Abstract
Based on the digital footprint data, exploring the differences in tourist market structure and driving factors before and after COVID-19 is important for identifying tourist market demand and optimizing tourism product supply in the post-pandemic era. Most of the existing studies have explored the impact of the pandemic on the tourist market in well-known or large cities and have provided suggestions for tourism recovery. However, these suggestions are not entirely applicable to smaller cities. Small cities have a single level of tourism product, high homogeneity of tourism resources, small tourist market scale, and high volatility of the tourism industry. Therefore, it is necessary to study the differences in the tourist market structure of small cities and its driving factors before and after the pandemic and to propose targeted measures for the tourism recovery in the post-pandemic period. This paper, taking small cities as the study area and using online travel diaries as the data source, analyzed the differences in the spatial and temporal structures of tourist markets and their driving factors in Dengfeng and Kaifeng, China, before and after the pandemic. Then, countermeasures for tourism industry recovery in the post-pandemic era were proposed. The results were as follows: the difference in the tourism off-peak season increased after the pandemic, and the concentration of tourist market spatial distribution in Dengfeng showed a decreasing trend while that in Kaifeng showed an increasing trend. In addition to region traffic, the driving effects of leisure time, climate comfort and residents’ income level weakened after the outbreak. Dengfeng and Kaifeng can enhance the tourist market tendency and attractiveness by creating special indoor tourism projects, strengthening tourism product promotion and marketing and enhancing the facilities related to self-driving tours.
1. Introduction
With the advantages of small investment, high return and low pollution, tourism has become one of the strongest and largest industries in the global economy. In addition, tourism has an important role in driving industries such as transportation, accommodation, catering and retail, as well as entertainment and leisure. Tourism research helps to promote socio-economic development, strengthen ecological civilization construction and increase national employment [1].
Since the 1990s, the world’s tourism industry has been growing at an explosive pace, with many countries, cities and regions participating in the fierce competition in the tourist market. The competition in regional tourism is becoming increasingly fierce, which is essentially manifested in the competition for the tourist market [2]. Therefore, it puts higher requirements on the scientific planning of tourism destinations and the precise marketing of tourist markets. Moreover, the tourist market has also gradually become an important topic of tourism research, mainly focusing on spatio-temporal characteristics analysis [3,4,5], influence mechanism analysis [6,7,8], motivation and demand analysis [9,10,11] and assessment and prediction analysis [12,13,14].
Due to the wide spread, long duration and large number of infections, COVID-19 (coronavirus disease 2019) has caused a huge impact on the rapidly developing tourism industry since its outbreak in December 2019 [15]. The tourism industry has been forced to press the pause button, which has caused serious damage to the tourist market, a deep impact on the tourism economy and an existential crisis for tourism enterprises [16]. Understanding the impact of the pandemic on the tourist market and achieving efficient recovery of the tourism industry in the post-pandemic era has become an extremely important and urgent issue. Popescu [17] analyzed the impact of the pandemic on the Romanian tourist market by comparing the number of tourist arrivals, overnight stays and outbound trips in 2019 and 2020. Zhu [18] analyzed the impact of the outbreak on the tourist market in Yunnan Province by comparing the number of tourism arrivals and tourism revenue in 2019 and 2020.
Existing studies have explored and analyzed the impact of COVID-19 on the regional tourist market well. However, most studies used tourism numbers and tourism revenue to determine the impact of the pandemic on the regional tourist market, which were generalized. In addition, most of them provided suggestions for regional tourism recovery after the pandemic through qualitative analysis, which was subjective [19]. Furthermore, these studies mainly focused on well-known or large cities. However, these suggestions are not entirely applicable to small cities. Small cities have a single level of tourism product, high homogeneity of tourism resources, small tourist market scale, and high volatility of the tourism industry [20]. Therefore, it is necessary to study the differences in tourist market structures and their driving factors in small cities before and after the pandemic and to propose targeted measures for tourism recovery in the post-pandemic era.
This paper analyzed the differences in tourist market structure and its driving factors before and after COVID-19 in Dengfeng and Kaifeng, China, using online travel diaries as a data source. It aimed to reveal the impact of the pandemic on tourism in small cities, identify tourist market demand and optimize tourism product supply. It could provide a basis for the formulation of regional tourism development strategies under the normalization of the pandemic. Moreover, this study could help the rapid recovery of the regional tourism industry and the improvement of regional tourism development.
2. Materials and Methods
2.1. Case Study and Data Source
As important provincial cities in Henan Province, Dengfeng and Kaifeng have a profound cultural heritage and unique tourism resources (Figure 1). There is 1 world cultural heritage site, 21 key cultural relic sites under state protection and 1512 existing cultural relics and historic sites in Dengfeng. Kaifeng has one national 5A-level scenic spot and more than 20 national cultural relic protection units. They regard tourism as a key pillar industry for development. In recent years, relying on their history, culture and geographical location, they have vigorously promoted the integration of culture and tourism, and have made outstanding achievements in the construction of tourism cities and the upgrading of tourism infrastructure, prompting the tourism industry to show unprecedented positive trends.
Figure 1.
The location of Dengfeng city and Kaifeng city.
