Association between Built Environment and Bus Usage among Older Adults: Urban–Rural Differences in the Nonlinearities
Abstract
1. Introduction
2. Literature Review
2.1. Associations between Built Environment and Bus Usage by the Elderly
2.2. Urban–Rural Differences in Travel Behaviors
| Authors | Location | Methodology | Travel Behavior |
|---|---|---|---|
| Yin et al. [38] | China | MNL Factor analysis | Mode choice |
| Zhao and Bai [39] | China | Logit regression | Household car ownership |
| Zhang et al. [40] | USA | Ordinary Least Squares (OLS) regression | AARP (American Association of Retired People) Livability Index |
| Whitfield et al. [35] | USA | Logistic regression, Stepwise model | Walking for leisure or transportation |
| Tribby and Tharp [36] | USA | RF, Logistic regression | Bicycling behaviors |
| Berry et al. [34] | South Australia | Negative binomial regression | Walking frequency |
2.3. Nonlinear Associations between Travel Behavior and the Built Environment
2.4. Research Gap
3. Research Data
3.1. Study Area
3.2. Data Sources
3.3. Variables
4. Methodology
5. Results
5.1. Model Performance
5.2. Feature Importance of Independent Variables
5.3. Urban–Rural Differences in the Nonlinear Associations of the Built Environment
5.3.1. Dwelling Unit Density
5.3.2. Intersection Density
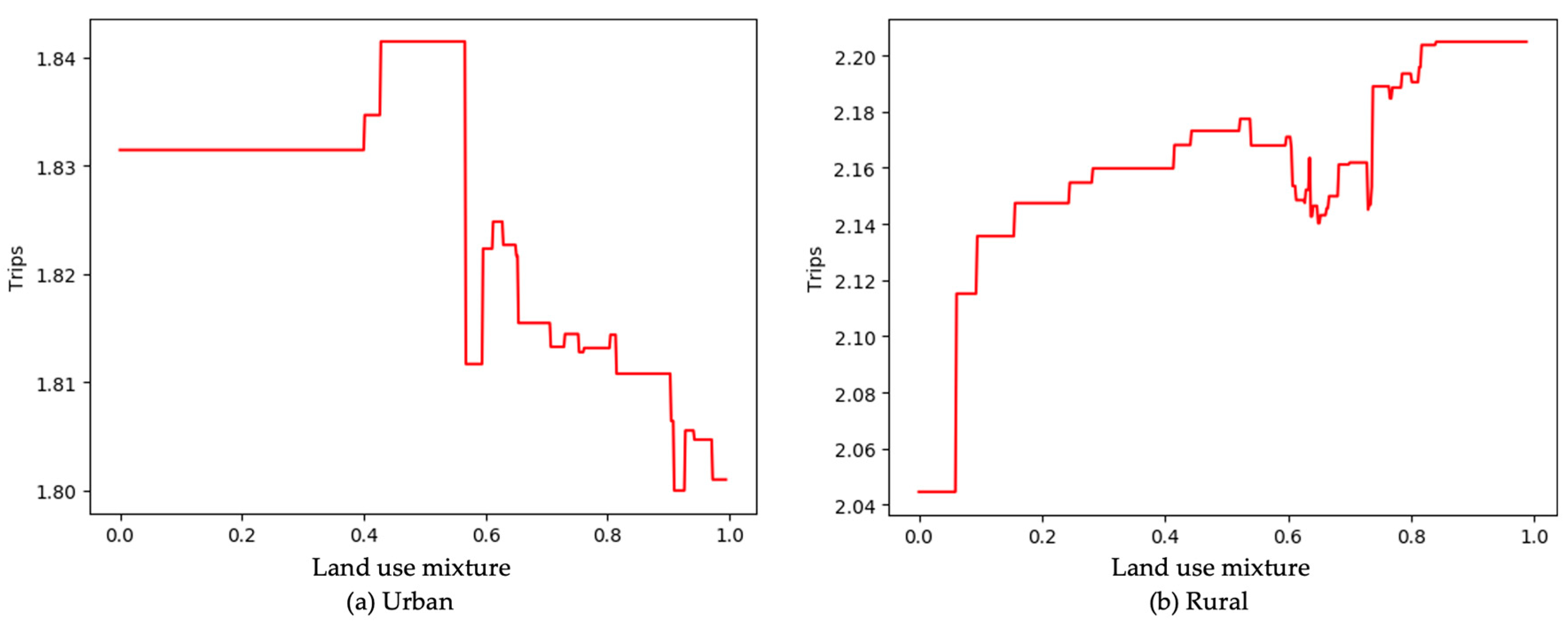
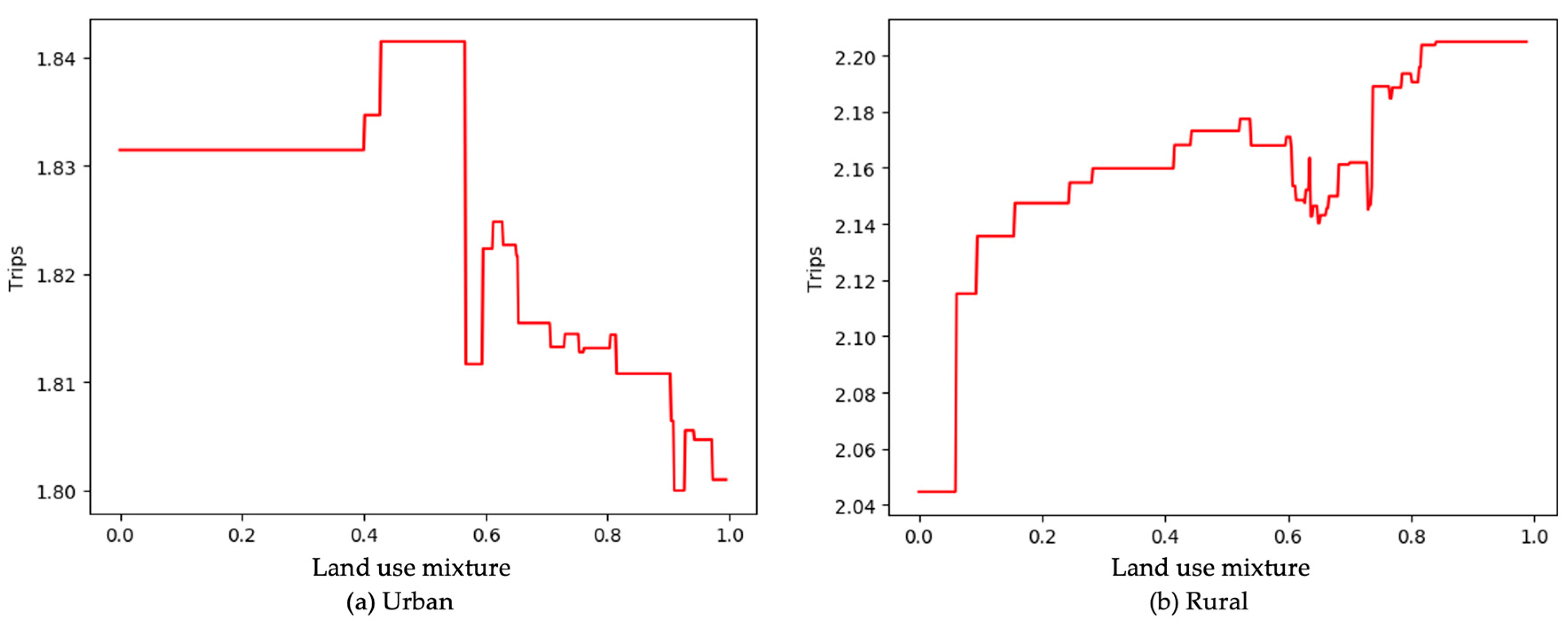
5.3.3. Land Use Mixture
5.3.4. Distance from Home to the CBD
5.3.5. Distance from Home to the Nearest Bus Stop
5.3.6. Ratio of Green Space
5.4. Effective Ranges of Built Environment Variables in Urban and Rural Areas
- (a)
- The dwelling unit density is high (2400–5000 units/km2)
- (b)
- The intersection density is high (15.1–27.1 intersections/km2)
- (c)
- The land use mixture is medium (0.43–0.57)
- (d)
- The distance from home to the CBD is short (<0.25 km)
- (e)
- The distance from home to the nearest bus stop is medium (0.32–0.6 km)
- (f)
- The ratio of green space land use is medium to high (5–19%)
- (a)
- The dwelling unit density is low to medium (300–1100 units/km2)
- (b)
- The intersection density is medium to high (7.5–26.8 intersections/km2)
- (c)
- The land use mixture entropy index (EI) is medium to high (0.42–0.82)
- (d)
- The distance from home to the CBD is long (1.25–2.73 km)
- (e)
- The distance from home to the nearest bus stop is short (<0.32 km)
- (f)
- The ratio of green space land use is low (2.6–6.5%)
6. Conclusions and Implications
Author Contributions
Funding
Data Availability Statement
Conflicts of Interest
References
- Ma, L.; Liu, S.; Fang, F.; Che, X.; Chen, M. Evaluation of urban-rural difference and integration based on quality of life. Sustain. Cities Soc. 2020, 54, 101877. [Google Scholar] [CrossRef]
- Murata, Y. Rural–urban interdependence and industrialization. J. Dev. Econ. 2002, 68, 1–34. [Google Scholar] [CrossRef]
- Yang, Y.; Bao, W.; Wang, Y.; Liu, Y. Measurement of urban-rural integration level and its spatial differentiation in China in the new century. Habitat Int. 2021, 117, 102420. [Google Scholar] [CrossRef]
