 101 × 101 directed weighted matrix representing the population mobility between the 101 townships and streets. For this matrix, the flow from residence to employment or recreational locations was defined as unidirectional population flow, effectively reflecting the inflow and outflow scale of the working and recreational population.
3.3. Research Methods
3.3.1. Node Centrality Measurement
In social network analysis, node centrality represents the total number of connections a node has with other nodes, serving as a simple and intuitive index [42,43,44]. The distribution of node degrees is described using a probability distribution function. When the network scale is small, the cumulative degree distribution function P(t) is often used (Equation (1)). In Equation (1), is a constant, known as the power-law exponent. If the degree distribution follows a power-law function, the node degree distribution is uneven, and the network exhibits a scale-free feature. Empirical studies in recent years have shown that most real-world networks are scale-free networks with power-law characteristics [45].
To deepen the measurement of node centrality, Zachary (2011) [46] introduced recursive centrality, which considers the influence of indirect connections on node centrality. Building on this, Zhao et al. (2017) incorporated the directionality of edges into the analysis, proposing the calculation methods for directed alternative centrality (DAC) and Directed Alternative Power (DAP) [47]. The specific calculation formulas are as follows:
In Equations (2) and (3), (gross immigration) is the net population inflow value of node j, representing the weighted sum when the net inflow value of the nodes connected to it is positive, which can be considered as the weighted in-degree. (gross emigration) is the net population outflow value of node j, representing the weighted sum when the net outflow value of the nodes connected to it is positive, which can be considered as the weighted out-degree. K is the total number of cities associated with city j. Figure 2 shows a direct difference between and . In Equation (4), represents the net population flow between two locations, and indicates the population agglomeration from k to j, multiplied by the logarithm of the node’s net population inflow value using e as the base, resulting in the positive factor of the node’s directed alternative centrality. represents the population dispersal from j to k, multiplied by the logarithm of the node’s net outflow value using e as the base, resulting in the negative factor of the node’s directed alternative centrality. The DAC value of a node is obtained by summing the positive and negative factors. Equation (5) calculates the DAP value of a node, which is the path where the net migration into node j is positive, indicating the degree to which it “deprives” other nodes of the population. The higher the value, the stronger its control over the hinterland. According to Zachary’s paper, we use Figure 3 to illustrate the concepts of DAC and DAP, highlighting the difference between centrality and power. In Figure 3, City j1 is more central but not particularly powerful, while City j2 is powerful but not particularly central.
Figure 2.
Explanation of variables: and for City j.
Figure 3.
Comparison between centrality and power.
3.3.2. Community Detection
Community detection is a type of network clustering method used to reveal the “cohesive groups” phenomenon in a network. Newman and Girvan define a community as a subgraph of a network where nodes within the community are densely connected, while the connections between communities are sparse. In this paper, we employ the fast unfolding algorithm proposed by Blondel et al. (2008) [48] for community detection. This heuristic algorithm is based on modularity optimization and is primarily operated within Gephi software 0.10.1.
3.3.3. Measurement of Network Structural Resilience
The measurement of resilience in the population mobility network between townships and streets should not only refer to some parameters from regional network resilience measurement studies [9,10,11,12,20], such as the average path length reflecting network transmission efficiency, but also innovatively propose resilience indicators that match the characteristics of intra-urban integration development. This study establishes three indicators—density, symmetry, and transmissibility—to characterize the resilience of the population mobility network. Among them, density and transmissibility are common indicators for evaluating the resilience of urban network structures. Density reflects the fault tolerance of the network [49]. The higher the density of the network, the more likely there are alternative nodes and paths to function after some nodes and paths fail. Transmissibility reflects the degree of direct connection between nodes, and the shorter path of the network indicates that various elements can be supplemented and reorganized at a lower cost and faster speed, providing a guarantee for the recovery and development vitality of the network in crisis [9,18]. Symmetry is an original indicator, and in China’s national strategy of urban–rural integration, the bidirectional flow of urban–rural factors is placed in a prominent position [50]. This is because China’s long-term strategy of optimizing urban development has greatly limited the development of rural areas. Only through encouraging more urban population and capital to flow into rural areas can we promote the diversification of rural functions and achieve rural revitalization.
These indicators can effectively reflect the level of network connectivity among townships and streets within a city from the perspectives of extensive connectivity and equal mutual promotion.
(1) Density—Network Density. This is a fundamental indicator that characterizes the scale and level of network development [49]. At this stage, the development of towns (villages) in China needs to further promote the free flow of elements and expand the scope of element flow [49]. This indicator reveals the level of network development through the density of edges between nodes. The calculation formula is as follows [6]:
In Equation (6), D represents network density, equivalent to network density, with higher values indicating a higher degree of network connectivity. k is the number of townships and streets, and d(i, j) indicates whether there is a population mobility connection between townships and streets i and j, taking values of 1 or 0.