Online travel diaries are mainly published by tourists with certain travel experiences, and they record the time and trajectory of the travel [21]. Therefore, they have the advantages of retrospection and detail. After comparing the major domestic travel websites and social media, we chose to collect online travel diaries from Qunar (www.qunar.com (accessed on 16 July 2022)), Ctrip (www.ctrip.com (accessed on 16 July 2022)) and Mafengwo (www.mafengwo.com (accessed on 16 July 2022)).
2.2. Methods
The tourist market research included three main modules: data collection, spatio-temporal characteristics analysis and driving factors analysis. Firstly, digital footprint data of tourists were obtained from online travel diaries, and then the data were cleaned to generate a digital footprint database. Secondly, information extraction models were used to analyze the temporal and spatial characteristics to obtain the structure of the tourist market before and after COVID-19. Finally, the driving factors of the tourist flow’s spatial and temporal heterogeneity before and after COVID-19 were analyzed based on the push–pull theory. The detailed schematic is shown in Figure 2.
Figure 2.
A framework for analyzing the tourist market structure and influencing factors of tourist flow.
2.2.1. Establishment of the Spatio-Temporal Database of Tourist Markets
The construction of a spatio-temporal database of the tourist market mainly included data collection and data cleaning. Firstly, this paper used online travel diaries as the data source. Then, we used the Octopus Collector (www.bazhuayu.com (accessed on 16 July 2022)) to collect data on travel websites from 1 January 2015 to 31 December 2021. Note that there were some informational errors and logical issues with online travel diaries, such as advertising posts, missing travel diaries, duplicate travel diaries and orphaned point data [22]. Therefore, the data needed to be cleaned manually before analyzing the tourist flow. Finally, a total of 557 pieces of valid data were reserved. For the cleaned data, we used the method of mathematical statistics to generate the tourist market database.
2.2.2. Time Characteristics Analysis of Tourist Market Structure
Time characteristics analysis was used to analyze the temporal heterogeneity of tourist markets. Firstly, the time concentration index was used to calculate the time concentration degree of tourist flow. Secondly, the time fluctuation trend was visualized using time series graphs.
- (1)
- Time concentration index
The time concentration index [23] was used to analyze the time distribution concentration of geographic data in each month. The formula is as follows:
where R is the time concentration index of the tourism market; is the proportion of tourists in each month; 8.33 is a constant, calculated from 100/12. The closer the R value is to 0, the more uniform the time distribution of tourism flow. And the greater the R value, the greater the time change. This means that the difference between the off-season and the peak season is significant.
- (2)
- Time series graphs
A time series graph [24] is a statistical tool to describe the trend of fluctuation of a process characteristic value over a period of time. It is a statistical graph with time on the horizontal axis and observed variables on the vertical axis. A time series graph was used to observe the trend and deviation of the development of variables; for example, a period time that fluctuates greatly.
2.2.3. Spatial Characteristics Analysis of Tourist Market Structure
Spatial characteristics analysis was used to analyze the spatial heterogeneity of the tourist markets. Firstly, the geographic concentration index was used to calculate the spatial distribution concentration degree of each region. Secondly, the tourist attraction radius was used to calculate the tourist market attraction range. Finally, the core degree of the tourist market was divided using the natural breakpoint method.
- (1)
- Geographical concentration index
The geographical concentration index [25] was used to analyze the spatial distribution concentration of geographic data in each region. The formula is as follows:
where G is the geographic concentration index, is the number of online travel diaries in each region, T is the total number of online travel diary datapoints and n is the total number of regions. The range of value G is 0–100. The larger the G value, the more concentrated the spatial distribution.
- (2)
- Natural breakpoint method
The natural breakpoint method [26] is a statistical method for grading and classifying according to the numerical statistical distribution pattern. It can maximize the difference between classes. In any statistical sequence, there are some natural turning points and characteristic points, which can be used to divide the research objects into groups of a similar nature.
2.2.4. Driving Factors Analysis of Tourist Market Structure
Push–pull theory, which was proposed by Dann, an American tourism scientist, was used to analyze the driving factors of tourist market attractiveness [27]. Dann first applied push–pull theory from the field of studying population to the field of tourism and proposed the theory of tourism driving factors. He argued that tourism is generated by a combination of internal and external factors. Among them, push factors refer to the activities that motivate tourists to find the satisfaction of their needs and belong to the internal factors of tourists. Pull factors are destination attractiveness and destination-related motivations held by tourists, which belong to external factors. For example, Wang et al. [28] chose relaxation and health as push factors, and selected transportation, tourism resources and tourism environment as pull factors to analyze the influencing factors of the Huangshan Mountain tourist market. Zheng et al. [29] chose disposable income and leisure time as push factors and selected environment and transportation as pull factors to analyze the influencing factors of Americans traveling to China. Based on push–pull theory, this paper summarized previous related studies and selected leisure time and climate comfort for analyzing the temporal heterogeneity of the tourist market. Region traffic and residents’ income level were selected for analyzing the spatial heterogeneity of the tourist market. Among them, leisure time and residents’ income level belonged to push factors and the others belonged to pull factors.
- (1)
- Leisure time
Leisure time is one of the prerequisites for the realization of tourism demand. It is also an important factor affecting residents’ tourist behavior. In this paper, time series graphs were used to analyze the influence of leisure time on tourists’ travel time.