- Lu, Q.; Yao, S.R. From Urban-Rural Division to Urban-Rural Integration: A Systematic Cost Explanation and Chengdu’s Experience. China World Econ. 2018, 26, 86–105. [Google Scholar] [CrossRef]
- Shao, F.; Sui, Y.; Yu, X.; Sun, R. Spatio-temporal travel patterns of elderly people–A comparative study based on buses usage in Qingdao, China. J. Transp. Geogr. 2019, 76, 178–190. [Google Scholar] [CrossRef]
- Zhao, P.; Wan, J. Land use and travel burden of residents in urban fringe and rural areas: An evaluation of urban-rural integration initiatives in Beijing. Land Use Policy 2021, 103, 105309. [Google Scholar] [CrossRef]
- Broome, K.; McKenna, K.; Fleming, J.; Worrall, L. Bus use and older people: A literature review applying the Person-Environment-Occupation model in macro practice. Scand. J. Occup. Ther. 2009, 16, 3–12. [Google Scholar] [CrossRef]
- Zhang, Y.; He, Q.; Wu, W.; Li, C.Y. Public transport use among the urban and rural elderly in China: Effects of personal, attitudinal, household, social-environment and built-environment factors. J. Transp. Land Use 2018, 11, 701–719. [Google Scholar] [CrossRef]
- United Nations. World Population Ageing 2020 Highlights: Living Arrangements of Older Persons; United Nations: New York, NY, USA, 2020. [Google Scholar]
- Kim, K.W.; Kim, O.S. Super Aging in South Korea Unstoppable but Mitigatable: A Sub-National Scale Population Projection for Best Policy Planning. Spat. Demogr. 2020, 8, 155–173. [Google Scholar] [CrossRef]
- Aceves-Gonzalez, C.; Cook, S.; May, A. Bus use in a developing world city: Implications for the health and well-being of older passengers. J. Transp. Health 2015, 2, 308–316. [Google Scholar] [CrossRef]
- Carney, F. Linking Loyalty Card Data to Public Transport Data to Explore Mobility and Social Exclusion in the Older Population. Sustainability 2021, 13, 6217. [Google Scholar] [CrossRef]
- Musselwhite, C.; Holland, C.; Walker, I. The role of transport and mobility in the health of older people. J. Transp. Health 2015, 2, 1–4. [Google Scholar] [CrossRef]
- Xu, M.; Yang, W. Depressive symptoms among older empty nesters in China: The moderating effects of social contact and contact with one’s children. Aging Ment. Health 2022, 27, 54–69. [Google Scholar] [CrossRef] [PubMed]
- Su, D.; Wu, X.-N.; Zhang, Y.-X.; Li, H.-P.; Wang, W.-L.; Zhang, J.-P.; Zhou, L.-S. Depression and social support between China’ rural and urban empty-nest elderly. Arch. Gerontol. Geriatr. 2012, 55, 564–569. [Google Scholar] [CrossRef] [PubMed]
- Zhang, D.; Yang, Z. The Health Inequalities Research of Empty Nesters under the Background of Urbanization and Occupational Mobility; Atlantis Press: Beijing, China, 2015. [Google Scholar]
- Wang, L.; Zhao, C.; Liu, X.; Chen, X.; Li, C.; Wang, T.; Wu, J.; Zhang, Y. Non-Linear Effects of the Built Environment and Social Environment on Bus Use among Older Adults in China: An Application of the XGBoost Model. Int. J. Environ. Res. Public Health 2021, 18, 9592. [Google Scholar] [CrossRef]
- Cao, J.; Tao, T. Using machine-learning models to understand nonlinear relationships between land use and travel. Transp. Res. Part D Transp. Environ. 2023, 123, 103930. [Google Scholar] [CrossRef]