(2) Symmetry—Balance of Bidirectional Connections. Compared to villages, the functional attributes of townships are more complex, facilitating the exchange of essential elements with urban streets on an equal footing to avoid the issue of spatial polarization caused by unidirectional element flows [50]. Symmetry is used to describe the balance between the absorption and radiation capabilities of nodes in a network. Zheng and Zhong (2020) [49] measured the symmetry value of the entire network, and this article extends and transforms it into the interaction between node pairs, which can better detect to what extent there is element convection between urban and rural areas (Equation (7)).
In Equation (7), is the symmetry value of the network, representing the balance of all OD connections excluding passing through intermediate places. ranges between 0 and 1, with values closer to 0 indicating more balanced connections between nodes. is the population flow from node i to j, and is the population flow in the opposite direction from j to i.
(3) Transmissibility—Efficiency of Population Mobility. The shorter the connected paths between nodes, the more efficiently the population can move at relatively low costs and high speeds [9,18]. The rapid flow of elements contributes to emergency response and network system self-healing [9,18]. This indicator calculates the average path length of the network through the shortest connection paths between any pair of nodes (Equation (8)).
In Equation (8), L represents the average path length of the network, and dij is the shortest path length between nodes i and j. When i and j are directly connected, the shortest path length is 1. When one intermediate node is needed, the shortest path length is 2, and so on.
4. Results Analysis
4.1. Employment Flow and Recreational Flow Network Structure
4.1.1. Overall Characteristics of Population Inflow and Outflow
In the context of a directed weighted network, the population net inflow and outflow values for each node in both the employment flow and recreational flow networks are statistically summarized to explore the aggregation and diffusion processes of different types of population flows. In the employment flow network, as shown in Figure 4a, the net outflow of the population exhibits a concentric ring structure, gradually increasing from the central urban areas to the peripheral urban areas. On the other hand, as shown in Figure 4b, the spatial distribution of the net inflow population presents a structural characteristic of point-like and belt-like distributions. High net outflow areas are “encircled” along the outer ring highway, while high net inflow areas are “leapfrogged” between the central urban area and the inner ring highway. This pattern reflects, to some extent, the importance of high-grade roads for industrial aggregation and employment clustering.
Figure 4.
Spatial distribution of employed population.
In the recreational flow network, the net outflow of the recreational population also exhibits a clear concentric ring structure. The area enclosed by the inner ring road in Jiangnan exhibits a large net outflow of the recreational population (Figure 5a). In terms of net inflow of the recreational population, the Xinjiekou commercial center (Nanjing’s largest commercial area), Nanjing South Railway Station (Nanjing’s largest high-speed railway station), and Xuanwu Lake (a nationally known scenic spot) form the three major high-value areas for recreational population inflow (Figure 5b). Notably, the outskirts and remote suburbs, such as Lukou Street, Yongning Street, Xingdian Street, and Xiongzhou Street, form some scattered inflow nodes for the recreational population. Corresponding to this is the demand tendency for rural ecological functions in residents’ weekend outings in daily life.
Figure 5.
Spatial distribution of recreational population.
4.1.2. Population Mobility Connections between Townships and Streets
By extracting the population mobility network matrix and edges that exceed the average network value, based on the connection strength of bidirectional network edges, the network structure can be visualized using natural breaks classification in GIS. As shown in Figure 6, the network structures of employment and tourism flows are similar, with major population flows occurring in Jiangnan main city and surrounding areas, mostly between neighboring towns and streets. In terms of the quantity characteristics of population mobility, as shown in Table 1, the standard deviation is significantly greater than the average value, indicating that the population mobility between townships and streets is relatively dispersed, uneven in distribution, and positively skewed. A skewness coefficient greater than 0 indicates a high concentration of population flows in a few townships and streets. For example, the top 1% of nodes in the employment flow network contribute 22.36% of the total flow, the top 2% contribute 31.96%, and the top 10% contribute 66.48%. Further analysis of the cumulative distribution of node-weighted degree indicates a power-law distribution, as shown in Figure 7. Taking the employment network as an example, its node degree distribution function is and , while its index distribution function is and , which indicates a weak scale-free feature. Stronger scale-free features have been discovered in population migration networks at the national [4] and urban agglomeration scales [49]. The weak scaling findings in this article indicate that for urban residents, daily travel is still mainly based on proximity, and there is little long-distance travel for relocation and business exchanges. In general, in the employment and recreational flow networks of Nanjing, high-degree nodes tend to connect with low-degree nodes at a relatively slow rate, with many mid-degree nodes acting as intermediaries. This also reflects the daily travel patterns of urban residents who choose optimal destinations within a certain distance. Both types of networks are still some distance away from having the globally optimal characteristics of scale-free networks, suggesting the need for efficient measures in urban planning to improve transportation and functional facilities accordingly.
