Next Article in Journal
Tension-Aware Motion Planning for Tethered Robots
Previous Article in Journal
Agricultural Robotics: A Technical Review Addressing Challenges in Sustainable Crop Production
 
 
Font Type:
Arial Georgia Verdana
Font Size:
Aa Aa Aa
Line Spacing:
Column Width:
Background:
Article

Near Time-Optimal Trajectories with ISO Standard Constraints for Human–Robot Collaboration in Fabric Co-Transportation

1
Department of Information Engineering, Polytechnic University of Marche, 60131 Ancona, Italy
2
Department of Electrical and Information Engineering, Polytechnic of Bari, 70126 Bari, Italy
*
Author to whom correspondence should be addressed.
Robotics 2025, 14(2), 10; https://doi.org/10.3390/robotics14020010
Submission received: 29 November 2024 / Revised: 20 January 2025 / Accepted: 22 January 2025 / Published: 27 January 2025
(This article belongs to the Section Industrial Robots and Automation)

Abstract

Enabling robots to work safely close to humans requires both adherence to safety standards and the development of appropriate strategies to plan and control robot movements in accordance with human movements. Collaboration between humans and robots in a shared environment is a joint activity aimed at completing specific tasks, requiring coordination, synchronisation, and sometimes physical contact, in which each party contributes its own skills and resources. Among the most challenging tasks of human–robot cooperation is the co-transport of deformable materials such as fabrics. This paper proposes a method for generating the trajectory of a collaborative manipulator. The method is designed for the co-transport of materials such as fabrics. It combines a near time-optimal control strategy that ensures responsiveness in following human actions while simultaneously guaranteeing compliance with the safety limits imposed by current regulations. The combination of these two elements results in a viable co-transport solution which preserves the safety of human operators. This is achieved by constraining the path of the robot trajectory with prescribed velocities and accelerations while simultaneously ensuring a near time-optimal control strategy. In short, the robot movement is generated in such a way as to ensure both the tracking of humans in the co-transportation task and compliance with safety limits. As a first attempt to adopt the proposed approach to integrate time-optimal strategies into human–robot interaction, the simulations and preliminary experimental result obtained are promising.

1. Introduction

The advent of Industry 5.0 requires robots capable of supporting humans in manufacturing settings rather than replacing their activities [1]. Typical examples could be tasks such as collaborative transport (co-transport) of rigid or deformable objects [2], or collaborative assembly [3]. Human–robot co-transport of objects evidently implies the need to plan the movement of robots. Robot motion planning is commonly divided into three levels [4]: (i) geometric path planning to avoid obstacles, (ii) trajectory planning to define time evolution along the path, and (iii) path tracking for low-level control. This paper focuses on the second level, particularly when dealing with collaborative or cooperative tasks between humans and robotic systems. In these cases, it becomes necessary to address two non-trivial issues in human–computer interaction, namely, rapid trajectory planning to respond promptly to human actions and human operator safety. Both have requirements that are often difficult to satisfy simultaneously in terms of computational complexity and machine reactivity.
Regarding the first issue, namely, robot trajectory planning, although it is a classical problem widely addressed by the literature [5], in the case of human–machine collaboration tasks it requires less established solutions, and the literature proposes approaches often focused on planning rather than on ensuring both safety and computationally acceptable performance in industrial settings. Robot movements must dynamically adapt to the conditions of the environment [6] that can be changed by human behaviour. Other approaches have focused on coordination among multiple agents with limited communication resources, like in human–robot teams in contexts of cooperative and antagonistic relationships [7]. Some other approaches involve modulation of safety speed during human–robot collaboration, without concern for ensuring high robot performance [8,9]. Other approaches propose real-time trajectory planning [10,11] or re-planning [12], but they are far from being implementable with sampling periods of the order of a few milliseconds. Further approaches aim to estimate human trajectory requests using intention recognition methods and subsequently regulate them through automation [13,14,15]. To determine a joint trajectory between the operator and the robot, these approaches try to identify human behaviour as a reference and control the robot accordingly. Often these approaches are limited to perceive, predict and adjust their actions to the humans’ work plan and effectively avoid collisions with humans [16,17] rather than enabling co-transportation tasks. Different approaches are based on human–robot interaction (HRI), in which a dynamic adjustment of the leader/follower role occurs. They are more suitable for tasks such as co-transporting objects, but often require precise force control for balancing precise positioning with flexible trajectory adaptation. For instance, human–robot role arbitration via differential game theory was recently proposed [18,19], to improve and enlarge capabilities of adaptive impedance/admittance control [20]. However, precise, and expensive force and torque sensors with fine tuning procedures are usually required. Further approaches are based on a kind of cooperative generation of trajectories in human–machine systems, among them, Lasota et al. [21] proposed a Markov decision process for modelling human actions and decisions as a probabilistic transition function. This allows the robot to adapt its actions and states in real time based on human behaviour. Pellegrinelli et al. [22] propose an integrated method of movement planning and scheduling. It provides a set of predefined trajectories for each task and a time interval for the execution of each trajectory. It optimises the sequence and allocation of tasks, minimising the overall time, and using artificial intelligence (AI) to integrate motion planning, task management, and scheduling. These types of approaches usually require some steps to be performed offline. In addition, if they also include artificial intelligence, long offline training phases are often required and limitations in success rates may occur in industrial environments. In the field of hierarchical architectures for human–robot collaboration (HRC), a common approach focuses on higher-level motion planning and input shaping. Rutili de Lima et al., in their survey on humanoid robots [23], identify three critical aspects of multi-level motion and task planning: efficiency, real-time performance, and robustness to perturbations and collisions. In [24], a framework is proposed for task allocation in industrial assembly by using a hierarchical human–robot planning framework. The upper level manages a multi-agent human–robot team, and the lower level manages task execution. Similarly, Ref. [25] introduces a hierarchical HRC architecture to support operators in variable shop-floor tasks. In [26], a Model Predictive Control (MPC) method is used for online motion planning, aiming to maximise the human–robot distance when it falls below a threshold and to adjust task execution based on their relative distance and velocity. These works create a hierarchical policy at planning level and only subsequently is the task plan (trajectory) generated and then provided to the robot controller. Hence, they do not address timely reaction problems with industrial computation times and resources.
Compared to the above-mentioned literature, the novelty that the authors intend to bring with respect to the state of the art is to simplify and make industrially feasible co-transportation using industrial collaborative robots with the following additional requirements: a minimum added hardware endowment (for example, depth images), and a calculation method that allows reaction times fast enough to follow human reactions in co-transportation (the robot follows the human) and that does not require interpretation of human intents with the aid of complex and slow software or hardware solutions, and that allows adequate calculation times with industrially accepted hardware in current commercial robots. On the other hand, as will be discussed further on, the authors also propose to place the issue of human operator safety at the forefront, considering it as a constraint of the trajectory execution system, i.e., of the trajectory control algorithm.
Referring to the second issue, namely, human operator safety, robots need to be reactive to ensure production efficiency but at the same time need to comply with safety standards [27]. Speed Separation Monitoring (SSM) and Power and Force Limiting (PFL) are the two standardised guidelines defined in ISO/TS 15066. The first slows the robot as it gets closer to the human so that the robot can stop before the collision, and the second limits the impact energy in the event of contact. Recently, Lucci et al. [28] defined a framework that combines SSM and PFL, continuously monitoring the robot’s motion state to adjust its speed and adhere to biomechanical limits during contact with the human operator.
Among SSM approaches, Flacco et al. [29] developed an algorithm that uses a depth sensor to estimate the distance and speed of obstacles. The same authors point out that real-time motion planning is often based on potential fields that guide the robot towards its goal while avoiding obstacles through attractive and repulsive forces. In these cases, adaptive real-time motion planning becomes helpful to provide responsive control in robotic systems. Regarding the use of potential fields for SSM approaches, Chen et al. [30] generate attractive and repulsive potentials to avoid collisions. They proposed an algorithm in which attractive and repulsive potential is generated for the robot end effector based on the task specification and obstacle observation. They also enhanced their approach using a K-nearest neighbour (KNN) algorithm to identify the closest points between the robot and obstacles, and a Kalman filter to estimate the obstacles’ position and speed.
On the other hand, among the PFL-based methods, De Santis et al. [31] took a different approach to prevent collisions between the arms of a dual arm robot by applying a reactive force proportional to the minimum distance. Despite these advancements, robots continue to struggle in unstructured environments due to the lack of reliable systems that effectively integrate perception and real-time control. In response to this challenge, Turbure et al. [32] propose a robust perception algorithm combined with a collision avoidance strategy that integrates local artificial potential fields with global elastic planning, ensuring convergence toward the goal.
In addition, Liu et al. [33] proposed a hierarchical control method in real time, based on two optimal real-time controllers for safe human–robot collaboration. They, respectively, adopt an upper-level Model Predictive Controller (MPC) to handle main tasks. These tasks include pose tracking and joint limit avoidance. Instead, a lower-level controller is formulated as a constrained quadratic programming problem. It ensures adherence to safety constraints through stochastic barrier functions. This controller continuously optimises a sequence of control actions over a finite time horizon, applying only the initial action and recalculating the optimisation at each time step.
Despite the above-mentioned solutions, whether adopted to ensure safety standards (e.g., SSM or PFL), rather than for real-time motion planning, or even to prevent collisions, they are generally insufficient on their own to ensure the co-transport of fabrics. This is because handling the material and ensuring its integrity typically require additional measures.
Hence, the aim of this work is to provide a control algorithm that ensures the tracking of humans in the co-transportation task, along with safety guidelines. It also optimises the execution speed of the collaborative manipulator, particularly focusing on the co-transportation of fabrics.
The proposed method offers multiple advantages:
  • the robot supports the operator by following and assisting her/him in movements and tasks without being pre-programmed;
  • no complex and slow software or hardware solutions for human intents interpretation are required;
  • there is a reduction in execution time due to the approach in solving the time-optimal problem, while still ensuring compliance with safety constraints imposed by ISO standards;
  • the human–robot collaboration methodology allows for the co-transport of deformable materials, which must adhere to specific constraints during movement to maintain their integrity.
Specifically, the elimination of pre-programming requirements is based on the assumption that humans assume a leadership role during collaboration with the robot. Consequently, the robot’s reaction time becomes critical in ensuring fluid and efficient cooperation. To this end, a problem of time-optimal trajectory generation is formulated as the minimisation of a specific cost function subject to kinematic and dynamic constraints, boundary conditions, and path constraints.
Improving reaction time can be achieved by optimising trajectory planning with respect to time. Execution time is crucial in optimal nonlinear control [34]. For this reason, this work explores the problem of online time-optimal trajectory generation for robotic manipulators under safety constraints.
Overall, there are two approaches to address the problem of time-optimal control [35,36], which are: (1) convex optimisation: the path s is discretised into N segments and subsequently the original problem is converted into a convex optimisation problem having O ( N ) variables and O ( N ) equality and inequality constraints. Basically, it transforms the optimal time problem into a convex optimisation problem, and subsequently uses specialised software to improve the efficiency of the solution; (2) numerical integration, also known as the “indirect method”, which is based on the Pontryagin maximum principle: an optimal velocity profile in the plane s- s ˙ is obtained as “bang-bang” control, which can be found by integrating alternatively the max. and min. accelerations s ¨ .
In this work, the time-optimal will exploit the “indirect method”. Based on the Pontryagin maximum principle, the method assumes a predefined path s ( t ) and optimises it for time efficiency by adjusting the robot accelerations s ¨ in a “bang-bang” manner, so that an optimal velocity profile in the s- s ˙ plane is satisfied [37]. More recently, Kim et al. [38] and Casalino et al. [39] demonstrated that with simplifying assumptions, it is possible to achieve real-time capabilities.
To achieve our purposes, we assume that the robot joints work under the Trapezoidal Speed Profile (TSP), which is a fairly standard assumption for industrial robots.
The remainder of this paper is organised as follows: Section 2 provides the derivation and a detailed description of the proposed control methodology. Section 3 describes the validation procedure adopted for the simulation tests to prove the performance of the time-optimal algorithm with a 6-DOF robot. Section 4 shows the co-transport simulation test results and preliminary experimental tests for a fabric co-transport case study. Section 5 outlines the results of the performed experiments and the raw conclusions, providing some hints for future developments.