- Zhang, Z.; Mao, B.; Liu, M.; Chen, J.; Guo, J. Analysis of Travel Characteristics of Elders in Beijing. J. Transp. Syst. Eng. Inf. Technol. 2007, 7, 11–20. [Google Scholar] [CrossRef]
- Jackson, S.E.; Firth, J.A.; Firth, J.; Veronese, N.; Gorely, T.; Grabovac, I.; Yang, L.; Smith, L. Social isolation and physical activity mediate associations between free bus travel and wellbeing among older adults in England. J. Transp. Health 2019, 13, 274–284. [Google Scholar] [CrossRef]
- Yang, Y.; Xu, Y.; Rodriguez, D.A.; Michael, Y.; Zhang, H. Active travel, public transportation use, and daily transport among older adults: The association of built environment. J. Transp. Health 2018, 9, 288–298. [Google Scholar] [CrossRef]
- Hess, D.B. Walking to the bus: Perceived versus actual walking distance to bus stops for older adults. Transportation 2012, 39, 247–266. [Google Scholar] [CrossRef]
- Barnes, R.; Winters, M.; Ste-Marie, N.; McKay, H.; Ashe, M.C. Age and retirement status differences in associations between the built environment and active travel behaviour. J. Transp. Health 2016, 3, 513–522. [Google Scholar] [CrossRef]
- Wu, J.; Li, C.; Zhu, L.; Liu, X.; Peng, B.; Wang, T.; Yuan, S.; Zhang, Y. Nonlinear and threshold effects of built environment on older adults’ walking duration: Do age and retirement status matter? Front. Public Health 2024, 12, 1418733. [Google Scholar] [CrossRef] [PubMed]
- Xiaohelaiti, X.; Liu, X.; Li, C.; Wang, T.; Wu, J.; Peng, B.; Zhang, Y. Neighborhood environment and body mass index in community-dwelling older adults in China: The mediating role of transport-related physical activity. Geriatr. Nurs. 2024, 55, 304–310. [Google Scholar] [CrossRef] [PubMed]
- Sun, B.; Yan, H.; Zhang, T. Built environmental impacts on individual mode choice and BMI: Evidence from China. J. Transp. Geogr. 2017, 63, 11–21. [Google Scholar] [CrossRef]
- Zhang, Y.; Li, Y.; Liu, Q.; Li, C. The Built Environment and Walking Activity of the Elderly: An Empirical Analysis in the Zhongshan Metropolitan Area, China. Sustainability 2014, 6, 1076–1092. [Google Scholar] [CrossRef]
- Chen, W.H. Exploring Travel Characteristics and Factors Affecting the Degree of Willingness of Seniors in Taiwan to Use an Alternative Service Bus. Transp. Res. Rec. 2010, 2182, 71–78. [Google Scholar] [CrossRef]
- Ao, Y.; Zhang, Y.; Wang, Y.; Chen, Y.; Yang, L. Influences of rural built environment on travel mode choice of rural residents: The case of rural Sichuan. J. Transp. Geogr. 2020, 85, 102708. [Google Scholar] [CrossRef]
- Gu, Z.; Xiang, W.; Guo, X.; Tu, F. Research on the Strategy of Integrated Development of the Public Transit in Urban and Rural Areas. J. Highw. Transp. Res. Dev. 2006, 23, 114–117. [Google Scholar]
- Yang, Q.; Yuan, H.; Feng, S. Travel characteristics of rural residents under different economic conditions. J. Chang. Univ. Nat. Sci. Ed. 2014, 34, 76–83. [Google Scholar]
- Millward, H.; Spinney, J. Time use, travel behavior, and the rural–urban continuum: Results from the Halifax STAR project. J. Transp. Geogr. 2011, 19, 51–58. [Google Scholar] [CrossRef]