Figure 6.
Spatial structure of population flow networks.
Table 1.
Descriptive statistics of population flow between townships.
Figure 7.
Cumulative probability distribution of node centrality.
4.1.3. Network Communities
Utilizing a community detection algorithm, the clusters within the population mobility network are extracted. Based on this, nodes within each cluster are ranked according to their DAC values using the natural breaks method, categorizing them into four tiers: primary centers, secondary centers, weak centers, and hinterlands (Figure 8), providing a comprehensive view of the functional center system across Nanjing. For the employment flow, the community detection algorithm reaches the highest modularity index of 0.349 at a resolution of 1, forming six employment clusters with the most stable partitioning effect. As shown in Figure 8a, under this partitioning, the trend of cross-river integration of employment functions has initially emerged, with a central cluster of cross-river development appearing. The Hexi area (a newly developed urban area in Jiangnan that Nanjing is striving to build, mainly featuring financial, commercial, and high-end residential functions) has formed close cross-river connections with the vast majority of the Jiangbei area. Additionally, Lishui and Gaochun districts in the south are connected to form a unified employment cluster, while Jiangning and Luhe districts, two important manufacturing hubs in Nanjing, form relatively independent employment clusters. Overall, the spatial distribution of employment centers is relatively concentrated.
Figure 8.
Sub-groups in Nanjing’s population flow network.
For the recreational flow, the modularity index reaches 0.452 at a resolution of 1, forming five recreational clusters. As shown in Figure 8b, the natural geographical barrier of the Yangtze River is prominent, with Pukou and Luhe in the Jiangbei area forming a unified recreational cluster, which conflicts with our expectations. We originally thought that the leisure industry in the main city of Jiangnan was more diverse, and on weekends when time constraints tend to be flexible, residents should be more willing to go to the main city of Jiangnan for activities. However, in fact, residents are more willing to participate in activities nearby. The five districts in the Jiangnan area, namely, Gulou, Xuanwu, Qixia, Qinhuai, and Jiangning, show a trend of integrated development. The Hexi area forms a relatively independent recreational cluster. Notably, the western streets of Jiangning are integrated into the recreational cluster of Gaochun and Lishui. Considering the intensity of human flow, it can be inferred that this is related to residents from Jiangning and Gaochun frequently driving to the Yangtze River’s Xinjizhou National Wetland Park for weekend outings. Overall, the spatial distribution of recreational centers in Nanjing exhibits the coexistence of strong central and strong peripheral characteristics.
4.2. Network Structure Resilience and Key Areas of Employment and Recreational Flows
4.2.1. Density
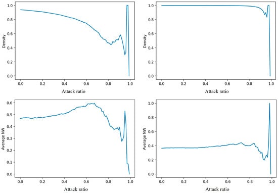
Density is a fundamental indicator reflecting the level of network development and the resilience of the network. The initial network density values for employment and recreational flows are almost identical: over 90% of the townships and streets have connections related to employment and recreational flows (Table 2). This density value significantly exceeds the population mobility network density at the Nanjing metropolitan area scale (around 70%). As shown in Figure 9a, after sequentially attacking the network based on the ranking of node centrality values, the network density of employment flows shows a linear decline until a turning point occurs when the attack proportion reaches 60%, after which the density reduction accelerates. This indicates that nodes with a weighted centrality value ranking around 60% are crucial for maintaining a relatively dense employment flow network. In contrast, the change in network density for recreational flows remains stable, maintaining a high-level density value even after high-value nodes fail (Figure 9b), reflecting that the formation and development of the recreational flow network rely on all nodes rather than specific nodes. This echoes the findings of Niu et al. (2014) [51] in Shanghai, who found that holiday travel has significant randomness and spatiotemporal flexibility, including a greater utilization of public service and recreational facilities. Leisure facilities are much more dispersed in their provision compared to employment positions. Whether it is the employment flow or the leisure flow, their density has not shown strong fluctuations under attacks, while Guo et al.’s (2022) research on high-speed rail networks found that if the first 48% of nodes are attacked, the density change amplitude is more than double [20]. This indicates that population mobility connections are more evenly distributed than high-speed rail connections.
Table 2.
The initial resilience value of the population mobility network.

Figure 9.
Resilience changes of population flow networks under sequential attacks.