2. Methodology

Let us consider an environment where a collaborative robot work closely with humans, as schematically shown in Figure 1. The high-level control algorithm, which we will refer to hereafter as the time optimal planner (described in Section 2.4), dynamically plans the robot’s trajectory, taking into account the real-time position and movement of the human worker. It determines, at each time iteration k, the pair ( P R , k , P ˙ R , k ) , composed, respectively, of the position and velocity vectors of the robot’s end effector represented in Cartesian space through which the robot must navigate to perform its designated tasks. In that space, the pair ( P H , k , P ˙ H , k ) identifies the position and velocity vectors of the human’s grip point at time iteration k. Furthermore, in order to act safely, it needs to evaluate the trajectory that makes the robot transit from the state at time k 1 , namely, ( P R , k 1 , P ˙ R , k 1 ) , to the state at time k, namely, ( P R , k , P ˙ R , k ) , while adhering to safety constraints. During this transition, the robot must accomplish the safety constraints. In this scenario, this section introduces a novel real-time algorithm for generating near-time optimal trajectories while ensuring the safety constraints in a workspace shared with humans.
The following subsections are dedicated to describe the proposed solutions for the parameterisation of the path planning, the definition of the safety and dynamic constraints, the near-time optimal control law, and the real-time algorithm to implement it, respectively.

2.1. Path Planning and Dynamic Model Parametrisation

To ensure a smooth transition from the state ( P R , k 1 , P ˙ R , k 1 ) to the state ( P R , k , P ˙ R , k ) in the Cartesian space of the robot, we parameterise the joint trajectory with the curvilinear coordinate s ( t ) = { s R | 0 s 1 } , with t [ 0 , t f ] , t f , the final time of the task, and we obtain the following relations [36]:
q ( t ) = f k ( s ( t ) ) ,
f k ( s ) = q k 1 + s ( t ) ( q k q k 1 ) ,
where f : R R n , q k 1 and q k are vectors representing the joint states of the manipulator corresponding to P R , k 1 and P R , k , respectively, and n represents the degrees of freedom (DOF) of the manipulator. Assuming a non-redundant robot (the generalisation of this method to redundant manipulators has been proved in [36]), it is possible to map the end effector velocities in the joint space as follows: q ˙ k = J 1 ( q k ) P ˙ R , k , where J 1 is the robot’s inverse Jacobian; this mapping corresponds to the time derivative of the parametrised function
f ˙ k ( t ) = ( q k q k 1 ) s ˙ ( t ) ,
Now, let us consider the dynamic model for the n DOF manipulator (see Chapter 4 of [40]):
τ = M ( q ) q ¨ + C ( q , q ˙ ) q ˙ + F s s i g n ( q ˙ ) + D v q ˙ + G ( q )
where q , q ˙ , q ¨ R n are the joint-space position, velocity, and acceleration vectors, respectively; τ R n is the joint-space torques vector; M R n × n is the inertia matrix; C ( q , q ˙ ) R n × n is the Coriolis/centrifugal matrix; G ( q ) R n is the gravitational torques vector; D v , F s R n represents the coefficients of the viscous and Coulomb friction, respectively. The model is constructed according to the Denavit–Hartenberg (DH) convention, which is instrumental in evaluating the inertial matrix and the gravitational vector [41]. No specific model identification was carried out because it was possible to refer to the robot-specific geometric and dynamic parameters provided directly by the robot manufacturer (see Section 3). In this case study, the inertial matrix and gravitational vector are obtained using a multi-physics simulation tool. However, they can also be derived using the DH parameters, as provided in Table 1 and Table 2 of Section 3, where the considered manipulator robot is introduced. The Coriolis matrix, as well as the viscous and Coulomb friction effects, are neglected for simplification purposes.
The dynamic model (4) can be represented in terms of s by substituting q with f as follows:
τ = a 1 ( s ) s ¨ + a 2 ( s ) s 2 ˙ + a 3 ( s ) s ˙ + a 4 ( s )
where a 1 ( s ) : = M f ( s ) , a 2 ( s ) : = M f ( s ) + C f , a 3 ( s ) : = D v f , a 4 ( s ) : = G + F v s i n g ( f s ˙ ) , f = d 2 d s 2 f , and f = d d s f .
By choosing f ( s ) = q k q k 1 and f = 0 , we obtain that f (s) is a constant. As a result, M f ( s ) = M ( q k q k 1 ) , which means that the inertia matrix M , which normally depends on q , becomes a constant with respect to s because f ( s ) = q k q k 1 is constant. This implies that the system’s inertia no longer varies with the joints configuration, since we are working with a fixed difference q k q k 1 , which does not change with s. In addition to the advantage of having the inertia matrix M , which can be computed only in the initial and final configurations, q k 1 and q k , respectively, since it remains constant between them, a further relevant advantage of the parameterisation of Equation (4) along the trajectory has a computational nature; indeed, the dynamic system described by Equation (4) has 3 n degrees of freedom. However, the path constraints described by s ( t ) parameterise the position of the end effector tip using a single parameter s, thus reducing the order of the system to 3 rather than 3 n . This allows the method to have more industrially feasible computing performance compared to many others.

2.2. Safety and Dynamic Constraints

To embed the ISO/TS 15066 requirements that combine the SSM and PFL prescriptions into the movements performed by the robot, we propose the use of the following relation (see [28,42] for details):
| v | d T s + F m a x K m R 1 ,
where:
  • v [mm/s]: velocity of the robot’s end effector;
  • T s [s]: stopping time—time required to ensure the robot can stop when in proximity to the human [43];
  • d [mm]: measure of the separation distance between the robot and the human;
  • m R [kg]: effective mass of the robot, which depends on the robot’s posture and motion, as computed in [28];
  • F m a x [N]: maximum allowable contact force for the specified human body region, as defined by the standard [43];
  • K [N/mm]: spring constant for the specific human body region, as defined by the standard [43].
We also define | v m a x | as the velocity that satisfies the equality sign of (6). In scenarios where the separation distance d is sufficiently large, such as in fabric co-transportation applications, it is reasonable to consider | v m a x | as a constant during the transition from state k 1 to state k. This allows us to express this limit function in joint space as follows:
| q ˙ m a x | = | J 1 | | v m a x | .
By considering (7) and the parameterisation of q given in (3), we can state
s ˙ m a x ( t ) = | J 1 | | v m a x | | q k q k 1 | ,
which brings us to the joints kinematic constraints expressed in terms of s as follows:
s m a x ( s ) s ˙ s m a x ( s ) .
Following the approach of Bobrow et al. [37] and Kim et al. [38], it is also possible to take into account that industrial robots are subject to dynamic constraints due to the torque limits of each joint motor, namely:
| τ m a x , i | τ i | τ m a x , i | , i = 1 , . . . , n .
Considering the dynamic constraints (10) and the dynamic model (5), and by defining
s ¨ m a x ( s , s ˙ ) = min i = 1 , . . . , n | τ m a x , i | ( a 2 , i ( s ) s ˙ 2 + a 3 , i ( s ) s ˙ + a 4 , i ( s ) ) a 1 , i ( s )
s ¨ m i n ( s , s ˙ ) = max i = 1 , . . . , n | τ m a x , i | ( a 2 , i ( s ) s ˙ 2 + a 3 , i ( s ) s ˙ + a 4 , i ( s ) ) a 1 , i ( s )
the joints dynamic constraints can be expressed as follows:
s ¨ m i n ( s , s ˙ ) s ¨ s ¨ m a x ( s , s ˙ ) .
Assuming that s ( t ) follows over time a TSP-type speed profile, such as the one shown in Figure 2, let us now find the initial and final conditions for s, which turn out to be: s ˙ ( 0 ) = s ˙ 0 = | J 1 P ˙ R , k 1 | | q k q k 1 | , s ˙ ( t f ) = s ˙ f = | J 1 P ˙ R , k | | q k q k 1 | , s ( 0 ) = 0 and s ( t f ) = 1 . This will allow us to take into account both safety and dynamics contraints in formulating the time-optimal control problem.