- Md, M.; Ali, K.; Olfert, M.; Partridge, M. Rural-to-Urban Commuting: Three Degrees of Integration. Growth Chang. 2010, 41, 303–335. [Google Scholar] [CrossRef]
- Berry, N.M.; Coffee, N.T.; Nolan, R.; Dollman, J.; Sugiyama, T. Neighbourhood Environmental Attributes Associated with Walking in South Australian Adults: Differences between Urban and Rural Areas. Int. J. Environ. Res. Public Health 2017, 14, 965. [Google Scholar] [CrossRef]
- Whitfield, G.P.; Carlson, S.A.; Ussery, E.N.; Watson, K.B.; Berrigan, D.; Fulton, J.E. National-level environmental perceptions and walking among urban and rural residents: Informing surveillance of walkability. Prev. Med. 2019, 123, 101–108. [Google Scholar] [CrossRef]
- Tribby, C.P.; Tharp, D.S. Examining urban and rural bicycling in the United States: Early findings from the 2017 National Household Travel Survey. J. Transp. Health 2019, 13, 143–149. [Google Scholar] [CrossRef]
- Blanchette, S.; Lemoyne, J.; Rivard, M.C.; Trudeau, F. Municipal officials’ propensity toward active transportation: A rural-urban comparison. J. Transp. Health 2019, 12, 349–358. [Google Scholar] [CrossRef]
- Yin, C.; Cao, J.; Sun, B. Examining non-linear associations between population density and waist-hip ratio: An application of gradient boosting decision trees. Cities 2020, 107, 102899. [Google Scholar] [CrossRef]
- Zhao, P.; Bai, Y. The gap between and determinants of growth in car ownership in urban and rural areas of China: A longitudinal data case study. J. Transp. Geogr. 2019, 79, 102487. [Google Scholar] [CrossRef]
- Zhang, X.; Warner, M.E.; Wethington, E. Can Age-Friendly Planning Promote Equity in Community Health Across the Rural-Urban Divide in the US? Int. J. Environ. Res. Public Health 2020, 17, 1275. [Google Scholar] [CrossRef] [PubMed]
- Carver, A.; Barr, A.; Singh, A.; Badland, H.; Mavoa, S.; Bentley, R. How are the built environment and household travel characteristics associated with children’s active transport in Melbourne, Australia? J. Transp. Health 2019, 12, 115–129. [Google Scholar] [CrossRef]
- Wang, L.; Xiaohelaiti, X.; Zhang, Y.; Liu, X.; Chen, X.; Li, C.; Wang, T.; Wu, J. Gender Differences in Environmental Correlates of Cycling Activity among Older Urban Adults. Land 2022, 11, 52. [Google Scholar] [CrossRef]
- Bhat, C.R.; Sen, S.; Eluru, N. The impact of demographics, built environment attributes, vehicle characteristics, and gasoline prices on household vehicle holdings and use. Transp. Res. Part B Methodol. 2009, 43, 1–18. [Google Scholar] [CrossRef]
- Yang, L.; Wang, X.; Sun, G.; Li, Y. Modeling the perception of walking environmental quality in a traffic-free tourist destination. J. Travel Tour. Mark. 2019, 37, 608–623. [Google Scholar] [CrossRef]
- Cheng, L.; De Vos, J.; Zhao, P.; Yang, M.; Witlox, F. Examining non-linear built environment effects on elderly’s walking: A random forest approach. Transp. Res. Part D Transp. Environ. 2020, 88, 102552. [Google Scholar] [CrossRef]
- Ding, C.; Cao, X.; Naess, P. Applying gradient boosting decision trees to examine non-linear effects of the built environment on driving distance in Oslo. Transp. Res. Part A-Policy Pract. 2018, 110, 107–117. [Google Scholar] [CrossRef]