- (2)
- Climate comfort
Climate is an important environmental factor for tourism activities and affects seasonal variations in tourist flow. The moisture–temperature index and index of clothing are commonly used to measure climate comfort. This paper selected the moisture–temperature index [30] to measure climate comfort. The formula is as follows:
where THI is the moisture–temperature index, t is the monthly average temperature in Celsius (°C), T is the monthly average temperature in Fahrenheit and f is the monthly average air relative humidity (%).
- (3)
- Region traffic
Region traffic is the linkage of the tourist market and destination and determines the choice of a tourist destination for tourists. This paper used two indicators, the actual distance from the provincial capital of the tourist market to the destination and the perceived distance (the shortest traffic time), to measure the region traffic.
- (4)
- Residents’ income level
People will only pursue higher-level needs after satisfying the most basic survival needs. Therefore, the residents’ income level is one of the most important conditions for developing tourism activities. This paper selected residents’ disposable income to measure the income level of residents.
3. Results
3.1. Results of Time Characteristics Analysis of Tourist Market Structure
Based on the time concentration index, the concentration of the temporal distribution of the tourism market in Dengfeng and Kaifeng before and after COVID-19 was analyzed for all years. The results are shown in Figure 3 and Figure 4.
Figure 3.
Time concentration index of tourist market in Dengfeng.
Figure 4.
Time concentration index of tourist market in Kaifeng.
The tourism market of Dengfeng was characterized by a relatively concentrated time distribution. Before COVID-19, the time concentration index of tourists in Dengfeng city had not changed much, and the tourist flow showed a relatively stable trend. After COVID-19, the time concentration index showed an increasing trend and the difference between the low and high seasons expanded.
The tourism market of Kaifeng was also characterized by a relatively concentrated temporal distribution. Before COVID-19, the time concentration index of tourists in Kaifeng city fluctuated. After COVID-19, the temporal concentration index showed a trend of rising and then falling. However, the difference between the low and high seasons expanded compared with that before the pandemic.
Using the time distribution chart, the fluctuation trend of tourism flow in Dengfeng and Kaifeng in a year was analyzed, and the results are shown in Figure 5 and Figure 6.
Figure 5.
Time distribution of tourist market in Dengfeng.
Figure 6.
Time distribution of tourist market in Kaifeng.
The tourist flow in Dengfeng city had the characteristics of obvious seasonal changes. Before COVID-19, April was the peak tourism season, while January was the low tourism season. After COVID-19, June was the peak tourism season.
The tourist flow in Kaifeng city also had obvious seasonal change characteristics. Before COVID-19, April was the peak tourism season, while December was the low tourism season. After COVID-19, October was the peak tourism season, while December was also the low tourism season.
3.2. Results of Spatial Characteristics Analysis of Tourist Market Structure
3.2.1. Spatial Distribution of Tourist Markets
Based on the geographic concentration index, the spatial distribution concentration of the tourist market in Dengfeng and Kaifeng over the years was analyzed, and the results are shown in Figure 7 and Figure 8. Among them, 17.96 is the geographical concentration index when tourist flows are evenly distributed in all provinces.
Figure 7.
Geographic concentration index of tourist market in Dengfeng.
Figure 8.
Geographic concentration index of tourist market in Kaifeng.
The geographic concentration index of Dengfeng was higher than 17.96 in the period 2015–2021. This indicates that the tourism market in Dengfeng showed the characteristics of spatially concentrated distribution. Before the pandemic, the geographic concentration index of Dengfeng showed continuous fluctuation. After the pandemic, the geographic concentration index decreased continuously.
The geographic concentration index of Kaifeng was higher than 17.96 in the period 2015–2021. This indicates that the tourism market in Kaifeng also showed the characteristics of spatially concentrated distribution. Before the pandemic, the geographic concentration index of Kaifeng showed continuous fluctuation. However, after the pandemic, the geographic concentration index increased continuously.
The spatial distribution of the tourist market in Dengfeng and Kaifeng was visualized, as shown in Figure 9 and Figure 10.
Figure 9.
Spatial distribution of tourist market in Dengfeng city (Hong Kong, Macau and Taiwan excluded).
Figure 10.
Spatial distribution of tourist market in Kaifeng city (Hong Kong, Macau and Taiwan excluded).
The spatial pattern of the tourist market in Dengfeng before and after COVID-19 was roughly in line with the “Hu Huanyong Line”. It showed a strong contrast between the number of tourists from the southeast and the northwest. However, the number of tourists in Dengfeng was significantly lower than before the outbreak of COVID-19.
The spatial pattern of the tourism market in Kaifeng before and after the pandemic was also essentially consistent with the “Hu Huangyong line”, showing a strong contrast between the number of tourists from the southeast and northwest. As in Dengfeng, the number of tourists decreased significantly after the pandemic.
Using the spatial distribution chart, the difference in the distribution of the tourist market in Dengfeng and Kaifeng was analyzed, and the results are shown in Figure 11 and Figure 12.
Figure 11.
Distribution of tourist market in Dengfeng city (Hong Kong, Macau and Taiwan excluded).
Figure 12.
Distribution of tourist market in Kaifeng city (Hong Kong, Macau and Taiwan excluded).
According to the online travel diary data, the main tourist market of Dengfeng before COVID-19 was Henan, accounting for 29.7%. Then, Beijing and Shanghai followed, accounting for 13.2% and 9.5%, respectively. After COVID-19, Dengfeng’s main tourism market was also Henan, with 25.0%. Then, Beijing, Jiangsu and Shandong followed, all accounting for 12.5%. It can be seen that Henan Province was the main market for tourism development in Dengfeng city.
