Geohazards Susceptibility Assessment along the Upper Indus Basin Using Four Machine Learning and Statistical Models
Abstract
1. Introduction
2. Materials and Methods
2.1. Study Area
2.2. Data Collection
2.3. Geohazards Inventory
2.4. Methodology
2.4.1. Multicollinearity
2.4.2. Logistic Regression (LR)
2.4.3. Weights-of-Evidence (WoE)
2.4.4. Frequency Ratio (FR)
2.4.5. Shannon Entropy (SE)
2.4.6. Model Validation
3. Results and Discussion
3.1. Application of Logistic Regression
3.2. Application of Weights-of-Evidence
3.3. Application of Frequency Ratio
3.4. Application of Shannon Entropy
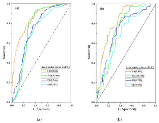
3.5. Validation of Geohazards Susceptibility Maps
3.6. Model’s Results Comparison
3.7. Pixel-Wise Spatial Distribution of Susceptibility Class Comparison
4. Conclusions
- The LR results suggested that distance to faults, slope, elevation, geology, LC, and rainfall are the most significant parameters controlling geohazards occurrence in the study area.
- According to the AUROC curve, the LR model showed the highest accuracy with an AUROC value of 85.30%, closely followed by the WoE model (76.00%), FR model (74.60%), and SE model (71.40%). Likewise, the prediction rate of the LR model was 83.10%. Thus, the LR model can be considered more accurate than the other three models.
- According to the LR model, 30.25%, 39.14%, 10.18%, 9.24%, and 11.19% of the area have very low, low, moderate, high, and very high susceptibility to geohazards, respectively.
Author Contributions
Funding
Data Availability Statement
Acknowledgments
Conflicts of Interest
References
- Dowling, C.A.; Santi, P.M. Debris flows and their toll on human life: A global analysis of debris-flow fatalities from 1950 to 2011. Nat. Hazards 2014, 71, 203–227. [Google Scholar] [CrossRef]
- Petley, D. Global patterns of loss of life from landslides. Geology 2012, 40, 927–930. [Google Scholar] [CrossRef]
- Hewitt, K. Catastrophic landslides and their effects on the Upper Indus streams, Karakoram Himalaya, northern Pakistan. Geomorphology 1998, 26, 47–80. [Google Scholar] [CrossRef]
- Khattak, G.A.; Owen, L.A.; Kamp, U.; Harp, E.L. Evolution of earthquake-triggered landslides in the Kashmir Himalaya, northern Pakistan. Geomorphology 2010, 115, 102–108. [Google Scholar] [CrossRef]
- Clayton, A.; Stead, D.; Kinakin, D.; Wolter, A. Engineering geomorphological interpretation of the Mitchell Creek Landslide, British Columbia, Canada. Landslides 2017, 14, 1655–1675. [Google Scholar] [CrossRef]
- Khanal, N.R.; Watanabe, T. Landslide and debris flow in the Himalayas: A case study of the Madi Watershed in Nepal. Himal. J. Sci. 2006, 2, 180–181. [Google Scholar] [CrossRef][Green Version]
- Ma, C.; Wu, X.; Li, B.; Hu, X. The susceptibility assessment of multi hazard in the Pearl River Delta Economic Zone, China. Nat. Hazards Earth Sys. Sci. Discuss. 2018. [Google Scholar] [CrossRef]
- Bazai, N.A.; Cui, P.; Zhou, K.J.; Abdul, S.; Cui, K.F.; Wang, H.; Zhang, G.T.; Liu, D.Z. Application of the soil conservation service model in small and medium basins of the mountainous region of Heilongjiang, China. Int. J. Environ. Sci. Technol. 2021, 1–16. [Google Scholar]
- Schuster, R.L.; Highland, L. Socioeconomic and Environmental Impacts of Landslides in the Western Hemisphere; US Department of the Interior, US Geological Survey: Denver, CO, USA, 2001.
- Alimohammadlou, Y.; Najafi, A.; Yalcin, A. Landslide process and impacts: A proposed classification method. Catena 2013, 104, 219–232. [Google Scholar] [CrossRef]
- Del Soldato, M.; Di Martire, D.; Bianchini, S.; Tomás, R.; De Vita, P.; Ramondini, M.; Casagli, N.; Calcaterra, D. Assessment of landslide-induced damage to structures: The Agnone landslide case study (southern Italy). Bull. Int. Assoc. Eng. Geol. 2019, 78, 2387–2408. [Google Scholar] [CrossRef]
- Migoń, P.; Kasprzak, M.; Traczyk, A. How high-resolution DEM based on airborne LiDAR helped to reinterpret landforms—Examples from the Sudetes, SW Poland. Landf. Anal. 2013, 22, 89–101. [Google Scholar] [CrossRef]
- Sassa, K. The 2017 Ljubljana Declaration on landslide risk reduction and the Kyoto 2020 Commitment for global promotion of understanding and reducing landslide disaster risk. Landslides 2017, 14, 1289–1296. [Google Scholar] [CrossRef][Green Version]
- Ayalew, L.; Yamagishi, H. The application of GIS-based logistic regression for landslide susceptibility mapping in the Kakuda-Yahiko Mountains, Central Japan. Geomorphology 2005, 65, 15–31. [Google Scholar] [CrossRef]