- Tao, T.; Wang, J.Y.; Cao, X.Y. Exploring the non-linear associations between spatial attributes and walking distance to transit. J. Transp. Geogr. 2020, 82, 11. [Google Scholar] [CrossRef]
- Chen, T.; Guestrin, C. XGBoost: A Scalable Tree Boosting System. In Proceedings of the 22nd ACM SIGKDD International Conference, San Francisco, CA, USA, 13–17 August 2016. [Google Scholar]
- Chen, Z.; Fan, W. A Freeway Travel Time Prediction Method Based on An XGBoost Model. Sustainability 2021, 13, 8577. [Google Scholar] [CrossRef]
- Liu, J.; Xiao, L.; Wang, B. Non-linear effects of the built environment on elderly’s active travel:An extreme gradient boosting approach. Sci. Technol. Rev. 2021, 39, 102–111. [Google Scholar]
- Pan, B. Application of XGBoost algorithm in hourly PM2.5 concentration prediction. IOP Conf. Ser. Earth Environ. Sci. 2018, 113, 012127. [Google Scholar] [CrossRef]
- Zhang, Y.; Li, Y.; Yang, X.; Liu, Q.; Li, C. Built Environment and Household Electric Bike Ownership. Transp. Res. Rec. J. Transp. Res. Board 2013, 2387, 102–111. [Google Scholar] [CrossRef]
- Zhang, Y. The Relationship between Multidimensional Fcctors and Commuting Travel Behavior; Shanghai Jiao Tong University Press: Shanghai, China, 2015. [Google Scholar]
- Langlois, M.; Wasfi, R.A.; Ross, N.A.; El-Geneidy, A.M. Can transit-oriented developments help achieve the recommended weekly level of physical activity? J. Transp. Health 2016, 3, 181–190. [Google Scholar] [CrossRef]
- Martinez, L.M.; Viegas, J.M.; Silva, E.A. A traffic analysis zone definition: A new methodology and algorithm. Transportation 2009, 36, 581–599. [Google Scholar] [CrossRef]
- Ewing, R.; Cervero, R. Travel and the Built Environment. J. Am. Plan. Assoc. 2010, 76, 265–294. [Google Scholar] [CrossRef]
- Kockelman, K.M. Travel Behavior as Function of Accessibility, Land Use Mixing, and Land Use Balance: Evidence from San Francisco Bay Area. Transp. Res. Rec. J. Transp. Res. Board 1997, 1607, 116–125. [Google Scholar] [CrossRef]
- Levinger, P.; Cerin, E.; Milner, C.; Hill, K.D. Older people and nature: The benefits of outdoors, parks and nature in light of COVID-19 and beyond- where to from here? Int J Envion. Health Res 2022, 32, 1329–1336. [Google Scholar] [CrossRef]
- Dahlkvist, E.; Hartig, T.; Nilsson, A.; Hogberg, H.; Skovdahl, K.; Engstrom, M. Garden greenery and the health of older people in residential care facilities: A multi-level cross-sectional study. J. Adv. Nurs. 2016, 72, 2065–2076. [Google Scholar] [CrossRef]
- Hooper, P.; Foster, S.; Edwards, N.; Turrell, G.; Burton, N.; Giles-Corti, B.; Brown, W.J. Positive HABITATS for physical activity: Examining use of parks and its contribution to physical activity levels in mid-to older-aged adults. Health Place 2020, 63, 102308. [Google Scholar] [CrossRef] [PubMed]
- Cheng, L.; Chen, X.; Yang, S.; Cao, Z.; De Vos, J.; Witlox, F. Active travel for active ageing in China: The role of built environment. J. Transp. Geogr. 2019, 76, 142–152. [Google Scholar] [CrossRef]
- Zhu, P.; Wang, K.; Ho, S.-N.; Tan, X. How is commute mode choice related to built environment in a high-density urban context? Cities 2023, 134, 104180. [Google Scholar] [CrossRef]