According to the online travel diary data, the main tourist market of Kaifeng before COVID-19 was Henan, accounting for 25.0%. Then, Beijing and Jiangsu followed, accounting for 16.7% and 11.1%, respectively. After COVID-19, Kaifeng’s main tourism market was also Henan, with 30.6%. Then, Guangdong, Beijing and Shandong followed, accounting for 16.3%, 10.2% and 10.2%. It can be seen that Henan Province was also the main market for tourism development in Kaifeng city.
3.2.2. Classification of Tourist Market Structure
According to the intensity of tourist flow, the tourist market of Dengfeng and Kaifeng was divided into four levels based on the natural breakpoint method, and the results are shown in Figure 13 and Figure 14.
Figure 13.
Spatial distribution of tourist market in Dengfeng city (Hong Kong, Macau and Taiwan excluded).
Figure 14.
Spatial distribution of tourist market in Kaifeng city (Hong Kong, Macau and Taiwan excluded).
Before COVID-19, the core layer of Dengfeng was Henan Province. The sub-core layer included Beijing and Shanghai. The middle layer included Shandong, Jiangsu and Guangdong. After COVID-19, the core layer was also Henan Province. The sub-core layer included Beijing, Shandong and Jiangsu. The middle layer included Zhejiang and Guangdong.
Before COVID-19, the core layer of Kaifeng was Henan Province. The sub-core layer included Beijing and Jiangsu. The middle layer included Liaoning, Hebei, Shandong, Hubei, Zhejiang and Guangdong. After COVID-19, the core layer was Henan Province. The sub-core layer included Beijing, Shandong and Guangdong. The middle layer included Zhejiang and Jiangsu.
3.3. Results of the Driving Factors Analysis of Tourist Market Structure
3.3.1. Results of Driving Factors Analysis of Temporal Heterogeneity of Tourist Market Structure
Based on push–pull theory, leisure time and climate comfort were used to analyze the temporal heterogeneity of the tourist market, and region traffic and residents’ income level were selected for analyzing the spatial heterogeneity of the tourist market. The correlation analysis results were showed in Table 1. It could be seen that before and after the epidemic, actual distance and cognitive distance had been significantly correlated with tourist flow compared to climate comfort and residents’ income level.
Table 1.
Correlations between driving factors and tourist flow of tourist market structure.
- (1)
- Leisure time
Based on the time series graphs of tourist flow, the correlations between leisure time and the tourist market structure of Dengfeng and Kaifeng were analyzed, as shown in Figure 15 and Figure 16.
Figure 15.
Time series graph of tourist flow to Dengfeng.
Figure 16.
Time series graph of tourist flow to Kaifeng.
Before COVID-19, Dengfeng’s tourism flow showed peaks during the holidays. They were manifested in the Qingming Festival, Labor Day, Dragon Boat Festival, summer vacation, Mid-Autumn Festival and National Day. However, after the pandemic, the holiday effect of tourist flow in Dengfeng weakened. But the number of tourists during holidays was still higher than that of non-holidays.
Before COVID-19, Kaifeng’s tourism flow also showed peaks during the holidays. They were manifested in the Spring Festival, Qingming Festival, summer vacation, Mid-Autumn Festival and National Day. However, after the pandemic, the holiday effect of tourist flow in Kaifeng city also weakened. But the tourism demand was still higher than that of non-holidays.
During the holiday, tourists, with moreleisure time, had higher motivation to travel. It can be seen that when the other conditions were the same, the more leisure time tourists had, the more tourism demand there was. However, the holiday effect of tourist flow also weakened due to the pandemic.
- (2)
- Climate comfort
Based on the moisture–temperature index, the correlations between climate comfort and the tourist market structure of Dengfeng and Kaifeng were analyzed, as shown in Figure 17 and Figure 18.
Figure 17.
Correlation between climate comfort and tourist flow in Dengfeng.
Figure 18.
Correlation between climate comfort and tourist flow in Kaifeng.
Before COVID-19, it can be seen that there was a significant positive correlation between climate comfort and tourism flow in Dengfeng, with a value of 0.713. However, after COVID-19, the coefficient of correlation between climate comfort and tourism flow was negative, at 0.06.
Before COVID-19, there was a positive correlation between climate comfort and tourism flow in Kaifeng, and the correlation was 0.535. However, after COVID-19, the coefficient of correlation was low, at 0.523.
Before COVID-19, it can be seen that when the other conditions were the same, the more comfortable the climate, the more tourism demand there was. However, the correlation between people’s willingness to travel and climate comfort has weakened due to the pandemic.