4.2.2. Symmetry
The symmetry of bidirectional connections reflects the balance of network development. The initial symmetrical value of the employment flow network is 0.47. According to the symmetry calculation formula, this value indicates that the employment population flow intensity between nodes differs by about twice as much. Nevertheless, the symmetrical value of the employment flow network is still higher than that of the recreational flow network. Considering the previous finding that the recreational flow network density is higher than that of the employment flow network, it can be observed that recreational trips have more diverse destinations and often involve family or group activities. As the sequential attack begins, the symmetrical value of the employment flow network rises, indicating that the disparity in bidirectional employment population flow between nodes increases, and it reaches a peak when 60% of the nodes fail (Figure 9a). This suggests that the top 60% of nodes by degree value are the primary locations for employment activities, mostly situated in the Jiangnan central urban area. The symmetry of the recreational flow network does not change significantly after the attack begins (Figure 9b), further confirming that the maintenance of recreational functions relies on the majority of nodes rather than specific nodes. Symmetry fluctuations become significant only after the attack proportion reaches 85%. Since the failure of more than 80% of nodes indicates overall network fragmentation and lacks significance for risk prevention and control (Guo et al., 2022) [20], it can be concluded that there is no inflection point for the symmetry value of the recreational flow network under attack.
4.2.3. Transmissibility
Network transmissibility reflects the efficiency of population flow. The transmissibility values of the employment flow network and the recreational flow network are relatively close and both at low levels (Table 2). Taking employment flow as an example, in the case of a complete network, its average shortest path length is 2.12 (Table 2), meaning that the employment population flow requires transit through more than two nodes, a value close to that of the enterprise network transmissibility based on offshore A-share listed companies and their subsidiaries [52]. However, unlike the sparse enterprise network with limited nodes and edges that suppress the efficiency of element flow, Nanjing’s population mobility network has a considerable scale of nodes and edges. The low transmissibility is due to the fact that whether for employment or recreation, population flows are still concentrated in localized areas, and long-distance movement is not frequent, with remote nodes needing to connect to the intra-urban network through “bridges”. Once high-value nodes are attacked, the average path length of the employment flow network rises rapidly (Figure 9a), reflecting the crucial “bridge” role of high-value nodes in the flow and transit of employment population, as more low-value nodes choose to organize long-distance connections through high-value nodes. Similar to the trends in the previous two resilience values, the recreational flow network shows robustness against attacks, with transmissibility almost unaffected (Figure 9b). The mutation point occurs at 85% of the nodes (Figure 9b), which correlates with the performance of the recreational flow network in terms of density and symmetry, indicating that the top 85% of the nodes by degree value are the core network for maintaining the normal operation of the recreational flow network.
4.2.4. Key Areas and Their Characteristics
The coupling match degree of DAC-DAP values is used to subdivide the roles of townships and streets in the population mobility network (Table 3). The distinction between portal nodes and typical nodes lies in that the former are more closely related to local areas around them, while the latter tend to play aggregation or diffusion roles across the entire domain. Based on the research results presented earlier, we consider the 10 townships and streets with weighted centrality values ranked 56–64 and 80–89 in the employment flow network and recreational flow network, respectively, as key areas for maintaining network resilience. Further identification of key area characteristics is achieved through subdividing the network division of labor of nodes.
Table 3.
Division standard of township function types based on DAC and DAP.
As shown in Figure 10a, in the employment flow network, the spatial distribution of key areas exhibits a concentric ring pattern of center–periphery. Apart from Chunxi in the south, the remaining townships and streets are concentrated in Jiangnan main urban area and the nearby suburbs around the central urban area. From the perspective of the network division of labor, key areas within the Jiangnan main urban area are mostly diffusion-type nodes, primarily residential in function. For example, Honghua Street is the location of the southern new city of Nanjing and the last large-scale increment space available for overall development within the main urban area. Key areas in the nearby suburbs are all portal-type aggregation nodes with multiple large industrial parks in their jurisdictions. For instance, Changlu Street is a hub for major chemical enterprises in Nanjing, Jiangning Street hosts the Nanjing Jiangning Binjiang Economic Development Zone with a cluster of equipment manufacturing enterprises, and Yongning Street has a rapidly developing modern agricultural industrial park. The residence–employment connections between residential spaces in the main urban area and industrial parks in the nearby suburbs are crucial for maintaining the normal operation of the employment flow network across the entire domain. In the recreational flow network (Figure 10b), key areas shift towards the distant suburbs and show a strong orientation towards highways. Notably, aside from Shiqiu and Gubai in the southern part of the city, the remaining key nodes are all aggregation nodes of population mobility. These include Jinniuhu, Zhuzheng, Linchang, etc., which have been focal points for the vigorous development of Nanjing’s rural tourism in recent years. Moreover, the key areas of the recreational flow network exhibit a contiguous distribution characteristic, reflecting the higher randomness and spatial spillover effects of recreational travel compared to employment travel.