- Akbar, T.A.; Ha, S.R. Landslide hazard zoning along Himalayan Kaghan Valley of Pakistan—by integration of GPS, GIS, and remote sensing technology. Landslides 2011, 8, 527–540. [Google Scholar] [CrossRef]
- Reis, S.; Yalcin, A.; Atasoy, M.; Nisanci, R.; Bayrak, T.; Erduran, M.; Sancar, C.; Ekercin, S. Remote sensing and GIS-based landslide susceptibility mapping using frequency ratio and analytical hierarchy methods in Rize province (NE Turkey). Environ. Earth Sci. 2011, 66, 2063–2073. [Google Scholar] [CrossRef]
- Chalkias, C.; Ferentinou, M.; Polykretis, C. GIS-Based Landslide Susceptibility Mapping on the Peloponnese Peninsula, Greece. Geosciences 2014, 4, 176–190. [Google Scholar] [CrossRef]
- Hervás, J.; Bobrowsky, P. Mapping: Inventories, Susceptibility, Hazard and Risk. In Landslides–Disaster Risk Reduction; Springer Science and Business Media LLC.: Berlin/Heidelberg, Germany, 2008; pp. 321–349. [Google Scholar]
- Liucci, L.; Melelli, L.; Suteanu, C.; Ponziani, F. The role of topography in the scaling distribution of landslide areas: A cellular automata modeling approach. Geomorphology 2017, 290, 236–249. [Google Scholar] [CrossRef]
- Baharvand, S.; Rahnamarad, J.; Soori, S.; Saadatkhah, N. Landslide susceptibility zoning in a catchment of Zagros Mountains using fuzzy logic and GIS. Environ. Earth Sci. 2020, 79, 1–10. [Google Scholar] [CrossRef]
- Peng, D.; Xu, Q.; Liu, F.; He, Y.; Zhang, S.; Qi, X.; Zhao, K.; Zhang, X. Distribution and failure modes of the landslides in Heitai terrace, China. Eng. Geol. 2018, 236, 97–110. [Google Scholar] [CrossRef]
- Mirdda, H.A.; Bera, S.; Siddiqui, M.A.; Singh, B. Analysis of bi-variate statistical and multi-criteria decision-making models in landslide susceptibility mapping in lower Mandakini Valley, India. GeoJournal 2019, 85, 681–701. [Google Scholar] [CrossRef]
- Gariano, S.L.; Guzzetti, F. Landslides in a changing climate. Earth Sci. Rev. 2016, 162, 227–252. [Google Scholar] [CrossRef]
- Saha, A.; Saha, S. Comparing the efficiency of weight of evidence, support vector machine and their ensemble approaches in landslide susceptibility modelling: A study on Kurseong region of Darjeeling Himalaya, India. Remote. Sens. Appl. Soc. Environ. 2020, 19, 100323. [Google Scholar] [CrossRef]
- Nefeslioglu, H.A.; Gokceoglu, C.; Sonmez, H. An assessment on the use of logistic regression and artificial neural networks with different sampling strategies for the preparation of landslide susceptibility maps. Eng. Geol. 2008, 97, 171–191. [Google Scholar] [CrossRef]
- Kavzoglu, T.; Sahin, E.K.; Colkesen, I. Landslide susceptibility mapping using GIS-based multi-criteria decision analysis, support vector machines, and logistic regression. Landslides 2013, 11, 425–439. [Google Scholar] [CrossRef]
- Segoni, S.; Rosi, A.; Lagomarsino, D.; Fanti, R.; Casagli, N. Brief communication: Using averaged soil moisture estimates to improve the performances of a regional-scale landslide early warning system. Nat. Hazards Earth Syst. Sci. 2018, 18, 807–812. [Google Scholar] [CrossRef]
- Shahri, A.A.; Spross, J.; Johansson, F.; Larsson, S. Landslide susceptibility hazard map in southwest Sweden using artificial neural network. Catena 2019, 183, 104225. [Google Scholar] [CrossRef]
- Acharya, T.D.; Lee, D.H. Landslide Susceptibility Mapping using Relative Frequency and Predictor Rate along Araniko Highway. Ksce J. Civ. Eng. 2018, 23, 763–776. [Google Scholar] [CrossRef]
- Sharma, L.P.; Patel, N.; Ghose, M.K.; Debnath, P. Influence of Shannon’s entropy on landslide-causing parameters for vulnerability study and zonation—a case study in Sikkim, India. Arab. J. Geosci. 2010, 5, 421–431. [Google Scholar] [CrossRef]
- Akgun, A. A comparison of landslide susceptibility maps produced by logistic regression, multi-criteria decision, and likelihood ratio methods: A case study at İzmir, Turkey. Landslides 2011, 9, 93–106. [Google Scholar] [CrossRef]
- Vakhshoori, V.; Zare, M. Landslide susceptibility mapping by comparing weight of evidence, fuzzy logic, and frequency ratio methods. Geomat. Nat. Hazards Risk 2015, 7, 1731–1752. [Google Scholar] [CrossRef]
- Akgun, A.; Dag, S.; Bulut, F. Landslide susceptibility mapping for a landslide-prone area (Findikli, NE of Turkey) by likelihood-frequency ratio and weighted linear combination models. Environ. Earth Sci. 2008, 54, 1127–1143. [Google Scholar] [CrossRef]