3.3.2. Results of Driving Factors Analysis of Spatial Heterogeneity of Tourist Market Structure
- (1)
- Region traffic
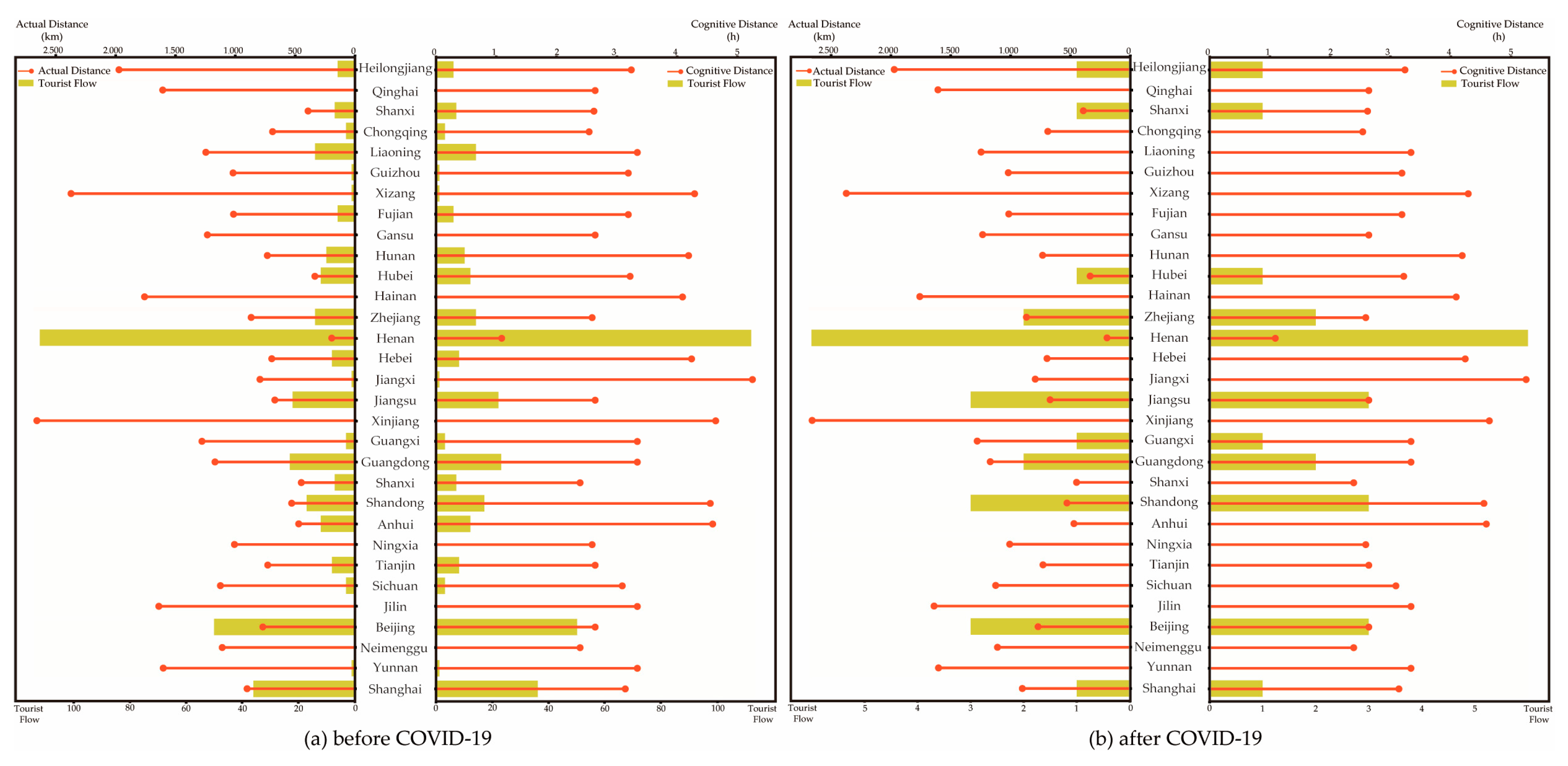
The correlations between tourist flow and actual distance and cognitive distance in Dengfeng and Kaifeng were compared, and the results are shown in Figure 19 and Figure 20.
Figure 19.
Correlation analysis between location traffic and the number of travel diaries in Dengfeng (Hong Kong, Macau and Taiwan excluded).
Figure 20.
Correlation analysis between location traffic and the number of travel diaries in Kaifeng (Hong Kong, Macau and Taiwan excluded).
It can be seen that the actual distance and cognitive distance were significantly negatively correlated with tourist flow in Dengfeng before COVID-19, with correlations of 0.424 and 0.454, respectively. After COVID-19, both the actual and perceived distances were also significantly negatively correlated with visitor flow, with correlation coefficients of 0.394 and 0.407.
It can be seen that the actual distance and cognitive distance were also significantly negatively correlated with tourist flow in Kaifeng, with correlations of 0.464 and 0.451, respectively. After COVID-19, both the actual and perceived distances were also significantly negatively correlated with tourist flow, with correlation coefficients of 0.400 and 0.397.
It can be seen that regardless of the impact of the pandemic, when the other conditions were the same, tourists preferred to choose a tourist destination with a suitable distance to save time and cost. It can be seen that when the other conditions were the same, the farther the actual distance and cognitive distance were, the less travel enthusiasm there was.
- (2)
- Residents’ income level
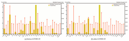
The correlation between the residents’ income level and tourist flow in Dengfeng and Kaifeng was compared, and the results are shown in Figure 21 and Figure 22.
Figure 21.
Correlation analysis of residents’ disposable income and the number of travel diaries in Dengfeng (Hong Kong, Macau and Taiwan excluded).
Figure 22.
Correlation analysis of residents’ disposable income and the number of travel diaries in Kaifeng (Hong Kong, Macau and Taiwan excluded).
Before COVID-19, there was a significant positive correlation in Dengfeng, and the correlation was 0.371. However, after COVID-19, the coefficient of correlation between disposable income and tourism flow was low, at 0.340.