Figure 10.
Key areas for maintaining global network resilience.
5. Discussion and Conclusions
5.1. Discussion
As spatial connections at various levels increase and become more complex, more researchers are recognizing the urgency of studying urban network resilience. However, the existing literature on urban regional resilience primarily focuses on theoretical frameworks, and the limited empirical studies lack a systematic methodological framework to measure the resilience characteristics of intra-urban residents’ mobility networks. More importantly, very few empirical studies quantify and analyze key areas that maintain network resilience through risk simulation, exploring their spatial distribution patterns and network division of labor in depth. This is crucial for making targeted policy recommendations for safe development.
The contribution of this study lies in transcending previous regional network resilience research based on surrogate variables by constructing functional networks at the intra-urban level using real residence–employment and residence–recreation connections and by proposing multi-dimensional indicators for evaluating network resilience. This study argues that it is essential to consider the scale of element flow and the network development goals at that scale when designing resilience evaluation indicators. The foundation of intra-urban integration and urban–rural development, along with the implementation and connection of various spatial development policies within the city, makes the bidirectional, high-density, and convenient interactions between townships and streets within the city possible. This study provides insights into understanding the urban internal functional system and its spatial structure from the perspective of mobility, deepening the comprehension of the current micro- and meso-scale node interaction relationships. On the other hand, the resilience evaluation results of the intra-urban population mobility network in this study not only support the resilience city thematic studies in national spatial planning but also promote the traditional resilience perspective from engineering and technical resilience to element flow and configuration resilience. Furthermore, they can provide references for resilience studies over larger regional areas, such as the resilience of metropolitan population mobility networks.
Due to the massive scale of mobile signaling data, this study has certain limitations in the choice of the research period. The COVID-19 pandemic has impacted urban functional systems, leading to population relocation, business relocation, and other activities. Therefore, supplementing the post-pandemic network resilience research at the same scale is an important research direction worth following in the future. Additionally, mobile signaling data cannot clearly reveal travel purposes, and current studies generally infer these purposes based on travel time, limiting the fine-grained classification of population mobility network types. This also limits the ability to guide the precise provision and use of employment positions and recreational facilities.
5.2. Conclusions
This study proposes an evaluation framework suitable for assessing the resilience of intra-urban population mobility network structures and empirically examines the resilience of employment and recreational flow network structures within Nanjing. This framework provides methodological guidance for promoting sustainable endogenous development in other cities. Based on measured population mobility connections, this framework can be used to measure multi-scale spatial networks, such as local and regional levels, unaffected by geographical environment differences or socio-economic development differences. This study uses complex network analysis methods to evaluate the resilience of population mobility networks from the perspectives of density, symmetry, and transmissibility through interruption simulation. The main conclusions are as follows.
(1) The proximity and functional directionality of population mobility are clear. Adjacent units are more likely to establish frequent connections, and the more functionally complex central urban areas have strong population aggregation and dispersion capabilities. The number of net population inflows and the strength of network edges generally decrease in a layered manner from the Jiangnan main urban area to the periphery. Community division results show that there is a close cross-river employment connection between the main urban areas of Jiangnan and Jiangbei, with a significant spatial performance of cross-river transportation facilities. However, during the weekend with higher spatiotemporal flexibility for travel, the natural barrier effect of the Yangtze River becomes prominent, and long-distance population mobility decreases significantly. This indicates that in non-essential situations, such as excluding employment or relocation, residents still tend to prefer nearby activities. The weak scaling characteristics of employment flow and leisure flow networks also support the proximity of residents’ activities.
(2) Facing sudden shocks or disruptions, the employment flow networks, which are functionally concentrated and highly heterogeneous, are more vulnerable to structural shocks due to cross-river connections and long-distance links. Nodes with weighted centrality values around 60 are key to maintaining the normal operation of the employment flow network, and these nodes are distributed in the main urban area and near suburban areas. Network labor division reveals the vulnerability of commuting links between the main urban residential areas and near suburban industrial parks. The recreational network has a relatively dispersed functional space and relies more on all nodes rather than specific nodes for its normal operation. Nodes with weighted centrality values around 80, which are of medium to low value, to some extent support the structural resilience of the recreational flow network. These nodes are distributed in the distant suburbs of the city and enhance the diversity of recreational travel by utilizing rural tourism resources and rural scenery, weakening the path dependency between main urban nodes and general nodes. From the changes in density values under attack, it can be found that both employment and leisure flows have strong flexibility, and they will not collapse like high-speed rail networks due to the failure of a small number of nodes. The policy implication brought by this is that for population mobility networks, the risk events that need to be focused on are not pointwise, but rather surface wise, such as earthquakes, wars, etc.