- Ahmed, M.F.; Rogers, J.D.; Ismail, E.H. A regional level preliminary landslide susceptibility study of the upper Indus river basin. Eur. J. Remote Sens. 2017, 47, 343–373. [Google Scholar] [CrossRef]
- Derbyshire, E.; Fort, M.; Owen, L.A. Geomorphological Hazards along the Karakoram Highway: Khunjerab Pass to the Gilgit River, Northernmost Pakistan (Geomorphologische Hazards entlang des Karakorum Highway: Khunjerab Paß bis zum Gilgit River, nördlichstes Pakistan). Erdkunde 2001, 49–71. [Google Scholar] [CrossRef]
- Kamp, U.; Growley, B.J.; Khattak, G.A.; Owen, L.A. GIS-based landslide susceptibility mapping for the 2005 Kashmir earthquake region. Geomorphology 2008, 101, 631–642. [Google Scholar] [CrossRef]
- Bacha, A.S.; Shafique, M.; van der Werff, H. Landslide inventory and susceptibility modelling using geospatial tools, in Hunza-Nagar valley, northern Pakistan. J. Mt. Sci. 2018, 15, 1354–1370. [Google Scholar] [CrossRef]
- Ali, S.; Biermanns, P.; Haider, R.; Reicherter, K. Landslide susceptibility mapping by using a geographic information system (GIS) along the China–Pakistan Economic Corridor (Karakoram Highway), Pakistan. Nat. Hazards Earth Syst. Sci. 2019, 19, 999–1022. [Google Scholar] [CrossRef]
- Khan, H.; Shafique, M.; Khan, M.A.; Bacha, M.A.; Shah, S.U.; Calligaris, C. Landslide susceptibility assessment using Frequency Ratio, a case study of northern Pakistan. Egypt. J. Remote Sens. Space Sci. 2019, 22, 11–24. [Google Scholar] [CrossRef]
- Zeitler, P.K. Cooling history of the NW Himalaya, Pakistan. Tectonics 1985, 4, 127–151. [Google Scholar] [CrossRef]
- Jade, S.; Bhatt, B.; Yang, Z.; Bendick, R.; Gaur, V.; Molnar, P.; Anand, M.; Kumar, D. GPS measurements from the Ladakh Himalaya, India: Preliminary tests of plate-like or continuous deformation in Tibet. Geol. Soc. Am. Bull. 2004, 116, 1385–1391. [Google Scholar] [CrossRef]
- Goudie, A.; Brundsden, D.; Whalley, W.; Collins, D.; Derbyshire, E. The geomorphology of the Hunza valley, Karakoram mountains, Pakistan. In The International Karakoram Project. International Conference; Cambridge University Press: Cambridge, UK, 1984; pp. 359–410. [Google Scholar]
- DiPietro, J.A.; Pogue, K.R. Tectonostratigraphic subdivisions of the Himalaya: A view from the west. Tectonics 2004, 23. [Google Scholar] [CrossRef]
- Yeats, R.S.; Lillie, R.J. Contemporary tectonics of the Himalayan frontal fault system: Folds, blind thrusts and the 1905 Kangra earthquake. J. Struct. Geol. 1991, 13, 215–225. [Google Scholar] [CrossRef]
- Izaz, A.; Su, L.; Aamir, A.; Mehtab, A.; Liu, Z.; Dong, Z.; Hamid, F. Numerical analysis of rockfall and slope stability along the Karakorum Highway in Jijal-Pattan. J. Civ. Environ. Eng. 2021, 43, 36–47. [Google Scholar]
- Ali, S.; Schneiderwind, S.; Reicherter, K. Structural and Climatic Control of Mass Movements Along the Karakoram Highway. In Workshop on World Landslide Forum; Springer: Cham, Switzerland, 2017. [Google Scholar] [CrossRef]
- Bazai, N.A.; Cui, P.; Carling, P.A.; Wang, H.; Hassan, J.; Liu, D.; Zhang, G.; Wen, J. Increasing glacial lake outburst flood hazard in response to surge glaciers in the Karakoram. Earth Sci. Rev. 2020, 103432. [Google Scholar] [CrossRef]
- Shroder, J. Quaternary glaciation of the Karakoram and Nanga Parbat Himalaya. In Himalaya Sea; Routledge: London, UK, 1993. [Google Scholar]
- Kazmi, A.H.; Jan, M.Q. Geology and Tectonics of Pakistan; Graphic Publishers, 1997. Available online: https://books.google.com.sg/books?id=tImVAAAACAAJ (accessed on 2 February 2021).
- Hewitt, K.; Gosse, J.; Clague, J.J. Rock avalanches and the pace of late Quaternary development of river valleys in the Karakoram Himalaya. Bulletin 2011, 123, 1836–1850. [Google Scholar] [CrossRef]
- Hepdeniz, K. Using the analytic hierarchy process and frequency ratio methods for landslide susceptibility mapping in Isparta-Antalya highway (D-685), Turkey. Arab. J. Geosci. 2020, 13. [Google Scholar] [CrossRef]
- Kuradusenge, M.; Kumaran, S.; Zennaro, M. Rainfall-Induced Landslide Prediction Using Machine Learning Models: The Case of Ngororero District, Rwanda. Int. J. Environ. Res. Public Health 2020, 17, 4147. [Google Scholar] [CrossRef]
- Catani, F.; Lagomarsino, D.; Segoni, S.; Tofani, V. Landslide susceptibility estimation by random forests technique: Sensitivity and scaling issues. Nat. Hazards Earth Syst. Sci. 2013, 13, 2815–2831. [Google Scholar] [CrossRef]
- Li, L.; Bakelants, L.; Solana, C.; Canters, F.; Kervyn, M. Dating lava flows of tropical volcanoes by means of spatial modeling of vegetation recovery. Earth Surf. Process. Landf. 2018, 43, 840–856. [Google Scholar] [CrossRef]