Before COVID-19, there was a significant positive correlation in Kaifeng, and the correlation was 0.414. However, after COVID-19, the coefficient of correlation between disposable income and tourism flow was low, at 0.293.
Before COVID-19, it can be seen that when the other conditions were the same, the higher the residents’ income level, the greater the possibility of residents participating in tourism. However, the correlation between people’s willingness to travel and residents’ income level has weakened due to the pandemic.
4. Discussion
The outbreak of COVID-19 has brought great impacts and changes to tourism in Dengfeng and Kaifeng. After the pandemic, the concentration of time distribution in Dengfeng and Kaifeng showed an increasing trend. Furthermore, the spatial distribution concentration of the tourist market in Dengfeng showed a decreasing trend, while that in Kaifeng showed an increasing trend. In addition to region traffic, the driving effects of leisure time, climate comfort and residents’ income level were weakened after the pandemic.
To reduce the risk of epidemic, tourists would choose to travel at the time when there was no epidemic in the tourist destination. This might be the main reason for the increasing concentration of time distribution of tourist flows in Dengfeng and Kaifeng. In order to balance the tourism off-season, Dengfeng and Kaifeng should focus on the promotion of preferential tickets for attractions during the off-season to create price advantages and increase the intensity of tourist flow. Secondly, the low season of the tourist market was mainly concentrated in winter. Weakening the role of climate resistance and creating special indoor tourism projects such as leisure and sightseeing, famous paintings and exhibitions are also important means to weaken the difference between the low and high seasons. In addition, tourism control in the post-pandemic era cannot be ignored. For example, taking time-sharing travel booking measures is the key way to guide tourists to stagger travel.
With the significant increase in personal space sensitivity brought by the pandemic, tourists tended to choose self-drive tourism and short-distance travel [31]. This might be the main reason for the rising concentration of the spatial distribution of the tourist market in Kaifeng. The city of Dengfeng is home to Shaolin Temple, the birthplace of Chinese kung fu, and Mount Song, one of the Five Mountains. Compared with Kaifeng, which is dominated by humanistic landscape, the brand image of Dengfeng is more prominent. Therefore, the tourist market in Dengfeng recovered faster after the pandemic. This led to a decrease in the concentration of the spatial distribution of the tourist market in Dengfeng. In order to recover the tourist market efficiently and quickly, Dengfeng and Kaifeng should strengthen the promotion and marketing of tourism products and enhance the visibility of tourism products. In addition, making use of the cultural, economic and political ties between Dengfeng and Kaifeng and marginal-layer provinces to develop joint tourism marketing strategies is also an important way to expand the scope of tourist market.
The pandemic presented the normalized characteristics of multi-point distribution. The time of pandemic occurrence and residents’ closure in various provinces was irregular and inconsistent. At the same time, to reduce the risk of infection of the pandemic, tourists tended to choose staggered travel. This might make the correlation between tourist flow intensity and leisure time, climate comfort and residents’ income level weaker. In addition, tourists tended to choose self-driving tours and short-distance travel during the pandemic. This meant that the tourist market distance still had a strong correlation with the intensity of tourist flow. To meet the market demand, Dengfeng and Kaifeng should strengthen the facilities related to self-driving and short-distance travel, and do a good job in guaranteeing the transportation services at tourist destinations. For example, they could strengthen the supply of charging points in scenic parking lots, improve the signs and markings on self-driving roads and appropriately increase the construction of self-driving camps.
In this paper, the time and spatial characteristics of the tourist market of small cities and its driving factors before and after the pandemic were analyzed to reveal the impact of the pandemic on tourism in small cities, identify tourist market demand and optimize tourism product supply. However, COVID-19 is an ongoing hazard and is likely to change in unforeseen ways [32]. Therefore, recovery policies need to be made by comprehensively considering the driving factors, and this will be our main focus in the future. Moreover, this study only used online travel diary data to analyze the market structure of small cities, which may lead to conclusions that are not objective enough. To overcome this limitation, it is essential to combine online travel diary data with geo-tagged photos, cell phone positioning data, Weibo check-in data or official survey data to study regional tourist markets [33].
5. Conclusions
This paper analyzed the time and spatial characteristics of the tourist market and its driving factors before and after COVID-19 in small cities with tourism development potential. Then, the impact of the pandemic on tourism was dissected, and suggestions were made for regional tourism development under the normalization of the pandemic. This paper, using Dengfeng and Kaifeng, China, as the study area and online travel diaries from 2015 to 2021 as the data source, analyzed the time and spatial characteristics of the tourist market and its driving factors before and after the pandemic. First, time series graphs and the time concentration index were chosen to explore the temporal heterogeneity of the tourist market. The geographic concentration index and natural breakpoint method were selected to explore the spatial heterogeneity of the tourist market. Then, the driving factors of spatio-temporal heterogeneity in tourist markets were analyzed based on push–pull theory. The conclusions were as follows:
Firstly, winter was the low season of tourism in Dengfeng and Kaifeng. After the pandemic, the concentration of the time distribution in Dengfeng and Kaifeng showed an upward trend, and the difference between the low and high tourism seasons increased.