2.3. Near Time-Optimal Control Problem Formulation

Considering a point-to-point motion, the time-optimal trajectory generation problem is defined by the minimisation of the following cost function:
min s , s ˙ , s ¨ J = t i t f 1 d t
subject to kinematic and dynamic constraints (9) and (11), respectively, the boundaries conditions, [ s 0 , s ˙ 0 ] for the initial state and [ s f , s ˙ f ] for the final state, respectively, and the path constraints f ( s ) ( 0 s 0 s s f 1 ).
Borbow et al. [37] and Shin and McKay [44] provided for the first time a proof of off-line minimum time trajectory planning along specified paths. They showed that this problem is equivalent to setting s ¨ to its largest or smallest possible value, i.e., s ¨ = s ¨ m i n ( s , s ˙ ) or s ¨ = s ¨ m a x ( s , s ˙ ) , which represents a sort of “bang-bang” type control action on the robot’s motion to make it follow the trajectory in the shortest time. Therefore, similarly to the “bang-bang”, finding the optimal control law consists in finding the times or positions at which s ¨ switches (the so-called switching points). Formally, the time optimal control problem is to find q = f ( s ) and q ˙ = f ˙ ( s , s ˙ ) , and hence the controls τ ( s , s ˙ , s ¨ ) which minimise the time defined by the cost function (12).
In our case, to ensure online trajectory planning that is computationally efficient and generates continuous motions along multiple path segments, we adopt the approach of having the joints follow the TSP, as does the parameterised variable s ( t )  [38]. As shown in Figure 2, the TSP is characterised by three phases: initial acceleration phase (from 0 to t c 1 ), cruise speed phase (from t c 1 to t c 2 ), and final acceleration phase (from t c 2 to t f ). Those three phases are characterised by three parameters: initial acceleration, cruise speed, and final acceleration. The optimal time solution imposes the maximum/min. acceleration to the acceleration phases and the maximum speed to the cruise phase.
The solution to this problem can be represented directly in the phase plane ( s , s ˙ )  [37] by considering the so-called Limit-Velocity Curve (LVC). Under the TSP assumption, the solution is considered sub-optimal [38]. Under the same assumption, motion planning can also be performed online [38]; it requires continuity along multiple trajectory segments, and thus the connection of waypoints by imposing polynomial functions. The sub-optimal solution is based on the idea that a time-optimal trajectory along a short path segment can be approximated using a simple TSP trajectory with constant accelerations and decelerations. This approximation allows us to significantly reduce the computational load while still maintaining a solution that remains close to the time-optimal one. The motivation of the near time-optimal solution, and thus sub-optimality, lie primarily in the nature of the optimisation problem. As mentioned earlier, a “true” time-optimal solution aims to find, in addition to the input τ , both positions q = f ( s ) and velocities q ˙ = f ˙ ( s , s ˙ ) that minimise the time expressed by the cost function (12). In case the velocities are assumed to be TSP-like, the optimisation will no longer be performed with respect to q ˙ = f ˙ ( s , s ˙ ) because the velocities become a parameter imposed to the optimisation phase, and therefore the optimisation results are sub-optimal. Hence, the near time-optimal solution rather than the “true” time-optimal one is used.
Another aspect that could contribute to making an approximated solution is that the fabric will be approximated using the simplified mathematical model described in [45]. Indeed, it assumes a uniform density and ideal flexibility of the fabric under the effect of its own weight. That study was focused mainly on analysing deformable materials, in particular fabrics, and capturing their deformation through sensors. The results were provided in simulation, while in this manuscript, the algorithm has been adapted for real-time application and experimental tests have been carried out. The obtained results are presented in Section 4.2.
In our context, even if the solution is sub-optimal, overall it represents a good compromise which allows the implementation of control algorithms in real time. The LVC is described by specific equations for both the acceleration and deceleration phases, which are:
s ˙ = s ˙ 0 2 + 2 s ¨ m a x ( 0 ) s ,
for the initial acceleration, while for the deceleration phase, it becomes:
s ˙ = s ˙ f 2 + 2 s ¨ m i n ( 1 ) s .
These curves are shown in Figure 3, where two cases can be distinguished: when the intersection point lies above s m a x and the TSP includes a cruise phase, as shown in Figure 3a. Otherwise, the intersection does not reach s m a x and the speed profile adopts a triangular shape, as shown in Figure 3b.
The above control law and its constraints will allow us to define the real-time algorithm to generate near-time optimal trajectories while ensuring the necessary safety constraints in the shared workspace with humans.

2.4. Real-Time Algorithm for the Constrained near Time-Optimal Control Problem

The proposed control framework is illustrated in Figure 4. The human–robot workspace, depending on the task complexity, is monitored using a sensor (e.g., RGB-D cameras) or a set of them, which provides the positions and velocities of the human grip (in short, the pair of coordinates ( P H , k , P ˙ H , k ) ). These coordinates are estimated from the sensing system (e.g., the camera frames) and are related on a fixed inertial frame. Additionally, the position and velocity of the robot (in short, the pair of coordinates ( P R , k , P ˙ R , k ) ) are assumed known. These values can be obtained directly from the robot’s sensors and are reported in the same reference coordinate system used for the previous variables. The time-optimal control strategy uses this information to plan the robot’s trajectory. A higher level of control, which acts as the task planner, provides the ideal distance and the robot’s coordinates.
A time-optimal planner algorithm continuously checks whether the current path remains valid or requires adjustment. If the conditions require a new path, the algorithm generates the speed and torque references, as discussed in Section 2.2. Once the trajectory is determined, the robot low-level controller ensures that the robot executes the planned motion accurately. The algorithm is also designed to monitor compliance with safety conditions. The Algorithm 1, below, is the above mentioned time-optimal planner that utilises the gathered data to calculate the near-time optimal trajectory, as described in previous sections.
Algorithm 1: Near time-optimal algorithm
  • while 1
  •     read ( d , τ , | v | , k , F m a x , d )
  •     evalutate | v m a x |
  •     if  τ τ m a x | v | > | v m a x | | q k q ^ | < δ
  •         c 0
  •         read ( P R , k 1 , P ˙ R , k 1 , P R , k , P ˙ R , k , d , k , F m a x )
  •         plan N
  •     else if
  •         send N ( c Δ t )
  •         c c + 1
  •     end if
  • end while

3. Validation of the Proposed Method

To test the effectiveness of the proposed time-optimal trajectory generation method, a 6-DOF (degree of freedom) manipulator was chosen as the first case study. The manipulator is used in a human–robot fabric co-transportation task. This represents a significant application of human–robot collaboration into manufacturing processes, such as hand-layup [46,47] of composite part production. In this application, two aspects are relevant and require attention. Firstly, the performance of the time-optimal controller applied on the 6-DOF manipulator. Secondly, the application of the control framework to the human–robot fabric co-transportation. The former is analysed in Section 3.1, while the latter is detailed in Section 3.2. Furthermore, Section 3.3 briefly summarises some approaches proposed in the literature and the one used in this work to estimate the deformation of the materials to generate the robot trajectory to follow human movements in co-transportation, thus completing the description of the framework used to validate the proposed methodology.

3.1. Time-Optimal Control Settings for a 6-DOF Collaborative Robot

To verify the performance of the time-optimal controller, the physical behaviour of a 6-degree-of-freedom collaborative robot was simulated on a multiphysics simulator developed in the Matlab© Simscape environment. The considered robotic system is the collaborative robot Omron TM5-900.
The solution provided by the near time-optimal control algorithm requires knowledge of the maximum torque and speed limits of the robot joints, which are reported in Table 1a for the collaborative robot considered. As discussed in Section 2.3, the joints must be actuated with maximum torque to reach the maximum allowable speed. Calculating the required torques and speeds, based on the evaluation of the parametric variable s ( t ) , requires knowledge of the robot mass matrix. Therefore, the mass and inertia matrices of the links reported in Table 1b, and the Denavit–Hartemberg parameters of the robot reported in Table 2, are considered. The inertia matrices of the links have non-null elements just on the main diagonal, so only these elements are presented. The inertia matrix of each link is a 3 × 3 diagonal matrix. Thus, Table 1 and Table 2 contain all the necessary parameters required by the model and the algorithm.
Table 1. Joints’ limits and links’ dynamic parameters for the near time-optimal control of the Omron TM5-900 manipulator.
Table 1. Joints’ limits and links’ dynamic parameters for the near time-optimal control of the Omron TM5-900 manipulator.
(a) Dynamic and kinematic limits of the robot’s joints
JointTorqueSpeed
LimitLimit
[Nm][rad/s]
Joint 1150 π
Joint 2150 π
Joint 3150 π
Joint 428 π
Joint 528 π
Joint 628 π
(b) Dynamic parameters of the robot’s links
LinkMass [kg]Inertia [kg·m2]
Link 14.0320 d i a g ( [ 0.0112 , 0.0112 , 0.0073 ] )
Link 28.8970 d i a g ( [ 0.2405 , 0.2405 , 0.0160 ] )
Link 32.4430 d i a g ( [ 0.0531 , 0.0531 , 0.0044 ] )
Link 41.5760 d i a g ( [ 0.0033 , 0.0033 , 0.0028 ] )
Link 51.5760 d i a g ( [ 0.0033 , 0.0033 , 0.0028 ] )
Link 60.6500 d i a g ( [ 0.0014 , 0.0014 , 0.0012 ] )
Table 2. Denavit–Hartenberg table of parameters for the robot TM5-900 by Omron.
Table 2. Denavit–Hartenberg table of parameters for the robot TM5-900 by Omron.
Theta [Rad]a [m]d [m]Alpha [Rad]
00.00000.1451 π / 2
π / 2 0.42900.00000
00.41150.00000
π / 2 0.0000−0.1222 π / 2
00.00000.1060 π / 2
00.00000.11440
It should be noted that in Table 1a, the maximum available speeds of the joints are higher than the values reported in the table for joints 4 to 6. According to the robot manual, their maximum speed is 5 4 π , but in this case study, it was preferred to choose a lower value (that is π ) to guarantee greater safety conditions for the operator. According to the aims of this work, the objective is to comply with ISO/TS 15066 by limiting speed and power in accordance with collaborative operation requirements. Adjusting speed based on distance from the human operator is here unnecessary, as they work in close proximity.
The parameters presented in Table 1 and Table 2 are used to develop the robotic simulator to ensure consistency in terms of joint and link characteristics. Furthermore, the same software is also used to perform the simulations, as detailed in Section 3.2.