- Intarawichian, N.; Dasananda, S. Analytical hierarchy process for landslide susceptibility mapping in lower mae chaem watershed, Northern Thailand. Suranaree J. Sci. Technol. 2010, 17, 1–16. [Google Scholar]
- Hengl, T.; Reuter, H.I. Geomorphometry: Concepts, Software, Applications; Newnes: Boston, MA, USA, 2008. [Google Scholar]
- Peduzzi, P. Landslides and vegetation cover in the 2005 North Pakistan earthquake: A GIS and statistical quantitative approach. Nat. Hazards Earth Syst. Sci. 2010, 10, 623–640. [Google Scholar] [CrossRef]
- Hearn, G.J.; Hart, A.B. Geomorphological Contributions to Landslide Risk Assessment. Develop. Earth Surf. Process. 2011, 15, 107–148. [Google Scholar]
- Kayastha, P.; Dhital, M.; De Smedt, F. Application of the analytical hierarchy process (AHP) for landslide susceptibility mapping: A case study from the Tinau watershed, west Nepal. Comput. Geosci. 2013, 52, 398–408. [Google Scholar] [CrossRef]
- Gao, J.; Sang, Y. Identification and estimation of landslide-debris flow disaster risk in primary and middle school campuses in a mountainous area of Southwest China. Int. J. Disaster Risk Reduct. 2017, 25, 60–71. [Google Scholar] [CrossRef]
- Myronidis, D.; Papageorgiou, C.; Theophanous, S. Landslide susceptibility mapping based on landslide history and analytic hierarchy process (AHP). Nat. Hazards 2016, 81, 245–263. [Google Scholar] [CrossRef]
- Dolidon, N.; Hofer, T.; Jansky, L.; Sidle, R. Watershed and Forest Management for Landslide Risk Reduction. In Landslides—Disaster Risk Reduction; Metzler, J.B., Ed.; Springer: Berlin/Heidelberg, Germany, 2008; pp. 633–649. [Google Scholar]
- Forbes, K.; Broadhead, J.; Brardinoni, A.D.; Gray, D.; Stokes, B.V. Forests and landslides: The role of trees and forests in the prevention of landslides and rehabilitation of landslide-affected areas in Asia Second edition. Rap Publ. 2013, 2, 1–61. [Google Scholar]
- Dai, F.; Lee, C. Landslide characteristics and slope instability modeling using GIS, Lantau Island, Hong Kong. Geomorphology 2002, 42, 213–228. [Google Scholar] [CrossRef]
- Ortiz, J.A.V.; Martínez-Graña, A.M. A neural network model applied to landslide susceptibility analysis (Capitanejo, Colombia). Geomat. Nat. Hazards Risk 2018, 9, 1106–1128. [Google Scholar] [CrossRef]
- Toebe, M.; Filho, A.C. Multicollinearity in path analysis of maize (Zea mays L.). J. Cereal Sci. [CrossRef]
- O’Brien, R.M. A Caution Regarding Rules of Thumb for Variance Inflation Factors. Qual. Quant. 2007, 41, 673–690. [Google Scholar] [CrossRef]
- Polykretis, C.; Chalkias, C. Comparison and evaluation of landslide susceptibility maps obtained from weight of evidence, logistic regression, and artificial neural network models. Nat. Hazards 2018, 93, 249–274. [Google Scholar] [CrossRef]
- Sahin, E.K.; Colkesen, I.; Kavzoglu, T. A comparative assessment of canonical correlation forest, random forest, rotation forest and logistic regression methods for landslide susceptibility mapping. Geocarto Int. 2018, 35, 341–363. [Google Scholar] [CrossRef]
- Sun, X.; Chen, J.; Bao, Y.; Han, X.; Zhan, J.; Peng, W. Landslide susceptibility mapping using logistic regression analysis along the Jinsha river and its tributaries close to Derong and Deqin County, southwestern China. ISPRS Int. J. Geo Inf. 2018, 7, 438. [Google Scholar] [CrossRef]
- Rasyid, A.R.; Bhandary, N.P.; Yatabe, R. Performance of frequency ratio and logistic regression model in creating GIS based landslides susceptibility map at Lompobattang Mountain, Indonesia. Geoenviron. Disasters 2016, 3, 19. [Google Scholar] [CrossRef]
- Denison, D.G.; Holmes, C.C.; Mallick, B.K.; Smith, A.F. Bayesian Methods for Nonlinear Classification and Regression; John Wiley & Sons: Hoboken, NJ, USA, 2002; Volume 386, pp. 1–296. [Google Scholar]
- Spiegelhalter, D.J.; Knill-Jones, R.P. Statistical and Knowledge-Based Approaches to Clinical Decision-Support Systems, with an Application in Gastroenterology. J. R. Stat. Soc. Ser. A Gen. 1984, 147, 35. [Google Scholar] [CrossRef]
- Bonham-Carter, G.F.; Agterberg, F.P.; Wright, D.F. Integration of geological datasets for gold exploration in Nova Scotia. Digit. Geol. Geogr. Inf. Syst. 1989, 54, 15–23. [Google Scholar] [CrossRef]
- Bonham-Carter, G.F. Geographic information systems for geoscientists-modeling with GIS. Comput. Methods Geosci. 1994, 13, 398. [Google Scholar]