Secondly, the tourist markets of Dengfeng and Kaifeng showed a spatial distribution pattern of high in the southeast and low in the northwest. Henan Province was their core tourist market. The spatial distribution concentration of the tourist market in Dengfeng showed a decreasing trend after the pandemic, while that in Kaifeng showed an increasing trend.
Thirdly, region traffic was the main factor affecting the attractiveness and tendency of the tourist market. However, the driving effects of leisure time, climate comfort and residents’ income level weakened after the pandemic.
Finally, Dengfeng and Kaifeng can enhance tourist market convergence by providing special indoor tourism programs, strengthening tourism product promotion and marketing and improving self-driving travel-related facilities.
Author Contributions
Conceptualization, Zhihui Tian; methodology, Yongji Wang and Lili Wu; validation, Yi Liu; formal analysis, Yi Liu; investigation, Yi Liu; data curation, Yi Liu and Kuo Liu; writing—original draft preparation, Yi Liu, Yongji Wang and Lili Wu; writing—review and editing, Yi Liu, Yongji Wang and Lili Wu; visualization, Yi Liu, Kuo Liu and Yongji Wang; supervision, Zhihui Tian; project administration, Zhihui Tian; funding acquisition, Yongji Wang. All authors have read and agreed to the published version of the manuscript.
Funding
This research was funded by the key scientific research projects of colleges and universities in Henan Province, grant number 22A170021.
Data Availability Statement
The data presented in this study are available from the authors upon reasonable request.
Acknowledgments
The authors would like to acknowledge all of the reviewers and editors.
Conflicts of Interest
The authors declare no conflict of interest.
References
- Lu, I.Y. Evaluating Competitive Ability of Tourism Enterprise by Using MTP-MCDM Technology for Resource-Based Viewpoint. Math. Probl. Eng. 2022, 2022, 12. [Google Scholar] [CrossRef]
- Song, T.; Zhou, J.; Cai, J.; Luo, X.; Xie, L.; Song, Z. Domestic tourists’preference to Kashi City, China based on correspondence analysis. J. Arid. Land Resour. Environ. 2013, 27, 173–178. [Google Scholar]
- Ning, Z.; Yang, L.; Zhong, L. Space-Time Characteristics of the Chinese Land Border Inbound Tourist Market. Resour. Sci. 2014, 36, 1125–1132. [Google Scholar]
- Abbott, A.; De Vita, G.; Altinay, L. Revisiting the convergence hypothesis for tourism markets: Evidence from Turkey using the pairwise approach. Tour. Manag. 2012, 33, 537–544. [Google Scholar] [CrossRef]
- Njiraini, P.; Mwongera, N.; Kiarie, S.W.; Wang’ombe, H. Assessment of kenya’s tourist source markets. J. Travel Tour. Mark. 2015, 32, 971–989. [Google Scholar] [CrossRef]
- Rong, H.; Tao, Z.; Li, T.; Lu, S.; Pu, R. Spatial-Temporal Evolution and Influencing Factors of Rural Tourist Market in Southern Jiangsu Based on Network Data. Geogr. Geo-Inf. Sci. 2020, 36, 71–77. [Google Scholar]
- Narayan, P.K. Are Australia’s tourism markets converging? Appl. Econ. 2006, 38, 1153–1162. [Google Scholar] [CrossRef]
- Agazade, S.; Tukenmez, E.G.; Uzun, M. Is the volatility of international tourism revenues affected by tourism source market structure? An empirical analysis of Turkey. Tour. Econ. 2021, 29, 291–304. [Google Scholar] [CrossRef]
- Anabila, P.; Achiriga, V.; Okpattah, B.; Asare, S. Market orientation and behavioural intentions of tourists in Ghana’s tourist destinations: The mediation role of tourist satisfaction. J. Strat. Mark. 2023, 31, 99–115. [Google Scholar] [CrossRef]
- Romao, J.; Neuts, B.; Nijkamp, P.; van Leeuwen, E. Culture, product differentiation and market segmentation: A structural analysis of the motivation and satisfaction of tourists in Amsterdam. Tour. Econ. 2015, 21, 455–474. [Google Scholar] [CrossRef]
- Kim, S.S.; Prideaux, B. Marketing implications arising from a comparative study of international pleasure tourist motivations and other travel-related characteristics of visitors to Korea. Tour. Manag. 2005, 26, 347–357. [Google Scholar] [CrossRef]
- Bizzarri, C.; Ceschin, F.M. The tourist attractivity of Italy in post Covid-19 scenario. Doc. Geogr. 2020, 1, 515–527. [Google Scholar] [CrossRef]
- Dimitrovski, D.; Sulyok, J.; Papp, Z. Balaton Lake (virtual) projected and perceived destination image amid COVID-19 pandemic. Tour. Hosp. Res. 2022, 15, 14673584221103365. [Google Scholar] [CrossRef]
- Gallego, I.; Font, X.; Gonzalez-Rodriguez, M.R. The impact of COVID-19 on European tourists’ attitudes to air travel and the consequences for tourist destination evoked set formation. Tour. Manag. Perspect. 2022, 41, 11. [Google Scholar] [CrossRef]