(3) Identifying key nodes provides help in accurately formulating policy recommendations for safety development. Government officials should strive to minimize the likelihood of key node failures and enhance their risk response capabilities by strengthening differentiated emergency systems and risk prevention mechanisms. For key nodes in the employment flow network, resilience park planning should be implemented using traditional manufacturing-intensive townships and streets as demonstration points and incorporating resilience parks as an important component of resilient cities. For key nodes in the recreational flow network, the importance of rural tourism and village planning for optimizing recreational population mobility should be recognized. While national spatial planning emphasizes urban development boundaries, attention should also be paid to the rational layout of recreational and service facilities outside these boundaries.
Author Contributions
Conceptualization, Zherui Li; methodology, Zherui Li; software, Wen Chen; formal analysis, Wei Liu; validation, Zhe Cui. All authors have read and agreed to the published version of the manuscript.
Funding
This research was funded by [Natural Science General Program of Jiangsu Provincial Higher Education Institutions] grant number [24KJB560010].
Data Availability Statement
Data is unavailable due to privacy or ethical restrictions.
Conflicts of Interest
The authors declare no conflict of interest.
References
- Long, Y.; Thill, J.C. Combining smart card data and household travel survey to analyze jobs-housing relationships in Beijing. Comput. Environ. Urban Syst. 2015, 53, 19–35. [Google Scholar] [CrossRef]
- Zhi, Y.; Li, H.; Wang, D.; Deng, M.; Wang, S.; Gao, J.; Duan, Z.; Liu, Y. Latent spatio-temporal activity structures: A new approach to inferring intra-urban functional regions via social media check-in data. Geo-Spat. Inf. Sci. 2016, 19, 94–105. [Google Scholar] [CrossRef]
- Ding, L.; Song, X.D.; Niu, X.Y. Exploring the functional linkage characteristics of urban spatial structure-Taking the central urban area of Shanghai as an example. Urban Plan. 2019, 43, 107–116. [Google Scholar]
- Lai, J.B.; Pan, J.H. China’s city network structural characteristics based on population flow during Spring Festival travel rush: Empirical analysis of “Tencent Migration” big data. J. Urban Plan. Dev. 2020, 146, 04020018. [Google Scholar] [CrossRef]
- Zhen, F.; Li, Z.R.; Xie, Z.M. Analysis of urban internal spatial structure characteristics and its influencing factors based on population flow: A case study of Nanjing. Geogr. Res. 2022, 41, 1525–1539. [Google Scholar] [CrossRef]
- Derudder, B.; Taylor, P.J.; Witlox, F.; Catalano, G. Hierarchical tendencies and regional patterns in the world city network: A global urban analysis of 234 cities. Reg. Stud. 2003, 37, 875–886. [Google Scholar] [CrossRef]
- Castells, M. Globalisation, networking, urbanisation: Reflections on the spatial dynamics of the information age. Urban Stud. 2010, 47, 2737–2745. [Google Scholar] [CrossRef]
- Khunwishit, S.; Choosuk, C.; Webb, G. Flood resilience building in Thailand: Assessing progress and the effect of leadership. Int. J. Disaster Risk Sci. 2018, 9, 44–54. [Google Scholar] [CrossRef]
- Wei, S.; Pan, J. Resilience of Urban Network Structure in China: The Perspective of Disruption. Int. J. Geo-Inf. 2021, 10, 796. [Google Scholar] [CrossRef]
- Niu, X.; Yue, Y.F.; Liu, S. Negative effects of massive intercity population movement on the security of urban agglomerations. J. Nat. Resour. 2021, 36, 2181–2192. [Google Scholar] [CrossRef]
- Palekiene, O.; Simanaviciene, Z.; Bruneckiene, J. The application of resilience concept in the regional development context. Procedia—Soc. Behav. Sci. 2015, 213, 179–184. [Google Scholar] [CrossRef]
- Zhang, Y.; Yang, Y.; Wei, S.; Ma, Z.; Tian, M.; Sun, M.; Nie, J. Research on spatial structure and resilience of complex urban network: A case study of Jing-Jin-Ji Urban Agglomeration. Front. Environ. Sci. 2022, 10, 999124. [Google Scholar] [CrossRef]
- Crespo, J.; Suire, R.; Vicente, J. Lock-in or lock-out? How structural properties of knowledge networks affect regional resilience? J. Econ. Geogr. 2013, 14, 199–219. [Google Scholar] [CrossRef]