- Van Westen, C.; Rengers, N.; Soeters, R. Use of geomorphological information in indirect landslide susceptibility assessment. Nat. Hazards 2003, 30, 399–419. [Google Scholar] [CrossRef]
- Sharma, S.; Mahajan, A. A comparative assessment of information value, frequency ratio and analytical hierarchy process models for landslide susceptibility mapping of a Himalayan watershed, India. Bull. Eng. Geol. Environ. 2019, 78, 2431–2448. [Google Scholar] [CrossRef]
- Yufeng, S.; Fengxiang, J. Landslide Stability Analysis Based on Generalized Information Entropy. In Proceedings of the 2009 International Conference on Environmental Science and Information Application Technology, Wuhan, China, 4–5 July 2009; Institute of Electrical and Electronics Engineers (IEEE): Piscataway, NJ, USA, 2009; Volume 2, pp. 83–85. [Google Scholar]
- Milaghardan, A.H.; Abbaspour, R.A.; Khalesian, M. Evaluation of the effects of uncertainty on the predictions of landslide occurrences using the Shannon entropy theory and Dempster–Shafer theory. Nat. Hazards 2020, 100, 49–67. [Google Scholar] [CrossRef]
- Ozdemir, A.; Altural, T. A comparative study of frequency ratio, weights of evidence and logistic regression methods for landslide susceptibility mapping: Sultan Mountains, SW Turkey. J. Asian Earth Sci. 2013, 64, 180–197. [Google Scholar] [CrossRef]
- Hassan, J.; Chen, X.; Muhammad, S.; Bazai, N.A. Rock glacier inventory, permafrost probability distribution modeling and associated hazards in the Hunza River Basin, Western Karakoram, Pakistan. Sci. Total Environ. 2021, 782, 146833. [Google Scholar] [CrossRef]
- Eeckhaut, M.V.D.; Vanwalleghem, T.; Poesen, J.; Govers, G.; Verstraeten, G.; Vandekerckhove, L. Prediction of landslide susceptibility using rare events logistic regression: A case-study in the Flemish Ardennes (Belgium). Geomorphology 2006, 76, 392–410. [Google Scholar] [CrossRef]
- Wubalem, A. Landslide susceptibility mapping using statistical methods in Uatzau catchment area, northwestern Ethiopia. Geoenviron. Disasters 2021, 8, 1. [Google Scholar] [CrossRef]
- Collins, T.K. Debris flows caused by failure of fill slopes: Early detection, warning, and loss prevention. Landslides 2008, 5, 107–120. [Google Scholar] [CrossRef]
- Yalcin, A. A geotechnical study on the landslides in the Trabzon Province, NE, Turkey. Appl. Clay Sci. 2011, 52, 11–19. [Google Scholar] [CrossRef]
- Hong, Y.; Adler, R.; Huffman, G. Use of satellite remote sensing data in the mapping of global landslide susceptibility. Nat. Hazards 2007, 43, 245–256. [Google Scholar] [CrossRef]
- Egholm, D.L.; Knudsen, M.F.; Sandiford, M. Lifespan of mountain ranges scaled by feedbacks between landsliding and erosion by rivers. Nature 2013, 498, 475–478. [Google Scholar] [CrossRef]
- Constantin, M.; Bednarik, M.; Jurchescu, M.C.; Vlaicu, M. Landslide susceptibility assessment using the bivariate statistical analysis and the index of entropy in the Sibiciu Basin (Romania). Environ. Earth Sci. 2011, 63, 397–406. [Google Scholar] [CrossRef]
- Tahirkheli, R.K. The India-Eurasia suture zone in northern Pakistan: Synthesis and interpretation of recent data at plate scale. Geodyn. Pak. 1979, 125–130. [Google Scholar]
- DiPietro, J.A.; Hussain, A.; Ahmad, I.; Khan, M.A. The Main Mantle Thrust in Pakistan: Its character and extent. Geol. Soc. Lond. Spec. Publ. 2000, 170, 375–393. [Google Scholar] [CrossRef]
- Benchelha, S.; Chennaoui Aoudjehane, H.; Hakdaoui, M.; El Hamdouni, R.; Mansouri, H.; Benchelha, T.; Layelmam, M.; Alaoui, M. Landslide Susceptibility Mapping in the Municipality of Oudka, Northern Morocco: A Comparison between Logistic Regression and Artificial Neural Networks Models. ISPRS Int. Arch. Photogramm. Remote Sens. Spat. Inf. Sci. 2019, XLII-4/W12, 41–49. [Google Scholar] [CrossRef]
- Nijmeijer, R.; de Haas, A.; Dost, R.; Budde, P. ILWIS 3.0 Academic: User’s Guide. 2001. Available online: https://www.itc.nl/ilwis/users-guide/ (accessed on 2 February 2021).
- Islam, M.; Sado, K. Development of flood hazard maps of Bangladesh using NOAA-AVHRR images with GIS. Hydrol. Sci. J. 2000, 45, 337–355. [Google Scholar] [CrossRef]
- Ochi, S.; Rahman, N.; Kakiuchi, H. A Study on Flood Risk Evaluation in Bangladesh using Remote Sensing and GIS. J. Jpn. Soc. Photogramm. Remote. Sens. 1991, 30, 34–38. [Google Scholar] [CrossRef][Green Version]
- Park, S.; Choi, C.; Kim, B.; Kim, J. Landslide susceptibility mapping using frequency ratio, analytic hierarchy process, logistic regression, and artificial neural network methods at the Inje area, Korea. Environ. Earth Sci. 2012, 68, 1443–1464. [Google Scholar] [CrossRef]