- Sanchez, M.M. Tourist Flows, Geopolitics and COVID-19: When International Tourists are Transmission Vectors. Geopoliticas 2020, 11, 105–114. [Google Scholar] [CrossRef]
- Tao, C.; Cheng, D.; Wang, Y. The Tourism Image Planning Model and Empirical Research of the Cultural Heritage: Based on the Measurement of the Image Perception Deviation. J. Chongqing Norm. Univ. Nat. Sci. Ed. 2013, 30, 120–127. [Google Scholar]
- Popescu, A. The impact of COVID-19 pandemic on romania’s tourist flows in the year 2020. Sci. Pap.-Ser. Manag. Econ. Eng. Agric. Rural Dev. 2021, 21, 655–666. [Google Scholar]
- Zhu, M. Analysis of the impact of COVID-19 on tourism in Yunnan Province and countermeasures. Mod. Bus. Trade Ind. 2020, 41, 3–4. [Google Scholar]
- Wang, X.S.; Tang, L.; Chen, W.; Zhang, J.X. Impact and Recovery of Coastal Tourism Amid COVID-19: Tourism Flow Networks in Indonesia. Sustainability 2022, 14, 13480. [Google Scholar] [CrossRef]
- Hu, H.; Wang, J.; Jin, F. Tourism Potential Analysis of the Medium and Small-sized Cultural Tourist Cities Based on Accessibility. Prog. Geogr. 2012, 31, 808–816. [Google Scholar]
- Tian, Z.H.; Liu, Y.; Wang, Y.J.; Wu, L.L. A Tourist Behavior Analysis Framework Guided by Geo-Information Tupu Theory and Its Application in Dengfeng City, China. ISPRS Int. J. Geo-Inf. 2022, 11, 250. [Google Scholar] [CrossRef]
- Mou, N.; Zheng, Y.; Makkonen, T.; Yang, T.; Tang, J.; Song, Y. Tourists’ digital footprint: The spatial patterns of tourist flows in Qingdao, China. Tour. Manag. 2020, 81, 104151. [Google Scholar] [CrossRef]
- Bai, G.; Shen, Y.; Gao, L. A Weibo Data-Based Analysis of Spatio-Temporal Change of Tourism Flows in Guilin. J. Southwest Univ. Nat. Sci. Ed. 2021, 43, 71–80. [Google Scholar]
- Yan, S.J.; Wang, D.L. Time Series Analysis based on Visibility Graph Theory. In Proceedings of the 7th International Conference on Intelligent Human-Machine Systems and Cybernetics (IHMSC), Hangzhou, China, 26–27 August 2015. [Google Scholar]
- Xie, H.; Li, Y.; Wei, Y. Influencing Factors and Spatial Distribution of the Characteristic Towns in Zhejiang Province. Sci. Geogr. Sin. 2018, 38, 1283–1291. [Google Scholar]
- Xinyue, W.; Chanchan, C. Domestic Tourist Market Structure and Spatial-temporal Characteristics of Tourism Flow in Qingdao City Based on Online Travel Notes. Sci. Geogr. Sin. 2019, 39, 1919–1928. [Google Scholar]
- Dann, G.M.S. Anomie, ego-enhancement and tourism. Ann. Tour. Res. 1977, 4, 184–194. [Google Scholar] [CrossRef]
- Wang, D.G. Push-pull factors in mountain resorts-a Case Study of Huangshan Mountain as World Heritage. Chin. Geogr. Sci. 2004, 14, 368–376. [Google Scholar] [CrossRef]
- Zheng, P.; Ma, Y.; Wang, J.; Li, J.; Yang, M. A study of the influencing factors of the inbound tourists from the U.S.A. based on “push-pull” theory. Hum. Geogr. 2010, 5, 112–117. [Google Scholar]
- Yan, S.; Dong, T.; Du, H.; Lin, X. Evaluation of Tourism Climate Comfort in Sichuan Province. Plateau Mt. Meteorol. Res. 2019, 39, 74–80. [Google Scholar]
- Du, J.; Zhang, Y. The “City-Suburb” Tourist Flow Network Structure Characteristics in the Guangdong-Hong Kong-Macao Greater Bay Area in the Post-Pandemic Era: Analysis Based on the Network Digital Footprint. Trop. Geogr. 2022, 42, 1931–1942. [Google Scholar]
- Garg, M.; Maralakunte, M.; Garg, S.; Dhooria, S.; Sehgal, I.; Bhalla, A.S.; Vijayvergiya, R.; Grover, S.; Bhatia, V.; Jagia, P.; et al. The Conundrum of ‘Long-COVID-19’: A Narrative Review. Int. J. Gen. Med. 2021, 14, 2491–2506. [Google Scholar] [CrossRef] [PubMed]
- Leung, X.Y.; Wang, F.; Wu, B.H.; Bai, B.; Stahura, K.A.; Xie, Z.H. A Social Network Analysis of Overseas Tourist Movement Patterns in Beijing: The Impact of the Olympic Games. Int. J. Tour. Res. 2012, 14, 469–484. [Google Scholar] [CrossRef]
Disclaimer/Publisher’s Note: The statements, opinions and data contained in all publications are solely those of the individual author(s) and contributor(s) and not of MDPI and/or the editor(s). MDPI and/or the editor(s) disclaim responsibility for any injury to people or property resulting from any ideas, methods, instructions or products referred to in the content. |
© 2023 by the authors. Licensee MDPI, Basel, Switzerland. This article is an open access article distributed under the terms and conditions of the Creative Commons Attribution (CC BY) license (https://creativecommons.org/licenses/by/4.0/).





