- Zhao, Z.; Wei, Y.; Yang, R.; Wang, S.; Zhu, Y. Gravity model coefficient calibration and error estimation: Based on Chinese interprovincial population flow. Acta Geogr. Sin. 2019, 74, 203–221. [Google Scholar] [CrossRef]
- Zhao, K.; Kumar, A.; Harrison, T.P.; Yen, J. Analyzing the resilience of complex supply network topologies against random and targeted disruptions. IEEE Syst. J. 2011, 5, 28–39. [Google Scholar] [CrossRef]
- Christopherson, S.; Michie, J.; Tyler, P. Regional resilience: Theoretical and empirical perspectives. Camb. J. Reg. Econ. Soc. 2010, 3, 3–10. [Google Scholar] [CrossRef]
- Chopra, S.S.; Khanna, V. Understanding resilience in industrial symbiosis networks: Insights from network analysis. J. Environ. Manag. 2014, 141, 86–94. [Google Scholar] [CrossRef]
- Peng, C.; Lin, Y.Z.; Gu, C.L. Evaluation and optimization strategy of city network structural resilience in the middle reaches of Yangtze River. Geogr. Res. 2018, 37, 1193–1207. [Google Scholar]
- Ding, Y.T.; Zhang, M.; Chen, S.; Nie, R. Assessing the resilience of China’s natural gas importation under network disruptions. Energy 2020, 211, 118459. [Google Scholar] [CrossRef]
- Guo, W.; Zhong, Y.F. Research on the resilience of China’s high-speed rail urban network from the perspective of vulnerability. Geogr. Res. 2022, 41, 1371–1387. [Google Scholar] [CrossRef]
- Zhong, W.J.; Wang, D. Urban space research based on the characteristics of residents’ behavior cycles. Prog. Geogr. 2018, 37, 98–110. [Google Scholar] [CrossRef]
- Shi, C.; Chen, C.; Niu, X.Y. Spatial planning response for megacities with “actual service population”—Taking Hangzhou as an example. Urban Plan. Forum 2018, 4, 41–48. [Google Scholar]
- Yang, X.; Fang, Z. Recent progress in studying human mobility and urban spatial structure based on mobile location big data. Prog. Geogr. 2018, 37, 880–889. [Google Scholar] [CrossRef]
- Yue, Y.; Zhuang, Y.; Yeh, A.G.O.; Xie, J.Y.; Ma, C.L.; Li, Q.Q. Measurements of POI-based mixed use and their relationships with neighborhood vibrancy. Int. J. Geogr. Inf. Sci. 2017, 31, 658–675. [Google Scholar] [CrossRef]
- Zhong, W.; Wang, D. A study on the spatial characteristics of nighttime vitality in the city center of Shanghai. City Plan. Rev. 2019, 43, 97–106+114. [Google Scholar]
- Zhang, S.; Yang, Y.; Zhen, F.; Lobsang, T. Exploring Temporal Activity Patterns of Urban Areas Using Aggregated Network-driven Mobile Phone Data: A Case Study of Wuhu, China. Chin. Geogr. Sci. 2020, 30, 695–709. [Google Scholar] [CrossRef]
- Cao, J.; Li, Q.; Tu, W.; Gao, Q.; Cao, R.; Zhong, C. Resolving urban mobility networks from individual travel graphs using massive-scale mobile phone tracking data. Cities 2021, 110, 103077. [Google Scholar] [CrossRef]
- Tian, Z.; Wang, Q.; Liu, Y.; Wang, Z. Comparison of the tourist mobility patterns among demographic subgroups with mobile phone data: A case study of Chongqing, China. Appl. Geogr. 2023, 159, 103090. [Google Scholar] [CrossRef]
- Gariazzo, C.; Pelliccioni, A. A multi-city urban population mobility study using mobile phone traffic data. Appl. Spat. Anal. Policy 2019, 12, 753–771. [Google Scholar] [CrossRef]
- Liu, Y.; Zhou, Y. Territory spatial planning and national governance system in China. Land. Use Policy 2021, 102, 105288. [Google Scholar] [CrossRef]
- Jabareen, Y. Planning the resilient city: Concepts and strategies for coping with climate change and environmental risk. Cities 2013, 31, 220–229. [Google Scholar] [CrossRef]
- Revi, A.; Satterthwaite, D.; Aragon-Durand, F.; Corfee-Morlot, J.; Kiunsi, R.B.R.; Pelling, M.; Roberts, D.; Solecki, W.; Gajjar, S.P.; Sverdlik, A. Towards transformative adaptation in cities: The IPCC’s Fifth Assessment. Environ. Urban 2014, 26, 11–28. [Google Scholar] [CrossRef]
- Chen, C.K.; Xu, L.L.; Zhao, D.Y.; Xu, T.; Lei, P. A new model for describing the urban resilience considering adaptability, resistance and recovery. Saf. Sci. 2020, 128, 104756. [Google Scholar] [CrossRef]
- Dixit, V.; Verma, P.; Tiwari, M.K. Assessment of pre and post disaster supply chain resilience based on network structural parameters with CvaR as a risk measure. Int. J. Prod. Econ. 2020, 227, 107655. [Google Scholar] [CrossRef]