- Chen, P.; Zhou, J.P. Effects of the built environment on automobile-involved pedestrian crash frequency and risk. J. Transp. Health 2016, 3, 448–456. [Google Scholar] [CrossRef]
- Guo, C.; Jiang, Y.; Qiao, R.; Zhao, J.; Weng, J.; Chen, Y. The nonlinear relationship between the active travel behavior of older adults and built environments: A comparison between an inner-city area and a suburban area. Sustain. Cities Soc. 2023, 99, 104961. [Google Scholar] [CrossRef]
- Peng, B.; Zhang, Y.; Li, C.; Wang, T.; Yuan, S. Nonlinear, threshold and synergistic effects of first/last-mile facilities on metro ridership. Transp. Res. Part D Transp. Environ. 2023, 121, 103856. [Google Scholar] [CrossRef]
- Szeto, W.Y.; Yang, L.; Wong, R.C.P.; Li, Y.C.; Wong, S.C. Spatio-temporal travel characteristics of the elderly in an ageing society. Travel Behav. Soc. 2017, 9, 10–20. [Google Scholar] [CrossRef]
- Feng, J. The influence of built environment on travel behavior of the elderly in urban China. Transp. Res. Part D Transp. Environ. 2017, 52, 619–633. [Google Scholar] [CrossRef]
- Paez, A.; Scott, D.; Potoglou, D.; Kanaroglou, P.; Newbold, K.B. Elderly Mobility: Demographic and Spatial Analysis of Trip Making in the Hamilton CMA, Canada. Urban Stud. 2007, 44, 123–146. [Google Scholar] [CrossRef]
- Zhou, J.; Chai, Y. Research progress on spatial behaviors of the elderly in China. Prog. Geogr. 2013, 32, 722–732. [Google Scholar]
- Ding, C.; Cao, X.; Dong, M.; Zhang, Y.; Yang, J. Non-linear relationships between built environment characteristics and electric-bike ownership in Zhongshan, China. Transp. Res. Part D Transp. Environ. 2019, 75, 286–296. [Google Scholar] [CrossRef]
- Alsnih, R.; Hensher, D.A. The mobility and accessibility expectations of seniors in an aging population. Transp. Res. Part A Policy Pract. 2003, 37, 903–916. [Google Scholar] [CrossRef]
- Liu, Y.; Wang, R.; Xiao, Y.; Huang, B.; Chen, H.; Li, Z. Exploring the linkage between greenness exposure and depression among Chinese people: Mediating roles of physical activity, stress and social cohesion and moderating role of urbanicity. Health Place 2019, 58, 102168. [Google Scholar] [CrossRef]
- Huang, B.; Huang, C.; Feng, Z.; Pearce, J.R.; Zhao, H.; Pan, Z.; Liu, Y. Association between residential greenness and general health among older adults in rural and urban areas in China. Urban For. Urban Green. 2021, 59, 126907. [Google Scholar] [CrossRef]
- Xu, Z.; Zhang, Q.; Zhao, L.; Yan, L.; Li, X. Analysis of Influence of Reasonable Planting Density of City Greening and Excessive; Chinese Society of Landscape Architecture: Hangzhou, China, 2013. [Google Scholar]









| Authors | Location | Bus Usage | Built Environment Variables with Significance |
|---|---|---|---|
| Yang et al. [21] | USA | Public transport trips | Street connectivity, Walk score, Distance to the nearest park |
| Hess [22] | Buffalo and Erie County, New York, USA | Transit ridership | Objective and perceived walking distances to access fixed-route transit |
| Barnes et al. [23] | British Columbia, Canada | Odds of using transit | Walk score, Transit score |