3.2. Application of Time-Optimal Control to Fabric Co-Transport

The time-optimal controller is tested here in an application involving the 6-DOF collaborative robot engaged in a fabric co-transportation task.
The fabric model adopted here is described in detail in [45]. It is represented as a set of points interconnected with their eight nearest neighbours via spring-damper bonds. The human trajectory was generated in three-dimensional space. The trajectory must be developed not too far from the robot to allow its correct movement. Assuming that both the ideal distance to maintain the desired deformation of the fabric between the robot and the human operator, and the trajectory of the human operator are known, e.g., by using sensors (for example, added to the robot, or placed around the environment, or even using monitored wearable sensors [48]), the robot trajectory can be computed and then simulated. In applications requiring increased reliability, the detection of robot joint failures [49], or the detection of anomalies in the path followed [50] could also be considered. After an initial physiological delay in tracking the human trajectory, by using proper sensors, the robot can estimate the position, pitch and yaw angles of the fabric gripping point on the human side. In the simulated scenario, this step can be easily replaced by the direct acquisition of data of the human operator trajectory. The near-time optimal controller must calculate the desired position, pitch and yaw angles of the robot end effector which must be ensured to maintain the desired ideal deformation of the tissue and hence the distance from the human operator. Within a certain time frame, the robot should then plan and execute the trajectory from its current position to the desired one in a way that does not hinder the human operator’s ever-changing trajectory. We estimated and then assumed that the robot needs 0.1 s to process all the information and have the data ready to start the movement. For this reason, the robot is held for 0.1 s before the simulation of the planned trajectory. Once the movement along the planned trajectory is completed, the robot repeats the same operations, namely: estimation of the position, pitch, and yaw of the fabric grip point on the human side (i.e., P H , k ), calculation of the desired position, pitch, and yaw of the end-effector (i.e., P R , k + 1 ), and planning and execution of the trajectory to follow (i.e., P ˙ R , k , P ˙ R , k + 1 ) with a delay of 0.1 s. The simulation is considered complete the first time the robot completes its planned motion after the human motion has concluded.

3.3. Human–Robot Distance Evaluation

This section focuses on existing methods and approaches used in our work to estimate the deformation of materials. Manipulating deformable objects, such as cables and fabrics, presents a complex challenge for human–robot interaction systems, especially in terms of tracking and estimating deformation during handling. The literature presents two main approaches for estimating material deformation in these contexts: motion capture and direct deformation estimation. The first approach calculates deformations by tracking the gripping points of the material via a motion capture system equipped with Inertial Measurement Unit (IMU) sensors [2] or cameras [51], allowing real-time monitoring of object movement. The second approach uses a camera to detect visual features of the material, which are then directly converted into control commands for the robot. Determining the position of the gripping point in space requires that the position of the gripping point on the manipulated object is known in advance or detectable. Consequently, it is possible to fully reconstruct the shape of the manipulated material using physical simulation software, or directly to use the relative distance between man and robot as input for the controller [51,52].
Recently the use of Convolutional Neural Network (CNN) or Deep Neural Network (DNN) approaches have opened new possibilities for extracting visual features to estimate material deformation and subsequently plan the robot’s movements [53,54]. In particular, in [55], an approach is proposed that integrates the two primary methods of deformation estimation, calculating the relative distance between the robot and human gripping points directly from the material itself, without the need for a tracking system. This relative pose estimation is achieved through a deep convolutional neural network. This network takes as input the depth image of the manipulated material. It provides an accurate mapping of the relative positions between human and robot. In addition, Tsurumine et al. [54] adopt a data-driven approach that uses deep learning to learn a mapping in a low-dimensional space from raw tissue images.
In contrast to these methods, the approach proposed in this work attempts to simplify the complexity of the problem by focusing mainly on a parameter that has proven to be essential in fabrics co-transport, namely, the distance d between the human and the robot during the transport of deformable materials [45]. This approach avoids the need to train neural networks for specific robot configurations and movements or specific transported materials, or the use of more complex and expensive force or strain sensors. It allows the robot to adjust its speed based on a single distance parameter, thereby making the process more simple to setup and computationally more efficient.

4. Results of Co-Transportation Tests

This section presents the main results obtained from both simulation tests and preliminary experimental tests.
The proposed approach is tested with the aim of ensuring that the robot grip point consistently follows the trajectory of the human grip point. Specifically, the robot must maintain a fixed distance from the human grip point while remaining aligned to its orientation (the robotic grip and the human grip must maintain the same orientation in 3D space despite different distances). Unlike predictive methods, the robot does not anticipate human behaviour with some kind of decision making tool, but it must respond very quickly to its changes. To achieve this, the proposed method adopts the time-optimal algorithm designed for high responsiveness. This reactive approach also minimises computational demands, ensuring real-time operation without significant processing overhead. The mean computational time per step that was estimated during experiments is only 0.015 ms. Even taking into account the acquisition of sensor measurements, the total time remains far below the average human reaction time, which can be estimated approximately at 0.5 s. This ensures that the algorithm works effectively under real-time conditions in relation to the co-transport process considered here.
A further consideration concerns the suitability of the method for the specific robotic system engaged in the task. In this regard, the following considerations can be made. The trajectories generated by this method are C 1 —continuous, are bang-bang-like, and generally, the imposed limit torque (not necessarily the maximum of the joints) is reached at least in one joint at each instant of time, thus allowing the actuators to be exploited at the maximum imposed performance. This feature allows the robot to achieve the high reactivity needed to not calculate the trajectory by predicting human behaviour up to the goal. The robot can then plan the movement based on the position to be reached at a given time by executing short paths and generating a C 1 —continuous trajectory, which allows it to align itself from time to time with the human operator. Furthermore, the choice to execute the trajectory as a composition of TVP profiles meets the needs of robot manufacturers who prefer trajectories composed of linear-parabolic polynomial sequences, i.e., segments with constant speed and constant acceleration, for the simplicity of building the reference signal. The overall behaviour generated is not optimal in terms of dynamic continuity (accelerations/torques), but in the co-transport of flexible material, the continuity of the end-effector trajectory is sufficient as the flexible material between the robot and the operator absorbs the dynamic effects on the human operator. This latter phenomenon is further emphasised in the case of immediate changes in acceleration requiring high speeds with low speed constraints (such as safety speed limits), which can generate unfeasible trajectories, for example, in the case of sudden changes in direction of the operator. These phenomena can be highly reduced by imposing a final speed and acceleration equal to zero, allowing us to reduce the high acceleration rates and ensure constraints.

4.1. Simulation Test Results

The simulation focuses on the co-transport of a fabric measuring 1 m in length and 0.3 m in width. The desired deformation requires the distance between the two opposite grip points to be d = 0.6 m. The results of the co-transport simulation tests are presented in Figure 5, which illustrates the joint angular velocity and torque provided by the multiphysics simulator during the simulation. These graphs allow for a detailed analysis of the effectiveness of the near time-optimal control strategy. The human operator’s grip point follows a trajectory composed of a combination of three simultaneous movements along the x-, y-, and z-axes. All three movements follow a trapezoidal velocity profile with a maximum acceleration of 0.03 m/ss and a maximum velocity of 0.7 m/s. Table 1a shows the maximum allowable torques and speeds for the robot joints which were used as optimisation constraints. The initial position is [ 0.5 ; 0.8 ; 0.6 ] , while the final position is [ 0.0 ; 1.4 ; 0.4 ] . The initial and final speeds of the human grip point are null [ 0.0 ; 0.0 ; 0.0 ] . The robot starts the task execution with a 2 s delay to simulate a complex context switch for the device. The robot grip point also has an initial and final null speed [ 0.0 ; 0.0 ; 0.0 ] . As specified in Section 3.2, at each iteration, there is a 0.1 s delay between the acquisition of the human’s grip point and the start of the robot’s movement to simulate the worst-case scenario in terms of the image analysis time needed to identify the coordinates of the human operator’s grip point. The robotic device simulations have a variable sampling time, with a maximum of 1 ms, while all information is recorded with a sampling frequency of 5 ms.
The bottom graph of Figure 5 shows that for each phase of the manipulator’s motion, at least one torque value reaches its maximum; so, as expected, the method based on a time-optimal technique originates a “bang-bang” type control. The torque limits, provided in Table 1a, are specified by the robot manufacturer. These limits can be adjusted in the design phase depending on the application context, leveraging the flexibility of the proposed approach. In this test, the limits are set at the saturation values of the actuators only to check the consistency of the control action in achieving the set values. Unless there are specific needs of the application, we suggest setting torque limits to values at least greater than half of the manufacturer’s specifications; the proposed method enhances the robot’s responsiveness, requiring higher torque values to promptly follow human movements. A high setting of torques, although improving the reactivity and cycle time, negatively affects energy consumption; therefore, it is always recommended to maintain a reasonable compromise between performance and consumption. Research on reducing energy consumption by scaling time-optimal trajectories has gained growing attention [56] and it is still an open issue. A further aspect to be considered regarding the use of high torques is the occurrence of vibrations. It is well known that time-optimal trajectories can induce vibrations under PID control action (the most common motion controller adopted in industrial robots) unless smoothing techniques are applied to the trajectory or controller design. Consequently, pursuing ’true’ time-optimal solutions involving accurate models or sophisticated controllers is challenging because of the high computational cost involved. In this regard, the near time-optimal trajectory brings some other benefits besides the computational one. Assuming a TVP trajectory, the maximum torque of a rigid model occurs either at the switching points or at the boundaries. Hence, torque changes occur alternating with longer periods of low or zero torque, allowing for better damping of the induced vibrations. This phenomenon can be assessed, for example, when the duration of multiple path segments is defined to generate optimal continuous movements over time. This also applies when multiple segments are created “on the fly”. Another method proposed in [38] to further reduce the vibrations is to filter the trajectory (usually a second-order trajectory) by a double SMA (Simple Moving Average) filter. It can smooth the trajectory so that the high frequency content that excites the modes is eliminated or strongly reduced. The drawbacks of filtering are the introduction of a constant delay and the possible distortion of the geometric shape planned by the TVP trajectory. Both must be kept to acceptable values for the specific task. The above mentioned shortcomings related to high torques can, therefore, be mitigated by finding a fair compromise between the choice of TVP profile in terms of timing and scaling of the torques of the time-optimal trajectory, and the adoption of trajectory filtering.
This behaviour is consistent with the expected result from applying the proposed time-optimal control algorithm. The upper and lower torque limits, indicated by black straight lines in the figure, correspond to ± 28 Nm and ± 150 Nm, respectively, as listed in Table 1a. The top graph of Figure 5 illustrates the joint velocity values of the manipulator. As expected, these velocities reach their maximum ( π rad/s) during the initial phase of the manipulator’s motion. This behaviour is attributed to the significant distance between the robot’s initial grip point and the target point. In subsequent actions, the velocity no longer reaches the maximum value because the robot cannot achieve a stationary cruising speed; instead, it performs only adjustment phases with maximum acceleration and deceleration to follow the operator’s path. Referring to Figure 3, the initial configuration is illustrated in Figure 3a, while the subsequent actions can be traced back to Figure 3b. The maximum joint speed gradually decreases, following the trend of the distance error accumulated to maintain the desired fabric deformation. Regarding Figure 5, it is important to note that the angular velocities differ slightly from the planned values, as their profiles are not perfectly trapezoidal or triangular. Similarly, the torque values, which ideally should resemble rectangular waves, show profiles that are not completely rectangular. This suggests that the robot, likely due to active joint control or friction, dampens oscillations to achieve the desired joint configurations. This observation highlights the high fidelity of the simulation tool in accurately representing the dynamic behaviour of the robotic system. In conclusion, the analyses presented in this section underline the effectiveness of the robotic system in replicating human movements. The integration of theoretical models and simulations provides a solid framework to understand and optimise the robot’s interactions with flexible materials. Future developments will focus on reducing the observed discrepancies and improving the system’s responsiveness to dynamic variations, ultimately achieving more precise and reliable performance in real-world scenarios.