- Rahim, I.; Ali, S.M.; Aslam, M. GIS Based Landslide Susceptibility Mapping with Application of Analytical Hierarchy Process in District Ghizer, Gilgit Baltistan Pakistan. J. Geosci. Environ. Prot. 2018, 6, 34–49. [Google Scholar] [CrossRef]
- Kanwal, S.; Atif, S.; Shafiq, M. GIS based landslide susceptibility mapping of northern areas of Pakistan, a case study of Shigar and Shyok Basins. Geomat. Nat. Hazards Risk 2016, 8, 348–366. [Google Scholar] [CrossRef]











| Map Symbol (Figure 2) | Geological Age | Major Rocks | Dominant Lithology |
|---|---|---|---|
| Ns | Neogene | Sedimentary rocks | Sandstone, siltstone, conglomerates and mudstone |
| Pg | Paleogene | Metamorphic and igneous rocks | Mostly Granite and finely foliated gneisses |
| Q | Quaternary | Sedimentary rocks | Sandstone, siltstone, conglomerates and loess |
| Ts | Tertiary | Meta-sedimentary rocks | Garnet-bearing graphitic phyllite, and marble |
| Ks | Miocene to cretaceous | Batholith and plutons | Granite, granodiorites, hornblende gabbro |
| Tkim | Miocene to cretaceous | Igneous and metamorphic rocks | granite, granodiorites, diorite and granitic gneiss |
| Gr | Tertiary | Undifferentiated | Granites |
| Tks | Miocene to cretaceous | Metamorphic rocks | Younger tertiary Gabbros, diorite and granite and pegmatites |
| Mz | Jurassic and cretaceous | Sedimentary rocks | Sandstone, shale and limestone |
| Jtr | Jurassic and Triassic | Igneous rocks | Arc-related calc-alkaline andesite and volcanic formations |
| Trcs | Lower Triassic to upper carboniferous | Igneous rocks | Alkaline and tourmaline Granite, Syenite with miner carbonates |
| Trms | Mesozoic toPaleozoic | Meta-sedimentary rocks | Sandstone, shale quartzite, limestone, slates, phyllite |
| Mzpzi | Mesozoic and Paleozoic | Intrusive igneous and metamorphic rocks | Volcanic rocks, limestone, red shale, sandstone, quartzite, conglomerate |
| Ig | Permian to carboniferous | Igneous and metamorphic rocks | Alkaline and tourmaline granite, syenite with miner carbonates with medium to low grade metamorphic rocks |
| Pzu | Upper Paleozoic | Igneous rocks | Norite, Pyroxene-gabbros, dunite and peridotites |
| Cs | Carboniferous | Meta-sedimentary and sedimentary rocks | Slates, phyletic slates with subordinate limestone and quartzite |
| D | Devonian | Igneous rocks | Mafic and ultramafic rocks |
| S | Undivided Silurian | Metamorphic and igneous rocks | Volcano-clast sediments metamorphosed green schist, interbedded slates |
| Pz | Paleozoic | Metamorphic rocks | Slate, phyllite and quartzite with gabbro, diorite and granite intrusions |
| Cmsm | Cambrian | Sedimentary and metamorphic rocks | Granite and gneisses |
| Ptz | Archean to Proterozoic | Metamorphic rocks | Gneiss, quartzite and marble |
| Pc | Undivided Precambrian | Metamorphic Rocks | Schistose to Phyllitic quartzite, schist, slate marble |
| Factors | Description | Source/Scale/Resolution | Reference |
|---|---|---|---|
| NDVI | Bare soil/rock is showing maximum exposure to weathering agents as compared to surfaces covered by vegetation. | 30 m×30 m | Li et al. [54], Intarawichian and Dasananda [55] |
| TWI | Higher TWI values indicate the infiltration of water bodies into slope-forming materials and decrease the shear strength of the slope. | 30 m × 30 m | Hengl and Reuter [56] |
| Distance to faults | Tectonic features affect the internal cohesion of the strata and hence reduce their strengths, weakening the geo-mechanical properties, and facilitating the occurrence of slope failures. | Geological survey of Pakistan, and geological survey of China 1:1,000,000 | Peduzzi [57] |
| Elevation | 3D topographic representative and is quite useful in the preparation of many geomorphological variants for hazard mapping | 30 m × 30 m mhttps://earthexplorer.usgs.gov | Ahmed et al. [35] |
| Annual mean rainfall | An important environmental triggering factor of landslides and debris flows | Pakistan Metrological Department | Hearn and Hart [58] |
| Slope (degrees) | Slope angle has a significant importance in influencing slope failure mechanisms. | Extracted from DEM 30 m × 30 m | Kayastha et al. [59] |
| Slope aspect | Slope aspect has an intensified involvement in geohazards as it affects factors such as weathering, exposure to sunlight, snow melt water, precipitation, soil conditions, and land cover | Extracted from DEM 30 m × 30 m | Gao and Sang [60] |