| Zhang et al. [8] Wang et al. [17] | Zhongshan, China | Public transport trips | Public transport service, Green space, density, Land use mixture, CBD accessibility |
| Aceves-Gonzalez et al. [11] | Guadalajara, Mexico | Tendency to choose bus | Pedestrian infrastructure |
| Variable | Variable Description | Urban | Rural | ||
|---|---|---|---|---|---|
| Mean | S. D. | Mean | S. D. | ||
| Bus trips | Number of daily bus trips (count) | 0.26 | 0.76 | 0.21 | 0.65 |
| (1) Personal variables | |||||
| Gender | 1 = Male, 0 = Female (binary) | 0.57 | - | 0.63 | - |
| Age | Age of the respondent (years) | 67.24 | 6.58 | 66.91 | 6.73 |
| (2) Attitudinal variables | |||||
| Pre_Walk | Ratio of respondents who prefer walking most (scale) | 0.32 | - | 0.23 | - |
| Pre_Bike | Ratio of respondents who prefer bike most (scale) | 0.14 | - | 0.19 | - |
| Pre_E-bike | Ratio of respondents who prefer e-bike most (scale) | 0.05 | - | 0.07 | - |
| Pre_Bus | Ratio of respondents who prefer bus most (scale) | 0.22 | - | 0.23 | - |
| Pre_Motor | Ratio of respondents who prefer motorcycle most (scale) | 0.11 | - | 0.13 | - |
| Pre_Car | Ratio of respondents who prefer private car most (scale) | 0.03 | - | 0.03 | - |
| (3) Household variables | |||||
| HH_Size | Number of family members in the household (count) | 2.65 | 1.36 | 2.59 | 1.29 |
| Low_Inc | The household income is low 1 (1 = yes or 0) | 0.28 | - | 0.45 | - |
| Med_Inc | The household income is medium 1 (1 = yes or 0) | 0.52 | - | 0.44 | - |
| High_Inc | The household income is high 1 (1 = yes or 0) | 0.20 | - | 0.11 | - |
| Num_Bike | Number of bikes in the household (count) | 0.57 | 0.70 | 0.67 | 0.71 |
| Num_E-bike | Number of e-bikes in the household (count) | 0.17 | 0.43 | 0.26 | 0.47 |
| Num_Motor | Number of motorcycles in the household (count) | 0.77 | 0.83 | 0.75 | 0.87 |
| Num_Car | Number of private cars in the household (count) | 0.16 | 0.43 | 0.17 | 0.45 |
| (4) Social environment variables | |||||
| P_Low_Inc | Ratio of low income household 1 in the neighborhood (scale) | 0.04 | - | 0.26 | - |
| P_Med_Inc | Ratio of medium income household 1 in the neighborhood (scale) | 0.57 | - | 0.65 | - |
| P_High_Inc | Ratio of high income household 1 in the neighborhood (scale) | 0.40 | - | 0.09 | - |
| P_Older | Ratio of older adults (scale) | 0.15 | 0.07 | 0.12 | 0.05 |
| (5) Built environment variables | |||||
| Dw_Den | Dwelling unit density (1000 units/km2) | 5.87 | 4.96 | 0.90 | 0.93 |
| Inter_Den | Intersection density (five intersections/km2) | 4.51 | 3.60 | 1.15 | 1.48 |
| Land_Mix | Land use mixture entropy (scale) | 0.71 | 0.19 | 0.69 | 0.17 |
| Dis_CBD | Euclidean distance from home to CBD (km) | 2.08 | 0.85 | 1.85 | 1.05 |
| Dis_Bus | Distance from home to the nearest bus stop (km) | 0.42 | 0.31 | 0.58 | 0.39 |
| P_Green | Ratio of green space among all land uses (scale) | 0.08 | 0.09 | 0.06 | 0.07 |
| Area | Model | MSE | MAE | MAPE |
|---|---|---|---|---|
| Urban | Multilinear regression | 0.66 | 0.55 | 26.02 |
| GBDT | 0.23 | 0.35 | 19.39 | |
| XGBoost | 0.21 | 0.29 | 16.46 | |