4.1.1. Qualitative Results of Fabric Co-Transport Simulation Tests

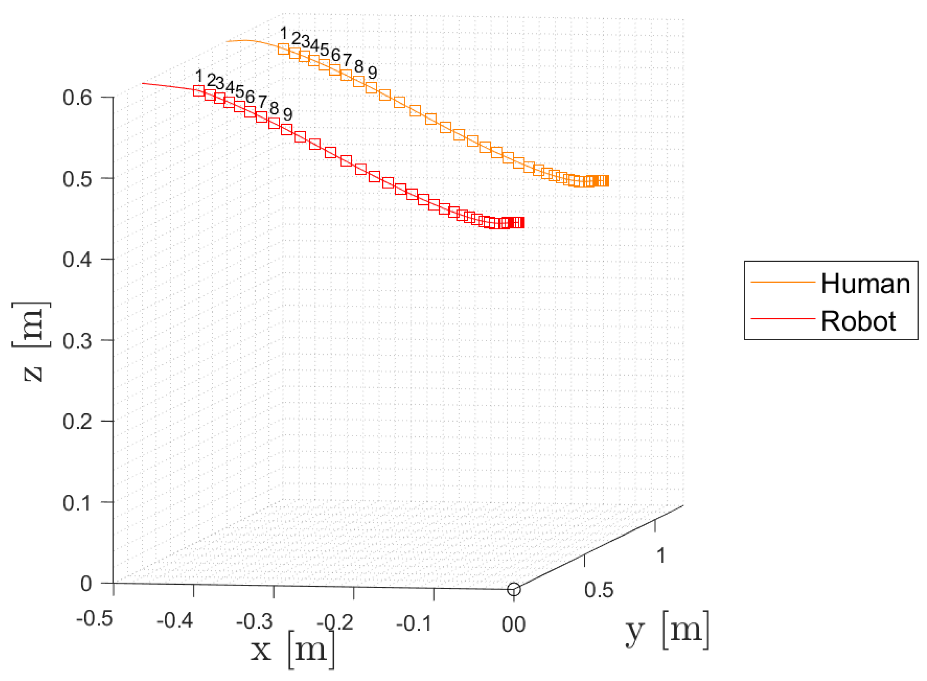
Regarding the overall behaviour of the proposed solution during fabric co-transportation, Figure 6 allows us to make some qualitative assessments. The figure shows the trajectory of the human grasping point and the robot end-effector in Cartesian space.
The midpoint of the human’s hand grip points is taken as a reference point of the trajectory made by the human operator, and it was considered to simulate the realistic path of the operator.
The trajectory of this point is shown by the orange line in Figure 6. The trajectory of the end-effector is planned following the methodology described in Section 3.2. Given the trajectory of all joints computed by the control algorithm, the trajectory of the end-effector in the Cartesian space is reconstructed and is shown in red in Figure 6. In the same figure, along the orange and the red trajectory lines, squares with an index are shown; those on the orange line represent the position of the human grasp point when the robot acquires a snapshot of the human position, i.e., the point identified by the robot and used to compute its own trajectory, while those on the red line represent the calculated target point, corresponding to the square with the same index on the orange line.
Figure 6 is particularly useful for comparing the trajectories of both the robot and the human. The two trajectories should ideally be similar and differ only by the fixed offset d = 0.6 m. To make the simulation more realistic, white noise was added to the human grasping position estimate, characterised by a zero mean value and a standard deviation σ = 0.005 m on each axis. These values are assumed to be plausible for a real-word scenario estimating gripping position by using a RGBD camera. The influence of noise on the results is best highlighted in Figure 7, which represents the projection of the two trajectories on the x z plane. Ideally, the human grasping points would correspond to the square markers, but due to the presence of noise they undergo a displacement identifiable by the circular markers. In the absence of noise, the robot trajectory, in turn represented by the cross markers, would overlap with the human operator’s path. However, due to noise, the robot follows a trajectory that is deviated from the ideal one, which is indicated by the star markers.
The comparison should become more meaningful when analysing large robot movements (e.g., trajectories up to the squares with index 1, to compensate for the initial error). However, for a more detailed comparison, it would be necessary to evaluate further results also taking into account the behaviour of the fabric in order to obtain a more in-depth quantitative analysis. These further details will be introduced and analysed in the following Section 4.1.2.

4.1.2. Quantitative Results of Fabric Co-Transport Simulation Tests

To define a method to quantify the results of the co-transport test, it is first necessary to understand how the fabric influences the co-transport distance between the robot and the human operator. In static conditions, the fabric is accurately represented by the catenary equation [57,58,59]. Figure 8, shows how the points belonging to the catenary, which are represented by black squares along the black line, perfectly align with the points of the simulated fabric (grey circles).
However, during simulation, the movement of the human and robot causes the points of the simulated fabric to shift from the static configuration, thus increasing the distance between the fabric points and the catenary. To analyse this behaviour, the root mean square (RMS) value of these distances is proposed and calculated here to quantify the adherence of the observed fabric deformation to the desired one. Figure 9 shows the evolution of the RMS over time while performing the co-transport task. Two types of RMS are analysed: R M S R F , which refers to the real points of the fabric, and R M S I F , which refers to the ideal behaviour of the fabric.
The computation of R M S R F is based on the error between the real points and the theoretical catenary; it provides information about the fabric variations, including the effects of oscillations. The R M S I F is, instead, the difference between the R M S R F and the RMS of the fabric points relative to the adjusted catenary, thus excluding in-motion oscillations. Both graphs in Figure 9 show an initial increase in RMS values, indicating an initial delay of the robotic system relative to the ideal position; however, toward the end of the time period, the RMSs return to their ideal values, thus suggesting that the system compensates for the accumulated errors. The differences between R M S R F and R M S I F suggest that the control system may require further optimisation to further reduce dynamic errors. The return of R M S I F to the ideal catenary at the end of the simulation demonstrates how the system is able to realign itself over time. Finally, it can be observed that a correlation exists between RMS and the measured distance between P H and P R . As shown in Figure 10, at about 2 s, P R reaches the farthest position from P H across all simulations; this corresponds to the maximum variation of the RMS (see Figure 9). Subsequently, the robot begins to move to reduce the error.
The oscillations observed in the RMS are attributed to the low rigidity of the fabric. Specifically, fabrics with a lower elastic coefficient, i.e., aluminium foils, exhibit reduced oscillations, allowing even the most distant points on the fabric to respond more quickly to the movements of the gripping points. In such cases, the fabric demonstrates a more optimal behaviour. In contrast, as the elastic coefficient increases, the deviation from a static condition becomes more significant. In addition, the size of the fabric also influences its behaviour: larger fabric dimensions tend to amplify the above effects, although the overall impact is smaller.
The Euclidean distance, depicted in Figure 10a, is a key indicator of overall control effectiveness. The target distance is set at 0.6 m, with a maximum observed error of 0.0286 m at 3.755 s. This corresponds to a maximum percentage error of 4.75 % . Figure 10b provides the deformation experienced by the system along the x-, y-, and z-axes. Specifically, it shows lateral deformation when the distance along the x-axis deviates from 0, and longitudinal deformation along the y-axis, which depends on the component that contributes to the Euclidean distance. Therefore, both graphs represent Euclidean distances: Figure 10a offers a global view of the total distance, while Figure 10b shows components along individual axes.
As concluding remarks of this section, it can be underlined that overall, the above analyses highlight the effectiveness of the robotic system in mimicking human movements. The integration of the theoretical model and simulations offers a comprehensive framework to understand and optimise robot interactions with flexible materials. Further simulations should focus on reducing observed discrepancies and enhancing the system’s responsiveness to dynamic variations, ultimately achieving more precise and reliable performance in real-world applications.