| Profile curvature | Affects the flow pattern on a slope and influence surficial erosion by converging or diverging the flow of runoff down the slope at a particular location | Extracted from DEM 30 m × 30 m | Kayastha et al. [59] |
| Distance to road | The presence of road/highway can cause many geohazards mainly due to changes in slopes stability and shear stress resulting from the excavation, undercutting of the slope, changes in hydrological conditions, and additional loads. The KKH is the main route of the CPEC project that connects Pakistan to China. The KKH is passing through northern Pakistan, where the reconstruction and re-routing are still ongoing. Therefore, only KKH was considered for this study to prepare the distance to the road thematic map. | Extracted from Google earth | Acharya and Lee [29] |
| Distance to rivers | River channels affect slope stability by slope toe erosion and saturating the lower part of the material. | Extracted from Google earth | Myronidis et al. [61] |
| Land cover | Forest plays a key role in minimizing hazards risk through various mechanisms. (roots reinforce soil layers, lowering soil moisture levels and transpiration) | http://maps.elie.ucl.ac.be/CCI/viewer/download.php 300 m × 300 m | Dolidon et al. [62] and Forbes et al. [63] |
| Geological map | Slope-forming materials are characterized by lithology that affects the strength and permeability of the slope. | Geological survey of Pakistan, and geological survey of China Scale- 1:1,000,000 | Dai and Lee [64] |
| Stream Power Index (SPI) | The incidence of SPI shows flow conditions with a medium degree of erosion, a feature that is linked with abrupt topographical changes and steep slopes. | 30 m × 30 m | Valencia Ortiz and Martínez-Graña [65] |
| Factors | Collinearity Test | Factors | Collinearity Test | ||
|---|---|---|---|---|---|
| TOL | VIF | TOL | VIF | ||
| NDVI | 0.849 | 1.178 | Profile curvature | 0.673 | 1.486 |
| TWI | 0.430 | 2.327 | Distance to rivers | 0.576 | 1.735 |
| Distance to faults | 0.760 | 1.316 | Distance to road | 0.701 | 1.427 |
| Elevation | 0.462 | 2.163 | LC | 0.809 | 1.236 |
| Rainfall | 0.732 | 1.365 | Geology | 0.885 | 1.130 |
| Slope | 0.480 | 2.082 | SPI | 0.547 | 1.829 |
| Slope aspect | 0.892 | 1.121 | - | - | - |
| Factor | Class | Values | FR | PR | LR Coefficients | Wj (%) | Ranks | |
|---|---|---|---|---|---|---|---|---|
| NDVI | (i) | −0.651–0.1 | 1.33 | 5.62 | 0.158 | 1.800 | 0.298 | 3 |
| (ii) | 0.1–0.3 | 0.27 | −1.497 | 2 | ||||
| (iii) | 0.3–0.7 | 0.01 | −4.670 | 1 | ||||
| TWI | (i) | 0.44–5 | 1.57 | 3.45 | −0.494 | 0.761 | 0.164 | 3 |
| (ii) | 5–10 | 0.82 | −0.418 | 2 | ||||
| (iii) | 10–28 | 0.25 | −1.483 | 1 | ||||
| Distance to faults (m) | (i) | 0–3000 | 0.54 | 1.22 | −0.120 | −1.026 | 0.372 | 5 |
| (ii) | 3000–6000 | 2.11 | 0.831 | 4 | ||||
| (iii) | 6000–9000 | 1.20 | 0.199 | 1 | ||||
| (iv) | 9000–12,000 | 1.82 | 0.647 | 3 | ||||
| (v) | 12,000–15,000 | 1.97 | 0.722 | 2 | ||||
| (vi) | >15,000 | 1.26 | 0.327 | 6 | ||||
| Elevation (m) | (i) | 0–1000 | 0.01 | 2.98 | −0.508 | −4.600 | 0.571 | 3 |
| (ii) | 1000–2000 | 3.88 | 1.618 | 7 | ||||
| (iii) | 2000–3000 | 4.25 | 1.892 | 8 | ||||
| (iv) | 3000–4000 | 1.45 | 0.468 | 6 | ||||
| (v) | 4000–5000 | 0.15 | −2.146 | 5 | ||||
| (vi) | 5000–6000 | 0.04 | −3.281 | 4 | ||||
| (vii) | 6000–7000 | 0 | −0.010 | 0 | ||||
| (viii) | 7000–8557 | 0 | −0.001 | 0 | ||||
| Rainfall (mm) | (i) | 0–250 | 0 | 2.69 | −0.388 | −0.010 | 0.186 | 0 |
| (ii) | 250–500 | 1 | −0.003 | 4 | ||||
| (iii) | 500–750 | 0.93 | −0.112 | 7 | ||||
| (iv) | 750–1000 | 1.00 | −0.001 | 8 | ||||
| (v) | 1000–1250 | 0.78 | −0.283 | 5 | ||||
| (vi) | 1250–1500 | 2.55 | 1.026 | 6 | ||||
| (vii) | 1500–1750 | 0.26 | −1.344 | 3 | ||||
| (viii) | 1750–2157 | 0 | −0.010 | 0 | ||||
| Slope angle (°) | (i) | 0–15 | 0.17 | 1.84 | 1.243 | −2.252 | 0.154 | 2 |
| (ii) | 15–30 | 1 | 0.001 | 4 | ||||
| (iii) | 30–45 | 2 | 1.130 | 5 | ||||
| (iv) | 45–60 | 2.03 | 0.796 | 3 | ||||
| (v) | >60 | 1.83 | 0.609 | 1 | ||||
| Slope aspect | (i) | Flat | 0 | 1.00 | 0 | −5.631 | 0.049 | 1 |
| (ii) | North | 0.94 | −20.071 | −0.067 | 2 | |||
| (iii) | Northeast | 0.74 | −0.664 | −0.339 | 4 | |||
| (iv) | East | 1.04 | −1.457 | 0.040 | 8 | |||
| (v) | Southeast | 1.02 | −1.062 | 0.026 | 7 | |||
| (vi) | South | 0.96 | −1.254 | −0.043 | 6 | |||
| (vii) | Southwest | 1.31 | −0.631 | 0.313 | 10 | |||