| Rural | Multilinear regression | 0.41 | 0.45 | 25.04 |
| GBDT | 0.21 | 0.31 | 18.76 | |
| XGBoost | 0.22 | 0.25 | 14.32 |
| Rank | Urban | Rural | ||
|---|---|---|---|---|
| Predictors | Relative Importance | Predictors | Relative Importance | |
| 1 | Age (PV) | 11.97% | Age (PV) | 10.70% |
| 2 | P_Older (SE) | 10.82% | P_Older (SE) | 10.60% |
| 3 | Dis_Bus (BE) | 8.58% | Dw_Den (BE) | 10.34% |
| 4 | HH_Size (HH) | 6.12% | P_Green (BE) | 9.99% |
| 5 | Inter_Den (BE) | 5.46% | Land_Mix (BE) | 8.42% |
| 6 | Dw_Den (BE) | 5.41% | Inter_Den (BE) | 8.35% |
| 7 | Dis_CBD (BE) | 5.19% | Dis_CBD (BE) | 7.68% |
| 8 | P_Green (BE) | 5.19% | HH_Size (HV) | 7.10% |
| 9 | Land_Mix (BE) | 4.92% | Num_Motor (HV) | 7.00% |
| 10 | Num_Motor (HV) | 4.75% | Dis_Bus (BE) | 4.27% |
| Total | 68.41% | Total | 84.45% | |
| Built Environment Variables | Urban | Rural |
|---|---|---|
| Dwelling unit density, units/km2 | 2400–5000 | 300–1100 |
| Intersection density, intersections/km2 | 15.1–27.1 | 7.5–26.8 |
| Land use mixture, EI | 0.40–0.57 | 0.42–0.82 |
| Euclidean distance between home and CBD, km | 0–0.25 | 1.25–2.73 |
| Distance between home and the closest bus stop, km | 0.32–0.6 | 0–0.32 |
| Ratio of green space to all land uses, % | 5–19% | 2.6–6.5% |
Disclaimer/Publisher’s Note: The statements, opinions and data contained in all publications are solely those of the individual author(s) and contributor(s) and not of MDPI and/or the editor(s). MDPI and/or the editor(s) disclaim responsibility for any injury to people or property resulting from any ideas, methods, instructions or products referred to in the content. |
© 2024 by the authors. Published by MDPI on behalf of the International Society for Photogrammetry and Remote Sensing. Licensee MDPI, Basel, Switzerland. This article is an open access article distributed under the terms and conditions of the Creative Commons Attribution (CC BY) license (https://creativecommons.org/licenses/by/4.0/).
Share and Cite
Peng, B.; Wang, L.; Wu, J.; Li, C.; Wang, T.; Yuan, S.; Zhang, Y. Association between Built Environment and Bus Usage among Older Adults: Urban–Rural Differences in the Nonlinearities. ISPRS Int. J. Geo-Inf. 2024, 13, 316. https://doi.org/10.3390/ijgi13090316
Peng B, Wang L, Wu J, Li C, Wang T, Yuan S, Zhang Y. Association between Built Environment and Bus Usage among Older Adults: Urban–Rural Differences in the Nonlinearities. ISPRS International Journal of Geo-Information. 2024; 13(9):316. https://doi.org/10.3390/ijgi13090316
Chicago/Turabian StylePeng, Bozhezi, Lanjing Wang, Jiani Wu, Chaoyang Li, Tao Wang, Shengqiang Yuan, and Yi Zhang. 2024. "Association between Built Environment and Bus Usage among Older Adults: Urban–Rural Differences in the Nonlinearities" ISPRS International Journal of Geo-Information 13, no. 9: 316. https://doi.org/10.3390/ijgi13090316
APA StylePeng, B., Wang, L., Wu, J., Li, C., Wang, T., Yuan, S., & Zhang, Y. (2024). Association between Built Environment and Bus Usage among Older Adults: Urban–Rural Differences in the Nonlinearities. ISPRS International Journal of Geo-Information, 13(9), 316. https://doi.org/10.3390/ijgi13090316