- Frost, I.; Podkorytova, M. Former soviet cities in globalization: An intraregional perspective on interurban relations through networks of global service firms. Eurasian Geogr. Econ. 2018, 59, 98–125. [Google Scholar] [CrossRef]
- Xiong, L.F.; Zhen, F.; Wang, B.; Xi, G.L. The research of the Yangtze River delta core area’s city network characteristics based on Baidu index. Econ.Geogr. 2013, 33, 67–73. [Google Scholar]
- Bombelli, A.; Santos, B.F.; Tavasszy, L. Analysis of the air cargo transport network using a complex network theory perspective. Transp. Res. Part E Logist. Transp. Rev. 2020, 138, 101959. [Google Scholar] [CrossRef]
- Amini, H.; Cont, R.; Minca, A. Stress testing the resilience of financial networks. Int. J. Theor. Appl. Financ. 2012, 15, 1250006. [Google Scholar] [CrossRef]
- Ip, W.H.; Wang, D.W. Resilience and friability of transportation networks: Evaluation, analysis and optimization. IEEE Syst. J. 2011, 5, 189–198. [Google Scholar] [CrossRef]
- Kim, Y.; Chen, Y.S.; Linderman, K. Supply network disruption and resilience: A network structural perspective. J. Oper. Manag. 2015, 33, 43–59. [Google Scholar] [CrossRef]
- Wei, Y.; Xiu, C.L. Study on the concept and analytical framework of city network resilience. Prog. Geogr. 2020, 39, 488–502. [Google Scholar] [CrossRef]
- Liu, F.C.; Xiao, Z.Q.; Ma, R.K. A study on the dynamic impact of multidimensional proximity on the technological transaction network. Scientometrics 2018, 36, 95–104. [Google Scholar]
- Cheng, Y.; Wang, L. Re-thinking the central place theory in the context of mobile space-Taking the urban network in Shandong Province as an example. Econ. Geogr. 2017, 238, 25–33. [Google Scholar]
- Wang, S.J.; Lian, C.; Zhao, Z.Y. From central place to urban network: The theoretical transformation of China’s urban system research. Geogr. Res. 2019, 38, 64–74. [Google Scholar]
- Liu, X.; Gong, L.; Gong, Y.; Liu, Y. Revealing travel patterns and city structure with taxi trip data. J. Transp. Geogr. 2015, 43, 78–90. [Google Scholar] [CrossRef]
- Neal, Z. Differentiating centrality and power in the world city network. Urban Stud. 2011, 48, 2733–2748. [Google Scholar] [CrossRef]
- Zhao, Z.; Wei, Y.; Wang, S. Measurement of directed alternative centricity and power of directed weighted urban network: A case of population flow network of China during “Chunyun” period. Geogr. Res. 2017, 36, 647–660. [Google Scholar]
- Blondel, V.D.; Guillaume, J.L.; Lambiotte, R.; Lefebvre, E. Fast unfolding of communities in large networks. J. Stat. Mech. Theory Exp. 2008, 10, 155–168. [Google Scholar] [CrossRef]
- Zheng, B.H.; Zhong, Y.F. Study on spatial structure of population migration network of urban agglomeration in the Middle Yangtze River based on complex network. Econ. Geogr. 2020, 40, 118–128. [Google Scholar]
- Li, Z.R.; Zhen, F. Study of Resilience Connection in Urban and Rural Space: Connotation Analysis and Theoretical Framework Construction. Urban Dev. Stud. 2023, 30, 10–17+51. [Google Scholar]
- Niu, X.Y.; Ding, L.; Song, X.D. Understanding urban spatial structure of Shanghai central city based on mobile phone data. Urban Plan. Forum 2014, 219, 61–67. [Google Scholar]
- Li, B.; Cao, G. Structural resilience change of China’s marine economic network based on the data of sea-related A-share listed companies. Prog. Geogr. 2022, 41, 945–955. [Google Scholar] [CrossRef]
Disclaimer/Publisher’s Note: The statements, opinions and data contained in all publications are solely those of the individual author(s) and contributor(s) and not of MDPI and/or the editor(s). MDPI and/or the editor(s) disclaim responsibility for any injury to people or property resulting from any ideas, methods, instructions or products referred to in the content. |
© 2024 by the authors. Published by MDPI on behalf of the International Society for Photogrammetry and Remote Sensing. Licensee MDPI, Basel, Switzerland. This article is an open access article distributed under the terms and conditions of the Creative Commons Attribution (CC BY) license (https://creativecommons.org/licenses/by/4.0/).