4.2. Preliminary Experimental Tests

Some preliminary experimental tests were conducted on the robotic system equipped to support the movement of a fabric sample. The test focuses on the co-transport of a fabric measuring 1.45 m in length and 0.50 m in width. The desired deformation of the fabric during handling requires a distance between the two opposite gripping points d = 0.80 m. A laptop running Robot Operating System 2 (ROS2) is used to plan the trajectory of the Omron TM5-900 robot and to acquire and process images from an RGBD camera. The robot controller is responsible for the motion control of the robot’s joints. The experimental setup is controlled by implementing the layered architecture proposed in [60], which is shown in Figure 11. The proposed architecture is composed of three main layers: perception, planning, and control.
The perception layer is responsible for processing data from the RGBD camera sensor. This layer is fundamental to identifying and spatially locating the point that represents the human’s grip point. In this test case, the use of the recognition layer is not required since no path recognition activities are foreseen for the considered task. The planning layer represents the central component of the architecture; it is responsible for the trajectory planning and for implementing the near time-optimal algorithm which will define the velocities and accelerations of the joints, which, in turn, will be controlled by the robot’s controller. In our test case, the planning layer will not exploit all the sub-layers; that is, the layers trajectory re-planning and manipulation are not used for the test-case. The last layer is the control layer. It is executed by the robot’s controller and ensures the execution of the plan computed by the planning layer. It manages motion control tasks, ensuring that robot actuators follow the planned trajectories accurately.
Experimental tests and simulations were performed on a laptop equipped with the following: a 16-core Intel i7-13700HX processor (Intel, Santa Clara, CA, USA) operating at a clock frequency of 2.10 GHz, and equipped with 32 GB of DDR5 RAM and an NVIDIA GeForce RTX 4070 GPU (NVIDIA, Santa Clara, CA, USA); a Linux operating system is installed on a dedicated partition running the ROS2 release Humble.
The experimental setup is illustrated in Figure 12. It shows all the essential components needed to perform the experiment.
During the experiment, the camera identifies a marker (red-coloured) on the side of the human operator’s grip and estimates the yaw angle of the held side of the fabric. The human grip point is then identified with respect to the base of the robot, which is also chosen as the origin of the inertial reference frame. The laptop computer performs all the necessary calculations and provides joint trajectory references to the robotic arm. Figure 13 shows a sequence of images representing the most significant frames of a video acquired during a co-transportation test.
In the illustrated video frames, in Figure 13, the human moves away from the robot while walking backward. Simultaneously, the human shifts to their left, moving closer to the camera, and rotates their body clockwise. During this motion, the human translates approximately 0.5 m along the floor, decreases their height by about 0.1 m, and adjusts their orientation to continuously face the robot’s base. Figure 14 shows the torque values obtained during the same experimental tests reported in Figure 13. The dashed vertical lines in Figure 14 represent the same instants of frame capture time as in Figure 13. The measured torques indicate that the second joint is the most used. This joint is primarily responsible for displacement towards the human operator, a characteristic also shared by the third joint. However, the torque in the third joint does not reach the same magnitude as in the second joint, highlighting its lower contribution. The first joint, which facilitates rotation around the z-axis of the robot base, shows minimal effort, except for brief peaks observed between 1.82 s and 1.84 s, corresponding to small displacements caused by oscillations. On the other hand, joints 4, 5, and 6 show negligible torques, a phenomenon attributable to the small displacement required and the low weight of the fabric to be moved. In contrast to simulations, the maximum torque values are not reached, thus indicating a slight difference between the simulated and real-world behaviours of the proposed method.
This torque gap could be due to the limited extension and speed of the movements performed by the human with respect to the quite high reactivity of the implemented method. This most likely means that the robot did not need to reach its torque limits to perform the task. Indeed, maintaining the maximum torque values even for a short time can move the joints more than necessary. Figure 15 also shows how quickly the robot completes its task of movements. It requires about 20 ms.
Furthermore, Figure 15 shows how the trajectory of the first joint does not follow a smooth linear path, as initially observed during the test. Instead, it shows oscillations caused by natural human behaviour and/or possible inconsistent sensor readings, as shown in the zoomed-in view.
Figure 16 shows the trajectories of the robot and of the human operator in the experimental test. The robot’s estimation of the human operator’s position is represented by the orange squares. It is used as a basis for estimating the operator trajectory which is needed to complete the assigned task. However, by analysing the estimated trajectory, differences with the real movement performed by the human can be observed. These differences can be attributed to estimation errors, which result from various factors, such as detection delays, sensor inaccuracies or unexpected variations in the operator’s movements.
As a result, while following the desired path, the robot exhibits some oscillations that, although not easily visible during testing, become evident after a more detailed analysis of the trajectories. However, despite the presence of slight differences between the real and simulated trajectories, the overall result appears to confirm the expectations foreseen by the simulation tests.

5. Conclusions and Future Work

This work proposes a time-optimal control framework to optimise human–robot collaboration, especially for the co-transportation of flexible materials, such as fabrics. It is a preliminary study that aims to evaluate the feasibility and potential of applying the classical time-optimality approach to make collaborative robots more efficient while ensuring safety constraints. This approach represents the first attempt, to our knowledge, to integrate time-optimal strategies in the context of co-transportation of flexible materials. The simulation and test results are encouraging, indicating significant potential for this method. Furthermore, this study creates challenges for further research, such as refining the approach to address the sub-optimality or enhancing the framework’s effectiveness and applicability in real-world collaborative settings. In the proposed tests, the human grip point positions were measured using an RGB-D camera in combination with a coloured marker. The acquired measurements exhibit slight oscillations likely caused by inaccuracies in the depth estimation or by numerical errors during the transformation of distance measurements into spatial coordinates. Future works could explore the accuracy of alternative methods, such as human skeleton recognition to identify grip points from hands, or localisation systems employing tags and anchors. Additional advancements could address the detection and recognition of obstacles along the path. Indeed, the approach of this work, in addition to improving the robot’s reactivity and its real-time planning, could also be suitable in re-planning phases in case of obstacles, e.g., by implementing near time-optimal movements along multiple path segments that compose the re-planned trajectory in a bounded computational time. These key features could enable the system to quickly plan alternative paths avoiding obstacles and adapting to the uncertainties of unstructured environments.
Finally, further possible directions of research could include the development of predictive algorithms to anticipate human movement and fabric fluctuations. Indeed, the more accurate the anticipation of the operator’s movement, the better and more effective the robot’s alignment will be, thus improving both the safety of the interaction and the stability of the transported fabric.

Author Contributions

The individual contributions for this article were as follows: Conceptualisation: R.K., A.D.B., A.B.; methodology: R.K., A.D.B., A.B.; software: A.D.B.; validation: R.K., A.D.B., A.B.; formal analysis: R.K., A.D.B., A.B.; investigation: R.K.; resources: A.D.B., A.B.; data curation: A.D.B.; writing—original draft preparation: A.D.B., R.K., A.B.; writing—review and editing: A.D.B., I.P., A.B.; visualisation: A.D.B., I.P.; supervision: A.B., S.L.; project administration: A.B., S.L.; funding acquisition: A.B. All authors have read and agreed to the published version of the manuscript.

Funding

This research was co-funded by the Horizon Europe programme, EU project “EDIH4Marche” (European Digital Innovation Hub for Marche), Call DIGITAL-2021-EDIH-01, Grant Agreement no. 101084027 on topic DIGITAL-2021-EDIH-INITIAL-01 (DIGITAL Simple Grants Action); and by the program European Union Next Generation EU, under the National Recovery and Resilience Plan (NRRP), Mission 4 Component 1, Investment 4.1—Decree No. 118 (2 March 2023) of the Italian Ministry of University and Research, Concession Decree No. 2333 (22 December 2023) of the Italian Ministry of University and Research, Project code D93C23000450005, within the Italian National Programme Ph.D. Programme in Autonomous Systems (DAuSy).

Data Availability Statement

No new data were created or analyzed in this study. Data sharing is not applicable to this article.

Conflicts of Interest

The authors declare no conflicts of interest.

Abbreviations

The following abbreviations are used in this manuscript:
SSMSpeed and Separation Monitoring
PFLPower and Force Limiting
MPCModel Predictive Control
TSPTrapezoidal Speed Profile
LVCLimit-Velocity Curve
CNNConvolutional Neural Network
DNNDeep Neural Network
IMUInertial Measurement Unit
RMSRoot Mean Square
ROSRobot Operating System