| (viii) | West | 1.12 | −0.915 | 0.129 | 9 | |||
| (ix) | Northwest | 0.94 | −0.257 | −0.067 | 5 | |||
| (x) | North | 1.38 | −0.425 | 0.344 | 3 | |||
| Profile curvature | (i) | Concave (−1) | 1.54 | 1.99 | -0.038 | 0.567 | 0.065 | 2 |
| (ii) | Flat (0) | 0.6 | −0.730 | 1 | ||||
| (iii) | Convex (+1) | 1.11 | 0.190 | 3 | ||||
| Distance to river (m) | (i) | 0–1000 | 5.92 | 2.19 | 0.031 | 2.001 | 0.286 | 5 |
| (ii) | 1000–2000 | 3.74 | 1.430 | 4 | ||||
| (iii) | 2000–3000 | 2.22 | 0.844 | 2 | ||||
| (iv) | 3000–4000 | 2.23 | 0.847 | 1 | ||||
| (v) | 4000–5000 | 2.54 | 0.985 | 3 | ||||
| (vi) | >5000 | 0.47 | 4.833 | 6 | ||||
| Distance to roads (m) | (i) | 0–1000 | 8.26 | 1.70 | −0.005 | 2.208 | 0.374 | 5 |
| (ii) | 1000–2000 | 5.01 | 2.663 | 2 | ||||
| (iii) | 2000–3000 | 4.86 | 1.630 | 1 | ||||
| (iv) | 3000–4000 | 6.33 | 1.912 | 4 | ||||
| (v) | 4000–5000 | 5.53 | 1.767 | 3 | ||||
| (vi) | >5000 | 0.68 | −2.177 | 6 | ||||
| LC | (i) | Natural vegetation/Shrub land | 1.18 | 3.59 | 2.878 | 0.663 | 0.240 | 5 |
| (ii) | Forest | 1.88 | 1.644 | 0.690 | 4 | |||
| (iii) | Bare land | 0.42 | 2.256 | −0.982 | 3 | |||
| (iv) | Water bodies | 0 | 0 | −0.004 | 0 | |||
| (v) | Ice/glaciers | 0.13 | −17.846 | −2.140 | 2 | |||
| Geology | (i) | Jtr | 0.93 | 2.89 | 21.561 | −0.077 | 0.651 | 13 |
| (ii) | Ks | 1.44 | 21.616 | 0.367 | 14 | |||
| (iii) | Mzpzi | 2.20 | 0.926 | 0.984 | 21 | |||
| (iv) | Cs | 0 | 0 | −0.003 | 0 | |||
| (v) | Pz | 0.13 | 1.368 | −2.201 | 17 | |||
| (vi) | Ig | 11.27 | 0.643 | 2.501 | 19 | |||
| (vii) | Tkim | 0.89 | 2.339 | −0.102 | 16 | |||
| (viii) | Pc | 0.05 | 2.152 | −2.968 | 12 | |||
| (ix) | Trcs | 0 | 0 | −0.005 | 0 | |||
| (x) | D | 0.81 | −0.694 | −0.215 | 18 | |||
| (xi) | Pzu | 6.41 | 0.082 | 2.082 | 20 | |||
| (xii) | Tks | 0 | 0 | −0.019 | 0 | |||
| (xiii) | Ts | 0 | 0 | −0.006 | 0 | |||
| (xiv) | Cmsm | 0 | 0 | −0.050 | 0 | |||
| (xv) | Trms | 0 | 0 | −0.001 | 0 | |||
| (xvi) | Pg | 0 | −21.675 | −0.004 | 0 | |||
| (xvii) | Q | 2.47 | −19.821 | 1.124 | 22 | |||
| (xviii) | Ns | 0 | −20.141 | −0.058 | 0 | |||
| (xix) | S | 0 | −18.611 | −0.107 | 0 | |||
| (xx) | Gr | 0 | 0.995 | 0.023 | 0 | |||
| (xxi) | Ptz | 0 | 0 | −0.042 | 0 | |||
| (xxii) | Mz | 0.19 | −19.569 | −1.738 | 15 | |||
| SPI | (i) | <0 | 0.80 | 4.10 | −0.120 | −0.333 | 0.223 | 4 |
| (ii) | 0–1 | 0 | −7.318 | 0 | ||||
| (iii) | 1–2 | 0 | −6.054 | 2 | ||||
| (iv) | 2–3 | 0.02 | −0.868 | 3 | ||||
| (v) | > 3 | 1.22 | 0.559 | 5 |
| Susceptibility Maps | LR | WoE | FR | SE |
|---|---|---|---|---|
| LR | 1 | 57.70% | 47.40% | 47.40% |
| WoE | - | 1 | 75.00% | 81.90% |
| FR | - | - | 1 | 89.80% |
| SE | - | - | - | 1 |
Publisher’s Note: MDPI stays neutral with regard to jurisdictional claims in published maps and institutional affiliations. |
© 2021 by the authors. Licensee MDPI, Basel, Switzerland. This article is an open access article distributed under the terms and conditions of the Creative Commons Attribution (CC BY) license (https://creativecommons.org/licenses/by/4.0/).
Share and Cite
Ahmad, H.; Ningsheng, C.; Rahman, M.; Islam, M.M.; Pourghasemi, H.R.; Hussain, S.F.; Habumugisha, J.M.; Liu, E.; Zheng, H.; Ni, H.; et al. Geohazards Susceptibility Assessment along the Upper Indus Basin Using Four Machine Learning and Statistical Models. ISPRS Int. J. Geo-Inf. 2021, 10, 315. https://doi.org/10.3390/ijgi10050315
Ahmad H, Ningsheng C, Rahman M, Islam MM, Pourghasemi HR, Hussain SF, Habumugisha JM, Liu E, Zheng H, Ni H, et al. Geohazards Susceptibility Assessment along the Upper Indus Basin Using Four Machine Learning and Statistical Models. ISPRS International Journal of Geo-Information. 2021; 10(5):315. https://doi.org/10.3390/ijgi10050315
Chicago/Turabian StyleAhmad, Hilal, Chen Ningsheng, Mahfuzur Rahman, Md Monirul Islam, Hamid Reza Pourghasemi, Syed Fahad Hussain, Jules Maurice Habumugisha, Enlong Liu, Han Zheng, Huayong Ni, and et al. 2021. "Geohazards Susceptibility Assessment along the Upper Indus Basin Using Four Machine Learning and Statistical Models" ISPRS International Journal of Geo-Information 10, no. 5: 315. https://doi.org/10.3390/ijgi10050315
APA StyleAhmad, H., Ningsheng, C., Rahman, M., Islam, M. M., Pourghasemi, H. R., Hussain, S. F., Habumugisha, J. M., Liu, E., Zheng, H., Ni, H., & Dewan, A. (2021). Geohazards Susceptibility Assessment along the Upper Indus Basin Using Four Machine Learning and Statistical Models. ISPRS International Journal of Geo-Information, 10(5), 315. https://doi.org/10.3390/ijgi10050315