References

  1. Demir, K.A.; Döven, G.; Sezen, B. Industry 5.0 and human-robot co-working. Procedia Comput. Sci. 2019, 158, 688–695. [Google Scholar] [CrossRef]
  2. Sirintuna, D.; Giammarino, A.; Ajoudani, A. An Object Deformation-Agnostic Framework for Human–Robot Collaborative Transportation. IEEE Trans. Autom. Sci. Eng. 2023, 21, 1986–1999. [Google Scholar] [CrossRef]
  3. Wang, L.; Gao, R.; Váncza, J.; Krüger, J.; Wang, X.V.; Makris, S.; Chryssolouris, G. Symbiotic human-robot collaborative assembly. CIRP Ann. 2019, 68, 701–726. [Google Scholar] [CrossRef]
  4. Haschke, R.; Weitnauer, E.; Ritter, H. On-line planning of time-optimal, jerk-limited trajectories. In Proceedings of the 2008 IEEE/RSJ International Conference on Intelligent Robots and Systems, Nice, France, 22–26 September 2008; pp. 3248–3253. [Google Scholar] [CrossRef]
  5. Latombe, J.C. Robot Motion Planning; Kluwer Academic Publishers: New York, NY, USA, 1991. [Google Scholar] [CrossRef]
  6. Brock, O.; Khatib, O. Elastic strips: A framework for motion generation in human environments. Int. J. Robot. Res. 2002, 21, 1031–1052. [Google Scholar] [CrossRef]
  7. Shi, L.; Ma, Z.; Yan, S.; Ao, T. Flocking Dynamics for Cooperation-Antagonism Multi-Agent Networks Subject to Limited Communication Resources. IEEE Trans. Circuits Syst. I Regul. Pap. 2024, 71, 1396–1405. [Google Scholar] [CrossRef]
  8. Marvel, J.A.; Norcross, R. Implementing speed and separation monitoring in collaborative robot workcells. Robot. Comput.-Integr. Manuf. 2017, 44, 144–155. [Google Scholar] [CrossRef]
  9. Byner, C.; Matthias, B.; Ding, H. Dynamic speed and separation monitoring for collaborative robot applications–Concepts and performance. Robot. Comput.-Integr. Manuf. 2019, 58, 239–252. [Google Scholar] [CrossRef]
  10. Abbasi-Yadkori, Y.; Modayil, J.; Szepesvari, C. Extending rapidly-exploring random trees for asymptotically optimal anytime motion planning. In Proceedings of the 2010 IEEE/RSJ International Conference on Intelligent Robots and Systems, Taipei, Taiwan, 18–22 October 2010; pp. 127–132. [Google Scholar] [CrossRef]
  11. Gammell, J.D.; Srinivasa, S.S.; Barfoot, T.D. Informed RRT*: Optimal sampling-based path planning focused via direct sampling of an admissible ellipsoidal heuristic. In Proceedings of the IEEE International Conference on Intelligent Robots and Systems, Chicago, IL, USA, 14–18 September 2014; pp. 2997–3004. [Google Scholar] [CrossRef]
  12. Zhang, S.; Zanchettin, A.M.; Villa, R.; Dai, S. Real-time trajectory planning based on joint-decoupled optimization in human-robot interaction. Mech. Mach. Theory 2020, 144, 103664. [Google Scholar] [CrossRef]
  13. Corteville, B.; Aertbelien, E.; Bruyninckx, H.; De Schutter, J.; Van Brussel, H. Human-inspired robot assistant for fast point-to-point movements. In Proceedings of the 2007 IEEE International Conference on Robotics and Automation, Rome, Italy, 10–14 April 2007; pp. 3639–3644. [Google Scholar] [CrossRef]
  14. Erden, M.S.; Tomiyama, T. Human-Intent Detection and Physically Interactive Control of a Robot Without Force Sensors. IEEE Trans. Robot. 2010, 26, 370–382. [Google Scholar] [CrossRef]
  15. Li, Y.; Ge, S.S. Human–Robot Collaboration Based on Motion Intention Estimation. IEEE/ASME Trans. Mechatronics 2014, 19, 1007–1014. [Google Scholar] [CrossRef]
  16. Cheng, Y.; Sun, L.; Liu, C.; Tomizuka, M. Towards Efficient Human-Robot Collaboration with Robust Plan Recognition and Trajectory Prediction. IEEE Robot. Autom. Lett. 2020, 5, 2602–2609. [Google Scholar] [CrossRef]
  17. Glogowski, P.; Böhmer, A.; Hypki, A.; Kuhlenkötter, B. Robot Speed Adaption in Multiple Trajectory Planning and Integration in a Simulation Tool for Human-Robot Interaction. J. Intell. Robot. Syst. 2021, 102, 2–20. [Google Scholar] [CrossRef]
  18. Li, Y.; Carboni, G.; Gonzalez, F.; Campolo, D.; Burdet, E. Differential game theory for versatile physical human–robot interaction. Nat. Mach. Intell. 2019, 1, 36–43. [Google Scholar] [CrossRef]
  19. Franceschi, P.; Pedrocchi, N.; Beschi, M. Human-Robot Role Arbitration via Differential Game Theory. IEEE Trans. Autom. Sci. Eng. 2024, 21, 5953–5968. [Google Scholar] [CrossRef]
  20. Losey, D.P.; O’Malley, M.K. Trajectory Deformations From Physical Human–Robot Interaction. IEEE Trans. Robot. 2018, 34, 126–138. [Google Scholar] [CrossRef]
  21. Lasota, P.; Nikolaidis, S.; Shah, J.A. Developing an adaptive robotic assistant for close proximity human-robot collaboration in space. In Proceedings of the AIAA Infotech@ Aerospace (I@ A) Conference, Big Sky, MT, USA, 2–9 March 2013; p. 4806. [Google Scholar] [CrossRef][Green Version]
  22. Pellegrinelli, S.; Orlandini, A.; Pedrocchi, N.; Umbrico, A.; Tolio, T. Motion planning and scheduling for human and industrial-robot collaboration. CIRP Ann. 2017, 66, 1–4. [Google Scholar] [CrossRef]
  23. Rutili de Lima, C.; Khan, S.; Tufail, M.; Shah, S.; Maximo, M. Humanoid Robot Motion Planning Approaches: A Survey. J. Intell. Robot. Syst. 2024, 110, 86. [Google Scholar] [CrossRef]
  24. Johannsmeier, L.; Haddadin, S. A Hierarchical Human-Robot Interaction-Planning Framework for Task Allocation in Collaborative Industrial Assembly Processes. IEEE Robot. Autom. Lett. 2017, 2, 41–48. [Google Scholar] [CrossRef]
  25. Darvish, K.; Simetti, E.; Mastrogiovanni, F.; Casalino, G. A Hierarchical Architecture for Human–Robot Cooperation Processes. IEEE Trans. Robot. 2021, 37, 567–586. [Google Scholar] [CrossRef]
  26. Faroni, M.; Beschi, M.; Pedrocchi, N. An MPC Framework for Online Motion Planning in Human-Robot Collaborative Tasks. In Proceedings of the 2019 24th IEEE International Conference on Emerging Technologies and Factory Automation (ETFA), Zaragoza, Spain, 10–13 September 2019; pp. 1555–1558. [Google Scholar] [CrossRef]
  27. Kanazawa, A.; Kinugawa, J.; Kosuge, K. Adaptive motion planning for a collaborative robot based on prediction uncertainty to enhance human safety and work efficiency. IEEE Trans. Robot. 2019, 35, 817–832. [Google Scholar] [CrossRef]
  28. Lucci, N.; Lacevic, B.; Zanchettin, A.M.; Rocco, P. Combining speed and separation monitoring with power and force limiting for safe collaborative robotics applications. IEEE Robot. Autom. Lett. 2020, 5, 6121–6128. [Google Scholar] [CrossRef]
  29. Flacco, F.; Kröger, T.; De Luca, A.; Khatib, O. A depth space approach to human-robot collision avoidance. In Proceedings of the 2012 IEEE International Conference on Robotics and Automation, Saint Paul, MN, USA, 14–18 May 2012; pp. 338–345. [Google Scholar] [CrossRef]
  30. Chen, J.H.; Song, K.T. Collision-Free Motion Planning for Human-Robot Collaborative Safety under Cartesian Constraint. In Proceedings of the 2018 IEEE International Conference on Robotics and Automation (ICRA), Brisbane, QLD, Australia, 21–25 May 2018; pp. 4348–4354. [Google Scholar] [CrossRef]
  31. De Santis, A.; Albu-Schaffer, A.; Ott, C.; Siciliano, B.; Hirzinger, G. The skeleton algorithm for self-collision avoidance of a humanoid manipulator. In Proceedings of the 2007 IEEE/ASME International Conference on Advanced Intelligent Mechatronics, Zurich, Switzerland, 4–7 September 2007; IEEE: Piscataway, NJ, USA, 2007; pp. 1–6. [Google Scholar] [CrossRef]
  32. Tulbure, A.; Khatib, O. Closing the loop: Real-time perception and control for robust collision avoidance with occluded obstacles. In Proceedings of the 2020 IEEE/RSJ International Conference on Intelligent Robots and Systems (IROS), Las Vegas, NV, USA, 24 October 2020–24 January 2021; pp. 5700–5707. [Google Scholar] [CrossRef]
  33. Liu, B.; Rocco, P.; Zanchettin, A.M.; Zhao, F.; Jiang, G.; Mei, X. A real-time hierarchical control method for safe human–robot coexistence. Robot. Comput.-Integr. Manuf. 2024, 86, 102666. [Google Scholar] [CrossRef]
  34. Bonci, A.; Longhi, S.; Nabissi, G.; Scala, G.A. Execution Time of Optimal Controls in Hard Real Time, a Minimal Execution Time Solution for Nonlinear SDRE. IEEE Access 2020, 8, 158008–158025. [Google Scholar] [CrossRef]
  35. Zhang, T.; Zhang, M.; Zou, Y. Time-optimal and smooth trajectory planning for robot manipulators. Int. J. Control. Autom. Syst. 2021, 19, 521–531. [Google Scholar] [CrossRef]
  36. Pham, Q.C.; Stasse, O. Time-optimal path parameterization for redundantly actuated robots: A numerical integration approach. IEEE/ASME Trans. Mechatronics 2015, 20, 3257–3263. [Google Scholar] [CrossRef]
  37. Bobrow, J.E.; Dubowsky, S.; Gibson, J.S. Time-optimal control of robotic manipulators along specified paths. Int. J. Robot. Res. 1985, 4, 3–17. [Google Scholar] [CrossRef]
  38. Kim, J.; Croft, E.A. Online near time-optimal trajectory planning for industrial robots. Robot. Comput.-Integr. Manuf. 2019, 58, 158–171. [Google Scholar] [CrossRef]
  39. Casalino, A.; Zanchettin, A.M.; Rocco, P. Online planning of optimal trajectories on assigned paths with dynamic constraints for robot manipulators. In Proceedings of the 2016 IEEE/RSJ International Conference on Intelligent Robots and Systems (IROS), Daejeon, Republic of Korea, 9–14 October 2016; IEEE: Piscataway, NJ, USA, 2016; pp. 979–985. [Google Scholar] [CrossRef]
  40. Sciavicco, L.; Siciliano, B. Modelling and Control of Robot Manipulators; Springer Science & Business Media: Berlin, Germany, 2012. [Google Scholar] [CrossRef]
  41. Siciliano, B.; Sciavicco, L.; Villani, L.; Oriolo, G. Robotics: Modelling, Planning and Control; Advanced Textbooks in Control and Signal Processing; Springer: London, UK, 2010. [Google Scholar]
  42. Ferraguti, F.; Bertuletti, M.; Landi, C.T.; Bonfè, M.; Fantuzzi, C.; Secchi, C. A control barrier function approach for maximizing performance while fulfilling to iso/ts 15066 regulations. IEEE Robot. Autom. Lett. 2020, 5, 5921–5928. [Google Scholar] [CrossRef]
  43. ISO TC184/SC2; ISO/TS 15066 Robots and Robotic Devices–Safety Requirements for Industrial Robots–Collaborative Operation. Technical Specification; International Organization for Standardization: Geneva, Switzerland, 2013.
  44. Shin, K.; McKay, N. Minimum-time control of robotic manipulators with geometric path constraints. IEEE Trans. Autom. Control 1985, 30, 531–541. [Google Scholar] [CrossRef]
  45. Bonci, A.; Di Biase, A.; Longhi, S.; Kermenov, R. Human-Robot Co-Transport of Flexible Materials Using Deformation Constraints. In Proceedings of the 2024 IEEE 29th International Conference on Emerging Technologies and Factory Automation (ETFA), Padova, Italy, 10–13 September 2024; pp. 1–7. [Google Scholar] [CrossRef]
  46. Elkington, M.; Bloom, D.; Ward, C.; Chatzimichali, A.; Potter, K. Hand layup: Understanding the manual process. Adv. Manuf. Polym. Compos. Sci. 2015, 1, 138–151. [Google Scholar] [CrossRef]
  47. Kermenov, R.; Foix, S.; Borràs, J.; Castorani, V.; Longhi, S.; Bonci, A. Automating the hand layup process: On the removal of protective films with collaborative robots. Robot. Comput.-Integr. Manuf. 2025, 93, 1–10. [Google Scholar] [CrossRef]
  48. Longhi, M.; Marrocco, G. Flying sensors: Merging Nano-UAV with radiofrequency identification. In Proceedings of the 2017 IEEE International Conference on RFID Technology and Application (RFID-TA), Warsaw, Poland, 20–22 September 2017; pp. 164–168. [Google Scholar] [CrossRef]
  49. Nabissi, G.; Longhi, S.; Bonci, A. ROS-Based Condition Monitoring Architecture Enabling Automatic Faults Detection in Industrial Collaborative Robots. Appl. Sci. 2023, 13, 143. [Google Scholar] [CrossRef]
  50. Kermenov, R.; Nabissi, G.; Longhi, S.; Bonci, A. Anomaly Detection and Concept Drift Adaptation for Dynamic Systems: A General Method with Practical Implementation Using an Industrial Collaborative Robot. Sensors 2023, 23, 3260. [Google Scholar] [CrossRef] [PubMed]
  51. Andronas, D.; Kampourakis, E.; Bakopoulou, K.; Gkournelos, C.; Angelakis, P.; Makris, S. Model-Based Robot Control for Human-Robot Flexible Material Co-Manipulation. In Proceedings of the 2021 26th IEEE International Conference on Emerging Technologies and Factory Automation (ETFA), Vasteras, Sweden, 7–10 September 2021; pp. 1–8. [Google Scholar] [CrossRef]
  52. Kruse, D.; Radke, R.J.; Wen, J.T. Human-robot collaborative handling of highly deformable materials. In Proceedings of the 2017 American Control Conference (ACC), Seattle, WA, USA, 24–26 May 2017; pp. 1511–1516. [Google Scholar] [CrossRef]
  53. Yang, P.C.; Sasaki, K.; Suzuki, K.; Kase, K.; Sugano, S.; Ogata, T. Repeatable Folding Task by Humanoid Robot Worker Using Deep Learning. IEEE Robot. Autom. Lett. 2017, 2, 397–403. [Google Scholar] [CrossRef]
  54. Tsurumine, Y.; Matsubara, T. Variationally autoencoded dynamic policy programming for robotic cloth manipulation planning based on raw images. In Proceedings of the 2022 IEEE/SICE International Symposium on System Integration (SII), Narvik, Norway, 9–12 January 2022; IEEE: Piscataway, NJ, USA, 2022; pp. 416–421. [Google Scholar] [CrossRef]
  55. Nicola, G.; Villagrossi, E.; Pedrocchi, N. Co-manipulation of soft-materials estimating deformation from depth images. Robot. Comput.-Integr. Manuf. 2024, 85, 102630. [Google Scholar] [CrossRef]
  56. Wigstrom, O.; Lennartson, B.; Vergnano, A.; Breitholtz, C. High-Level Scheduling of Energy Optimal Trajectories. IEEE Trans. Autom. Sci. Eng. 2013, 10, 57–64. [Google Scholar] [CrossRef]
  57. Weil, J. The synthesis of cloth objects. In Proceedings of the 13th Annual Conference on Computer Graphics and Interactive Techniques, New York, NY, USA, 31 August 1986; SIGGRAPH ’86. pp. 49–54. [Google Scholar] [CrossRef]
  58. Provot, X. Deformation constraints in a mass-spring model to describe rigid cloth behaviour. In Proceedings of the Graphics Interface. Canadian Information Processing Society, Québec, QC, Canada, 17–19 May 1995; p. 147. [Google Scholar]
  59. Wayne, T.; Wen, W. Numerical Methods in Cloth Simulation; Technical Report; PC3236 Project Report. 2020. Available online: https://www.wuwayne.com/files/clothsim/report.pdf (accessed on 21 January 2025).
  60. Bonci, A.; Gaudeni, F.; Giannini, M.C.; Longhi, S. Robot Operating System 2 (ROS2)-Based Frameworks for Increasing Robot Autonomy: A Survey. Appl. Sci. 2023, 13, 12796. [Google Scholar] [CrossRef]
Figure 1. Exemplification of position and velocity vectors adopted to describe the robot working in the collaborative manufacturing environment.
Figure 1. Exemplification of position and velocity vectors adopted to describe the robot working in the collaborative manufacturing environment.
Robotics 14 00010 g001
Figure 2. Trapezoidal speed profile (TSP) in the time domain.
Figure 2. Trapezoidal speed profile (TSP) in the time domain.
Robotics 14 00010 g002
Figure 3. Limit velocity curves in the phase plane.
Figure 3. Limit velocity curves in the phase plane.
Robotics 14 00010 g003
Figure 4. Schematic overview of the proposed real-time control framework.
Figure 4. Schematic overview of the proposed real-time control framework.
Robotics 14 00010 g004
Figure 5. Angular velocities and torques of robot joints with 6DOF.
Figure 5. Angular velocities and torques of robot joints with 6DOF.
Robotics 14 00010 g005
Figure 6. Human and robot trajectories simulated in 3D space.
Figure 6. Human and robot trajectories simulated in 3D space.
Robotics 14 00010 g006
Figure 7. Projection in the x z plane of the human and robot trajectories simulated in 3D space.
Figure 7. Projection in the x z plane of the human and robot trajectories simulated in 3D space.
Robotics 14 00010 g007
Figure 8. 3D representation of fabric and catenary under static condition.
Figure 8. 3D representation of fabric and catenary under static condition.
Robotics 14 00010 g008
Figure 9. The RMS computed assuming an ideal fabric (IF) and a real one (RF).
Figure 9. The RMS computed assuming an ideal fabric (IF) and a real one (RF).
Robotics 14 00010 g009
Figure 10. Evolution over time of the indicators of overall control effectiveness: (a) Human–robot Euclidean distance, (b) Components of human–robot Euclidean distance along individual axes.
Figure 10. Evolution over time of the indicators of overall control effectiveness: (a) Human–robot Euclidean distance, (b) Components of human–robot Euclidean distance along individual axes.
Robotics 14 00010 g010
Figure 11. Main layers and interconnection of the modules for the ROS2-based middleware architecture used with the fixed-base robot.
Figure 11. Main layers and interconnection of the modules for the ROS2-based middleware architecture used with the fixed-base robot.
Robotics 14 00010 g011
Figure 12. The robot setup used for experimental tests.
Figure 12. The robot setup used for experimental tests.
Robotics 14 00010 g012
Figure 13. Sequence of video frames showing the evolution of the fabric co-transport test. The video frames are shown in black, the reference axes of the system, in red and orange, the vectors indicating, respectively, the direction of movement of the human and the robot.
Figure 13. Sequence of video frames showing the evolution of the fabric co-transport test. The video frames are shown in black, the reference axes of the system, in red and orange, the vectors indicating, respectively, the direction of movement of the human and the robot.
Robotics 14 00010 g013
Figure 14. The torque acquired by the robot durign the experimental test.
Figure 14. The torque acquired by the robot durign the experimental test.
Robotics 14 00010 g014
Figure 15. Angular position of the robot’s first joint during the experimental test.
Figure 15. Angular position of the robot’s first joint during the experimental test.
Robotics 14 00010 g015
Figure 16. The trajectories of the robot and human operator during experimental test.
Figure 16. The trajectories of the robot and human operator during experimental test.
Robotics 14 00010 g016
Disclaimer/Publisher’s Note: The statements, opinions and data contained in all publications are solely those of the individual author(s) and contributor(s) and not of MDPI and/or the editor(s). MDPI and/or the editor(s) disclaim responsibility for any injury to people or property resulting from any ideas, methods, instructions or products referred to in the content.

Share and Cite

MDPI and ACS Style

Kermenov, R.; Di Biase, A.; Pellicani, I.; Longhi, S.; Bonci, A. Near Time-Optimal Trajectories with ISO Standard Constraints for Human–Robot Collaboration in Fabric Co-Transportation. Robotics 2025, 14, 10. https://doi.org/10.3390/robotics14020010

AMA Style

Kermenov R, Di Biase A, Pellicani I, Longhi S, Bonci A. Near Time-Optimal Trajectories with ISO Standard Constraints for Human–Robot Collaboration in Fabric Co-Transportation. Robotics. 2025; 14(2):10. https://doi.org/10.3390/robotics14020010

Chicago/Turabian Style

Kermenov, Renat, Alessandro Di Biase, Ilaria Pellicani, Sauro Longhi, and Andrea Bonci. 2025. "Near Time-Optimal Trajectories with ISO Standard Constraints for Human–Robot Collaboration in Fabric Co-Transportation" Robotics 14, no. 2: 10. https://doi.org/10.3390/robotics14020010

APA Style

Kermenov, R., Di Biase, A., Pellicani, I., Longhi, S., & Bonci, A. (2025). Near Time-Optimal Trajectories with ISO Standard Constraints for Human–Robot Collaboration in Fabric Co-Transportation. Robotics, 14(2), 10. https://doi.org/10.3390/robotics14020010

Note that from the first issue of 2016, this journal uses article numbers instead of page numbers. See further details here.

Article Metrics

Back to TopTop